搜索

x
中国物理学会期刊

稀土-过渡金属亚铁磁材料中的Dzyaloshinskii-Moriya相互作用与自旋电子学应用

CSTR: 32037.14.aps.75.20251455

Dzyaloshinskii-Moriya interaction in rare-earth transition metal ferrimagnetic materials and spintronic applications

CSTR: 32037.14.aps.75.20251455
PDF
HTML
导出引用
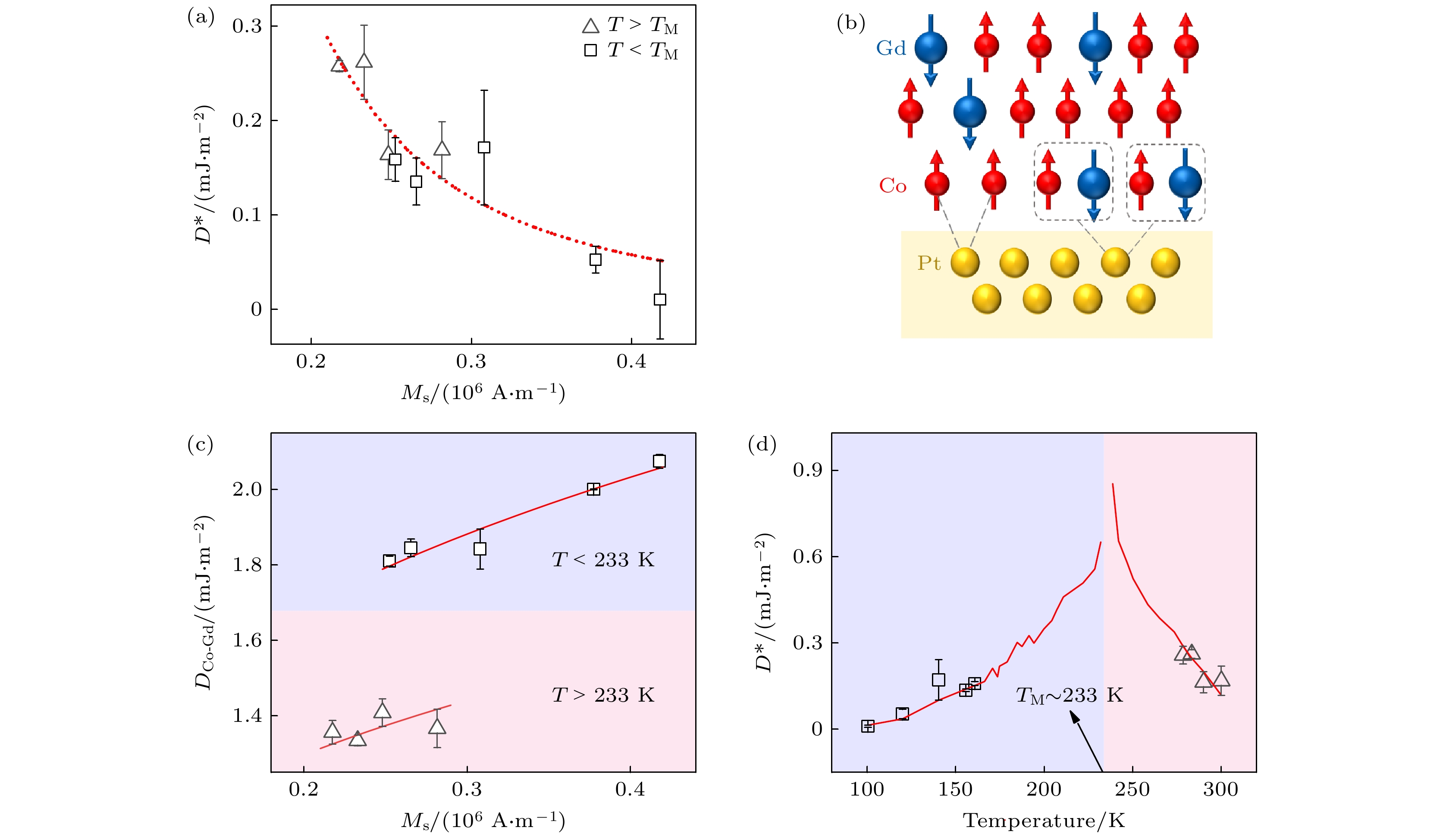
  • Dzyaloshinskii-Moriya相互作用(DMI)是一种源于自旋轨道耦合与结构反演对称破缺的非对称交换作用, 是诱导非共线磁序与手性磁结构的关键机制之一. 稀土-过渡金属亚铁磁材料兼具稀土元素的强自旋轨道耦合与过渡金属的强磁交换作用, 表现出超快磁化动力学、高度可调的磁结构以及丰富的自旋输运行为, 为研究与调控DMI提供了理想的材料平台, 在未来高密度磁存储与自旋电子学器件中展现出重要应用潜力. 本文系统阐述了DMI的微观物理起源, 概述了稀土-过渡金属亚铁磁材料的基本特性, 并深入探讨了DMI与亚铁磁序之间的耦合机制, 介绍了基于稀土-过渡金属亚铁磁材料DMI的斯格明子磁性隧道结和类脑神经计算等自旋电子学器件, 为发展面向未来的先进自旋电子技术提供了理论依据与技术指引.

     

    Magnetic exchange interactions and their induced magnetic structures are crucial factors in determining magnetization switching. Dzyaloshinskii-Moriya interaction (DMI) is an asymmetric exchange interaction arising from spin-orbit coupling and structural inversion symmetry breaking, which is one of the key mechanisms to induce non-collinear magnetic order and chiral magnetic structures, including magnetic Skyrmion, vortex and chiral domain wall. These magnetic structures enable novel information proceeding devices with ultralow power consumption. More importantly, non-collinear magnetic order exhibits richer and more novel physical behaviors than traditional collinear magnetic structures. With ongoing exploration and research into magnetic materials, rare-earth transition metal ferrimagnetic materials such as CoGd, CoTb, and GdFeCo have emerged as notable candidates. These materials combine the spin-orbit coupling of rare-earth elements with the magnetic exchange interactions of transition metals, leading to ultrafast magnetization dynamics, tunable magnetic structures, and rich spin transport phenomena. These properties provide an ideal material platform for studying and manipulating DMI, demonstrating significant potential in designing future high-density magnetic storage and spintronic devices. This review systematically elucidates the microscopic physical origin of DMI, outlines the fundamental characteristics of rare-earth transition metal ferrimagnetic materials, and explores the coupling mechanisms between DMI and ferrimagnetic order. We introduce the fundamental properties of RE-TM systems and their applications in spin logic devices and magnetic memory devices. We focus on discussing the physical phenomena related to DMI in RE-TM systems, including the scaling relationship of DMI in RE-TM, DMI-related spin-orbit torque effects, and the principles and applications of skyrmion-based devices, which will provide both theoretical foundations and technical guidance for the future development of advanced spintronic technologies.

     

    目录

    /

    返回文章
    返回