-
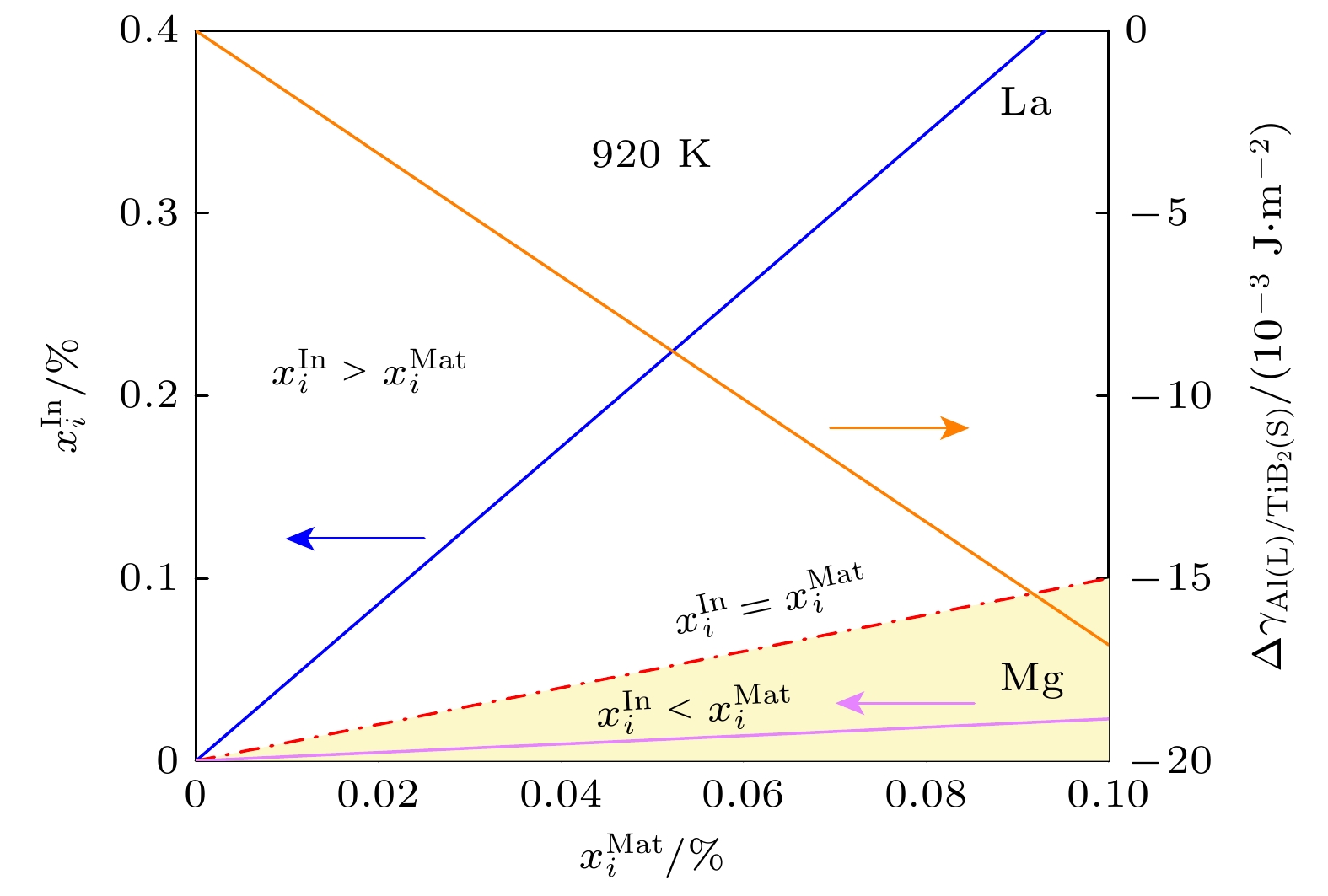
Grain refinement is an effective method to enhance the comprehensive properties of alloys. In industrial production, Al-5Ti-1B master alloys are commonly used to refine the microstructure of aluminum alloys. However, the grain refinement potency of Al-Ti-B master alloys is limited and cannot meet the requirements for high-performance aluminum alloy applications. It has been demonstrated that adding trace amount of micro-alloying element La to the aluminum alloy melt inoculated with Al-5Ti-1B master alloy can further refine the solidification microstructure. Previous research indicates that the addition of 0.06% (weight percent) La is sufficient to achieve an ideal α-Al grain refinement. Our recent experimental results demonstrate that for an Al-Mg alloy of high Mg content inoculated with Al-5Ti-1B master alloy, the optimal addition level of La is about 0.02% (weight percent). Solidification experiments are carried out for Al-Mg alloys inoculated with Al-5Ti-1B master alloy and different addition levels of micro-alloying element La. It is demonstrated that the trace addition of micro-alloying element La shows a further grain refinement effect on Al-Mg alloy and reduces the nucleation undercooling of α-Al. A model is proposed for the segregation behavior of micro-alloying element La at the interface between the Al alloy melt and TiB2. The mechanism of the enhancement in the efficiency of TiB2 particles to nucleate α-Al by micro-alloying element La is clarified. The calculation results indicate that La shows a strong segregation tendency toward the interface between the Al melt and TiB2 particles, thus reducing the interfacial energy and contact angle between TiB2 and α-Al, enhancing the efficiency of TiB2 to nucleate α-Al, and further refining α-Al grains. -
Keywords:
- Al-Mg alloys /
- grain refinement /
- micro-alloying element La /
- Al-5 Ti-B
-
图 1 Al-2.5Mg合金OM图像 (a) 未添加Al-5Ti-1B和La; (b) 添加0.4% Al-5Ti-1B; (c) 添加0.4% Al-5Ti-1B+0.02% La; (d)添加0.4% Al-5Ti-1B+0.04% La; (e)添加0.4% Al-5Ti-1B+0.06%La
Fig. 1. OM images of Al-2.5Mg alloys: (a) Without any inoculation and inoculated; (b) with 0.4% Al-5Ti-1B; (c) with 0.4% Al-5Ti-1B+0.02% La; (d) with 0.4% Al-5Ti-1B+0.04% La; (e) with 0.4% Al-5Ti-1B+0.06%La.
图 3 (a) Al-2.5Mg合金的DTA熔化和冷却曲线; (b) $ \left({T}_{\text{L}}- $$ {T}_{\text{N}}\right) $和$ \left({T}_{\text{N}}-{T}_{\text{P}}\right) $随La添加量($ {c}_{\text{0La}} $)的变化
Fig. 3. (a) DTA heating and cooling curves for the Al-2.5Mg alloy without any inoculation; (b) $ \left({T}_{\text{L}}-{T}_{\text{N}}\right) $ and $ \left({T}_{\text{N}}-{T}_{\text{P}}\right) $ for Al-2.5Mg alloys inoculated with 0.4% Al-5Ti-1B master alloy varied with the La addition level $ {c}_{\text{0La}} $ $ {\left({T}_{\text{L}}-{T}_{\text{N}}\right)}_{0} $ and $ {\left({T}_{\text{N}}-{T}_{\text{P}}\right)}_{0} $ are respectively for the Al-2.5Mg alloys without any inoculation.
图 4 添加0.06% La的经0.4% Al-5Ti-1B处理的Al-2.5Mg合金 (a) SEM图, 插图为白色相的成分; (b) 元素Al, (c) 元素Mg, (d) La的X射线能量散谱图
Fig. 4. Al-2.5Mg alloy inoculated with 0.4% Al-5Ti-1B+0.06% La: (a) SEM image, inset shows the compositions of the white phase; (b)–(d) energy dispersive X-ray spectroscopy maps of Al (b), Mg (c), La (d).
表 1 计算生长限制因子所需参数及Qi
Table 1. Data required for the calculation of growth restriction factor and the calculated Qi under the present experimental conditions.
-
[1] Kramer L, Phillippi M, Tack W T, Wong C 2012 J. Mater. Eng. Perform. 21 1025
Google Scholar
[2] Vrsalović L, Kliškić M, Radošević J, Gudić S 2005 J. Appl. Electrochem. 35 1059
Google Scholar
[3] Popović M, Romhanji E 2002 J. Mater. Process. Technol. 125–126 275
[4] Estrin Y, Vinogradov A 2013 Acta Mater. 61 782
Google Scholar
[5] Kuzmina M, Ponge D, Raabe D 2015 Acta Mater. 86 182
Google Scholar
[6] Huang C Q, Liu J X, Jia X D 2019 Int. J. Miner. Metall. Mater. 26 1140
Google Scholar
[7] Lu R Q, Zhang L, Zheng S W, Fu D F, Teng J, Chen J C, Zhao G D, Jiang F L, Zhang H 2022 Int. J. Miner. Metall. Mater. 29 108
Google Scholar
[8] Fan Z, Wang Y, Zhang Y, Qin T, Zhou X R Thompson G E, Pennycook T, Hashimoto T 2015 Acta Mater. 84 292
Google Scholar
[9] Li J H, Hage F S, Ramasse Q M, Schumacher P 2021 Acta Mater. 206 116652
Google Scholar
[10] 吴俊子, 贾锦玉, 姜佳鑫 2018 稀土信息 2 30
Wu J Z, Jia J Y, Jiang J X 2018 Rare Earth Inform. 2 30
[11] Zheng Q J, Jiang H X, He J, Zhang L L, Zhao J Z 2021 Sci. China Technol. Sc. 64 2012
Google Scholar
[12] 郑秋菊, 叶中飞, 江鸿翔, 卢明, 张丽丽, 赵九洲 2021 金属学报 57 103
Zheng Q J, Ye Z F, Jiang H X, Lu M, Zhang L L, Zhao J Z, 2021 Acta Metall. Sin. 57 103
[13] 杨林洁, 张丽丽, 江鸿翔, 何杰, 赵九洲 2023 物理学报 72 086401
Google Scholar
Yang L J, Zhang L L, Jiang H X, He J, Zhao J Z 2023 Acta Phys. Sin. 72 086401
Google Scholar
[14] Zhang L L, Jiang H X, Zhao J Z, He J 2017 J. Mater. Process. Technol. 246 205
Google Scholar
[15] Han Y F, Shu D, Wang J, Sun B D 2006 Mater. Sci. Eng. A 430 326
Google Scholar
[16] Kori S A, Murty B S, Chakraborty M 1999 Mater. Sci. Eng. 15 986
[17] 丁旭, 孟令刚, 姜立, 房灿峰, 周秉文, 亚斌, 赵丰, 张兴国 2018 特种铸造及有色合金 38 772
Ding X, Meng L G, Jiang L, Fang C F, Zhou B W, Ya B, Zhao F, Zhang X G 2018 Spec. Cast. Nonferrous Alloys 38 772
[18] 李敏敏, 张恒华, 邵光杰, 许珞萍, 马竹青, 张先念 2005 特种铸造及有色合金 25 61
Li M M, Zhang H H, Shao G J, Xu L P, Ma Z Q, Zhang X N 2005 Spec. Cast. Nonferrous Alloys 25 61
[19] Li J H, Hage F S, Ramasse Q M, Schumacher P 2021 Acta Mater. 206 1359
[20] Cheng X H, Mao J 2017 Hot Working Technol. 46 95
[21] Zhang L L, Zheng Q J, Jiang H X, He J, Zhao J Z 2020 J. Mater. Sci. 55 7546
Google Scholar
[22] Elliott R P, Shunk F A 1981 Bull. Alloy Phase Diagrams 2 219
Google Scholar
[23] Jones G P, Pearson J 1976 Metall. Trans. 7 223
Google Scholar
[24] Liu D M, Zhao J Z, Ye H Q 2004 Mater. Sci. Eng. A 372 229
Google Scholar
[25] 李淑波, 杜文博, 王旭东, 刘轲, 王朝辉 2018 金属学报 54 911
Li S B, Du W B, Wang X D, Liu K, Wang C H 2018 Acta Metall. Sin. 54 911
[26] Zhang L L, Zheng Q J, Jiang H X, Zhao J Z 2019 Scr. Mater. 160 25
Google Scholar
[27] Wynblatt P 2008 Annu. Rev. Mater. Res. 38 173
Google Scholar
[28] Men H, Fan Z Y 2014 Metall. Mater. Trans. A 45 5508
Google Scholar
[29] Wynblatt P, Chatain D 2006 Metall. Mater. Trans. A 37 2595
Google Scholar
[30] 张丽丽, 吉宗威, 赵九洲, 何杰, 江鸿翔 2023 金属学报 59 1541
Zhang L L, Ji Z W, Zhao J Z, He J, Jiang H X 2023 Acta Metall. Sin. 59 1541
[31] Zhang L L, Jiang H X, He J, Zhao J Z 2020 Scr. Mater. 179 99
Google Scholar
[32] Zhong Y, Yang M, Liu Z K 2005 Calphad 29 303
Google Scholar
[33] Mohanty P S, Gruzleski J E 1995 Acta Metall. Mater. 43 2001
Google Scholar
计量
- 文章访问数: 398
- PDF下载量: 11
- 被引次数: 0








下载: