-
空中飞行器在飞行过程中对邻近大气环境造成扰动, 形成明显有别于自然背景的大气密度空间分布特征. 本文提出基于大气扰动密度场远距离感知飞行器存在的构想, 针对性地设计了对大气扰动区域散射光进行三维层析成像的探测模式, 以及扰动光信号产生、传递和响应的全过程仿真链路. 重点解决了在短曝光条件和激光脉冲二次散射作用下的成像调制传递函数估算问题, 构建了飞行器扰动密度场的光散射回波成像仿真模型. 模拟了大气扰动密度场对主动光源的散射回波信号图像和与无扰动背景的差异图像, 并在此基础上讨论了不同系统参数下的仿真结果. 该模型可以为探测系统设计提供分析工具, 并为相关探测技术的发展提供基础.During flight operations, aircraft induces atmospheric disturbances in the surrounding environment through aerodynamic interactions between its geometric configuration and ambient air medium, resulting in spatially distinct density distribution characteristics that are significantly different from natural background scenario. Considering the positive correlation between atmospheric medium density and light scattering intensity, theoretical analysis shows that detecting the light scattering intensity signals in disturbed regions can map density distributions, thereby extracting the features of aircraft-induced atmospheric disturbance density fields. Based on the concept of long-range aircraft detection through atmospheric disturbance density field characterization, a novel remote sensing method for aircraft detection is proposed in this work. Specifically, a three-dimensional tomographic imaging detection mode for scattered light in an atmospheric disturbance region is designed, and a comprehensive simulation framework covering the entire process of disturbance optical signal generation, transmission, and response is constructed. The study accomplishes the following tasks: 1) the critical challenges in estimating the imaging modulation transfer function under short-exposure conditions subjected to laser pulse secondary scattering effects are resolved, and a photon scattering echo imaging simulation model for aircraft-induced disturbance density fields is established; 2) the scattering echo signal images from active light sources in disturbed density fields and the differential images obtained under disturbed background and non-disturbed background are simulated, with simulation results under varying system parameters analyzed systematically. The research demonstrates that this simulation model can be used to optimize detection system parameters, develop signal processing methods, and assess long-range detection capabilities, thus providing both theoretical foundations and technical support for advancing aircraft detection technologies based on density disturbance characteristics.
-
Keywords:
- density field /
- atmospheric disturbance /
- active detection /
- imaging simulation
[1] 任维贺, 张月, 苏云, 张学敏, 邓红艳, 柳祎 2022 红外与激光工程 51 20210843
Google Scholar
Ren W H, Zhang Y, Su Y, Zhang X M, Deng H Y, Liu Y 2022 Infrared and Laser Engineering 51 20210843
Google Scholar
[2] Pan W J, Jiang Y Q, Zhang Y Q 2023 Sustainability 15 6391
Google Scholar
[3] Wei Z Q, Li X C, Liu F 2022 Int. J. Aeronaut. Space Sci. 23 406
Google Scholar
[4] Liu Z R, Mao J M 2003 Chin. Phys. Lett. 20 206
Google Scholar
[5] 潘卫军, 栾天, 康贤彪, 张庆宇, 任杰, 张强 2019 空气动力学学报 37 511
Google Scholar
Pan, W J, Luan, T, Kang, X, Zhang Q Y, Ren, J, Zhang, Q 2019 Acta Aerodyn. Sin. 37 511
Google Scholar
[6] Garnet M, Altman A 2009 J. Aircr. 46 263
Google Scholar
[7] Burnham D C, Hallock J N 2013 J. Aircr. 50 82
Google Scholar
[8] Köpp F, Rahm S, Smalikho I 2004 J. Atmos. Oceanic Technol. 21 194
Google Scholar
[9] Yoshikawa E, Matayoshi N 2017 AIAA J. 55 2269
Google Scholar
[10] Gao H, Li J B, Chan P W, Hon K K, Wang X S 2018 Opt. Express 26 16377
Google Scholar
[11] Marshall R E, Mudukutore A, Wissel V L H, Myers T 1998 Three-Centimeter Doppler Radar Observations of Wingtip-Generated Wake Vortices in Clear Air Report No. NASA/ CR-97-206260
[12] 武宇, 易仕和, 陈植, 张庆虎, 冈敦殿 2013 物理学报 62 184702
Google Scholar
Wu Y, Yi S H, Chen Z, Zhang Q H, Gang D D 2013 Acta Phys. Sin. 62 184702
Google Scholar
[13] 易仕和, 陈植 2015 物理学报 64 199401
Google Scholar
Yi S, Chen Z 2015 Acta Phys. Sin. 64 199401
Google Scholar
[14] Sun Q, Cui W, Li Y H, Cheng B Q, Jin D, Li J 2014 Chin. Phys. B 23 075210
Google Scholar
[15] Heineck J T, Banks D W, Smith N T, Schairer E T, Bean P S, Robillos T 2021 AIAA J. 59 11
Google Scholar
[16] Heineck J T, Banks D W, Schairer E T, Haering E A Jr., Bean P S 2016 AIAA Flight Testing Conference Washington, DC, USA, June 13–17, 2016 p11
[17] 李新亮 2015 航空学报 36 147
Google Scholar
Li X L 2015 Acta Aeronaut. ET Astronaut. Sin. 36 147
Google Scholar
[18] Yu C P, Hu R N, Yan Z, Li X L 2022 J. Fluid Mech. 940 A18
Google Scholar
[19] Hu R N, Li X L, Yu C P 2023 J. Fluid Mech. 972 A14
Google Scholar
[20] Hu R N, Li X L, Yu C P 2022 J. Fluid Mech. 946 A19
Google Scholar
[21] 卞正富 2002 测量学 (北京: 中国农业出版社) 第17页
Bian Z F 2002 Surveying (Beijing: China Agriculture Press) p17
[22] 黄金 2024 硕士学位论文 (西安: 西安理工大学)
Huang J 2024 M. S. Dissertation (Xi’an: Xi’an University of Technology
[23] 崔洪鲁, 闫召爱, 张炳炎, 郭文杰, 胡雄 2020 空间科学学报 40 1046
Google Scholar
Cui H L, Yan Z, Zhang B Y, Guo W J, Hu X 2020 Chin. J. Space Sci. 40 1046
Google Scholar
[24] 陈胜哲 2014 博士学位论文 (北京: 北京理工大学)
Chen S Z 2014 Ph. D. Dissertation (Beijing: Beijing Institute of Technology
[25] 刘厚通, 陈良富, 苏林 2011 物理学报 60 064204
Google Scholar
Liu H T, Chen L F, Su L 2011 Acta Phys. Sin. 60 064204
Google Scholar
[26] 白珺, 袁艳, 苏丽娟, 孙成明 2012 现代电子技术 35 124
Google Scholar
Bai J, Yuan Y, Su L J, Sun C M 2012 Modern Electron. Tech. 35 124
Google Scholar
[27] 马雪莲 2015 光子学报 44 0601003
Google Scholar
Ma X L 2015 Acta Photonica Sin. 44 0601003
Google Scholar
[28] 陈武喝 1999 光电子·激光 10 375
Google Scholar
Chen W H 1999 J. Optoelectron. ·Laser 10 375
Google Scholar
-
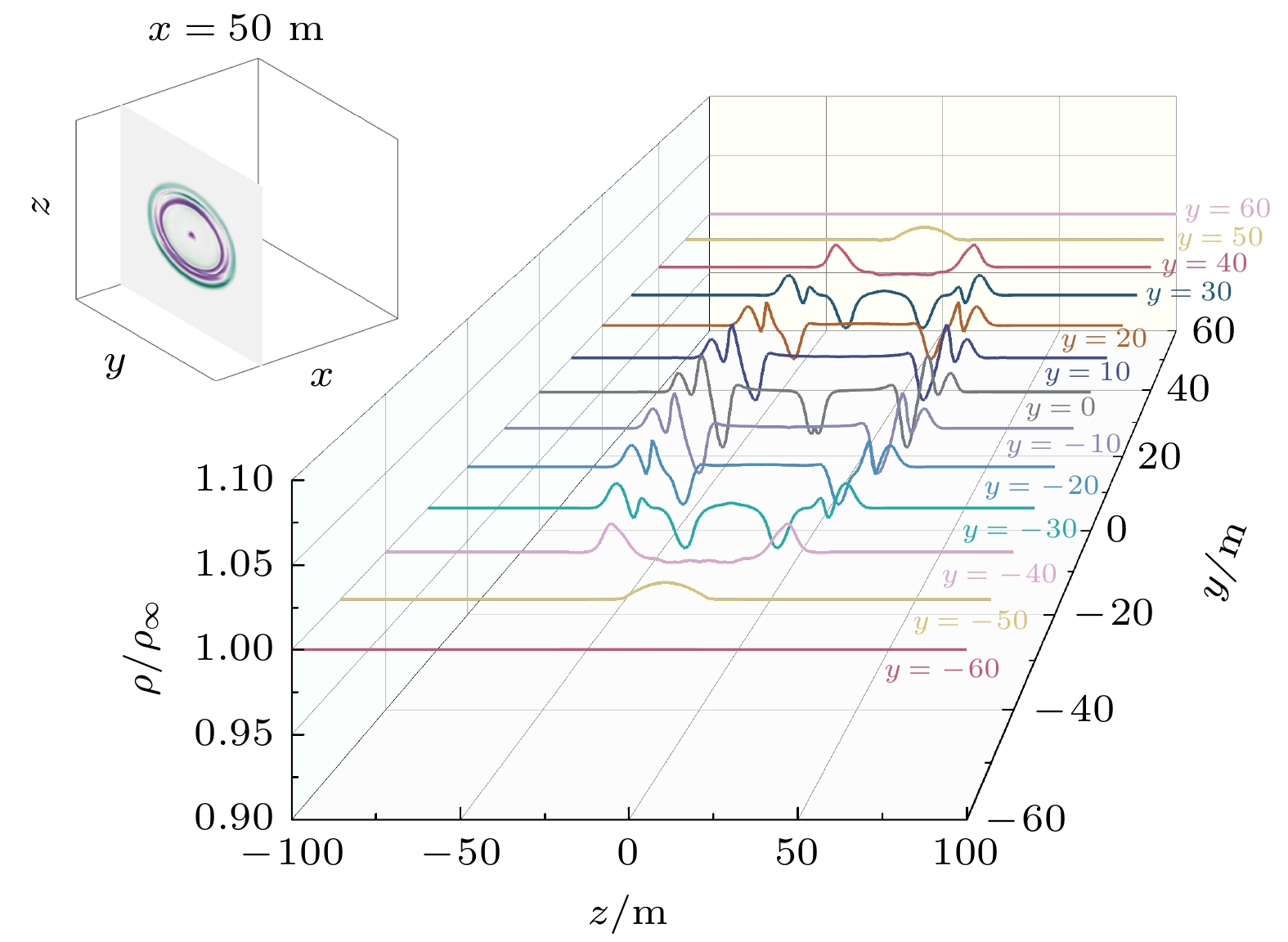
图 15 大气扰动密度场光散射层析成像探测结果图 (a), (c), (e)散射回波信号; (b), (d), (f) 与无扰动背景的差异
Fig. 15. Tomographic imaging detection results of light scattering in atmospheric disturbance density field: (a), (c), (e) Scattering echo signals; (b), (d), (f) the differential images obtained by comparing disturbed and non-disturbed background.
-
[1] 任维贺, 张月, 苏云, 张学敏, 邓红艳, 柳祎 2022 红外与激光工程 51 20210843
Google Scholar
Ren W H, Zhang Y, Su Y, Zhang X M, Deng H Y, Liu Y 2022 Infrared and Laser Engineering 51 20210843
Google Scholar
[2] Pan W J, Jiang Y Q, Zhang Y Q 2023 Sustainability 15 6391
Google Scholar
[3] Wei Z Q, Li X C, Liu F 2022 Int. J. Aeronaut. Space Sci. 23 406
Google Scholar
[4] Liu Z R, Mao J M 2003 Chin. Phys. Lett. 20 206
Google Scholar
[5] 潘卫军, 栾天, 康贤彪, 张庆宇, 任杰, 张强 2019 空气动力学学报 37 511
Google Scholar
Pan, W J, Luan, T, Kang, X, Zhang Q Y, Ren, J, Zhang, Q 2019 Acta Aerodyn. Sin. 37 511
Google Scholar
[6] Garnet M, Altman A 2009 J. Aircr. 46 263
Google Scholar
[7] Burnham D C, Hallock J N 2013 J. Aircr. 50 82
Google Scholar
[8] Köpp F, Rahm S, Smalikho I 2004 J. Atmos. Oceanic Technol. 21 194
Google Scholar
[9] Yoshikawa E, Matayoshi N 2017 AIAA J. 55 2269
Google Scholar
[10] Gao H, Li J B, Chan P W, Hon K K, Wang X S 2018 Opt. Express 26 16377
Google Scholar
[11] Marshall R E, Mudukutore A, Wissel V L H, Myers T 1998 Three-Centimeter Doppler Radar Observations of Wingtip-Generated Wake Vortices in Clear Air Report No. NASA/ CR-97-206260
[12] 武宇, 易仕和, 陈植, 张庆虎, 冈敦殿 2013 物理学报 62 184702
Google Scholar
Wu Y, Yi S H, Chen Z, Zhang Q H, Gang D D 2013 Acta Phys. Sin. 62 184702
Google Scholar
[13] 易仕和, 陈植 2015 物理学报 64 199401
Google Scholar
Yi S, Chen Z 2015 Acta Phys. Sin. 64 199401
Google Scholar
[14] Sun Q, Cui W, Li Y H, Cheng B Q, Jin D, Li J 2014 Chin. Phys. B 23 075210
Google Scholar
[15] Heineck J T, Banks D W, Smith N T, Schairer E T, Bean P S, Robillos T 2021 AIAA J. 59 11
Google Scholar
[16] Heineck J T, Banks D W, Schairer E T, Haering E A Jr., Bean P S 2016 AIAA Flight Testing Conference Washington, DC, USA, June 13–17, 2016 p11
[17] 李新亮 2015 航空学报 36 147
Google Scholar
Li X L 2015 Acta Aeronaut. ET Astronaut. Sin. 36 147
Google Scholar
[18] Yu C P, Hu R N, Yan Z, Li X L 2022 J. Fluid Mech. 940 A18
Google Scholar
[19] Hu R N, Li X L, Yu C P 2023 J. Fluid Mech. 972 A14
Google Scholar
[20] Hu R N, Li X L, Yu C P 2022 J. Fluid Mech. 946 A19
Google Scholar
[21] 卞正富 2002 测量学 (北京: 中国农业出版社) 第17页
Bian Z F 2002 Surveying (Beijing: China Agriculture Press) p17
[22] 黄金 2024 硕士学位论文 (西安: 西安理工大学)
Huang J 2024 M. S. Dissertation (Xi’an: Xi’an University of Technology
[23] 崔洪鲁, 闫召爱, 张炳炎, 郭文杰, 胡雄 2020 空间科学学报 40 1046
Google Scholar
Cui H L, Yan Z, Zhang B Y, Guo W J, Hu X 2020 Chin. J. Space Sci. 40 1046
Google Scholar
[24] 陈胜哲 2014 博士学位论文 (北京: 北京理工大学)
Chen S Z 2014 Ph. D. Dissertation (Beijing: Beijing Institute of Technology
[25] 刘厚通, 陈良富, 苏林 2011 物理学报 60 064204
Google Scholar
Liu H T, Chen L F, Su L 2011 Acta Phys. Sin. 60 064204
Google Scholar
[26] 白珺, 袁艳, 苏丽娟, 孙成明 2012 现代电子技术 35 124
Google Scholar
Bai J, Yuan Y, Su L J, Sun C M 2012 Modern Electron. Tech. 35 124
Google Scholar
[27] 马雪莲 2015 光子学报 44 0601003
Google Scholar
Ma X L 2015 Acta Photonica Sin. 44 0601003
Google Scholar
[28] 陈武喝 1999 光电子·激光 10 375
Google Scholar
Chen W H 1999 J. Optoelectron. ·Laser 10 375
Google Scholar
计量
- 文章访问数: 1958
- PDF下载量: 58
- 被引次数: 0








下载: