-
本文系统研究了过渡金属二硫化物3R相MoS2的声子性质, 并与常见的2H相进行了对比. 研究通过拉曼光谱实验结合线性链模型、力常数模型和键极化模型, 对不同堆垛结构的振动模式、峰位及强度演化规律进行了深入分析. 结果表明, 高频拉曼光谱难以有效区分两种相, 但二次谐波对晶体对称性极为敏感, 可清晰实现堆垛相的鉴别; 在低频区域, 线性链模型能够刻画剪切模与呼吸模的层数依赖性, 而力常数模型因引入层内和层间的力常数后能更准确地拟合实验趋势; 键极化模型进一步解释了不同堆垛结构下拉曼散射强度的差异; 在高频区域, 3R相的峰位差对层数变化更加敏感, 因而在层数判定中具有更高的可靠性, 同时表面效应在其高频声子行为中起着更为关键的作用. 综上所述, 本文全面揭示了3R相MoS2的独特声子特征及层数依赖性, 为低维材料的堆垛结构识别和物性调控提供了重要依据, 并为其在光电器件、量子器件中的应用奠定了基础.
Layered transition metal dichalcogenides (TMDs) have aroused extensive interest due to their remarkable electronic, optical, and mechanical properties. Among them, molybdenum disulfide (MoS2) exhibits two main stacking polytypes: the centrosymmetric 2H phase and the non-centrosymmetric 3R phase. The latter has recently received attention due to its spontaneous polarization, piezoelectricity, band modulation, and possible topological features, but its lattice dynamics and phonon-related properties are still poorly understood. To address this gap, in this work, we comprehensively study the layer-dependent Raman phonon characteristics of 3R-phase MoS2 and systematically compare them with those of the 2H phase. Experimentally, we employ confocal Raman spectroscopy and polarization-resolved second-harmonic generation (SHG) to probe vibrational modes and stacking-dependent nonlinear responses of samples ranging from monolayer to bulk. The SHG measurements provide a clear method for distinguishing stacking orders: although the SHG signals disappear in even-layer 2H samples due to inversion symmetry, they strongly exist in 3R samples of any thickness. The Raman spectra in the low-frequency region reveal different shear and breathing modes, and the evolution of these modes with layer number is analyzed using a linear chain model (LCM) and a more refined force constant model (FCM). Although the LCM qualitatively captures the layer-dependent shifts of interlayer vibrations, the FCM provides quantitative agreement with experiments by explicitly combining the nearest neighbors and the next-nearest-neighbor interactions as well as surface corrections. To further explain the relative intensities of interlayer Raman modes, we introduce the bond polarization model (BPM), which links mode-dependent scattering strength to the symmetry and orientation of chemical bonds. Our BPM analysis reveals the pronounced asymmetry in charge redistribution for 3R stacking, leading to weaker interlayer binding energy than 2H (0.111 eV vs. 0.113 eV), and consequently a lower sliding barrier, which is consistent with the observed propensity of 3R crystals for interlayer slip. In the high-frequency region, both stacking types show characteristic in-plane and out-of-plane modes. However, the peak separation in 3R-phase MoS2 demonstrates stronger sensitivity to the layer number, making it a more reliable spectroscopic fingerprint for thickness identification. Importantly, it is found that surface effects play a critical role in reproducing experimental high-frequency shifts in 3R samples, reflecting their weaker interlayer coupling and enhanced surface contributions. In summary, this work establishes a complete picture of the phonon behavior in 3R-phase MoS2, effectively bridging experiment and theory. Our results indicate that Raman spectroscopy combined with SHG provides a powerful toolkit for identifying stacking order and thickness in layered MoS2. By benchmarking LCM, FCM, and BPM models, we clarify the roles of interlayer coupling, stacking symmetry, and surface effects in shaping vibrational properties. These insights not only deepen the fundamental understanding of lattice dynamics of non-centrosymmetric TMD polytypes, but also lay the foundation for the development of 3R-phase MoS2 in next-generation optoelectronic, piezoelectric, and quantum devices. -
Keywords:
- 3R-phase MoS2 /
- linear chain model /
- force constant model /
- bond polarization model
[1] Radisavljevic B, Radenovic A, Brivio J, Giacometti V, Kis A 2011 Nat. Nanotechnol. 6 147
Google Scholar
[2] Mak K F, Lee C, Hone J, Shan J, Heinz T F 2010 Phys. Rev. Lett. 105 136805
Google Scholar
[3] 李璐, 张养坤, 时东霞, 张广宇 2022 物理学报 71 108102
Google Scholar
Li L, Zhang Y K, Shi D X, Zhang G Y 2022 Acta Phys. Sin. 71 108102
Google Scholar
[4] Chhowalla M, Shin H S, Eda G, Li L J, Loh K P, Zhang H 2013 Nat. Chem. 5 263
Google Scholar
[5] 蒋彬, 丁宇龙, 赵福利, 罗鑫 2022 物理与工程 32 24
Google Scholar
Jiang B, Ding Y L, Zhao F L, Luo X 2022 Physics and Engineering 32 24
Google Scholar
[6] Meng P, Wu Y Z, Bian R J, Pan E, Dong B, Zhao X X, Chen J G, Wu L S, Sun Y Q, Fu Q D, Liu Q 2022 Nat. Commun. 13 7696
Google Scholar
[7] Hallil H, Cai W F, Zhang K, Yu P, Liu S, Xu R, Zhu C, Xiong Q H, Liu Z, Zhang Q 2022 Adv. Electron. Mater. 8 2101131
Google Scholar
[8] Akashi R, Ochi M, Bordács S, Suzuki R, Tokura Y, Iwasa Y, Arita R 2015 Phys. Rev. Appl. 4 014002
Google Scholar
[9] Wu J D, Yang D Y, Liang J, Werner M, Ostroumov E, Xiao Y H, Watanabe K, Taniguchi T, Dadap J I, Jones D, Ye Z L 2022 Sci. Adv. 8 eade3759
Google Scholar
[10] Wieting T 1973 Solid State Commun. 12 931
Google Scholar
[11] Luo N, Ruggerone P, Toennies J P 1996 Phys. Rev. B 54 5051
Google Scholar
[12] Tan P H, Han W P, Zhao W J, Wu Z H, Chang K, Wang H, Wang Y F, Bonini N, Marzari N, Pugno N 2012 Nat. Mater. 11 294
Google Scholar
[13] Zhao Y Y, Luo X, Li H, Zhang J, Araujo P T, Gan C K, Wu J, Zhang H, Quek S Y, Dresselhaus M S, Hua X Q 2013 Nano Lett. 13 1007
Google Scholar
[14] Luo X, Zhao Y Y, Zhang J, Xiong Q H, Quek S Y 2013 Phys. Rev. B 88 075320
Google Scholar
[15] Luo X, Lu X, Cong C X, Yu T, Xiong Q H, Ying Quek S 2015 Sci. Rep. 5 14565
Google Scholar
[16] Van Baren Jeremiah, Ye G H, Yan J An, Ye Z P, Rezaie Pouyan, Yu P, Liu Z, He R, Lui C H 2019 2D Mater. 6 025022
Google Scholar
[17] Shi J, Yu P, Liu F C, He P, Wang R, Qin L, Zhou J B, Li X, Zhou J D, Sui X Y 2017 Adv. Mater. 29 1701486
Google Scholar
[18] Zeng Z X S, Sun X X, Zhang D L, Zheng W H, Fan X P, He M, Xu T, Sun L, Wang X, Pan A L 2019 Adv. Funct. Mater. 29 1806874
Google Scholar
[19] Balla N K, O’ brien M, McEvoy N, Duesberg G S, Rigneault H, Brasselet S, McCloskey D 2018 ACS Photonics 5 1235
Google Scholar
[20] Li Y L, Rao Y, Mak K F, You Y M, Wang S Y, Dean C R, Heinz T F 2013 Nano Lett. 13 3329
Google Scholar
[21] Kumar N, Najmaei S, Cui Q N, Ceballos F, Ajayan P M, Lou J, Zhao H 2013 Phys. Rev. B 87 161403
Google Scholar
[22] Malard L M, Alencar T V, Barboza A P M, Mak K F, De Paula A M 2013 Phys. Rev. B 87 201401
Google Scholar
[23] Khan A R, Zhang L, Ishfaq K, Ikram A, Yildrim T, Liu B, Rahman S, Lu Y 2022 Adv. Funct. Mater. 32 2105259
Google Scholar
[24] Lazzeri M, Mauri F 2003 Phys. Rev. Lett. 90 036401
Google Scholar
-
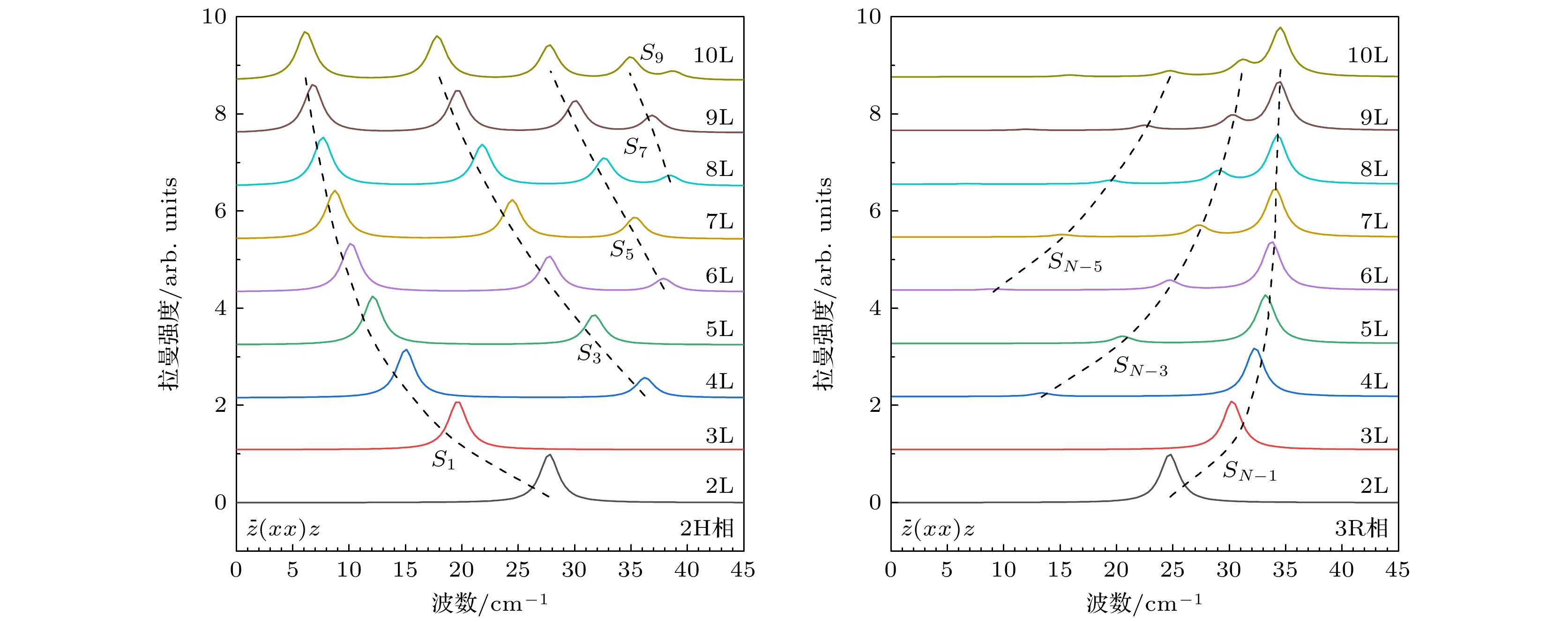
图 3 (a)平行偏振下2—5层2H和3R相MoS2低波数拉曼谱线; (b)线性链模型; 线性链模型对(c) 2H相和(d) 3R相的低波数峰拟合结果; (e)力常数模型; 力常数模型对(f) 2H和(g) 3R相的低波数峰拟合结果
Fig. 3. (a) Low-frequency Raman spectra of 2–5 layer 2H- and 3R-phase MoS2 under parallel polarization; (b) linear chain model; fitting results of low-frequency peaks for (c) 2H-phase and (d) 3R-phase MoS2 using the linear chain model; (e) force constant model; fitting results of low-frequency peaks for (f) 2H-phase and (g) 3R-phase MoS2 using the force constant model.
图 4 (a)双层3R相(左)和2H相(右)MoS2的差分电荷图; 三层(b) 3R相和(c) 2H相MoS2的俯视图和侧视图; 三层(d) 3R相和(e) 2H相MoS2的键极化分析图, 其中虚线表示向上连接的键, 实线表示向下连接的键, $ {{{\mathrm{S}}}_{2i-1}} $, $ {{{\mathrm{Mo}}}_i} $和$ {{{\mathrm{S}}}_{2i}} $分别表示第i层从上至下的S, Mo和S原子
Fig. 4. (a) Differential charge density maps of bilayer 3R-phase (left) and 2H-phase (right) MoS2. Top and side views of trilayer (b) 3R-phase and (c) 2H-phase MoS2. Bond polarization analysis of trilayer (d) 3R-phase and (e) 2H-phase MoS2, where dashed lines denote upward bonds and solid lines denote downward bonds. $ {{{\mathrm{S}}}_{2i-1}} $, $ {{{\mathrm{Mo}}}_i} $, and $ {{{\mathrm{S}}}_{2i}} $ represent the S, Mo, and S atoms in the ith layer from top to bottom, respectively.
图 6 (a), (b) 2H相和3R相MoS2高频峰位及其峰位差; (c), (d)为引入表面效应的力常数模型对高频峰位的拟合, 其中峰位差均是通过块体的频率计算得到的
Fig. 6. (a), (b) High-frequency peak positions of 2H-phase and 3R-phase MoS2, together with their peak differences; (c), (d) the fitting of high-frequency peak positions using the force constant model with surface effects included, where the peak differences are obtained from the calculated bulk frequencies.
表 1 MoS2体系振动模式的不可约表示、实验测量频率和理论计算频率汇总
Table 1. Summary of the force constant values for 3R phase MoS2.
Phase Irr. rep. Exp. LDA LDA Exp. Irr. rep. Phase 2H $ E_{1 {\mathrm{u}}} $(I) — 0 0 — $ A_{1} $(I+R) 3R $ A_{2 {\mathrm{u}}} $(I) — 0 0 — E (I+R) $ E_{2 {\mathrm{g}}} $(R) 33.29487 35.686900 34.037372 — E (I+R) $ B_{1{\mathrm{ g}}} $ — 57.941155 34.037596 — E (I+R) $ E_{2 {\mathrm{u}}} $ — 285.155367 48.724024 — $ A_{1} $(I+R) $ E_{1 {\mathrm{g}}} $(R) — 287.775743 48.724325 — $ A_{1} $(I+R) $ E_{2 {\mathrm{g}}} $(R) 384.917714 384.976788 285.957612 — E (I+R) $ E_{1 {\mathrm{u}}} $(I) — 385.716750 285.958139 — E (I+R) $ B_{2 {\mathrm{u}}} $ — 404.033206 290.072680 — E (I+R) $ A_{1{\mathrm{ g}}} $(R) 409.04906 408.106024 385.242202 383.66260 E (I+R) $ A_{2{\mathrm{ u}}} $(I) — 465.182502 386.741898 — E (I+R) $ B_{1 {\mathrm{g}}} $ — 468.960303 386.742311 — E (I+R) 1H $ E' $(I+R) — 0 405.420245 — $ A_{1} $(I+R) $ A_2'' $(I) — 0 405.420515 — $ A_{1} $(I+R) $ E'' $(R) — 287.529971 409.217160 409.42571 $ A_{1} $(I+R) $ E' $(I+R) 385.28101 389.234675 464.326446 — $ A_{1} $(I+R) $ A_1' $(R) 403.77329 406.934400 469.500655 — $ A_{1} $(I+R) $ A_2'' $(I) — 472.790370 469.501212 — $ A_{1} $(I+R) 注: I表示具有红外活性, R表示具有拉曼活性, 频率均以cm–1为单位 表 2 MoS2力常数模型各阶力常数系数汇总
Table 2. Summary of the force constant values for 3R phase MoS2.
力常数
类型面内模式/(N·m–1) 面外模式/(N·m–1) 2H块体 3R块体 单层 2H块体 3R块体 单层 $ K_{{\rm{MoS_1}}} $ 4.236801 4.21876 4.34525 6.18676 6.15929 6.41101 $ K_{{\rm{MoS_2}}} $ 0.03023 0.03780 — 0.01955 0.02427 — $ K_{{\rm{SS_1}}} $ 0.01571 0.01715 — 0.16477 0.14432 — $ K_{{\rm{SS_2}}} $ –0.188220 –0.18916 –0.19479 0.80216 0.77007 0.75612 -
[1] Radisavljevic B, Radenovic A, Brivio J, Giacometti V, Kis A 2011 Nat. Nanotechnol. 6 147
Google Scholar
[2] Mak K F, Lee C, Hone J, Shan J, Heinz T F 2010 Phys. Rev. Lett. 105 136805
Google Scholar
[3] 李璐, 张养坤, 时东霞, 张广宇 2022 物理学报 71 108102
Google Scholar
Li L, Zhang Y K, Shi D X, Zhang G Y 2022 Acta Phys. Sin. 71 108102
Google Scholar
[4] Chhowalla M, Shin H S, Eda G, Li L J, Loh K P, Zhang H 2013 Nat. Chem. 5 263
Google Scholar
[5] 蒋彬, 丁宇龙, 赵福利, 罗鑫 2022 物理与工程 32 24
Google Scholar
Jiang B, Ding Y L, Zhao F L, Luo X 2022 Physics and Engineering 32 24
Google Scholar
[6] Meng P, Wu Y Z, Bian R J, Pan E, Dong B, Zhao X X, Chen J G, Wu L S, Sun Y Q, Fu Q D, Liu Q 2022 Nat. Commun. 13 7696
Google Scholar
[7] Hallil H, Cai W F, Zhang K, Yu P, Liu S, Xu R, Zhu C, Xiong Q H, Liu Z, Zhang Q 2022 Adv. Electron. Mater. 8 2101131
Google Scholar
[8] Akashi R, Ochi M, Bordács S, Suzuki R, Tokura Y, Iwasa Y, Arita R 2015 Phys. Rev. Appl. 4 014002
Google Scholar
[9] Wu J D, Yang D Y, Liang J, Werner M, Ostroumov E, Xiao Y H, Watanabe K, Taniguchi T, Dadap J I, Jones D, Ye Z L 2022 Sci. Adv. 8 eade3759
Google Scholar
[10] Wieting T 1973 Solid State Commun. 12 931
Google Scholar
[11] Luo N, Ruggerone P, Toennies J P 1996 Phys. Rev. B 54 5051
Google Scholar
[12] Tan P H, Han W P, Zhao W J, Wu Z H, Chang K, Wang H, Wang Y F, Bonini N, Marzari N, Pugno N 2012 Nat. Mater. 11 294
Google Scholar
[13] Zhao Y Y, Luo X, Li H, Zhang J, Araujo P T, Gan C K, Wu J, Zhang H, Quek S Y, Dresselhaus M S, Hua X Q 2013 Nano Lett. 13 1007
Google Scholar
[14] Luo X, Zhao Y Y, Zhang J, Xiong Q H, Quek S Y 2013 Phys. Rev. B 88 075320
Google Scholar
[15] Luo X, Lu X, Cong C X, Yu T, Xiong Q H, Ying Quek S 2015 Sci. Rep. 5 14565
Google Scholar
[16] Van Baren Jeremiah, Ye G H, Yan J An, Ye Z P, Rezaie Pouyan, Yu P, Liu Z, He R, Lui C H 2019 2D Mater. 6 025022
Google Scholar
[17] Shi J, Yu P, Liu F C, He P, Wang R, Qin L, Zhou J B, Li X, Zhou J D, Sui X Y 2017 Adv. Mater. 29 1701486
Google Scholar
[18] Zeng Z X S, Sun X X, Zhang D L, Zheng W H, Fan X P, He M, Xu T, Sun L, Wang X, Pan A L 2019 Adv. Funct. Mater. 29 1806874
Google Scholar
[19] Balla N K, O’ brien M, McEvoy N, Duesberg G S, Rigneault H, Brasselet S, McCloskey D 2018 ACS Photonics 5 1235
Google Scholar
[20] Li Y L, Rao Y, Mak K F, You Y M, Wang S Y, Dean C R, Heinz T F 2013 Nano Lett. 13 3329
Google Scholar
[21] Kumar N, Najmaei S, Cui Q N, Ceballos F, Ajayan P M, Lou J, Zhao H 2013 Phys. Rev. B 87 161403
Google Scholar
[22] Malard L M, Alencar T V, Barboza A P M, Mak K F, De Paula A M 2013 Phys. Rev. B 87 201401
Google Scholar
[23] Khan A R, Zhang L, Ishfaq K, Ikram A, Yildrim T, Liu B, Rahman S, Lu Y 2022 Adv. Funct. Mater. 32 2105259
Google Scholar
[24] Lazzeri M, Mauri F 2003 Phys. Rev. Lett. 90 036401
Google Scholar
计量
- 文章访问数: 1363
- PDF下载量: 53
- 被引次数: 0








下载: