-
钒碳化物通常作为金属材料的增强相, 其弹性和延展-脆性特性对于力学性能至关重要. 本研究基于特殊准随机结构(SQS)方法和第一性原理计算系统探讨了多组分V1–x FexC系碳化物的稳定性、电子结构、机械性能和热性质随元素Fe含量变化的规律. 研究结果表明, 5种组分(V0.125Fe0.875C, V0.25Fe0.75C, V0.5Fe0.5C, V0.75Fe0.25C和V0.875Fe0.125C)随着元素Fe含量的减小稳定性提高, V1–x FexC系碳化物键合类型以共价键、金属键和离子键的混合特征为主. 相较于V1–x FexC系其他碳化物, V0.875Fe0.125C由于具有高的共价键强度, 因此表现出高的弹性模量和硬度, 元素Fe的掺杂引入显著影响V1–x FexC碳化物的晶格振动模式和电子结构, V0.875Fe0.125C碳化物较高的德拜温度, 同样印证了其高温下优异的机械强度. 此外, 热导率的计算不仅指导V1–x FexC系碳化物的实验选择, 同时为开发高性能耐高温涂层提供重要的理论支持.
-
关键词:
- 钢 /
- V1–x FexC碳化物 /
- 第一性原理计算 /
- 特殊准随机结构 /
- 物性参数
Vanadium carbides commonly serve as strengthening phases in metallic materials, where their elastic and ductile-brittle characteristics are critical for mechanical performance. This work systematically investigates the structural stability, electronic properties, mechanical behaviors, and thermal characteristics of multi-component V1–x FexC carbides by using first-principles calculations, aiming to elucidate the influence of Fe content on their physical properties and provide a theoretical basis for the design and application of carbides in high-performance steels. The calculations are performed using the Vienna ab initio simulation package (VASP) based on density functional theory (DFT). Special quasirandom structures (SQS) are employed to construct five carbide models with varying Fe/V ratios (from V0.125Fe0.875C to V0.875Fe0.125C). Key parameters including formation enthalpy, electronic density of states, elastic constants, Debye temperature, and thermal conductivity are computed. The results indicate that as the Fe content decreases, the formation enthalpy shifts from positive to negative, reflecting a significant improvement in thermodynamic stability. Electronic structure analyses reveal metallic behavior of all compositions, with stronger covalent bonding in V–C than that in Fe–C. The V0.875Fe0.125C carbide exhibits the highest elastic modulus (C11 = 615.80 GPa) and Vickers hardness (21.06 GPa), which is attributed to its strong covalent interactions, though it also shows increased brittleness. The Debye temperature rises with the decrease of Fe content, further confirming superior mechanical strength at elevated temperatures. Calculations of the thermal conductivity for V0.875Fe0.125C yield values of 9.427 W·m–1·K–1 at 300 K and 2.357 W·m–1·K–1 at 1300 K. Its minimum lattice thermal conductivity (2.001 W·m–1·K–1) is comparable to that of typical thermal barrier coating materials, demonstrating high potential for high-temperature thermal insulation. This study reveals the structure-property relationships in V1–x FexC carbides on an atomic scale, indicating that low-Fe compositions are advantageous for high-temperature and high-strength applications. These findings provide important theoretical support for the development of novel heat-resistant coatings and high-strength steels.-
Keywords:
- steel /
- V1–x FexC carbides /
- first-principles calculations /
- special quasirandom structures /
- physical properties
[1] Williams W S 1971 Prog. Solid State Chem. 6 57
Google Scholar
[2] Chen Y, Ye C, Chen X, Hu H 2024 Metals 14 175
Google Scholar
[3] 康俊雨, 孙新军, 李昭东, 雍岐龙 2015 钢铁 50 64
Google Scholar
Kang J L, Sun X J, Li Z D, Yong Q L 2015 Iron and Steel 50 64
Google Scholar
[4] Giang N A, Kuna M, Hütter G 2017 Theor. Appl. Fract. Mech. 92 89
Google Scholar
[5] Weinberger C R, Thompson G B 2018 J. Am. Ceram. Soc. 101 4401
Google Scholar
[6] Jang J H, Lee C H, Heo Y U, Suh D W 2012 Acta Mater. 60 208
Google Scholar
[7] Li X T, Zhang X Y, Qin J Q, Zhang S H, Ning J L, Jing R, Ma M Z, Liu R P 2014 J. Phys. Chem. Solids 75 1234
Google Scholar
[8] Zhang D, Tang X H, Humphries E, Li D Y 2023 Wear 523 204808
Google Scholar
[9] Sun C C, Zheng Y, Chen L L, Fang F, Zhou X F, Jiang J Q 2022 J. Alloys Compd. 895 162649
Google Scholar
[10] Zhang D, Hou T P, Quan X L, Zhou J, Yin C C, Lin H F, Lu Z H, Wu K M 2023 J. Mater. Res. Technol. 25 210
Google Scholar
[11] Kohn W, Becke A D, Parr R G 1996 J. Phys. Chem. 100 12974
Google Scholar
[12] Blöchl P E 1994 Phys. Rev. B 50 17953
Google Scholar
[13] van de Walle A, Tiwary P, de Jong M, Asta M, Dick A, Shin D, Wang Y, Chen L Q, Liu Z K 2013 Calphad 42 13
Google Scholar
[14] Yu R, Zhu J, Ye H Q 2010 Comput. Phys. Commun. 181 671
Google Scholar
[15] 张梅玲, 陈玉红, 张材荣, 李公平 2019 物理学报 68 087101
Google Scholar
Zhang M L, Chen Y H, Zhang C R, Li G P 2019 Acta Phys. Sin. 68 087101
Google Scholar
[16] Zhang D, Xiang R, Sun Y 2025 Mol. Phys. 123 e2379994
Google Scholar
[17] Kobayashi S, Ikuhara Y, Mizoguchi T 2018 Phy. Rev. B 98 134114
Google Scholar
[18] Mishra S, Ganguli B 2013 J. Solid State Chem. 200 279
Google Scholar
[19] Yamada K, Yosida K, Hanzawa K 1992 Prog. Theor. Phys. Suppl. 108 141
Google Scholar
[20] Bader R F W 1985 Acc. Chem. Res. 18 9
Google Scholar
[21] Guo L Q, Tang Y Q, Cui J, Li J Q, Yang J R, Li D Y 2021 Scr. Mater. 190 168
Google Scholar
[22] Wu Y, Ma L S, Zhou X L, Duan Y H, Shen L, Peng M J 2022 Int. J. Refract. Met. Hard Mater 109 105985
Google Scholar
[23] Zhang D, Hou T P, Liang X, Zheng P, Zheng Y H, Lin H F, Wu K M 2022 Vacuum 203 111175
Google Scholar
[24] Soni P, Pagare G, Sanyal S P 2011 J. Phys. Chem. Solids 72 810
Google Scholar
[25] Zuo L, Humbert M, Esling C 1992 J. Appl. Crystallogr. 25 751
Google Scholar
[26] Pugh S F 1954 Lond. Edinb. Phil. Mag. 45 823
Google Scholar
[27] Pettifor D G 1992 Mater. Sci. Technol. 8 345
Google Scholar
[28] Niu H, Niu S, Oganov A R 2019 J. Appl. Phys. 125 065105
Google Scholar
[29] Munro R G, Freiman S W, Baker T L 1998 Natl. Inst. Stand. Technol. 158 6153
Google Scholar
[30] 王坤, 徐鹤嫣, 郑雄, 张海丰 2025 物理学报 74 137101
Google Scholar
Wang K, Xu H Y, Zheng X, Zhang H F 2025 Acta Phys. Sin. 74 137101
Google Scholar
[31] Yang J, Shahid M, Wan C, Jing F, Pan W 2017 J. Eur. Ceram. Soc. 37 689
Google Scholar
[32] Shindé S L, Goela J 2006 High Thermal Conductivity Materials (New York: Springer) pp111–123
[33] Arab F, Sahraoui F A, Haddadi K, Bouhemadou A, Louail L 2016 Phase Transit. 89 480
Google Scholar
[34] Ahmed T, Roknuzzaman M, Sultana A, Biswas A, Safin A M, Saiduzzaman M, Hossain K M 2021 Mater. Today Commun. 29 102973
Google Scholar
[35] Vagge S T, Ghogare S 2022 Mater. Today 56 1201
Google Scholar
[36] Feng J, Xiao B, Wan C L, Qu Z X, Huang Z C, Chen J C, Zhou R, Pan W 2011 Acta Mater. 59 1742
Google Scholar
[37] Feng J, Xiao B, Zhou R, Pan W, Clarke D R 2012 Acta Mater. 60 3380
Google Scholar
-
图 1 试样钢微观组织以及定性表征元素分布 (a)微观组织形貌; (b)高角环形暗场像; (c) HRTEM-EDS能谱面扫和(d)线扫图
Fig. 1. Microstructure of sample steel and distribution of qualitatively characterised elements: (a) Microstructural morphology; (b) high-angle annular dark-field image; (c) HRTEM-EDS energy spectrum area scan and (d) line scan image.
表 1 X射线能谱分析下的碳化物元素含量
Table 1. Elemental content of carbides after energy-dispersive X-ray spectroscopy.
元素 原子百分比/% 质量分数/% C 4.47 1.04 Fe 60.96 66.11 V 27.35 27.06 Cr 1.16 1.17 Mn 2.29 2.44 Other elements 3.77 2.18 表 2 V1–x FexC碳化物结构晶胞参数、形成焓(ΔHf)、金属性(fm)和Bader电荷
Table 2. Calculated structural cell parameters, formation energy (ΔHf), metallicness (fm) and Bader charge of V1–x FexC carbides
a/Å b/Å c/Å $\alpha $/(°) $\beta $/(°) γ/(°) ΔHf/( meV·atom–1) fm Bader V0.125Fe0.875C 8.061 8.065 8.063 90.08 89.99 89.95 0.443 0.548 0.840 V0.25Fe0.75C 8.106 8.107 8.107 90.00 90.00 90.01 0.321 0.622 0.914 V0.5Fe0.5C 8.203 8.188 8.195 90.00 90.00 90.00 0.042 0.844 1.052 V0.75Fe0.25C 8.262 8.261 8.258 89.92 90.08 89.99 –0.230 0.971 1.146 V0.875Fe0.125C 8.287 8.287 8.288 89.93 90.00 89.97 –0.439 1.19 1.213 表 3 V1–x FexC碳化物的弹性常数Cij、体积模量BH、剪切模量GH、杨氏模量E、泊松比$\nu $、普格模量比BH/GH、硬度HV、断裂韧性KIC以及脆性指数$ {{M}}_{{x}} $
Table 3. Calculated elastic constants Cij, bulk modulus BH, shear modulus GH, Young’s modulus E, Poisson’s ratio $\nu $, Pugh modulus ratio BH/GH, hardness HV, fracture toughness KIC, and brittleness index $ {{M}}_{{x}} $ of V1–x FexC carbides.
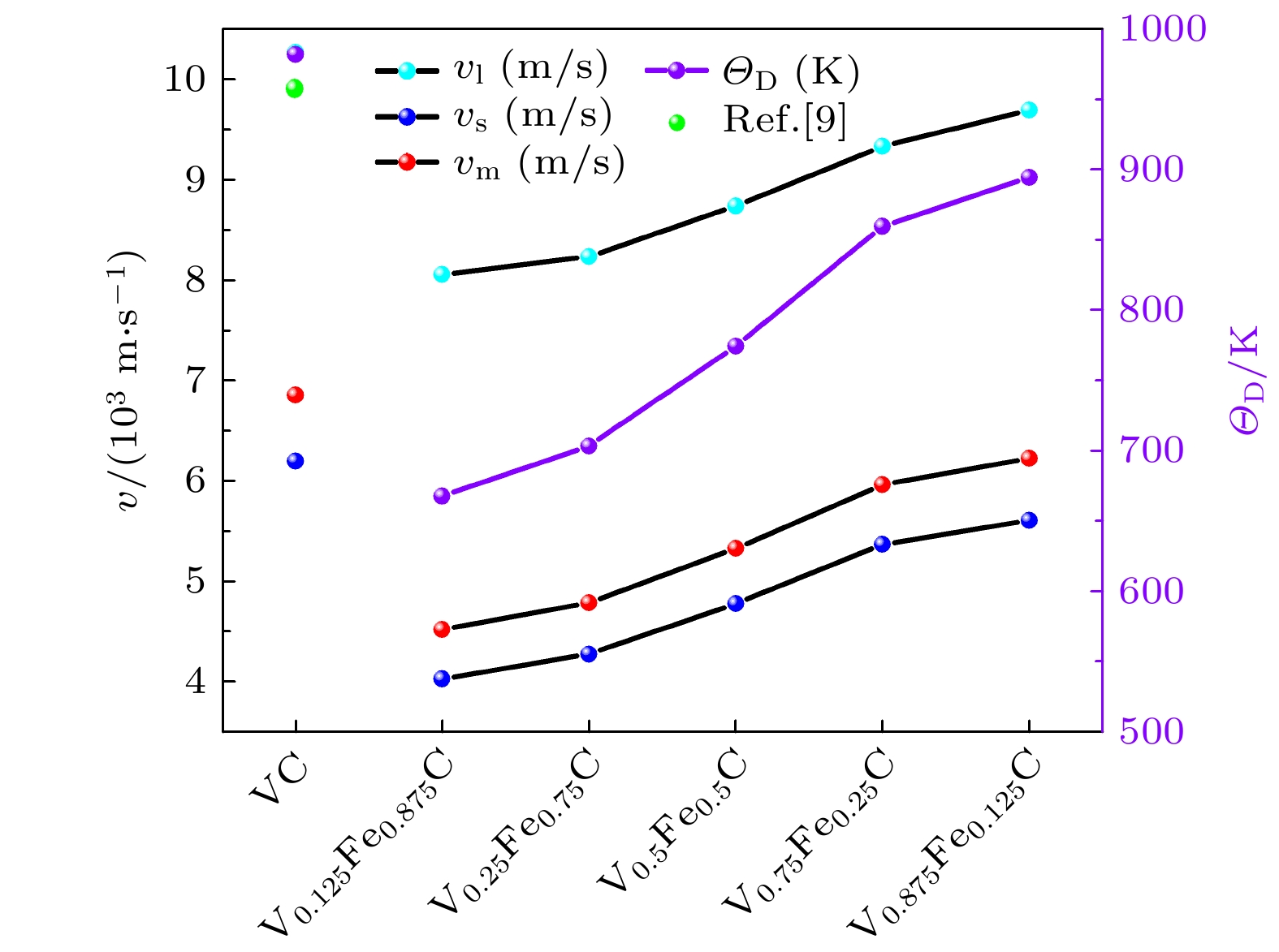
碳化物 C11/GPa C12/GPa C44/GPa BH/GPa GH/GPa BH/GH E $\nu $ HV/GPa KIC/(MPa·m1/2) Mx/μm–1/2 VC 668.78 138.75 200.00 315.43 223.89 1.41 543.15 0.345 28.73 3.83 648.24[24] 156.88[24] 209.99[24] 318[9] 213[9] 1.49[9] 521[9] 0.356[9] 25.8[9] V0.125Fe0.875C 552.84 165.68 75.32 294.40 110.79 2.657 442.11 0.333 8.49 2.564 3.310 V0.25Fe0.75C 553.84 155.42 86.486 288.10 121.67 2.368 319.96 0.315 10.34 2.665 3.878 V0.5Fe0.5C 563.87 152.52 113.41 289.61 144.23 2.008 371.09 0.286 14.06 2.925 4.808 V0.75Fe0.25C 584.01 148.76 149.97 293.96 174.39 1.686 436.80 0.252 19.63 3.254 6.034 V0.875Fe0.125C 615.80 154.92 162.02 308.46 186.60 1.650 465.87 0.248 21.06 3.450 6.104 表 4 V1–x FexC碳化物沿[100], [110]和[111]方向的声速(m/s)
Table 4. Calculated sound velocities (m/s) along [100], [110], and [111] directions of V1–x FexC carbides.
V0.125Fe0.875C V0.25Fe0.75C V0.5Fe0.5C V0.75Fe0.25C V0.875Fe0.125C [100] [100]vl 9003.42 9126.02 9446.38 9820.16 10182.71 [010]vs1 3323.25 3606.30 4236.44 4976.31 5223.03 [001]vs2 3323.25 3606.30 4236.44 4976.31 5223.03 [110] [110]vl 7982.57 8144.52 8639.03 9233.81 9600.33 $[1{\bar 1}0] $vs1 5327.68 5473.24 5705.14 5994.67 6229.07 [001]vs2 3323.25 3606.30 4236.44 4976.31 5223.03 [111] [111]vl 7611.92 7789.92 8352.592 9029.91 9398.19 $ [11{\bar 2}] $vs1 4754.38 4930.12 5261.33 5675.55 5912.77 $[11{\bar 2}] $vs2 4754.38 4930.12 5261.33 5675.55 5912.77 表 5 V1–x FexC碳化物的格林艾森参数γ, Aγ, $\delta $, Mav, 晶格热导率kph以及最小晶格热导率kmin
Table 5. Calculated Grüneisen parameter γ, Aγ, $ \delta$, Mav, lattice thermal conductivity kph, and minimum lattice thermal conductivity kmin of V1–x FexC carbides.
碳化物 γ Aγ /(10–8) V $\delta $/Å Mav/(kg·mol–1) n kph(300)/(W·m–1·K–1) kph(1300)/(W·m–¹·K–1) kmin/(W·m–1·K–1) V0.125Fe0.875C 1.996 3.039 524.18 2.016 22.413 64 2.139 0.535 1.536 V0.25Fe0.75C 1.869 3.075 532.81 2.027 22.208 64 2.873 0.718 1.609 V0.5Fe0.5C 1.692 3.132 550.38 2.049 21.800 64 4.729 1.182 1.752 V0.75Fe0.25C 1.511 3.199 563.61 2.065 21.392 64 8.183 2.046 1.929 V0.875Fe0.125C 1.492 3.206 569.15 2.072 21.188 64 9.427 2.357 2.001 -
[1] Williams W S 1971 Prog. Solid State Chem. 6 57
Google Scholar
[2] Chen Y, Ye C, Chen X, Hu H 2024 Metals 14 175
Google Scholar
[3] 康俊雨, 孙新军, 李昭东, 雍岐龙 2015 钢铁 50 64
Google Scholar
Kang J L, Sun X J, Li Z D, Yong Q L 2015 Iron and Steel 50 64
Google Scholar
[4] Giang N A, Kuna M, Hütter G 2017 Theor. Appl. Fract. Mech. 92 89
Google Scholar
[5] Weinberger C R, Thompson G B 2018 J. Am. Ceram. Soc. 101 4401
Google Scholar
[6] Jang J H, Lee C H, Heo Y U, Suh D W 2012 Acta Mater. 60 208
Google Scholar
[7] Li X T, Zhang X Y, Qin J Q, Zhang S H, Ning J L, Jing R, Ma M Z, Liu R P 2014 J. Phys. Chem. Solids 75 1234
Google Scholar
[8] Zhang D, Tang X H, Humphries E, Li D Y 2023 Wear 523 204808
Google Scholar
[9] Sun C C, Zheng Y, Chen L L, Fang F, Zhou X F, Jiang J Q 2022 J. Alloys Compd. 895 162649
Google Scholar
[10] Zhang D, Hou T P, Quan X L, Zhou J, Yin C C, Lin H F, Lu Z H, Wu K M 2023 J. Mater. Res. Technol. 25 210
Google Scholar
[11] Kohn W, Becke A D, Parr R G 1996 J. Phys. Chem. 100 12974
Google Scholar
[12] Blöchl P E 1994 Phys. Rev. B 50 17953
Google Scholar
[13] van de Walle A, Tiwary P, de Jong M, Asta M, Dick A, Shin D, Wang Y, Chen L Q, Liu Z K 2013 Calphad 42 13
Google Scholar
[14] Yu R, Zhu J, Ye H Q 2010 Comput. Phys. Commun. 181 671
Google Scholar
[15] 张梅玲, 陈玉红, 张材荣, 李公平 2019 物理学报 68 087101
Google Scholar
Zhang M L, Chen Y H, Zhang C R, Li G P 2019 Acta Phys. Sin. 68 087101
Google Scholar
[16] Zhang D, Xiang R, Sun Y 2025 Mol. Phys. 123 e2379994
Google Scholar
[17] Kobayashi S, Ikuhara Y, Mizoguchi T 2018 Phy. Rev. B 98 134114
Google Scholar
[18] Mishra S, Ganguli B 2013 J. Solid State Chem. 200 279
Google Scholar
[19] Yamada K, Yosida K, Hanzawa K 1992 Prog. Theor. Phys. Suppl. 108 141
Google Scholar
[20] Bader R F W 1985 Acc. Chem. Res. 18 9
Google Scholar
[21] Guo L Q, Tang Y Q, Cui J, Li J Q, Yang J R, Li D Y 2021 Scr. Mater. 190 168
Google Scholar
[22] Wu Y, Ma L S, Zhou X L, Duan Y H, Shen L, Peng M J 2022 Int. J. Refract. Met. Hard Mater 109 105985
Google Scholar
[23] Zhang D, Hou T P, Liang X, Zheng P, Zheng Y H, Lin H F, Wu K M 2022 Vacuum 203 111175
Google Scholar
[24] Soni P, Pagare G, Sanyal S P 2011 J. Phys. Chem. Solids 72 810
Google Scholar
[25] Zuo L, Humbert M, Esling C 1992 J. Appl. Crystallogr. 25 751
Google Scholar
[26] Pugh S F 1954 Lond. Edinb. Phil. Mag. 45 823
Google Scholar
[27] Pettifor D G 1992 Mater. Sci. Technol. 8 345
Google Scholar
[28] Niu H, Niu S, Oganov A R 2019 J. Appl. Phys. 125 065105
Google Scholar
[29] Munro R G, Freiman S W, Baker T L 1998 Natl. Inst. Stand. Technol. 158 6153
Google Scholar
[30] 王坤, 徐鹤嫣, 郑雄, 张海丰 2025 物理学报 74 137101
Google Scholar
Wang K, Xu H Y, Zheng X, Zhang H F 2025 Acta Phys. Sin. 74 137101
Google Scholar
[31] Yang J, Shahid M, Wan C, Jing F, Pan W 2017 J. Eur. Ceram. Soc. 37 689
Google Scholar
[32] Shindé S L, Goela J 2006 High Thermal Conductivity Materials (New York: Springer) pp111–123
[33] Arab F, Sahraoui F A, Haddadi K, Bouhemadou A, Louail L 2016 Phase Transit. 89 480
Google Scholar
[34] Ahmed T, Roknuzzaman M, Sultana A, Biswas A, Safin A M, Saiduzzaman M, Hossain K M 2021 Mater. Today Commun. 29 102973
Google Scholar
[35] Vagge S T, Ghogare S 2022 Mater. Today 56 1201
Google Scholar
[36] Feng J, Xiao B, Wan C L, Qu Z X, Huang Z C, Chen J C, Zhou R, Pan W 2011 Acta Mater. 59 1742
Google Scholar
[37] Feng J, Xiao B, Zhou R, Pan W, Clarke D R 2012 Acta Mater. 60 3380
Google Scholar
计量
- 文章访问数: 1249
- PDF下载量: 26
- 被引次数: 0








下载: