-
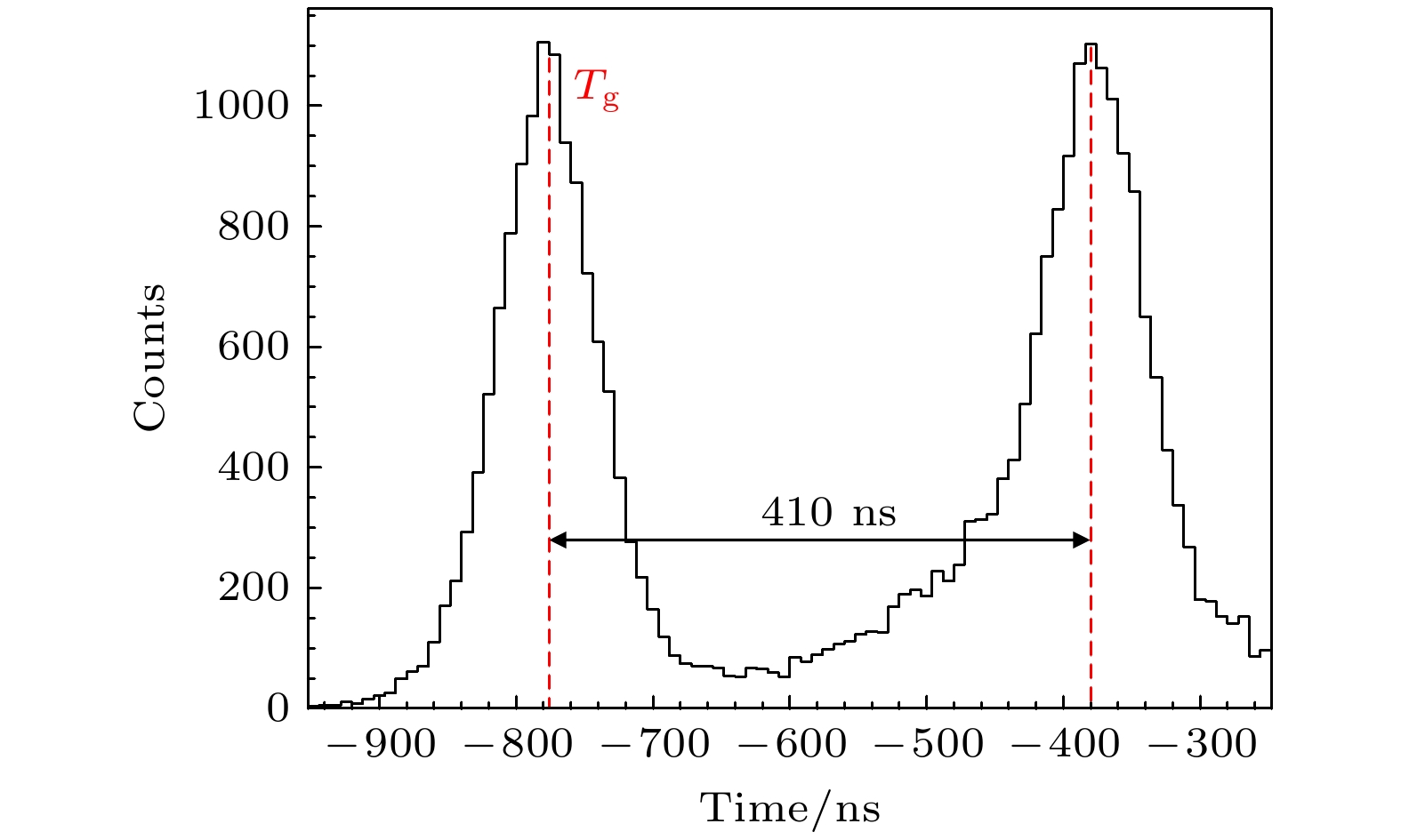
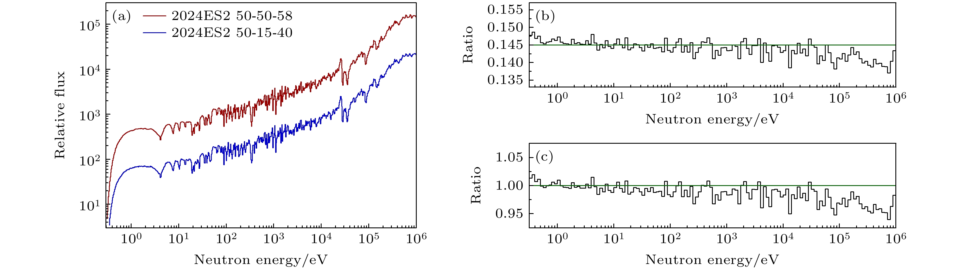
中国散裂中子源(CSNS)反角白光中子实验装置(Back-n)提供的中子束流覆盖0.3 eV–300 MeV能量范围,是我国开展中子核反应研究的重要研究平台。Back-n实验厅二飞行距离达到76 m,具有良好的中子能量分辨率,为涉及天体核合成、重要核数据的中子俘获反应截面测量等实验研究提供了优异的束流条件。中子俘获反应截面测量主要利用中低能(1 MeV以内)的中子开展研究,实验结果精度十分依赖中低能区中子能谱。受益于CSNS的稳定运行,Back-n的中子能谱在较长时期内十分稳定,但也会随着CSNS的靶体、束窗等部件的结构调整而演变。本工作利用Back-n实验厅二的6Li-Si束流监测器开展了不同时期的50-15-40准直器设置下中低能区中子能谱测量。得到了在2024年更换质子束窗和2025年CSNS调整靶体结构前后,Back-n实验厅二0.3 eV–1 MeV中子能量区间的相对能谱(100 bpd),并将解谱起点降低至10 eV,不确定度为1%–6.8%。结果表明,2024年调整质子束窗降低了eV至keV能区的中子通量并显著改变了能谱形状; 2025年靶体调整略增加了eV至keV能区的中子通量并略改变能谱形状。此外,通过对两种不同常用的准直器设置下的中子能谱进行分析,也比较了其能谱形状差异。本工作为在Back-n实验厅二开展的中子俘获反应截面测量等研究提供了关键数据支撑。本文数据集可在科学数据银行数据库https://www.scidb.cn/s/ArAvAn中访问获取。The Back-n white neutron facility at the China Spallation Neutron Source (CSNS) provides neutrons in the 0.3 eV –300 MeV energy range, severing as a crucial platform for neutron-induced nuclear reaction studies in China. With a flight length of about 76 m, neutrons in Endstation 2 show excellent neutron energy resolution, providing nice conditions for experiments such as neutron capture cross-section measurements relevant to astrophysical nucleosynthesis and key nuclear data. Measurements of neutron capture reactions mainly employ low- to intermediate-energy neutrons (below 1 MeV), and the precision of experimental results strongly depends on the neutron energy spectrum in this energy range. Benefiting from the stable operation of the CSNS, the neutron energy spectrum of Back-n remains highly stable over extended periods, but it also evolves with structural adjustments of the CSNS’s components such as the target and beam window. In this work, the 6Li-Si beam monitor at Back-n Endstation 2 was used to measure the low- to intermediate-energy neutron spectrum under the 50-15-40 collimator configuration in different preiods. Relative neutron energy spectra in the 0.3 eV-1 MeV range (100 bpd) were obtained before and after the proton beam window replacement in 2024 and the target structure adjustment in 2025. The unfolding threshold was extended down to 10 eV, achieving total uncertainty of 1%–6.8%. The results indicate that the new proton beam window reduced the neutron flux intensity in the eV to keV energy range and significantly altered the spectral shape, while adjustments to the target slightly increased the neutron flux intensity in the eV to keV range and marginally modified the spectral shape. Additionally, by analyzing the neutron energy spectra under two different commonly used collimator configurations, the differences in their spectral shapes were also compared. This work provides essential data support for neutron capture cross-section measurements and related studies carried out at the Back-n ES#2. The datasets presented in this paper are openly available at https://www.scidb.cn/s/ArAvAn.
-
Keywords:
- Back-n /
- Neutron Energy Spectrum /
- Neutron Capture Reaction /
- Cross-section Measurement /
-
[1] Chen H, Wang X L 2016 Nat. Mater. 15 689
[2] Bao J, Chen Y H, Zhang X P, Luan G Y, Ren J, Wang Q, Ruan X C, Zhang K, An Q, Bai H Y, Cao P, Chen Q P, Cheng P J, Cui Z Q, Fan R R, Feng C Q, Gu M H, Guo F Q, Han C C, Han Z J, He G Z, He Y C, He Y F, Huang H X, Huang W L, Huang X R, Ji X L, Ji X Y, Jiang H Y, Jiang W, Jing H T, Kang L, Kang M T, Lan C L, Li B, Li L, Li Q, Li X, Li Y, Li Y, Liu R, Liu S B, Liu X Y, Ma Y L, Ning C J, Nie Y B, Qi B B, Song Z H, Sun H, Sun X Y, Sun Z J, Tan Z X, Tang H Q, Tang J Y, Wang P C, Wang T F, Wang Y F, Wang Z H, Wang Z, Wen J, Wen Z W, Wu Q B, Wu X G, Wu X, Xie L K, Yang Y W, Yang Y, Yi H, Yu L, Yu T, Yu Y J, Zhang G H, Zhang J, Zhang L H, Zhang L Y, Zhang Q M, Zhang Q W, Zhang Y L, Zhang Z Y, Zhang Y T, Zhao Y T, Zhou L, Zhou Z Y, Zhu D Y, Zhu K J, Zhu P 2019 Acta Phys. Sin. 68 080101. (in Chinese)
[3] Chen Y H, Luan G Y, Bao J, Jing H T, Zhang L Y, An Q, Bai H Y, Cao P, Chen Q P, Cheng P J, Cui Z Q, Fan R R, Feng C Q, Gu M H, Guo F Q, Han C C, Han Z J, He G Z, He Y C, He Y F, Huang H X, Huang W L, Huang X R, Ji X L, Ji X Y, Jiang H Y, Jiang W, Kang L, Kang M T, Li B, Li L, Li Q, Li X, Li Y, Li Y, Liu R, Liu S B, Liu X Y, Ma Y L, Ning C J, Qi B B, Ren J, Ruan X C, Song Z H, Sun H, Sun X Y, Sun Z J, Tan Z X, Tang H Q, Tang J Y, Wang P C, Wang Q, Wang T F, Wang Y F, Wang Z H, Wang Z, Wen J, Wen Z W, Wu Q B, Wu X G, Wu X, Xie L K, Yang Y W, Yi H, Yu L, Yu T, Yu Y J, Zhang G H, Zhang J, Zhang L H, Zhang Q M, Zhang Q W, Zhang X P, Zhang Y L, Zhang Z Y, Zhao Y T, Zhou L, Zhou Z Y, Zhu D Y, Zhu K J, Zhu P 2019 Eur. Phys. J. A 55 115
[4] [鲍杰, 陈永浩, 张显鹏 2019 物理学报 68 080101]
[5] Chen Y H, Luan G Y, Bao J, Jing H T, An Q, Bai H Y, Cao P, Chen Q P, Cheng P J, Cui Z Q, Fan R R, Feng C Q, Gu M H, Guo F Q, Han C C, Han Z J, He G Z, He Y C, He Y F, Huang H X, Huang W L, Huang X R, Ji X L, Ji X Y, Jiang H Y, Jiang W, Kang L, Kang M T, Li B, Li L, Li Q, Li X, Li Y, Li Y, Liu R, Liu S B, Liu X Y, Ma Y L, Ning C J, Qi B B, Ren J, Ruan X C, Song Z H, Sun H, Sun X Y, Sun Z J, Tan Z X, Tang H Q, Tang J Y, Wang P C, Wang Q, Wang T F, Wang Y F, Wang Z H, Wang Z, Wen J, Wen Z W, Wu Q B, Wu X G, Wu X, Xie L K, Yang Y, Yi H, Yu L, Yu T, Yu Y J, Zhang G H, Zhang J, Zhang L H, Zhang L Y, Zhang Q M, Zhang Q W, Zhang X P, Zhang Y L, Zhang Z Y, Zhao Y T, Zhou L, Zhou Z Y, Zhu D Y, Zhu K J, Zhu P 2020 ND 2019: International Conference on Nuclear Data for Science and Technology, Beijing, China, May 19–24, 2019 p17018
[6] Chen Y H, Qiu Y J, Li Q, Tang S D, Yang Y W, Ren Z Z, Jiang W, Fan R R, Yi H, Liu R, Tang J Y, Jing H T, Lan C L, Li Y, Tan Z X, An Q, Bai J B, Bao J, Bao Y, Cao P, Chen H L, Chen Q P, Chen Z, Cui Z Q, Feng C Q, Gao K Q, Gao X L, Gu M H, Han C C, Han Z J, He G Z, He Y C, Hong Y, Hu Y W, Huang H X, Huang X R, Jiang H Y, Jiang Z J, Kang L, Li B, Li C, Li J W, Li X, Liu J, Liu S B, Liu X Y, Long Z, Luan G Y, Ning C J, Niu M C, Qi B B, Ren J, Ruan X C, Song Z H, Sun K, Sun Z J, Tang X Y, Tian B B, Wang L J, Wang P C, Wang Z H, Wen Z W, Wu X G, Wu X, Xie L K, Yang X Y, Yu L, Yu T, Yu Y J, Zhang G H, Zhang L H, Zhang Q, Zhang X P, Zhang Y L, Zhang Z Y, Zhou L P, Zhou Z H, Zhu K J 2024 Eur. Phys. J. A 60 63
[7] Qiu Y J, Chen Y H, Li Q, Wang J C, Ren J, Tang S D, Fan R R, Yi H, Tang J Y, Ning C J, Jiang W, Li Y, Jing H T, Tan Z X 2025 Nucl. Instrum. Methods Phys. Res. A 1075 170383
[8] Tang J 2020 Proceedings of the ND 2019: International Conference on Nuclear Data for Science and Technology, Beijing, China, May 19– 24, 2019 p06002
[9] Li X K, An Z D, Jiang W, Zhang J Y, Bai R R, Liu S K, Li X X, Zhu Z C, Yang G L, Qiu W W, Liao Z F, Zhuang Z Y, Zhang X P, Chen S L, Guo C C, Xiao E X, Fang X, Wang H W, Hu X R, Jiang B, Shen W Q, Wang J C, Ren J, Ruan X C, Luo W, Lan H Y, Cao Z W, Ma X, Liu Y D, Wang P S, Yang Y, Su P, Deng X A, He W B, Ma Y G, Ma C W, Wang Y T, Dai Z T, Li E T, He P Q, Tang R G, Zhou T, Wang J, Yi H, Zhang Y, Chen Y H, Fan R R, Gao K Q, Li Q, Sun K, Tan Z X, Gu M H, Jing H T, Tang J Y 2023 Phys. Rev. C 108 035802
[10] Yang G L, An Z D, Jiang W, Li X K, Qiu W W, Liao Z F, Zhuang Z Y, Zhang X P, Chen S L, Guo C C, Xiao E X, Fang X, Li X X, Wang H W, Hu X R, Jiang B, Shen W Q, Wang J C, Ren J, Ruan X C, Wang D X, Zhang S Y, Luo W, Zhu Z C, Lan H Y, Cao Z W, Ma X, Liu Y D, Wang P S, Yang Y, Su P, Deng X A, He W B, Ma Y G, Ma C W, Wang Y T, Dai Z T, Li E T, He P Q, Tang R G, Zhou T, Wang J, Yi H, Zhang Y, Chen Y H, Fan R R, Gao K Q, Li Q, Sun K, Tan Z X, Gu M H, Jing H T, Tang J Y 2024 Phys. Rev. Res. 6 013225
[11] Gao X L, Jing H T. https://code.ihep. ac.cn/beag_csns/share/-/blob/main/doc/ %E5%8F%8D%E8%A7%92%E7%99%BD%E5%85%89% E9%9A%A7%E9%81%93%E4%B8%8D%E5%90%8C% E5%87%86%E7%9B%B4%E5%99%A8%E5%AD%94% E5%BE%84%E7%BB%84%E5%90%88%E5%AF%B9% E6%9D%9F%E6%B5%81%E7%9A%84%E5%BD%B1% E5%93%8D20200522.pdf?ref_type=heads. [2025-09-12]
[12] Yang Y W, Wen Z W, Han Z J, Wang M, Liu R, Wen J, Liu X Y, Chen Y H 2019 Nucl. Instrum. Methods Phys. Res. A 940 486
[13] Li Q, Luan G Y, Bao J, Tang J Y, Jing H T, Fan R R, Bai H Y, Jiang W, Ning C J, Ren J, Ruan X C, Chen Y H, Zhang G H, Yi H, An Q, Cao P, Chen Q P, Cheng P J, Cui Z Q, Feng C Q, Gu M H, Guo F Q, Han C C, Han Z J, He G Z, He Y C, He Y F, Huang H X, Huang W L, Huang X R, Ji X L, Ji X Y, Jiang H Y, Kang L, Kang M T, Li B, Li L, Li X, Li Y, Li Y, Liu R, Liu S B, Liu X Y, Ma Y L, Qi B B, Song Z, Sun H, Sun X Y, Sun Z, Tan Z, Tang H Q, Wang P C, Wang Q, Wang T F, Wang Y F, Wang Z, Wang Z, Wen J, Wen Z W, Wu Q B, Wu X G, Wu X, Xie L K, Yang Y W, Yu L, Yu T, Yu Y J, Zhang J, Zhang L H, Zhang L Y, Zhang Q M, Zhang Q W, Zhang X P, Zhang Y L, Zhang Z Y, Zhao Y T, Zhou L, Zhou Z Y, Zhu D Y, Zhu K J, Zhu P 2019 Nucl. Instrum. Methods Phys. Res. A 946 162497
[14] Ren J, Ruan X C, Jiang W, Bao J, Wang J C, Zhang Q W, Luan G Y, Huang H X, Nie Y B, Ge Z G, An Q, Bai H Y, Bao Y, Cao P, Chen H L, Chen Q P, Chen Y H, Chen Y K, Chen Z, Cui Z Q, Fan R R, Feng C Q, Gao K Q, Gu M H, Han C C, Han Z J, He G Z, He Y C, Hong Y, Huang W L, Huang X R, Ji X L, Ji X Y, Jiang H Y, Jiang Z J, Jing H T, Kang L, Kang M T, Li B, Li C, Li J W, Li L, Li Q, Li X, Li Y, Liu R, Liu S B, Liu X Y, Mu Q L, Ning C J, Qi B B, Ren Z Z, Song Y P, Song Z H, Sun H, Sun K, Sun X Y, Sun Z J, Tan Z, Tang H Q, Tang J Y, Tang X Y, Tian B B, Wang L J, Wang P C, Wang Q, Wang T F, Wang Z, Wen J, Wen Z W, Wu Q B, Wu X G, Wu X, Xie L K, Yang Y W, Yi H, Yu L, Yu T, Yu Y J, Zhang G H, Zhang L H, Zhang X P, Zhang Y L, Zhang Z Y, Zhao Y B, Zhou L P, Zhou Z Y, Zhu D Y, Zhu K J, Zhu P, The CSNS Back-n Collaboration 2022 Chin. Phys. C 46 044002
[15] Gan L, Sun H B, Jiang W, Li Z H, Zhong J, Rohilla A, Huang Z Y, Li X Y, Nan W, Nan W K, Hu S P, Li E T 2024 Phys. Rev. C 110 025802
[16] Chen Y J, Li X X, Jiang W, Ren J, Xie W, Wang H W, Fan G T, Liu L X, Zhang Y, Lin Z A, Jiang T, Li Z C, Luo K J, Shi X M, Li X K, Cao Z W, Yang G L, An Z D, Jiang B, Luo W 2025 Phys. Rev. C 111 054607
[17] Luo H T, Zhang Q W, Luan G Y, Wang X Y, Zou C, Ren J, Ruan X C, He G Z, Bao J, Sun Q, Huang H X, Wang Z H, Wu H Y, Gu M H, Yu T, Xie L K, Chen Y H, An Q, Bai H Y, Bao Y, Cao P, Chen H L, Chen Q P, Chen Y K, Chen Z, Cui Z Q, Fan R R, Feng C Q, Gao K Q, Han C C, Han Z J, He Y C, Hong Y, Huang W L, Huang X R, Ji X L, Ji X Y, Jiang W, Jiang H Y, Jiang Z J, Jing H T, Kang L, Kang M T, Li B, Li C, Li J W, Li L, Li Q, Li X, Li Y, Liu R, Liu S B, Liu X Y, Mu Q L, Ning C J, Qi B B, Ren Z Z, Song Y P, Song Z H, Sun H, Sun K, Sun X Y, Sun Z J, Tan Z X, Tang H Q, Tang J Y, Tang X Y, Tian B B, Wang L J, Wang P C, Wang Q, Wang T F, Wen J, Wen Z W, Wu Q B, Wu X G, Wu X, Yang Y W, Yi H, Yu L, Yu Y J, Zhang G H, Zhang L H, Zhang X P, Zhang Y L, Zhang Z Y, Zhao Y B, Zhou L P, Zhou Z Y, Zhu D Y, Zhu K J, Zhu P, Zhu X H 2024 Acta Phys. Sin. 73 072801
[18] Li X X, Liu L X, Jiang W, Ren J, Wang H W, Fan G T, He J J, Cao X G, Song L L, Zhang Y, Hu X R, Hao Z R, Kuang P, Jiang B, Wang X H, Hu J F, Wang J C, Wang D X, Zhang S Y, Liu Y D, Ma X, Ma C W, Wang Y T, An Z D, Su J, Zhang L Y, Yang Y X, Liu W B, Su W Q, Jin S, Chen K J 2022 Chinese Physics B 31 038204
[19] Jiang B, Han J L, Ren J, Jiang W, Wang X H, Guo Z, Zhang J L, Hu J F, Chen J G, Cai X Z, Wang H W, Liu L X, Li X X, Hu X R, Zhang Y 2022 Chinese Physics B 31 060101
[20] Gu M H, Xue J M, Li Y K, Cao P, Ren J, Chen Y H, Jiang W, Yi H, Hu P, Fan R R 2025 Nucl. Sci. Tech. 36 203
[21] Yi H, Wang T F, Li Y, Ruan X C, Ren J, Chen Y H, Li Q, Wen J, Tang J Y, An Q, Bai H Y, Bao J, Bao Y, Cao P, Chen H L, Chen Q P, Chen Y K, Chen Z, Cui Z Q, Fan R R, Feng C Q, Gao K Q, Gu M H, Han C C, Han Z J, He G Z, He Y C, Hong Y, Huang H X, Huang W L, Huang X R, Ji X L, Ji X Y, Jiang H Y, Jiang W, Jiang Z J, Jing H T, Kang L, Kang M T, Li B, Li C, Li J W, Li L, Li X, Liu R, Liu S B, Liu X Y, Luan G Y, Mu Q L, Ning C J, Qi B B, Ren Z Z, Song Y P, Song Z H, Sun H, Sun K, Sun X Y, Sun Z J, Tan Z X, Tang H Q, Tang X Y, Tian B B, Wang L J, Wang P C, Wang Q, Wang Z H, Wen Z W, Wu Q B, Wu X G, Wu X, Xie L K, Yang Y W, Yu L, Yu T, Yu Y J, Zhang G H, Zhang L H, Zhang Q W, Zhang X P, Zhang Y L, Zhang Z Y, Zhao Y B, Zhou L P, Zhou Z Y, Zhu D Y, Zhu K J, Zhu P 2020 J. Instrum. 15 P03026
[22] Wang Q, Cao P, Qi X, Yu T, Ji X, Xie L, An Q 2018 Rev. Sci. Instrum. 89 013511
[23] Carlson A D, Pronyaev V G, Capote R, Hale G M, Chen Z P, Duran I, Hambsch F J, Kunieda S, Mannhart W, Marcinkevicius B, Nelson R O, Neudecker D, Noguere G, Paris M, Simakov S P, Schillebeeckx P, Smith D L, Tao X, Trkov A, Wallner A, Wang W 2018 Nuclear Data Sheets 148 143
[24] Xue J M, Feng S, Chen Y H, Yi H, Li X X, Xiao M, Cheng P J, Liu R, Yang Y W, Han Z J, Zhao D J, Wang H Q, Li B Q, Zhao J R, Liu Z J, Chen C M, Luo W, Zheng B 2023 Chin. Phys. C 47 124001
[25] Coceva C, Frisoni M, Magnani M, Mengoni A 2002 Nucl. Instrum. Methods Phys. Res. A 489 346
[26] Lorusso G, Colonna N, Marrone S, Tagliente G, Heil M, Cano-Ott D, Mosconi M, Moreau C, Mengoni A, Abbondanno U, Aerts G, AlvarezPol H, Alvarez-Velarde F, Andriamonje S, Andrzejewski J, Angelopoulos A, Assimakopoulos P, Badurek G, Baumann P, Bečvář F, Benlliure J, Berthomieux E, Bisceglie E, Calviño P, Capote R, Cennini P, Chepel V, Chiaveri E, Coceva C, Cortes G, Cortina D, Couture A, Cox J, Dababneh S, Dahlfors M, David S, Dolfini R, Domingo-Pardo C, Duran I, Eleftheriadis C, Segura M E, Ferrant L, Ferrari A, Ferreira-Marques R, Frais-Koelbl H, Furman W I, Goncalves I F, Gonzalez-Romero E, Goverdovski A, Gramegna F, Griesmayer E, Gunsing F, Haas B, Haight R, HerreraMartinez A, Ioannides K G, Isaev S, Jericha E, Käppeler F, Kadi Y, Karamanis D, Ketlerov V, Kitis G, Koehler P E, Konovalov V, Kossionides E, Krticka M, Leeb H, Lindote A, Lopes M I, Lozano M, Lukic S, Marganiec J, Mastinu P F, Milazzo P M, Molina-Coballes A, Neves F, Oberhummer H, O’ Brien S, Pancin J, Paradela C, Pavlik A, Pavlopoulos P, Perrot L, Peskov V, Plag R, Plompen A, Plukis A, Poch A, Policarpo A, Pretel C, Quesada J M, Rapp W, Rauscher T, Reifarth R, Rosetti M, Rubbia C, Rudolf G, Rullhusen P, Salgado J, Savvidis E, Soares J C, Stephan C, Tain J L, TassanGot L, Tavora L M N, Terlizzi R, Tsangas N, Vannini G, Vaz P, Ventura A, Villamarin D, Vincente M C, Vlachoudis V, Vlastou R, Voss F, Wendler H, Wiescher M, Wisshak K 2004 Nucl. Instrum. Methods Phys. Res. A 532 622
[27] Meo S L, Cortés-Giraldo M A, Massimi C, Lerendegui-Marco J, Barbagallo M, Colonna N, Guerrero C, Mancusi D, Mingrone F, Quesada J M, Sabate-Gilarte M, Vannini G, Vlachoudis V, n_TOF Collaboration T 2015 Eur. Phys. J. A 51 160
[28] Brown D A, Chadwick M B, Capote R, Kahler A C, Trkov A, Herman M W, Sonzogni A A, Danon Y, Carlson A D, Dunn M, Smith D L, Hale G M, Arbanas G, Arcilla R, Bates C R, Beck B, Becker B, Brown F, Casperson R J, Conlin J, Cullen D E, Descalle M A, Firestone R, Gaines T, Guber K H, Hawari A I, Holmes J, Johnson T D, Kawano T, Kiedrowski B C, Koning A J, Kopecky S, Leal L, Lestone J P, Lubitz C, Damián J I M, Mattoon C M, McCutchan E A, Mughabghab S, Navratil P, Neudecker D, Nobre G P A, Noguere G, Paris M, Pigni M T, Plompen A J, Pritychenko B, Pronyaev V G, Roubtsov D, Rochman D, Romano P, Schillebeeckx P, Simakov S, Sin M, Sirakov I, Sleaford B, Sobes V, Soukhovitskii E S, Stetcu I, Talou P, Thompson I, van der Marck S, WelserSherrill L, Wiarda D, White M, Wormald J L, Wright R Q, Zerkle M, Žerovnik G, Zhu Y 2018 Nucl. Data Sheets 148 1
[29] Cabellos O, Alvarez-Velarde F, Angelone M, Diez C J, Dyrda J, Fiorito L, Fischer U, Fleming M, Haeck W, Hill I, Ichou R, Kim D H, Klix A, Kodeli I, Leconte P, Michel-Sendis F, Nunnenmann E, Pecchia M, Peneliau Y, Plompen A, Rochman D, Romojaro P, Stankovskiy A, Sublet J C, Tamagno P, van der Marck S 2017 ND 2016: International Conference on Nuclear Data for Science and Technology, Bruges, Belgium, September 11–16, 2016 p06004
[30] Blokhin A I, Gai E V, Ignatyuk A V, Koba I I, Manokhin V N, Pronyaev V G 2016 Yad. Fiz. Reak. Konst. 2 62
[31] Joint Committee for Guides in Metrology (JCGM) 2008 Evaluation of measurement data —Guide to the expression of uncertainty in measurement (GUM 1995 with minor corrections). JCGM 100:2008(E), first edition, corrected version 2010 edn. (Sèvres, France: Bureau International des Poids et Mesures (BIPM)), p 10
[32] Bai H Y, Fan R, Jiang H Y, Cui Z Q, Hu Y W, Zhang G H, Chen Z P, Jiang W, Yi H, Tang J Y, Zhou L, An Q, Bao J, Cao P, Chen Q P, Chen Y H, Cheng P J, Feng C Q, Gu M H, Guo F Q, Han C C, Han Z J, He G Z, He Y C, He Y F, Huang H X, Huang W L, Huang X R, Ji X L, Ji X Y, Jing H T, Kang L, Kang M T, Li B, Li L, Li Q, Li X, Li Y, Li Y, Liu R, Liu S B, Liu X Y, Luan G Y, Ma Y L, Ning C J, Qi B B, Ren J, Ruan X C, Song Z H, Sun H, Sun X Y, Sun Z J, Tan Z X, Tang H Q, Wang P C, Wang Q, Wang T F, Wang Y F, Wang Z H, Wang Z, Wen J, Wen Z W, Wu Q B, Wu X G, Wu X, Xie L K, Yang Y W, Yu L, Yu T, Yu Y J, Zhang J, Zhang L H, Zhang L Y, Zhang Q M, Zhang Q W, Zhang X P, Zhang Y L, Zhang Z Y, Zhao Y T, Zhou Z Y, Zhu D Y, Zhu K J, Zhu P 2020 Chin. Phys. C 44 014003
[33] Ren J, Ruan X C, Jiang W, Bao J, Wang J C, Zhang Q W, Luan G Y, Huang H X, Nie Y B, Ge Z G, An Q, Bai H Y, Bao Y, Cao P, Chen H L, Chen Q P, Chen Y H, Chen Y K, Chen Z, Cui Z Q, Fan R R, Feng C Q, Gao K Q, Gu M H, Han C C, Han Z J, He G Z, He Y C, Hong Y, Huang W L, Huang X R, Ji X L, Ji X Y, Jiang H Y, Jiang Z J, Jing H T, Kang L, Kang M T, Li B, Li C, Li J W, Li L, Li Q, Li X, Li Y, Liu R, Liu S B, Liu X Y, Mu Q L, Ning C J, Qi B B, Ren Z Z, Song Y P, Song Z H, Sun H, Sun K, Sun X Y, Sun Z J, Tan Z X, Tang H Q, Tang J Y, Tang X Y, Tian B B, Wang L J, Wang P C, Wang Q, Wang T F, Wang Z H, Wen J, Wen Z W, Wu Q B, Wu X G, Wu X, Xie L K, Yang Y W, Yi H, Yu L, Yu T, Yu Y J, Zhang G H, Zhang L H, Zhang X P, Zhang Y L, Zhang Z Y, Zhao Y B, Zhou L P, Zhou Z Y, Zhu D Y, Zhu K J, Zhu P, The Csns Back-n Collaboration 2022 Chin. Phys. C 46 044002
计量
- 文章访问数: 342
- PDF下载量: 9
- 被引次数: 0








下载: