- 
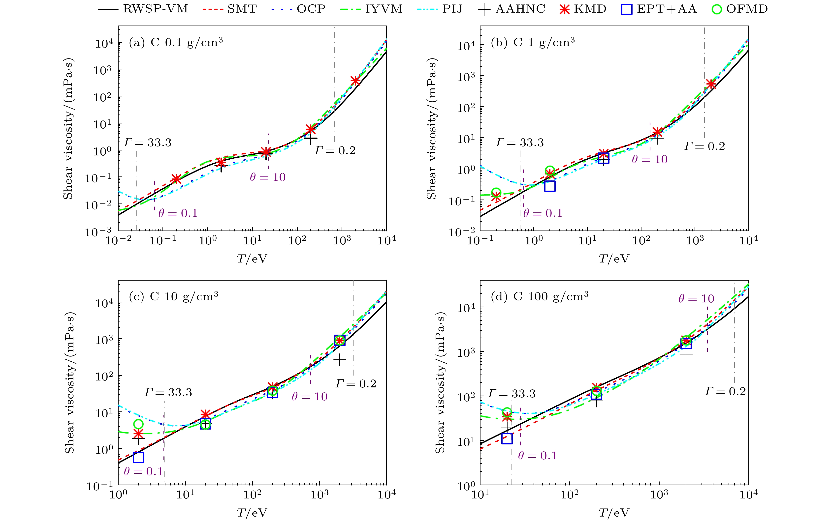
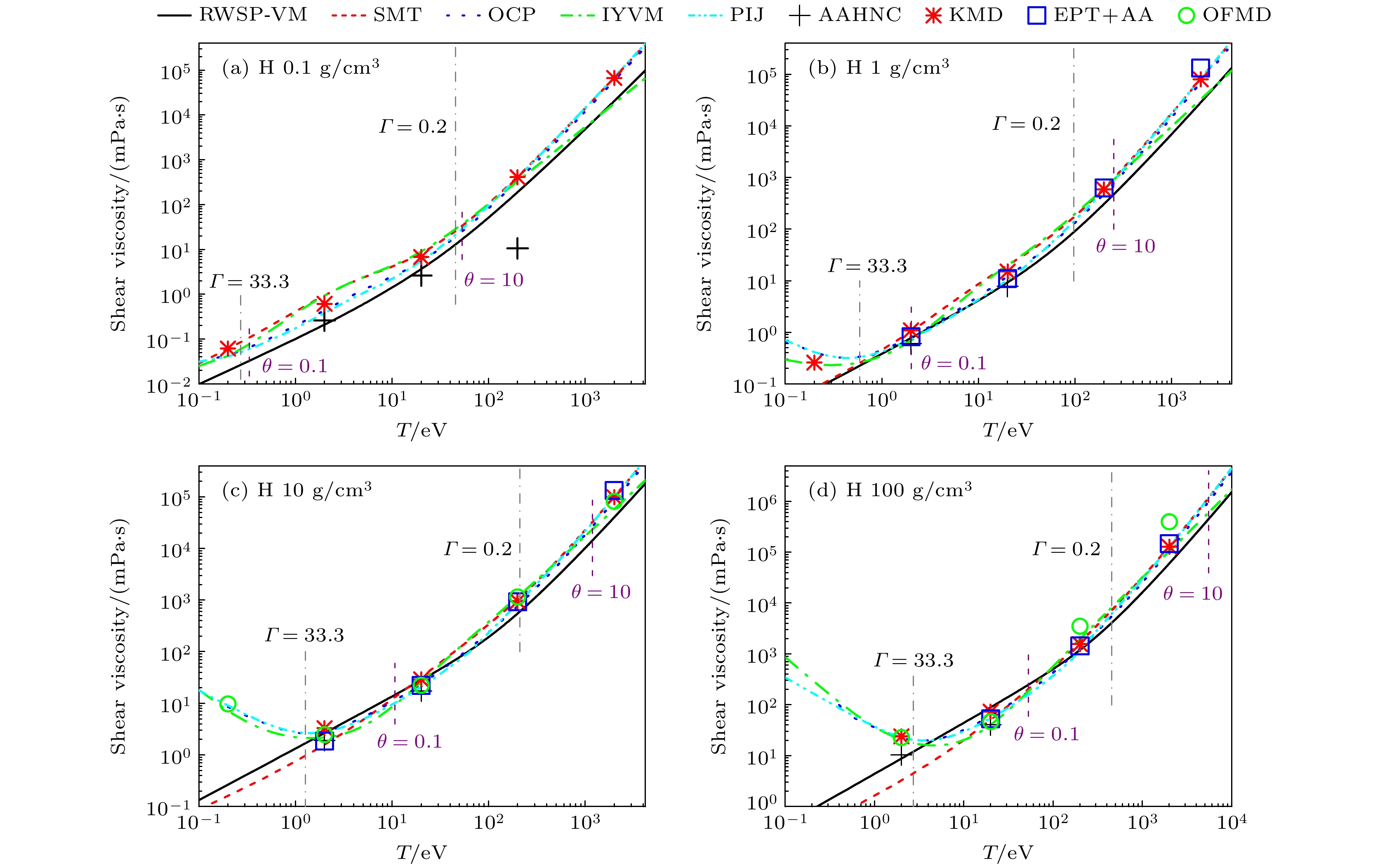
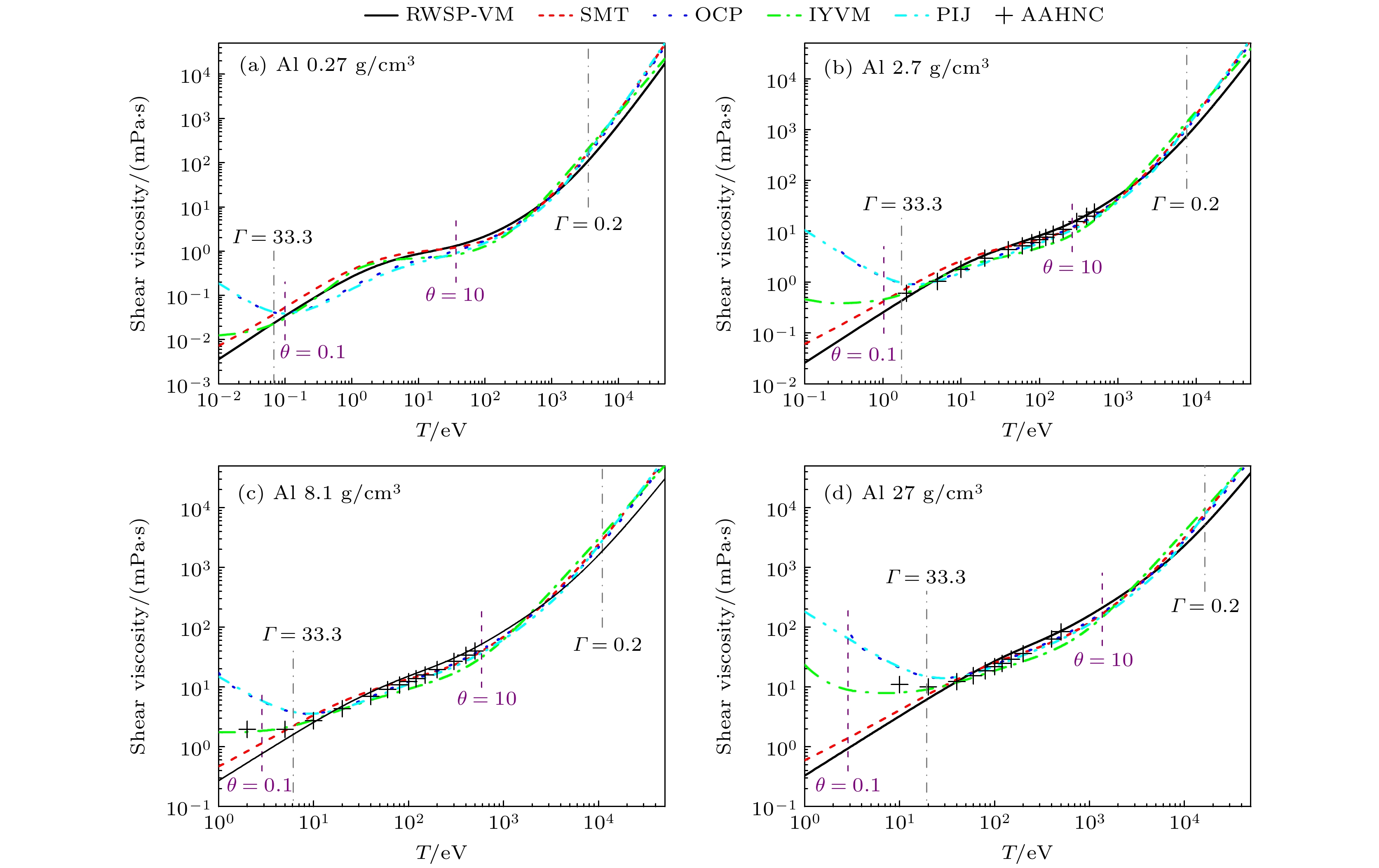
				温稠密和热稠密端条件下的物质粘性在诸多场景有着重要应用, 例如: 惯性约束聚变靶丸设计, 天体结构演化研究, 极端条件下界面不稳定性和混合发展规律研究等. 由于粘性实验技术能够达到的温压范围非常有限, 因而, 极端条件下物质粘性数据的获取方式主要是通过理论计算. 本文阐述了计算温稠密和热稠密极端条件下物质粘性的多种理论方法, 包括以量子分子动力学模拟(QMD) 为代表的数值模拟方法和以随机游走屏蔽势粘性模型 (RWSP-VM) 为代表的解析公式.通过评估从低原子序数到高原子序数的多种单质 (H, C, Al, Fe, Ge, W, U) 的粘性数据, 讨论了各种方法的适用条件, 评估了各种解析公式的可靠性和适用范围. 可以看到, 数值模拟方法获得的数据量以及覆盖范围仍然有限, 不同的数值模拟方法之间还存在一定分歧, 解析公式仍然是快速获取大量粘性数据的可靠方式. 基于物理建模和模拟数据的拟合公式, 例如单质等离子体模型 (OCP),集成的 Yukawa 粘性模型 (IYVM) 等, 兼顾了模拟数据的精度和解析计算的效率. 基于物理建模的 RWSP-VM 模型, 不依赖于模拟数据, 却在较宽温压范围内具有与模拟数据相当的精度, 是获取温稠密和热稠密物质的粘性数据的高效方法. 本文数据集可在 https://www.scidb.cn/s/ZrERJf访问获取.The viscosity of matter under extreme conditions, i.e., warm dense matter (WDM) and hot dense matter (HDM), has significant applications in various areas, such as the design of inertial confinement fusion targets, the study of astrophysical structure evolution, and the investigation of interfacial instability and mixing development under extreme conditions. Since the temperature and pressure range accessible by experimental techniques for viscosity measurement is very limited, the acquisition of viscosity data under extreme conditions mainly relies on theoretical calculations. This work introduces a variety of molecular dynamics (MD) methods and models for calculating the viscosity of WDM and HDM, including quantum MD (QMD), orbital-free MD (OFMD), average atom model combined with hypernetted chain (AAHNC), effective potential theory combined with average atom model (EPT+AA), hybrid kinetics MD (KMD), integrated Yukawa viscosity model (IYVM), Stanton-Murillo transport model (SMT), pseudoion in jellium (PIJ), one-component plasma model (OCP), and random-walk shielding-potential viscosity model (RWSP-VM). Simultaneously, the viscosity of a variety of elements obtained by these methods are shown, ranging from low to high atomic number (Z), i.e., H, C, Al, Fe, Ge, W, U. The accuracy and the applicability of each method are detailed analyzed by comparison. RWSP-VM, which is based on physical modeling and independent of MD data, has comparable accuracy to simulation data over a wide range of temperature and pressure, and is an effcient method for obtaining viscosity data of WDM and HDM. This work will pave the way to the calculation of shear viscosity at extremes, and may play an important role in promoting the relevant applications. The data calculated from RWSP-VM in this work are openly available at https://www.scidb.cn/s/ZrERJf.
- 
													Keywords:
													
 - shear viscosity /
 - molecular dynamics /
 - ab initio calculations /
 - kinetic theory
 
 - 
				
[1] Dornheim T, Groth S, Bonitz M 2018 Phys. Rep. 744 1
[2] Karasiev V V, Sjostrom T, Chakraborty D, Dufty J W, Runge K, Harris F E, Trickey S B 2014 In Graziani F, Desjarlais M P, Redmer R, Trickey S B, editors, Frontiers and Challenges in Warm Dense Matter (Cham: Springer International Publishing), pp 61–85
[3] Graziani F R, Bauer J D, Murillo M S 2014 Phys. Rev. E 90 033104
[4] Regan S, Goncharov V, Sangster T, Campbell E, Betti R, Bates J, Bauer K, Bernat T, Bhandarkar S, Boehly T, Bonino M, Bose A, Cao D, Carlson L, Chapman R, Chapman T, Collins G, Collins T, Craxton R, Delettrez J, Edgell D, Epstein R, Farrell M, Forrest C, Follett R, Frenje J, Froula D, Johnson M G, Gibson C, Gonzalez L, Goyon C, Glebov V, Gopalaswamy V, Greenwood A, Harding D, Hohenberger M, Hu S, Huang H, Hund J, Igumenshchev I, Jacobs-Perkins D, Janezic R, Karasik M, Kelly J, Kessler T, Knauer J, Kosc T, Luo R, Loucks S, Marozas J, Marshall F, Mauldin M, McCrory R, Mckenty P, Michel D, Michel P, Moody J, Myatt J, Nikroo A, Nilson P, Obenschain S, Palastro J, Peebles J, Petrasso R, Petta N, Radha P, Ralph J, Rosenberg M, Sampat S, Schmitt A, Schmitt M, Schoff M, Seka W, Shah R, Rygg J, Shaw J, Short R, Shmayda W, Shoup M, Shvydky A, Solodov A, Sorce C, Stadermann M, Stoeckl C, Sweet W, Taylor C, Taylor R, Theobald W, Turnbull D, Ulreich J, Wittman M, Woo K, Youngblood K, Zuegel J 2018 Nucl. Fusion 59 032007
[5] Bruno D, Catalfamo C, Capitelli M, Colonna G, De Pascale O, Diomede P, Gorse C, Laricchiuta A, Longo S, Giordano D, Pirani F 2010 Phys. Plasmas 17 112315
[6] Yin J W, Pan H, Wu Z H, Hao P C, Duan Z P, Hu X M 2017 Acta Phys. Sin. 66 204701. (in chinese) [殷建伟, 潘昊, 吴子辉, 郝鹏程, 段卓平, 胡晓棉 2017 物理学报 66 204701]
[7] Allen M P, Tildesley D J 1989 Computer Simulation of Liquids (Oxford: Clarendon Press)
[8] Alfè D, Gillan M J 1998 Phys. Rev. Lett. 81 5161
[9] Wang S, Liu H 2017 In Gervasi O, Murgante B, Misra S, Borruso G, Torre C M, Rocha A M A, Taniar D, Apduhan B O, Stankova E, Cuzzocrea A, editors, Computational Science and Its Applications – ICCSA 2017 (Cham: Springer International Publishing), pp 787–795
[10] Wang S, Zhang G, Sun B, Song H, Tian M, Fang J, Liu H 2019 Chin. J. Comput. Phys. 36 253
[11] Wang C, Long Y, Tian M F, He X T, Zhang P 2013 Phys. Rev. E 87 043105
[12] Wang C, Wang Z B, Chen Q F, Zhang P 2014 Phys. Rev. E 89 023101
[13] Li D, Wang C, Kang W, Yan J, Zhang P 2015 Phys. Rev. E 92 043108
[14] Li Z G, Zhang W, Fu Z J, Dai J Y, Chen Q F, Chen X R 2017 Phys. Plasmas 24 052903
[15] Wang Z Q, Tang J, Hou Y, Chen Q F, Chen X R, Dai J Y, Meng X J, Gu Y J, Liu L, Li G J, Lan Y S, Li Z G 2020 Phys. Rev. E 101 023302
[16] Cheng Y, Wang H, Wang S, Gao X, Li Q, Fang J, Song H, Chu W, Zhang G, Song H, Liu H 2021 AIP Adv. 11 015043
[17] Hou Y, Bredow R, Yuan J, Redmer R 2015 Phys. Rev. E 91 033114
[18] Hou Y, Jin F, Yuan J 2006 Phys. Plasmas 13 093301
[19] Hou Y, Jin F, Yuan J 2007 J. Phys.: Condens. Matter 19 425204
[20] van Leeuwen J, Groeneveld J, de Boer J 1959 Physica (Amsterdam) 25 792
[21] De Boer J, Van Leeuwen J, Groeneveld J 1964 Physica (Amsterdam) 30 2265
[22] Wünsch K, Hilse P, Schlanges M, Gericke D O 2008 Phys. Rev. E 77 056404
[23] Lambert F, Clérouin J, Zérah G 2006 Phys. Rev. E 73 016403
[24] Blanchet A, Torrent M, Clérouin J 2020 Phys. Plasmas 27 122706
[25] Lambert F, Clérouin J, Mazevet S, Gilles D 2007 Contrib. Plasma Phys. 47 272
[26] Brack M, Bhaduri R K 2003 Semiclassical Physics (Boulder: Westview Press)
[27] Daligault J, Baalrud S D, Starrett C E, Saumon D, Sjostrom T 2016 Phys. Rev. Lett. 116 075002
[28] Starrett C E, Saumon D 2013 Phys. Rev. E 87 013104
[29] Starrett C E, Saumon D, Daligault J, Hamel S 2014 Phys. Rev. E 90 033110
[30] Baalrud S D, Daligault J 2013 Phys. Rev. Lett. 110 235001
[31] Baalrud S D, Daligault J 2015 Phys. Rev. E 91 063107
[32] Haxhimali T, Rudd R E, Cabot W H, Graziani F R 2015 Phys. Rev. E 92 053110
[33] Chapman S, Cowling T G 1970 The Mathematical Theory of Non-Uniform Gases (Cambridge, England: Cambridge University Press)
[34] Murillo M S 2008 High Energy Density Phys. 4 49
[35] Johnson Z A, Silvestri L G, Petrov G M, Stanton L G, Murillo M S 2024 Phys. Plasmas 31 082701
[36] Stanton L G, Murillo M S 2016 Phys. Rev. E 93 043203
[37] Arnault P 2013 High Energy Density Phys. 9 711
[38] Daligault J, Rasmussen K O, Baalrud S D 2014 Phys. Rev. E 90 033105
[39] Cheng Y, Liu H, Hou Y, Meng X, Li Q, Liu Y, Gao X, Yuan J, Song H, Wang J 2022 Phys. Rev. E 106 014142
[40] Cheng Y, Gao X, Li Q, Liu Y, Song H, Liu H 2023 arXiv e-prints arXiv:2305.16551
[41] Thomas L H 1927 Math. Proc. Cambridge Philos. Soc. 23 542âffff548
[42] More R M 1985 Adv. At. Mol. Phys. 21 305
[43] Vanderbilt D 1990 Phys. Rev. B 41 7892
[44] Danel J F, Kazandjian L, Zérah G 2012 Phys. Rev. E 85 066701
[45] Gordon R G, Kim Y S 1972 J. Chem. Phys. 56 3122
[46] Kim Y S, Gordon R G 1974 Phys. Rev. B 9 3548
[47] Hou Y, Fu Y, Bredow R, Kang D, Redmer R, Yuan J 2017 High Energy Density Phys. 22 21
[48] Hou Y, Jin Y, Zhang P, Kang D, Gao C, Redmer R, Yuan J 2021 Matter Radiat. Extrem. 6 026901
[49] Ornstein L, Zernike F 1914 Proc. K. Ned. Akad. Wet. 17 793
[50] Rosenfeld Y 1986 J. Stat. Phys. 42 437
[51] Decoster A, Raviart P A, Markowich P A, Perthame B 1998 Modeling of Collisions (Paris: Gauthier-Villars)
[52] Bastea S 2005 Phys. Rev. E 71 056405
[53] Baus M, Hansen J P 1980 Phys. Rep. 59 1
[54] Grabowski P, Hansen S, Murillo M, Stanton L, Graziani F, Zylstra A, Baalrud S, Arnault P, Baczewski A, Benedict L, Blancard C, ÄffertÃk O, Clérouin J, Collins L, Copeland S, Correa A, Dai J, Daligault J, Desjarlais M, Dharma-wardana M, Faussurier G, Haack J, Haxhimali T, Hayes-Sterbenz A, Hou Y, Hu S, Jensen D, Jungman G, Kagan G, Kang D, Kress J, Ma Q, Marciante M, Meyer E, Rudd R, Saumon D, Shulenburger L, Singleton R, Sjostrom T, Stanek L, Starrett C, Ticknor C, Valaitis S, Venzke J, White A 2020 High Energy Density Phys. 37 100905
[55] Sun H, Kang D, Hou Y, Dai J 2017 Matter Radiat. Extrem. 2 287
[56] Clérouin J, Arnault P, Ticknor C, Kress J D, Collins L A 2016 Phys. Rev. Lett. 116 115003
[57] Kress J, Cohen J S, Kilcrease D, Horner D, Collins L 2011 High Energy Density Phys. 7 155
 
计量
- 文章访问数: 193
 - PDF下载量: 4
 - 被引次数: 0
 


					
		        
	        
 
										





下载: