-
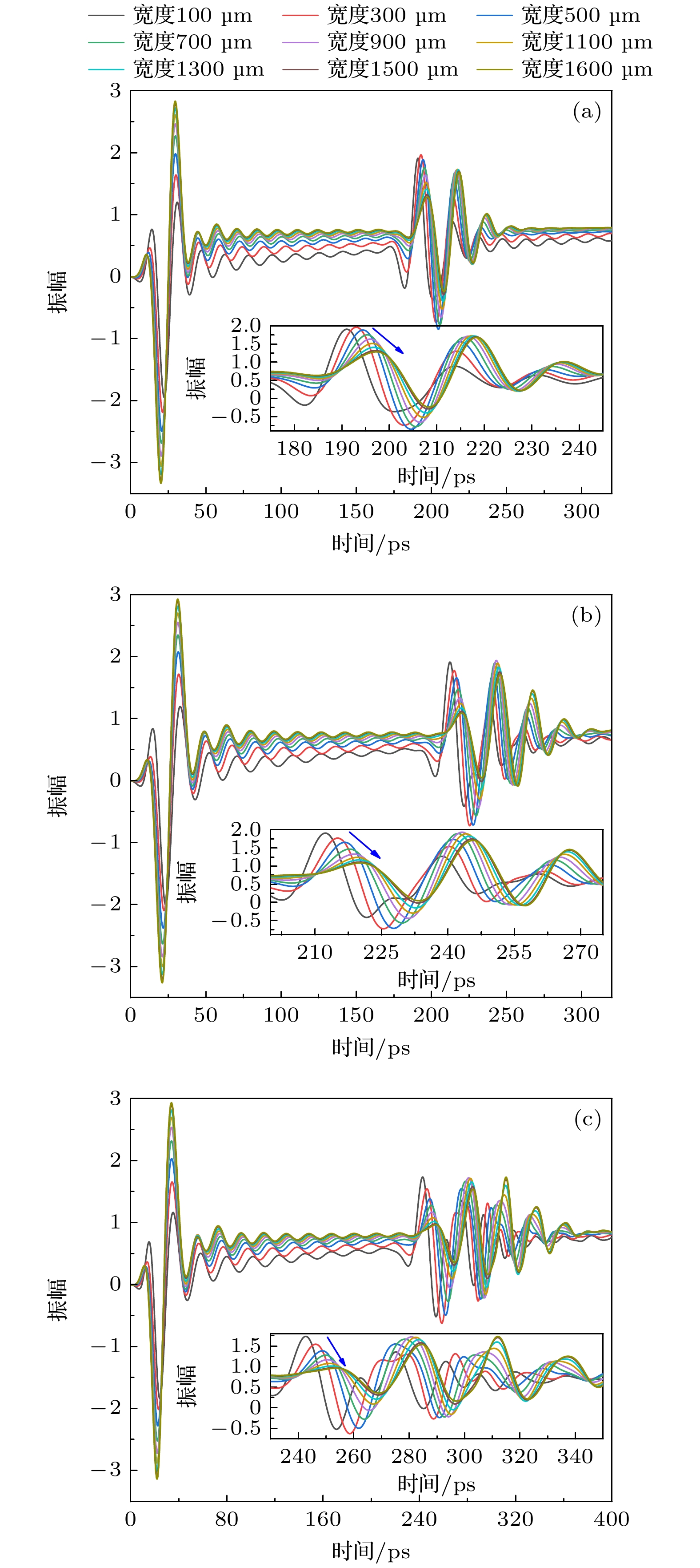
太赫兹波在通信、生物医学及安检等领域具有重要应用潜力, 但其传输过程中的色散与损耗问题严重制约了系统性能的提升. 微带线作为平面传输线, 具有结构紧凑、易于集成的优势, 但其在太赫兹波段的色散特性有待深入研究. 本研究通过理论分析、数值仿真与实验验证相结合的方法, 系统探究太赫兹频段微带线的色散特性及其影响因素. 理论将微带线色散细分为介质色散、几何色散和导体色散, 推导了各色散分量的解析表达式. 实验采用太赫兹时域脉冲反射技术, 对不同基底介电常数、导线宽度及长度的微带线进行测试, 结合数值仿真验证了理论模型的准确性, 并引入脉冲展宽系数对微带线在太赫兹低频段的色散效应进行定量分析. 结果表明: 基底介电常数从2.2增至4.5时, 色散效应明显增大; 当导线宽度从100 μm增至1600 μm时, 通过增强几何色散使脉冲展宽系数从3.18增至5.12, 增幅达38%; 当导体长度从10 mm增至150 mm时, 则通过累积效应使展宽系数从2.12增至3.18, 增幅为33%, 与理论模型及仿真结果高度吻合. 本研究为太赫兹微带线的工程设计与结构优化提供了理论依据, 揭示了关键参数对微带线色散特性的调控规律, 对提升太赫兹通信系统带宽与信号完整性具有重要价值, 并为后续开发低色散、高性能太赫兹平面电路奠定了技术基础.Terahertz waves have broad application prospects in fields such as food quality, biomedicine, and security communication. However, the dispersion and loss during transmission limit the development of terahertz systems. This study focuses on the dispersion characteristics of microstrip lines in the terahertz low-frequency range. By combining theoretical modeling, numerical simulation, and experimental verification, the dispersion mechanism and key influencing factors of microstrip lines are systematically analyzed, providing theoretical support for low dispersion, high-performance terahertz integrated circuits and systems. This study is based on electromagnetic field theory, dividing microstrip line dispersion into dielectric dispersion, geometric dispersion, and conductor dispersion, and introducing a modified model to overcome the limitations of traditional quasi-static theory in the high frequency range. In this study, the CST time-domain finite difference simulation and terahertz time-domain pulse reflection (TDR) technology are employed to conduct multidimensional simulation and examine three different dielectric constant substrates (2.2, 3, 4.5), wire widths (100–1600 μm), lengths (10–150 mm) and other parameters. The pulse broadening coefficient is introduced to quantitatively evaluate the dispersion characteristics of microstrip lines. The results indicate that the increase in substrate dielectric constant significantly enhances the dispersion effect. When εr increases from 2.2 to 4.5, the increase in equivalent dielectric constant leads to a decrease in pulse transmission speed. When the wire width increases from 100 μm to 1600 μm, the pulse broadening coefficient dominated by geometric dispersion increases from 3.12 to 5.12, with an increase of 38%. However, when the wire length increases from 10 mm to 150 mm, the cumulative dispersion increases the broadening coefficient from 2.12 to 3.18, with an increase of 33%, verifying the sensitivity of width to dispersion control. The simulation result once again shows that due to the small skin depth of terahertz waves on metal surfaces, the difference in conductivity among the three conductor materials of gold, silver, and copper (4.1×107–6.3×107 S/m) can be ignored in terms of dispersion effect. According to the actual measurement and fitting results, the geometric dispersion of microstrip lines is more significant than the dispersion loss caused by length accumulation. In addition, simulation, experimental testing, and theoretical analysis are all in good consistency with each other. The conclusion indicates that optimizing the design of microstrip lines requires priority control of the dielectric constant and wire width of substrate material to suppress the synergistic effect of geometric dispersion and dielectric dispersion, providing quantifiable design criteria for high bandwidth and low distortion transmission in terahertz communication systems, and laying experimental and theoretical foundations for the engineering application of terahertz integrated circuits.
[1] Okubo K, Manago G, Tanabe T, Yu J, Liu X Y, Sasaki T 2025 Waste Manag. 196 32
Google Scholar
[2] Guo H, Hilaili M, Sari B P P, Putri W D R, Ogawa Y 2025 Food Chem. 479 143867
Google Scholar
[3] Zhang H T, Wang L J, Tan L, Zhao X T, Tian C H 2024 Spectrosc. Spectr. Anal. 44 2120 (in Chinses) [张红涛, 王龙杰, 谭联, 赵鑫涛, 田承浩 2024 光谱学与光谱分析 44 2120]
Google Scholar
Zhang H T, Wang L J, Tan L, Zhao X T, Tian C H 2024 Spectrosc. Spectr. Anal. 44 2120 (in Chinses)
Google Scholar
[4] Iftekharul F A M, Naim M N R, Noor K S, Kundu D, Rashed A N Z 2025 Cell Biochem Biophys 83 489
Google Scholar
[5] Wekalao J 2025 Plasmonics DOI: 10.1007/s11468-025-02858-z
[6] Wang Y Y, Li H B, Ge M L, Xu D G, Yao J Q 2023 Laser Optoelectron. Prog. 60 18 (in Chinses) [王与烨, 李海滨, 葛梅兰, 徐德刚, 姚建铨 2023 激光与光电子学进展 60 18]
Google Scholar
Wang Y Y, Li H B, Ge M L, Xu D G, Yao J Q 2023 Laser Optoelectron. Prog. 60 18 (in Chinses)
Google Scholar
[7] Peng D L, Xu L M, Wu H, Wang T, Xiao H, Cheng L L, Qin Y W 2025 Opt. Express 33 16237
Google Scholar
[8] Zeng Z K, Luo S J, Chen M Y, Zhao G P, He C H, Wu H 2024 IEEE Sens. J 24 21
Google Scholar
[9] Wei C S, Li Q F, Ma X Y, Yang Y P 2024 Spectrosc. Spectr. Anal. 44 3001 (in Chinses) [魏春生, 李奇峰, 马翔云, 杨云鹏 2024 光谱学与光谱分析 44 3001]
Google Scholar
Wei C S, Li Q F, Ma X Y, Yang Y P 2024 Spectrosc. Spectr. Anal. 44 3001 (in Chinses)
Google Scholar
[10] Xue Q, Ji C W, Ma S D, Guo J J, Xu Y J, Chen Q B 2024 IEEE Commun. Surv. Tutor. 26 1520
Google Scholar
[11] Wang L, Dai J Y, Ding K S, Zeng H X, Cheng Q, Yang Z Q, Zhang Y X, Zhang Y X, Cui T J 2024 Sci. Adv. 10 eadq8693
Google Scholar
[12] Feng Q, Zhao F 2025 Acta Opt. Sin. 45 0806002 (in Chinses) [冯琦, 赵峰 2025 光学学报 45 0806002]
Google Scholar
Feng Q, Zhao F 2025 Acta Opt. Sin. 45 0806002 (in Chinses)
Google Scholar
[13] Lees H, Headland D, Murakami S, Fujita M, Withayachumnankul W 2024 APL Photonics 9 036107
Google Scholar
[14] Bonmann M, Moradikouchi A, Bryllert T, Sparén A, Folestad S, Johansson J 2024 IEEE Sens. J. 24 20512
Google Scholar
[15] Hossain M S, Mohammad S H M, Rahman H, Sen S 2024 Res. Opt. 14 100599
Google Scholar
[16] Zhang J Y, Yang X K, Ren J J, Li L J, Zhang D D, Gu J, Xiong W H 2024 Measurement 233 114771
Google Scholar
[17] Wang L M, Zhu L J, Sun Y H 2025 J. At. Mol. Phys. 42 041006 (in Chinses) [王利民, 朱立江, 孙延华 2025 原子与分子物理学报 42 041006]
Google Scholar
Wang L M, Zhu L J, Sun Y H 2025 J. At. Mol. Phys. 42 041006 (in Chinses)
Google Scholar
[18] Huang Y, Kida T, Wakiuchi S, Okatani T, Inomata N, Kanamori Y 2024 Adv. Sci. 11 34
Google Scholar
[19] 李征帆 2017 微带电路 (北京: 清华大学出版社)第99—109页
Li Z F 2017 Microstrip Circuit (Beijing: Tsinghua University Press) pp99–109
[20] Taiki K, Taiki Y, Ren K, Youngwoo K, Jerdvisanop C, Yuichi H 2022 IEEE Trans. Electromagn. Compat. 64 5
Google Scholar
[21] Aditya R, Eric B, Melinda P M, Mohammed F H 2024 IEEE Trans. Signal Power Integr. 3 178
Google Scholar
[22] Singh P, Awasthi Y K 2024 IJRASET 13 642
Google Scholar
[23] Singh P, Awasthi Y K 2024 Int. J. Res. Appl. Sci. Eng. Techn. 12 1447
Google Scholar
[24] 殷际杰 2004 微波技术与天线 (北京: 电子工业出版社) 第117页
Yin J J 2004 Microwave Technoligy and Antenna (Beijing: Publishing House of Electronics Industry) p117
[25] 栾秀珍, 王钟葆, 傅世强, 房少军 2017 微波技术与器件 (北京: 清华大学出版社) 第74页
Luan X Z, Wang Z B, Fu S Q, Fang S J 2017 Microwave Technology and Microwave Devices (Beijing: Tsinghua University Press) p74
[26] Merlyn S, Rastogi A K 2024 Int. J. Sci. Mod. Res. Technol. 16 7
[27] 朱晶 2019硕士学位论文(南京: 南京林业大学)
Zhu J 2019 M. S. Thesis (Nanjing: Nanjing Forestry University
[28] Biswas K 2020 International Conference on Recent Innovations in Engineering and Technology (ICRIET 2020) Tamil Nadu, India, December 4–5, 2020 p1070
[29] Biswas, K, Lakshman D, Bidyut H 2024 IJCSRR 07 4186
Google Scholar
[30] Nobuki H, Tadashi N, Naoki H, Momoka T, Hiroki O, Jihoon K 2025 IEEE Trans. Microwave Theory Tech. 73 5897
Google Scholar
[31] Gunda K 2019 M. S. Thesis (Hamburg: Universität Hamburg
[32] 徐振, 罗曼, 李吉宁, 刘龙海 徐德刚 2024 物理学报 73 114203
Google Scholar
Xu Z, Luo M, Li J N, Liu L H, Xu D G 2024 Acta Phys. Sin. 73 114203
Google Scholar
-
-
[1] Okubo K, Manago G, Tanabe T, Yu J, Liu X Y, Sasaki T 2025 Waste Manag. 196 32
Google Scholar
[2] Guo H, Hilaili M, Sari B P P, Putri W D R, Ogawa Y 2025 Food Chem. 479 143867
Google Scholar
[3] Zhang H T, Wang L J, Tan L, Zhao X T, Tian C H 2024 Spectrosc. Spectr. Anal. 44 2120 (in Chinses) [张红涛, 王龙杰, 谭联, 赵鑫涛, 田承浩 2024 光谱学与光谱分析 44 2120]
Google Scholar
Zhang H T, Wang L J, Tan L, Zhao X T, Tian C H 2024 Spectrosc. Spectr. Anal. 44 2120 (in Chinses)
Google Scholar
[4] Iftekharul F A M, Naim M N R, Noor K S, Kundu D, Rashed A N Z 2025 Cell Biochem Biophys 83 489
Google Scholar
[5] Wekalao J 2025 Plasmonics DOI: 10.1007/s11468-025-02858-z
[6] Wang Y Y, Li H B, Ge M L, Xu D G, Yao J Q 2023 Laser Optoelectron. Prog. 60 18 (in Chinses) [王与烨, 李海滨, 葛梅兰, 徐德刚, 姚建铨 2023 激光与光电子学进展 60 18]
Google Scholar
Wang Y Y, Li H B, Ge M L, Xu D G, Yao J Q 2023 Laser Optoelectron. Prog. 60 18 (in Chinses)
Google Scholar
[7] Peng D L, Xu L M, Wu H, Wang T, Xiao H, Cheng L L, Qin Y W 2025 Opt. Express 33 16237
Google Scholar
[8] Zeng Z K, Luo S J, Chen M Y, Zhao G P, He C H, Wu H 2024 IEEE Sens. J 24 21
Google Scholar
[9] Wei C S, Li Q F, Ma X Y, Yang Y P 2024 Spectrosc. Spectr. Anal. 44 3001 (in Chinses) [魏春生, 李奇峰, 马翔云, 杨云鹏 2024 光谱学与光谱分析 44 3001]
Google Scholar
Wei C S, Li Q F, Ma X Y, Yang Y P 2024 Spectrosc. Spectr. Anal. 44 3001 (in Chinses)
Google Scholar
[10] Xue Q, Ji C W, Ma S D, Guo J J, Xu Y J, Chen Q B 2024 IEEE Commun. Surv. Tutor. 26 1520
Google Scholar
[11] Wang L, Dai J Y, Ding K S, Zeng H X, Cheng Q, Yang Z Q, Zhang Y X, Zhang Y X, Cui T J 2024 Sci. Adv. 10 eadq8693
Google Scholar
[12] Feng Q, Zhao F 2025 Acta Opt. Sin. 45 0806002 (in Chinses) [冯琦, 赵峰 2025 光学学报 45 0806002]
Google Scholar
Feng Q, Zhao F 2025 Acta Opt. Sin. 45 0806002 (in Chinses)
Google Scholar
[13] Lees H, Headland D, Murakami S, Fujita M, Withayachumnankul W 2024 APL Photonics 9 036107
Google Scholar
[14] Bonmann M, Moradikouchi A, Bryllert T, Sparén A, Folestad S, Johansson J 2024 IEEE Sens. J. 24 20512
Google Scholar
[15] Hossain M S, Mohammad S H M, Rahman H, Sen S 2024 Res. Opt. 14 100599
Google Scholar
[16] Zhang J Y, Yang X K, Ren J J, Li L J, Zhang D D, Gu J, Xiong W H 2024 Measurement 233 114771
Google Scholar
[17] Wang L M, Zhu L J, Sun Y H 2025 J. At. Mol. Phys. 42 041006 (in Chinses) [王利民, 朱立江, 孙延华 2025 原子与分子物理学报 42 041006]
Google Scholar
Wang L M, Zhu L J, Sun Y H 2025 J. At. Mol. Phys. 42 041006 (in Chinses)
Google Scholar
[18] Huang Y, Kida T, Wakiuchi S, Okatani T, Inomata N, Kanamori Y 2024 Adv. Sci. 11 34
Google Scholar
[19] 李征帆 2017 微带电路 (北京: 清华大学出版社)第99—109页
Li Z F 2017 Microstrip Circuit (Beijing: Tsinghua University Press) pp99–109
[20] Taiki K, Taiki Y, Ren K, Youngwoo K, Jerdvisanop C, Yuichi H 2022 IEEE Trans. Electromagn. Compat. 64 5
Google Scholar
[21] Aditya R, Eric B, Melinda P M, Mohammed F H 2024 IEEE Trans. Signal Power Integr. 3 178
Google Scholar
[22] Singh P, Awasthi Y K 2024 IJRASET 13 642
Google Scholar
[23] Singh P, Awasthi Y K 2024 Int. J. Res. Appl. Sci. Eng. Techn. 12 1447
Google Scholar
[24] 殷际杰 2004 微波技术与天线 (北京: 电子工业出版社) 第117页
Yin J J 2004 Microwave Technoligy and Antenna (Beijing: Publishing House of Electronics Industry) p117
[25] 栾秀珍, 王钟葆, 傅世强, 房少军 2017 微波技术与器件 (北京: 清华大学出版社) 第74页
Luan X Z, Wang Z B, Fu S Q, Fang S J 2017 Microwave Technology and Microwave Devices (Beijing: Tsinghua University Press) p74
[26] Merlyn S, Rastogi A K 2024 Int. J. Sci. Mod. Res. Technol. 16 7
[27] 朱晶 2019硕士学位论文(南京: 南京林业大学)
Zhu J 2019 M. S. Thesis (Nanjing: Nanjing Forestry University
[28] Biswas K 2020 International Conference on Recent Innovations in Engineering and Technology (ICRIET 2020) Tamil Nadu, India, December 4–5, 2020 p1070
[29] Biswas, K, Lakshman D, Bidyut H 2024 IJCSRR 07 4186
Google Scholar
[30] Nobuki H, Tadashi N, Naoki H, Momoka T, Hiroki O, Jihoon K 2025 IEEE Trans. Microwave Theory Tech. 73 5897
Google Scholar
[31] Gunda K 2019 M. S. Thesis (Hamburg: Universität Hamburg
[32] 徐振, 罗曼, 李吉宁, 刘龙海 徐德刚 2024 物理学报 73 114203
Google Scholar
Xu Z, Luo M, Li J N, Liu L H, Xu D G 2024 Acta Phys. Sin. 73 114203
Google Scholar
计量
- 文章访问数: 1523
- PDF下载量: 38
- 被引次数: 0








下载: