-
二维磁性材料是指厚度极薄且能够维持长程磁有序的纳米材料. 这类材料展现出明显的磁各向异性, 并由于量子限制效应与高比表面积特性, 导致电子能带结构与表面状态发生显著变化, 因此具有丰富而可调控的磁性, 并在自旋电子学领域展现出巨大的应用潜力. 二维磁性材料包含层间通过弱范德瓦耳斯力堆叠而成的层状材料和三维方向均通过化学键结合的非层状材料. 当前大多数研究都集中在二维层状材料, 而这些材料的居里温度普遍远低于室温, 且空气稳定性差. 相比之下, 非层状结构增强了材料的结构稳定性, 同时表面丰富的悬挂键增加了修饰其物理性质的维度. 这类材料正日益受到学术界的广泛关注, 并且它们的合成与应用已取得了重大进展. 本综述首先梳理了各种二维非层状磁性材料的制备方法, 并系统介绍了近5年来在各类材料中获得的二维非层状本征磁性材料以及它们在超薄极限下涌现出的一系列新奇物理现象, 同时也讨论了理论计算在揭示这些新奇现象时的关键作用以及修饰磁性的一些重要手段. 最后展望了二维非层状磁性材料在自旋电子器件中的应用潜力与发展方向.Two-dimensional (2D) magnetic materials refer to nanomaterials with an extremely thin thickness that can maintain long-range magnetic order. These materials exhibit significant magnetic anisotropy, and due to the quantum confinement effect and high specific surface area, their electronic band structures and surface states undergo remarkable changes. As a result, they possess rich and tunable magnetic properties, showing great application potential in the field of spintronics. The 2D magnetic materials include layered materials, where layers are stacked by weak van der Waals forces, and non-layered materials, which are bonded via chemical bonds in all three-dimensional directions. Currently, most of researches focus on 2D layered materials, but their Curie temperatures are generally much lower than room temperature, and they are always unstable when exposed to air. In contrast, the non-layered structure enhances the structural stability of the materials, and the abundant surface dangling bonds increase the possibility of modifying their physical properties. Such materials are attracting increasing attention, and significant progress has been made in their synthesis and applications. This review first systematically summarizes various preparation methods for 2D non-layered magnetic materials, including but not limited to ultrasound-assisted exfoliation, molecular beam epitaxy, and chemical vapor deposition. Meanwhile, it systematically reviews the 2D non-layered intrinsic magnetic materials obtained in various types of materials in the past five years, as well as a series of novel physical phenomena emerging under the ultrathin limit, such as thickness-dependent magnetic reconstruction dominated by quantum confinement effects and planar topological spin textures induced by 2D structures. Furthermore, it also discusses the critical role played by theoretical calculations in predicting new materials through high-throughput screening, revealing microscopic mechanisms by analyzing magnetic interactions, as well as some important methods of modifying magnetism. Finally, from the perspectives of material preparation, physical mechanisms, device fabrication, and theoretical calculations, the current challenges in the field are summarized, and the application potential and development directions of 2D non-layered magnetic materials in spintronic devices are prospected. This review aims to provide comprehensive references and scientific perspective for researchers engaged in this field, thereby promoting further exploration of the novel magnetic properties of 2D non-layered magnetic materials and their applications in spintronic devices.
[1] Mermin N D, Wagner H 1966 Phys. Rev. Lett. 17 1133
Google Scholar
[2] Gong C, Li L, Li Z L, Ji H W, Stern A, Xia Y, Cao T, Bao W, Wang C Z, Wang Y, Qiu Z Q, Cava R J, Louie S G, Xia J, Zhang X 2017 Nature 546 265
Google Scholar
[3] Sun Z Y, Yi Y F, Song T C, Clark G, Huang B, Shan Y W, Wu S, Huang D, Gao C L, Chen Z H, McGuire M, Cao T, Xiao D, Liu W T, Yao W, Xu X D, Wu S W 2019 Nature 572 497
Google Scholar
[4] Fei Z Y, Huang B, Malinowski P, Wang W B, Song T C, Sanchez J, Yao W, Xiao D, Zhu X Y, May A F, Wu W D, Cobden D H, Chu J H, Xu X D 2018 Nat. Mater. 17 778
Google Scholar
[5] May A F, Ovchinnikov D, Zheng Q, Hermann R, Calder S, Huang B, Fei Z, Liu Y, Xu X, McGuire M A 2019 ACS Nano 13 4436
Google Scholar
[6] Zhang X Q, Lu Q S, Liu W Q, Niu W, Sun J B, Cook J, Vaninger M, Miceli P F, Singh D J, Lian S W, Chang T R, He X Q, Du J, He L, Zhang R, Bian G, Xu Y B 2021 Nat. Commun. 12 2492
Google Scholar
[7] Ci W J, Yang H L, Xue W H, Yang R L, Lü B H, Wang P, Li R W, Xu X H 2022 Nano Res. 15 7597
Google Scholar
[8] McGuire M A, Clark G, Kc S, Chance W M, Jellison G E, Cooper V R, Xu X, Sales B C 2017 Phys. Rev. Mater. 1 014001
Google Scholar
[9] Zhang G J, Guo F, Wu H, Wen X K, Yang L, Jin W, Zhang W F, Chang H X 2022 Nat. Commun. 13 5067
Google Scholar
[10] O'Hara D J, Zhu T, Trout A H, Ahmed A S, Luo Y K, Lee C H, Brenner M R, Rajan S, Gupta J A, McComb D W, Kawakami R K 2018 Nano Lett. 18 3125
Google Scholar
[11] Zhou N, Yang R, Zhai T 2019 Mater. Today Nano 8 100051
Google Scholar
[12] Ma H X, Xing Y H, Cui B Y, Han J, Wang B H, Zeng Z M 2022 Chin. Phys. B 31 108502
Google Scholar
[13] Puthirath Balan A, Radhakrishnan S, Woellner C F, Sinha S K, Deng L, Reyes C L, Rao B M, Paulose M, Neupane R, Apte A, Kochat V, Vajtai R, Harutyunyan A R, Chu C W, Costin G, Galvao D S, Marti A A, van Aken P A, Varghese O K, Tiwary C S, Malie Madom Ramaswamy Iyer A, Ajayan P M 2018 Nat. Nanotechnol. 13 602
Google Scholar
[14] Hu L, Cao L, Li L W, Duan J M, Liao X Q, Long F C, Zhou J, Xiao Y G, Zeng Y J, Zhou S Q 2021 Mater. Horiz. 8 1286
Google Scholar
[15] Hu C X, Tian Z, Xiao Q, Zhu Z T, Li X Y, Dun G H, Wu H R, Tang Y L, Wang Q, Zhang H L 2021 Small Struct. 2 2100039
Google Scholar
[16] Peng J, Su Y Q, Lü H F, Wu J J, Liu Y H, Wang M H, Zhao J Y, Guo Y Q, Wu X J, Wu C Z, Xie Y 2023 Adv. Mater. 35 2209365
Google Scholar
[17] Zhang H M, Liu Q X, Deng L Z, Ma Y J, Daneshmandi S, Cen C, Zhang C Y, Voyles P M, Jiang X, Zhao J J, Chu C W, Gai Z, Li L 2024 Nano Lett. 24 122
Google Scholar
[18] Jang J M, Srivastava P K, Joe M, Jung S G, Park T, Kim Y, Lee C 2025 ACS Nano 19 999
Google Scholar
[19] Wang T, Xue W H, Yang H L, Zhang Y Z, Cheng S B, Fan Z W, Li R W, Zhou P, Xu X H 2024 Adv. Mater. 36 2311041
Google Scholar
[20] Wang D, Liu Y Y, Zhang H, Liu Y, Li D, Zhang Z C, Lu P, Yi C, He K, Zhang L Q, Wang Y R, Li S H, Liu M M, Zhang H M, Chen S L, Chen Z H, Duan X D 2025 Nano Lett. 25 5925
Google Scholar
[21] Song L Y, Zhao Y, Xu B Q, Du R F, Li H, Feng W, Yang J B, Li X H, Liu Z J, Wen X, Peng Y N, Wang Y Z, Sun H, Huang L, Jiang Y L, Cai Y, Jiang X, Shi J P, He J 2024 Nat. Commun. 15 721
Google Scholar
[22] Luo S, Zhu X K, Liu H, Song S X, Chen Y, Liu C, Zhou W Z, Tang C S, Shao G L, Jin Y Y, Guan J, Tung V C, Li H M, Chen X L, Ouyang F P, Liu S 2022 Chem. Mater. 34 2342
Google Scholar
[23] Yang H, Wang F, Zhang H S, Guo L H, Hu L Y, Wang L F, Xue D J, Xu X H 2020 J. Am. Chem. Soc. 142 4438
Google Scholar
[24] Yang H, Zhang H S, Guo L H, Yang W J, Wu Y, Wang J J, Li X L, Du H F, Peng B, Liu Q X, Wang F, Xue D J, Xu X H 2024 Nano Lett. 24 10519
Google Scholar
[25] Huang X, Li H, Li S Z, Wu S X, Boey F, Ma J, Zhang H 2011 Angew. Chem. Int. Edit. 50 12245
Google Scholar
[26] Schliehe C, Juarez B H, Pelletier M, Jander S, Greshnykh D, Nagel M, Meyer A, Foerster S, Kornowski A, Klinke C, Weller H 2010 Science 329 550
Google Scholar
[27] Bielewicz T, Dogan S, Klinke C 2015 Small 11 826
Google Scholar
[28] Yang H, Qin B, Zuo L Y, Li H R, Li Y M, Wang F, Liu Y, Xu X H 2025 Adv. Funct. Mater. e04057
Google Scholar
[29] Xu Y, Zhao W W, Xu R, Shi Y M, Zhang B 2013 Chem. Commun. 49 9803
Google Scholar
[30] Wang Y Z, Wang P, Wang H, Xu B Q, Li H, Cheng M, Feng W, Du R F, Song L Y, Wen X, Li X H, Yang J B, Cai Y, He J, Wang Z X, Shi J P 2023 Adv. Mater. 35 2209465
Google Scholar
[31] Xue W H, Wang T, Yang H L, Zhang H H, Dai G H, Zhang S, Yang R L, Quan Z Y, Li R W, Tang J, Song C, Xu X H 2025 Nat. Commun. 16 440
Google Scholar
[32] Machala L, Tuček J, Zbořil R 2011 Chem. Mater. 23 3255
Google Scholar
[33] Wang T, Fan Z W, Xue W H, Yang H L, Li R W, Xu X H 2023 Nano Lett. 23 10498
Google Scholar
[34] Jia Z Y, Wang W J, Li Z C, Sun R, Zhou S Q, Deepak F L, Su C L, Li Y, Wang Z C 2021 ACS Appl. Mater. Interfaces 13 24051
Google Scholar
[35] Wang P, Ge J, Luo J W, Wang H, Song L Y, Li Z W, Yang J B, Wang Y Z, Du R F, Feng W, Wang J, He J, Shi J P 2023 Nano Lett. 23 1758
Google Scholar
[36] Jia Z Y, Chen Q, Wang W J, Sun R, Li Z C, Hubner R, Zhou S Q, Cai M M, Lü W M, Yu Z P, Zhang F, Zhao M F, Tian S, Liu L X, Zeng Z M, Jiang Y, Wang Z C 2024 Adv. Sci. 11 2401944
Google Scholar
[37] Jia Z Y, Zhao M F, Chen Q, Sun R, Cao L L, Ye K, Zhu T, Liu L X, Tian Y X, Wang Y, Du J, Zhang F, Lü W M, Ling F F, Zhai Y, Jiang Y, Wang Z C 2024 Adv. Sci. 11 2405945
Google Scholar
[38] Cheng R Q, Yin L, Wen Y, Zhai B X, Guo Y Z, Zhang Z F, Liao W T, Xiong W Q, Wang H, Yuan S J, Jiang J, Liu C S, He J 2022 Nat. Commun. 13 5241
Google Scholar
[39] Homkar S, Chand B, Rajput S S, Gorantla S, Das T, Babar R, Patil S, Klingeler R, Nair S, Kabir M, Bajpai A 2021 ACS Appl. Nano Mater. 4 9313
Google Scholar
[40] Jiang Q T, Yang H L, Xue W H, Yang R L, Shen J L, Zhang X Y, Li R W, Xu X H 2024 Nano Lett. 24 1246
Google Scholar
[41] Chuang C W, Kawakami T, Sugawara K, Nakayama K, Souma S, Kitamura M, Amemiya K, Horiba K, Kumigashira H, Kremer G, Fagot-Revurat Y, Malterre D, Bigi C, Bertran F, Chang F H, Lin H J, Chen C T, Takahashi T, Chainani A, Sato T 2025 Nat. Commun. 16 3448
Google Scholar
[42] Zhang H M, Tang J M, Li B, Li B L, Zhang Z C, He K, Shi S, Shen X H, Liu J L, Huang Z W, Wang D, Deng W, Liu M M, Zhou X Y, Duan X D 2023 Nano Today 49 101794
Google Scholar
[43] Zhao Z J, Zhou J, Liu L H, Liu N S, Huang J Q, Zhang B, Li W, Zeng Y, Zhang T, Ji W, Yang T, Zhang Z D, Li S L, Hou YL 2022 Nano Lett. 22 1242
Google Scholar
[44] Huan Y, Luo T, Han X, Ge J, Cui F, Zhu L, Hu J, Zheng F, Zhao X, Wang L, Wang J, Zhang Y Y 2023 Adv. Mater. 35 2207276
Google Scholar
[45] Kang L X, Ye C, Zhao X X, Zhou X Y, Hu J X, Li Q, Liu D, Das C M, Yang J F, Hu D Y, Chen J Q, Cao X, Zhang Y, Xu M Z, Di J, Tian D, Song P, Kutty G, Zeng Q S, Fu Q D, Deng Y, Zhou J D, Ariando A, Miao F, Hong G, Huang Y Z, Pennycook S J, Yong K T, Ji W, Wang X R, Liu Z 2020 Nat. Commun. 11 3729
Google Scholar
[46] Wang Y, Yu L X, Li X H, Wang S Y, Yang J L, Yuan H, Peng X N, Shi J P, Wang Y L, Fu Y S, Wang X N 2025 Appl. Surf. Sci. 688 162416
Google Scholar
[47] Roy K, Datta R, Maitra S, Kumar P 2024 ACS Nano 18 24569
Google Scholar
[48] Luo N, Ma H, Zhang T, Wu J J, Chen Z J, Xu M W, Sun Y M, Peng J 2024 2D Mater. 11 045015
Google Scholar
[49] Yuhara J, Shimazu H, Ito K, Ohta A, Araidai M, Kurosawa M, Nakatake M, Le Lay G 2018 ACS Nano 12 11632
Google Scholar
[50] Fortin-Deschenes M, Waller O, Mentes T O, Locatelli A, Mukherjee S, Genuzio F, Levesque P L, Hebert A, Martel R, Moutanabbir O 2017 Nano Lett. 17 4970
Google Scholar
[51] Li W, Qiu X, Lü B, Zhang B, Tang J, Xu J, Tian K, Zhao Z, Zeng Y, Huang X, Du H, Hou Y 2022 Matter 5 291
Google Scholar
[52] Sun X, Zhao S S, Bachmatiuk A, Rummeli M H, Gorantla S, Zeng M Q, Fu L 2020 Small 16 2001484
Google Scholar
[53] Mounet N, Gibertini M, Schwaller P, Campi D, Merkys A, Marrazzo A, Sohier T, Castelli I E, Cepellotti A, Pizzi G, Marzari N 2018 Nat. Nanotechnol. 13 246
Google Scholar
[54] Torelli D, Moustafa H, Jacobsen K W, Olsen T 2020 npj Comput. Mater. 6 158
Google Scholar
[55] Shen Z X, Su C, He L X 2022 npj Comput. Mater. 8 132
Google Scholar
[56] Elrashidy A, Della-Giustina J, Yan J A 2024 J. Phys. Chem. C 128 6007
Google Scholar
[57] Roy D K, Kabir M 2024 Phys. Rev. B 110 L020403
Google Scholar
[58] Huang X K, Mo Y Y, Xu J L, Hu J N, Nie X, Chen C, Liu J Q, Jiang X P, Liu J M 2023 Appl. Phys. Lett. 123 012405
Google Scholar
[59] Jiang P H, Li L, Liao Z L, Zhao Y X, Zhong Z C 2018 Nano Lett. 18 3844
Google Scholar
[60] Jiang P H, Wang C, Chen D C, Zhong Z C, Yuan Z, Lu Z Y, Ji W 2019 Phys. Rev. B 99 144401
Google Scholar
[61] Bandyopadhyay A, Frey N C, Jariwala D, Shenoy V B 2019 Nano Lett. 19 7793
Google Scholar
[62] Barnowsky T, Curtarolo S, Krasheninnikov A V, Heine T, Friedrich R 2024 Nano Lett. 24 3874
Google Scholar
[63] Yang K J, Wang Y X, Liu C X 2022 Phys. Rev. Lett. 128 166601
Google Scholar
[64] 杨瑞龙, 张钰樱, 杨柯, 姜琦涛, 杨晓婷, 郭金中, 许小红 2023 物理学报 72 247501
Google Scholar
Yang R L, Zhang Y Y, Yang K, Jiang Q T, Yang X T, Guo J Z, Xu X H 2023 Acta Phys. Sin. 72 247501
Google Scholar
[65] Jiang J, Feng W Y, Wen Y, Yin L, Wang H, Feng X Q, Pei Y L, Cheng R Q, He J 2023 Adv. Mater. 35 2301668
Google Scholar
[66] Hu X Y, Jin Z T, Zhong Y L, Dai J X, Tao X W, Zhang X W, Han J B, Jiang S W, Zhou L 2023 Chem. Mater. 35 4220
Google Scholar
[67] Zhang L, Zhou Y N, Zheng X L, Jiang J Y, Xu Q 2021 Chem. Commun. 57 9072
Google Scholar
[68] Zhao L Y, Wu W Z, Gao B, Zhao Z L, An B, Xu Q 2024 Small 20 2308187
Google Scholar
[69] Das B, Ghosh S, Sengupta S, Auban-Senzier P, Monteverde M, Dalui T K, Kundu T, Saha R A, Maity S, Paramanik R, Ghosh A, Palit M, Bhattacharjee J K, Mondal R, Datta S 2023 Small 19 2302240
Google Scholar
[70] Ta H Q, Yang Q X, Liu S, Bachmatiuk A, Mendes R G, Gemming T, Liu Y, Liu L, Tokarska K, Patel R B, Choi J H, Rummeli M H 2020 Nano Lett. 20 4354
Google Scholar
[71] Wen Y, Liu Z H, Zhang Y, Xia C X, Zhai B X, Zhang X H, Zhai G H, Shen C, He P, Cheng R Q, Yin L, Yao Y Y, Getaye Sendeku M, Wang Z X, Ye X B, Liu C D, Jiang C, Shan C X, Long Y W, He J 2020 Nano Lett. 20 3130
Google Scholar
[72] Cheng M, Zhao X X, Zeng Y, Wang P, Wang Y Z, Wang T, Pennycook S J, He J, Shi J P 2021 ACS Nano 15 19089
Google Scholar
[73] Li N N, Zhu L L, Shang H H, Wang F, Zhang Y, Yao Y Y, Wang J J, Zhan X Y, Wang F M, He J, Wang Z X 2021 Nanoscale 13 6953
Google Scholar
[74] Wu H X, Zhang W F, Yang L, Wang J, Li J, Li L Y, Gao Y H, Zhang L, Du J, Shu H B, Chang H X 2021 Nat. Commun. 12 5688
Google Scholar
[75] Xu J J, Li W, Zhang B, Zha L, Hao W, Hu S X, Yang J B, Li S Z, Gao S, Hou Y L 2022 Chem. Sci. 13 203
Google Scholar
[76] Jin Z T, Ji Z J, Zhong Y L, Jin Y M, Hu X Y, Zhang X X, Zhu L J, Huang X H, Li T, Cai X H, Zhou L 2022 ACS Nano 16 7572
Google Scholar
[77] Wang B C, Yao Y, Hong W T, Hong Z A, He X, Wang T K, Jian C Y, Ju Q K, Cai Q K, Sun Z H, Liu W 2023 Small 19 2207325
Google Scholar
[78] Su W J, Kuklin A, Jin L H, Engelgardt D, Zhang H, Agren H, Zhang Y 2024 Adv. Sci. 11 2402875
Google Scholar
[79] Jang J, Jeong E, Joe M, Abraham T G, Jang Y, Yoon J, Song J, Lee Z, Park T, Kim Y, Lee C 2025 Small 21 2406202
Google Scholar
[80] Wu H X, Guo J F, Xu H, Suonan Z, Mi S, Wang L, Chen S S, Xu R, Ji W, Cheng Z H, Pang F 2025 J. Phys. Chem. C 129 9076
Google Scholar
[81] Liu W J, Li Y J, Ding R F, Zhang H, Hao Y Q, Liu Y, Wang L F, Xu X H 2025 Rare Met. 44 4815
Google Scholar
[82] Slathia S, Tripathi M, Tromer R, Gowda C C, Pandey P, Galvao D S, Dalton A, Tiwary C S 2024 Mater. Today Chem. 38 102134
Google Scholar
[83] Jia Z Y, Zhao M F, Chen Q, Tian Y X, Liu L X, Zhang F, Zhang D L, Ji Y, Camargo B, Ye K, Sun R, Wang Z C, Jiang Y 2025 ACS Nano 19 9452
Google Scholar
[84] Peng S Z, Zhang Y, Wang M X, Zhang Y G, Zhao W S 2014 Wiley Encycl. Electr. Electron. Eng. pp1−16 https://doi.org/10.1002/047134608X.W8231
[85] Zeng X Y, Zhang L, Zhang Y, Yang F Z, Zhou L Q, Wang Y, Fang C Z, Li X X, Zheng S Y, Liu Y, Liu Y, Wang X Z, Hao Y, Han G Q 2024 Appl. Phys. Lett. 125 092406
Google Scholar
[86] Guo R, Lin W N, Yan X B, Venkatesan T, Chen J S 2020 Appl. Phys. Rev. 7 011304
Google Scholar
[87] Jin W, Zhang G J, Wu H, Yang L, Zhang W F, Chang H X 2023 ACS Appl. Mater. Interfaces 15 36519
Google Scholar
[88] Husain S, Gupta R, Kumar A, Kumar P, Behera N, Brucas R, Chaudhary S, Svedlindh P 2020 Appl. Phys. Rev. 7 041312
Google Scholar
[89] Wang H Y, Wu H, Zhang J, Liu Y J, Chen D D, Pandey C, Yin J L, Wei D H, Lei N, Shi S Y, Lu H C, Li P, Fert A, Wang K L, Nie T X, Zhao W S 2023 Nat. Commun. 14 5173
Google Scholar
[90] Wang Y, Zhu D P, Yang Y M, Lee K, Mishra R, Go G, Oh S H, Kim D H, Cai K M, Liu E L, Pollard S D, Shi S Y, Lee J, Teo K L, Wu Y H, Lee K J, Yang H 2019 Science 366 1125
Google Scholar
[91] Wei X Y, Santos O A, Lusero C H S, Bauer G E W, Ben Youssef J, van Wees B J 2022 Nat. Mater. 21 1352
Google Scholar
-
图 2 自上而下的制备方法 (a) 软化学刻蚀法制备二维MnSe2示意图[14]; (b) 超声辅助剥离法制备二维TiC示意图[15]; (c) 电化学剥离法制备二维CuCrSe2示意图[16]; (d) 二维CuCrSe2的AFM图像[16]
Fig. 2. Top-down preparation methods: (a) Schematic illustration of two-dimensional MnSe2 prepared by soft chemical etching[14]; (b) schematic illustration of two-dimensional TiC prepared by ultrasound-assisted exfoliation[15]; (c) schematic illustration of two-dimensional CuCrSe2 prepared by electrochemical exfoliation[16]; (d) AFM image of two-dimensional CuCrSe2[16].
图 3 自下而上的制备方法 (a) 分子束外延法生长二维薄膜示意图[17]; (b), (c) 双层和单层二维FeSb薄膜的扫描隧道显微镜(scanning tunneling microscope, STM)形貌图[17]; (d) 直接CVD法合成二维Cr2Se3示意图[18]; (e) 二维Cr2Se3的AFM图像[18]; (f) 空间限域CVD法合成二维ε-Fe2O3示意图[19]; (g) 二维ε-Fe2O3的AFM图像[19]; (h) 盐辅助CVD法合成二维CuFeS2示意图[20]; (i) 二维CuFeS2的AFM图像[20]
Fig. 3. Bottom-up preparation methods: (a) Schematic illustration of two-dimensional thin film grown by molecular beam epitaxy[17]; (b), (c) scanning tunneling microscope (STM) topography images of bilayer and monolayer two-dimensional FeSb thin films[17]; (d) schematic illustration of two-dimensional Cr2Se3 synthesized by direct CVD[18]; (e) AFM image of two-dimensional Cr2Se3 [18]; (f) schematic illustration of two-dimensional ε-Fe2O3 synthesized by space-confined CVD[19]; (g) AFM image of two-dimensional ε-Fe2O3[19]; (h) schematic illustration of two-dimensional CuFeS2 synthesized by salt-assisted CVD[20]; (i) AFM image of two-dimensional CuFeS2[20].
图 4 二维Fe2O3的研究进展 (a) 二维ε-Fe2O3的光学显微镜(optical microscope, OM)图像[30]; (b), (c) 分别施加0 V、+10 V电压后二维ε-Fe2O3的MFM相位图像[30]; (d) 磁相位差随施加原位电压的变化关系[30]; (e), (f) 二维ε-Fe2O3 SHG信号与介电常数ε随温度的变化关系[19]; (g) 磁反涡旋的MFM相位图像[31]; (h) 相应样品沿面内X方向的逆极图(inverse pole figure along the in-plane X, IPF-X)[31]; (i) 二维γ-Fe2O3横向尺寸依赖的磁畴构型[33]; (j) 多样的二维γ-Fe2O3形貌及相应的磁滞回线[34]
Fig. 4. Research progress of two-dimensional Fe2O3: (a) Optical microscope (OM) image of two-dimensional ε-Fe2O3[30]; (b), (c) MFM phase images of two-dimensional ε-Fe2O3 after applying 0 V and +10 V voltages, respectively[30]; (d) relationship between magnetic phase difference and applied in-situ voltage[30]; (e), (f) temperature dependence of SHG signal and dielectric constant ε of two-dimensional ε-Fe2O3[19]; (g) MFM phase image of magnetic antivortex[31]; (h) inverse Pole figure along the in-plane X direction (IPF-X) of the corresponding sample[31]; (i) lateral size-dependent magnetic domain configuration of two-dimensional γ-Fe2O3[33]; (j) diverse morphologies of two-dimensional γ-Fe2O3 and their corresponding hysteresis loops[34].
图 5 二维Fe3O4的研究进展 (a) 由单取向Fe3O4纳米片形成的连续薄膜的OM图像[35]; (b) Fe3O4晶畴取向统计分析[35]; (c) 不同取向晶畴的构型示意图[35]; (d) 结合能与Fe3O4岛间距离的关系[35]; (e), (f) 二维 Fe3O4的扫描透射电子显微镜(scanning transmission electron microscope, STEM)图像与AFM图像[36]; (g)—(i) 磁畴的磁场调控过程[36]; (j) 磁阻随磁场强度变化的曲线[36]; (k) 磁阻的磁场方向依赖性曲线[36]; (l), (m) 二维 Fe3O4多自旋纹理及相应的磁滞回线的微磁学仿真[36]; (n) 不同厚度下二维 Fe3O4拉曼峰随温度的变化曲线[37]; (o) AMR比率的温度依赖性关系[37]; (p) SMR比率和Gr的温度依赖性关系[37]; (q) AHE比率随温度的变化关系[37]
Fig. 5. Research progress of two-dimensional Fe3O4: (a) OM image of continuous thin film formed by unidirectionally oriented Fe3O4 nanosheets[35]; (b) statistical analysis of Fe3O4 domain orientations[35]; (c) schematic diagrams of domain configurations with different orientations[35]; (d) relationship between binding energy and inter-island distance of Fe3O4[35]; (e), (f) scanning transmission electron microscope (STEM) image and AFM image of two-dimensional Fe3O4[36]; (g)–(i) magnetic field manipulation process of magnetic domains[36]; (j) curve of magnetoresistance versus magnetic field strength[36]; (k) curve of magnetic field direction dependence of magnetoresistance[36]; (l), (m) micromagnetic simulations of multi-spin textures and corresponding hysteresis loops of two-dimensional Fe3O4[36]; (n) curves of Raman peaks of two-dimensional Fe3O4 with temperature under different thicknesses[37]; (o) temperature dependence of AMR ratio[37]; (p) temperature dependence of SMR ratio and Gr[37]; (q) temperature dependence of AHE ratio[37].
图 6 Cr基硫族化合物的研究进展 (a) Cr5Te8纳米片尺寸随延迟时间的演变[40]; 对充分磁饱和(b)和未完全磁饱和(c)的Cr5Te8施加磁场时的磁畴翻转现象[40]; (d) 直接CVD法合成Cr2Se3纳米片的AFM图像[18]; (e) Cr2Se3薄片随温度依赖的磁化曲线[18]; (f), (g) 单层Cr2Se3的RHEED和LEED图案[41]; (h) 对Cr2Se3进行XAS及XMCD测量的结果[41]; (i) 单层Cr2Se3的EDCs[41]; (j)—(m) Cr2S3的OM图像、电滞回线、PFM相位图像和STEM图像[21]; (n) 含自插层铬原子层内滑动的Cr2S3单胞原子结构示意图[21]; (o) Cr2S3单胞的AHE随温度的依赖关系[21]; (p)—(r) Cr2S3纳米片的AFM图像及施加正负不同电压后的MFM图像[21]; (s) Cr2S3纳米片的相位差随电压的依赖关系[21]
Fig. 6. Research progress of Cr-based chalcogenides: (a) Evolution of Cr5Te8 nanosheet size with delay time[40]; magnetic domain reversal phenomena of Cr5Te8 under applied magnetic field when fully magnetically saturated (b) and incompletely magnetically saturated (c) [40]; (d) AFM image of Cr2Se3 nanosheets synthesized by direct CVD[18]; (e) temperature-dependent magnetization curves of Cr2Se3 flakes[18]; (f), (g) RHEED and LEED patterns of monolayer Cr2Se3[41]; (h) results of XAS and XMCD measurements on Cr2Se3[41]; (i) EDCs of monolayer Cr2Se3[41]; (j)–(m) OM image, electric hysteresis loop, PFM phase image, and STEM image of Cr2S3[21]; (n) schematic diagram of atomic structure of Cr2S3 unit cell with in-layer sliding of self-intercalated chromium atomic layers[21]; (o) temperature dependence of AHE of Cr2S3 unit cell[21]; (p)–(r) AFM image of Cr2S3 nanosheets and MFM images after applying positive and negative voltages[21]; (s) voltage dependence of phase difference of Cr2S3 nanosheets[21].
图 7 Fe基硫族化合物的研究进展 (a), (b) Fe7Se8纳米片的形貌及MFM图像[43]; (c) Fe7Se8纳米片随温度变化的磁化曲线[43]; (d) Fe7Se8纳米片的磁化强度-磁场曲线[43]; (e) 两类 FexSey 纳米片的生长过程示意图[44]; (f) Fe5Se8纳米片被强磁铁吸引的现象[44]; (g) Fe5Se8纳米片的磁化曲线[44]; (h) FeTe纳米片生长过程示意图[45]; (i) FeTe器件的纵向方块电阻(sheet resistance, RS)随温度的变化关系[45]; (j) FeTe纳米片的AHE随温度的变化关系[45]
Fig. 7. Research progress of Fe-based chalcogenides: (a), (b) Morphology and MFM images of Fe7Se8 nanosheets[43]; (c) temperature-dependent magnetization curves of Fe7Se8 nanosheets[43]; (d) magnetization-field curves of Fe7Se8 nanosheets[43]; (e) schematic diagrams of the growth process of two types of FexSey nanosheets[44]; (f) phenomenon of Fe5Se8 nanosheets being attracted by a strong magnet[44]; (g) magnetization curves of Fe5Se8 nanosheets[44]; (h) schematic diagram of the growth process of FeTe nanosheets[45]; (i) relationship between longitudinal sheet resistance (RS) of FeTe devices and temperature[45]; (j) temperature dependence of AHE of FeTe nanosheets[45].
图 8 二元及其他金属的研究进展 (a) MnSe2纳米片随温度变化的磁化曲线[47]; (b), (c) MnSe2在300 K (b)和10 K (c)下的磁化曲线[47]; (d), (e) 奇、偶数层CuCrSe2纳米片的霍尔电阻曲线[16]; (f), (g) AgCrS2和Ag0.5CrS2纳米片随温度变化的磁化曲线[48]; (h) CuFeS2的OM图像[20]; (i) CuFeS2的电流-电压曲线随温度的变化关系[20]; (j) CuFeS2的SHG信号随温度的变化关系[20]
Fig. 8. Research progress of binary and other metals: (a) Temperature-dependent magnetization curves of MnSe2 nanosheets[47]; (b), (c) magnetization curves of MnSe2 at 300 K and 10 K [47]; (d), (e) Hall resistance curves of CuCrSe2 nanosheets with odd and even layers[16]; (f), (g) temperature-dependent magnetization curves of AgCrS2 and Ag0.5CrS2 nanosheets[48]; (h) OM image of CuFeS2[20]; (i) temperature dependence of current-voltage curves of CuFeS2[20]; (j) temperature dependence of SHG signals of CuFeS2[20].
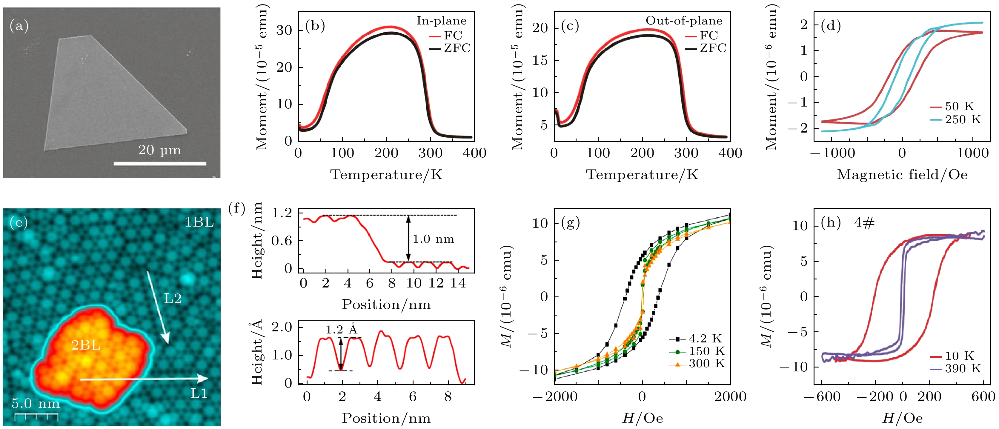
图 9 单元素及其他材料的研究进展 (a) MnP 单晶的SEM图像[52]; (b), (c) MnP单晶随温度变化的磁化曲线[52]; (d) MnP单晶的磁滞回线[52]; (e) 双层FeSb岛的STM形貌图[17]; (f) 沿图(e)中L1, L2的线轮廓[17]; (g), (h) 双层FeSb在不同温度下的磁滞回线[17]
Fig. 9. Research progress of single-element and other materials: (a) SEM image of MnP single crystal[52]; (b), (c) temperature-dependent magnetization curves of MnP single crystal[52]; (d) hysteresis loop of MnP single crystal[52]; (e) STM topography of bilayer FeSb islands[17]; (f) line profiles along L1 and L2 in panel (e) [17]; (g), (h) hysteresis loops of bilayer FeSb at different temperatures[17].
图 10 掺杂、异质结的磁性与应力调控 (a) Ni 掺杂 CoO的原子结构[65]; (b) Ni 掺杂 CoO的高分辨TEM图像[65]; (c) Ni 掺杂 CoO的磁化率随温度的变化关系[65]; (d), (e) α-MnSe/Cr2Se3横向、纵向异质结构[66]; 原始VO2晶体(f)和SC CO2处理后(g)样品的磁化强度-磁场曲线[67]; (h) 图(f), (g)在H = 0附近区域的放大图[67]; (i) 二维缺陷VO2纳米结构随温度变化的磁化曲线[67]; (j)—(m) 母相Cr2Ge2Te6和混合相系统的磁化率-温度曲线及磁化强度-磁场曲线[69]
Fig. 10. Magnetic and stress regulation of doping and heterojunctions: (a) Atomic structure of Ni-doped CoO[65]; (b) high-resolution TEM image of Ni-doped CoO[65]; (c) temperature dependence of magnetic susceptibility of Ni-doped CoO[65]; (d), (e) lateral and vertical heterostructures of α- MnSe/Cr2Se3[66]; magnetization-field curves of pristine VO2 crystals (f) and samples after SC CO2 treatment (g) [67]; (h) magnified view of the region near H = 0 in panels (f), (g)[67]; (i) temperature-dependent magnetization curves of two-dimensional defective VO2 nanostructures[67]; (j)–(m) magnetic susceptibility-temperature curves and magnetization-field curves of parent phase Cr2Ge2Te6 and mixed-phase systems[69].
图 12 层状材料在自旋电子学中的应用潜力 (a) 自旋阀器件工作原理示意图[84]; (b) Fe3GeTe2/碲烯/Fe3GeTe2自旋阀的磁阻性能[85]; (c) 自旋阀器件的MR随温度的变化[85]; (d) 磁隧道结器件工作原理示意图[86]; (e) Fe3GaTe2/WS2/Fe3GaTe2磁隧道结的R与TMR随B的变化曲线[87]; (f) 磁隧道结的TMR随温度的变化[87]; (g), (h) SHE和REE原理示意图[88]; (i) 高效率SOT驱动的磁化翻转示意图[89]; (j) Bi2Te3/Fe3GeTe2异质结构的电流诱导磁化切换现象[89]; (k) 自旋波形成的示意图; (l) 自旋波器件的工作示意图[90]; (m) 二维非层状YIG的σm随厚度的变化关系[91]
Fig. 12. Application potential of layered materials in spintronics: (a) Schematic diagram of the working principle of spin valve devices[84]; (b) magnetoresistance performance of Fe3GeTe2/tellurene/Fe3GeTe2 spin valves[85]; (c) temperature dependence of MR in spin valve devices[85]; (d) schematic diagram of the working principle of magnetic tunnel junction devices[86]; (e) curves of R and TMR versus B for Fe3GeTe2/WS2/Fe3GeTe2 magnetic tunnel junctions[87]; (f) temperature dependence of TMR in magnetic tunnel junctions[87]; (g), (h) schematic diagrams of the principles of SHE and REE[88]; (i) schematic illustration of high-efficiency SOT-driven magnetization switching[89]; (j) current-induced magnetization switching phenomenon in Bi2Te3/Fe3GeTe2 heterostructures[89]; (k) schematic diagram of spin wave formation; (l) schematic illustration of the operation of spin wave devices[90]; (m) thickness dependence of σm for two-dimensional non-layered YIG[91].
表 1 近5年来二维非层状磁性材料的磁性总结
Table 1. Summary of magnetism in two-dimensional non-layered magnetic materials over the past five years.
材料 分类 制备方法 厚度/尺寸 磁性 居里(奈尔)
温度/K空气
稳定性发表
年份Cr[70] 单元素金属 电子束驱动的
原位还原法单原子层/8 nm2 反铁磁性 — — 2020 Cr2Te3[71] 金属硫族
化合物盐辅助CVD法 1.6—7.1 nm
/>0.93 mm铁磁性 ~280 — 六方FeTe[45] 金属硫族
化合物直接CVD法 2.8 nm/>60 μm 铁磁性 170(4 nm)—
220(30 nm)0.5 h MnP[52] 其他 直接CVD法 30—50 nm
/数十微米铁磁性 >303 — 六方FeTe[72] 金属硫族
化合物直接CVD法 平均~3.7 nm
/~120 μm铁磁性 ~300 — 2021 γ-Fe2O3[34] 金属氧化物 Co催化的CVD法 4—9 nm
/>20 μm亚铁磁性 >300 >3 m VO2[67] 金属氧化物 应变工程
诱导二维化4.8 nm
/平均~200 nm铁磁性 >300 >3 m Fe7Se8[43] 金属硫族
化合物空间限域CVD法 3.5—45 nm
/>20 μm亚铁磁性 >300 K >1 m MnSe2[14] 金属硫族
化合物软化学刻蚀法 (21.4±0.7) nm
/(2.3±0.1) μm铁磁性 ~320 K — α-MnSe[73] 金属硫族
化合物盐辅助CVD法 5.63—7.82 nm
/19.5—42.6 μm反铁磁性 ~160 K — SrRu2O6[39] 金属氧化物 超声辅助剥离法 ~1.3—2.2 nm
/数十纳米-数百纳米反铁磁性 — — CrTe[74] 金属硫族
化合物直接CVD法
+超声辅助剥离法0.8—50 nm
/数微米-数十微米铁磁性 ~367 K >1 m ε-Fe2O3[30] 金属氧化物 空间限域CVD法 4.0—44.6 nm 亚铁磁性 ~291 K >3 m 2022 Fe[51] 单元素金属 空间限域CVD法 4.0—37.4 nm
/数微米-数十微米铁磁性 >300 K >6 d Cr2X3
(X = S, Se, Te)[22]金属硫族
化合物衬底预处理的
CVD法3.5 nm/30 μm(Cr2S3),
1.6 nm/30 μm(Cr2Se3),
2.3 nm/200 μm
(Cr2Te3)亚铁磁性(Cr2S3)、
自旋玻璃态(Cr2Se3)、
铁磁性(Cr2Te3)~170 K(Cr2Te3) — CoFe2O4[38] 金属氧化物 分子筛辅助的
CVD法2—4 nm/数十微米 亚铁磁性 >390 K >1 m FeSe[75] 金属硫族
化合物溶剂热法 2.90—2.95 nm
/1.0—2.2 μm反铁磁性 ~553 K >1 m Cr5Te8/vdW
垂直异质结[76]金属硫族
化合物直接CVD法 1.6—52.1 nm
/~144 μm铁磁性 ~165 K
(7.2 nm)>1 m Fe5Se8, Fe3Se4[44] 金属硫族
化合物直接CVD法 —/0.5—4 μm
(Fe5Se8),
8 nm/20 μm(Fe3Se4)铁磁性(Fe5Se8) ~300 K >6 h(酸性
溶液中)2023 γ-Fe2O3[33] 金属氧化物 空间限域CVD法 10—47 nm
/数百纳米-数十微米亚铁磁性 — >4 m Ni掺杂的CoO[65] 金属氧化物 直接CVD法 6.1 nm
/11.4 μm铁磁性 ~180 K — Fe7S8[77] 金属硫族
化合物分子筛辅助的
CVD法2.0—22.6 nm
/2—22 μm亚铁磁性 >300 K — FeS[42] 金属硫族
化合物直接CVD法 6.1—30.6 nm
(SiO2/Si衬底)/—
0.6 nm
(WSe2衬底)/—亚铁磁性 >300 K — CuCrSe2[16] 金属硫族
化合物电化学剥离法 1.49 nm/— 铁磁性(单层和
偶数层)、
反铁磁性(奇数层)~120 K — α-MnSe/Cr2Se3
横向和纵向
异质结[66]金属硫族
化合物直接CVD法 1.1 nm(横向异质结)
5 nm(纵向异质结)/—反铁磁(α- MnSe),
铁磁性(Cr2Se3)— >7 d
(α-MnSe)Cr2Ge2Te6@
Cr2Te3[69]金属硫族
化合物自然氧化
形成二次相— 铁磁性 ~160 K — Fe3O4[35] 金属氧化物 分子筛辅助的
CVD法1.9—38.2 nm
/毫米级薄膜亚铁磁性 ~350 K >5 m Fe3O4[36] 金属氧化物 直接CVD法 0.5—25 nm
/数微米-数十微米亚铁磁性 >850 K >2 y 2024 Cr2S3[21] 金属硫族
化合物界面调制的CVD 1.8 nm/1英寸薄膜 铁磁性 ~200 K >7 m Fe3O4[37] 金属氧化物 直接CVD法 3—488 nm
/数微米-数十微米亚铁磁性 — >2 y ε-Fe2O3[19] 金属氧化物 空间限域CVD法 5.5—77.4 nm/165 μm 亚铁磁性 800 K >1 m MnTe[82] 金属硫族
化合物超声辅助剥离法 2—7 nm/数百纳米 反铁磁性(单层),
铁磁性(双层至四层),
反铁磁性(厚度超过5 nm时)— — MnSe2[47] 金属硫族
化合物溶剂热法 4—6 nm
/数十纳米-数百纳米铁磁性 ~309 K — Cr5Te8[40] 金属硫族
化合物空间限域CVD法 0.66 nm/450 μm 铁磁性 ~176 K >10 d AgCrS2[48] 金属硫族
化合物电化学剥离法 1.25 nm/数十微米 铁磁性 ~115 K — Cr2S3[78] 金属硫族
化合物超声辅助剥离法 3.4 nm
/几纳米-几微米反铁磁性 — >1 m
(在NMP中)γ-Ga2O3[68] 金属氧化物 应变工程
诱导二维化(3.7±0.2) nm/数百纳米 铁磁性 ~300 K — FeSb[17] 其他材料 分子束外延法 1 nm/数十纳米 铁磁性 >390 K — ε-Fe2O3[31] 金属氧化物 空间限域CVD法 6.6—42.6 nm
/2.9—16.7 μm亚铁磁性 — >10 m 2025 Cr2Se3[18] 金属硫族
化合物直接CVD法 4—22 nm
/数微米-数十微米反铁磁性 ~46 K — CuFeS2[20] 金属硫族
化合物盐辅助CVD法 ~9 nm
/数微米-数十微米反铁磁性 ~(473.0±0.4) K >14 d CoS2, Co3S4,
CoS[79]金属硫族
化合物直接CVD法 10—15 nm/2—25 μm 铁磁性(CoS2) ~123 K — NiSe[46] 金属硫族
化合物直接CVD法 6—43 nm/7—70 μm 铁磁性 >400 K — Cr5Te8[80] 金属硫族
化合物直接CVD法 4.8—12 nm/~0.19 mm 铁磁性 ~172 K — Cr2Se3[41] 金属硫族
化合物分子束外延法 单层/— 铁磁性 ~225 K — CuFeSeS[81] 二元金属
硫族化合物溶剂热法 20—45 nm
/平均约2.6 μm铁磁性 ~380 K >28 d -
[1] Mermin N D, Wagner H 1966 Phys. Rev. Lett. 17 1133
Google Scholar
[2] Gong C, Li L, Li Z L, Ji H W, Stern A, Xia Y, Cao T, Bao W, Wang C Z, Wang Y, Qiu Z Q, Cava R J, Louie S G, Xia J, Zhang X 2017 Nature 546 265
Google Scholar
[3] Sun Z Y, Yi Y F, Song T C, Clark G, Huang B, Shan Y W, Wu S, Huang D, Gao C L, Chen Z H, McGuire M, Cao T, Xiao D, Liu W T, Yao W, Xu X D, Wu S W 2019 Nature 572 497
Google Scholar
[4] Fei Z Y, Huang B, Malinowski P, Wang W B, Song T C, Sanchez J, Yao W, Xiao D, Zhu X Y, May A F, Wu W D, Cobden D H, Chu J H, Xu X D 2018 Nat. Mater. 17 778
Google Scholar
[5] May A F, Ovchinnikov D, Zheng Q, Hermann R, Calder S, Huang B, Fei Z, Liu Y, Xu X, McGuire M A 2019 ACS Nano 13 4436
Google Scholar
[6] Zhang X Q, Lu Q S, Liu W Q, Niu W, Sun J B, Cook J, Vaninger M, Miceli P F, Singh D J, Lian S W, Chang T R, He X Q, Du J, He L, Zhang R, Bian G, Xu Y B 2021 Nat. Commun. 12 2492
Google Scholar
[7] Ci W J, Yang H L, Xue W H, Yang R L, Lü B H, Wang P, Li R W, Xu X H 2022 Nano Res. 15 7597
Google Scholar
[8] McGuire M A, Clark G, Kc S, Chance W M, Jellison G E, Cooper V R, Xu X, Sales B C 2017 Phys. Rev. Mater. 1 014001
Google Scholar
[9] Zhang G J, Guo F, Wu H, Wen X K, Yang L, Jin W, Zhang W F, Chang H X 2022 Nat. Commun. 13 5067
Google Scholar
[10] O'Hara D J, Zhu T, Trout A H, Ahmed A S, Luo Y K, Lee C H, Brenner M R, Rajan S, Gupta J A, McComb D W, Kawakami R K 2018 Nano Lett. 18 3125
Google Scholar
[11] Zhou N, Yang R, Zhai T 2019 Mater. Today Nano 8 100051
Google Scholar
[12] Ma H X, Xing Y H, Cui B Y, Han J, Wang B H, Zeng Z M 2022 Chin. Phys. B 31 108502
Google Scholar
[13] Puthirath Balan A, Radhakrishnan S, Woellner C F, Sinha S K, Deng L, Reyes C L, Rao B M, Paulose M, Neupane R, Apte A, Kochat V, Vajtai R, Harutyunyan A R, Chu C W, Costin G, Galvao D S, Marti A A, van Aken P A, Varghese O K, Tiwary C S, Malie Madom Ramaswamy Iyer A, Ajayan P M 2018 Nat. Nanotechnol. 13 602
Google Scholar
[14] Hu L, Cao L, Li L W, Duan J M, Liao X Q, Long F C, Zhou J, Xiao Y G, Zeng Y J, Zhou S Q 2021 Mater. Horiz. 8 1286
Google Scholar
[15] Hu C X, Tian Z, Xiao Q, Zhu Z T, Li X Y, Dun G H, Wu H R, Tang Y L, Wang Q, Zhang H L 2021 Small Struct. 2 2100039
Google Scholar
[16] Peng J, Su Y Q, Lü H F, Wu J J, Liu Y H, Wang M H, Zhao J Y, Guo Y Q, Wu X J, Wu C Z, Xie Y 2023 Adv. Mater. 35 2209365
Google Scholar
[17] Zhang H M, Liu Q X, Deng L Z, Ma Y J, Daneshmandi S, Cen C, Zhang C Y, Voyles P M, Jiang X, Zhao J J, Chu C W, Gai Z, Li L 2024 Nano Lett. 24 122
Google Scholar
[18] Jang J M, Srivastava P K, Joe M, Jung S G, Park T, Kim Y, Lee C 2025 ACS Nano 19 999
Google Scholar
[19] Wang T, Xue W H, Yang H L, Zhang Y Z, Cheng S B, Fan Z W, Li R W, Zhou P, Xu X H 2024 Adv. Mater. 36 2311041
Google Scholar
[20] Wang D, Liu Y Y, Zhang H, Liu Y, Li D, Zhang Z C, Lu P, Yi C, He K, Zhang L Q, Wang Y R, Li S H, Liu M M, Zhang H M, Chen S L, Chen Z H, Duan X D 2025 Nano Lett. 25 5925
Google Scholar
[21] Song L Y, Zhao Y, Xu B Q, Du R F, Li H, Feng W, Yang J B, Li X H, Liu Z J, Wen X, Peng Y N, Wang Y Z, Sun H, Huang L, Jiang Y L, Cai Y, Jiang X, Shi J P, He J 2024 Nat. Commun. 15 721
Google Scholar
[22] Luo S, Zhu X K, Liu H, Song S X, Chen Y, Liu C, Zhou W Z, Tang C S, Shao G L, Jin Y Y, Guan J, Tung V C, Li H M, Chen X L, Ouyang F P, Liu S 2022 Chem. Mater. 34 2342
Google Scholar
[23] Yang H, Wang F, Zhang H S, Guo L H, Hu L Y, Wang L F, Xue D J, Xu X H 2020 J. Am. Chem. Soc. 142 4438
Google Scholar
[24] Yang H, Zhang H S, Guo L H, Yang W J, Wu Y, Wang J J, Li X L, Du H F, Peng B, Liu Q X, Wang F, Xue D J, Xu X H 2024 Nano Lett. 24 10519
Google Scholar
[25] Huang X, Li H, Li S Z, Wu S X, Boey F, Ma J, Zhang H 2011 Angew. Chem. Int. Edit. 50 12245
Google Scholar
[26] Schliehe C, Juarez B H, Pelletier M, Jander S, Greshnykh D, Nagel M, Meyer A, Foerster S, Kornowski A, Klinke C, Weller H 2010 Science 329 550
Google Scholar
[27] Bielewicz T, Dogan S, Klinke C 2015 Small 11 826
Google Scholar
[28] Yang H, Qin B, Zuo L Y, Li H R, Li Y M, Wang F, Liu Y, Xu X H 2025 Adv. Funct. Mater. e04057
Google Scholar
[29] Xu Y, Zhao W W, Xu R, Shi Y M, Zhang B 2013 Chem. Commun. 49 9803
Google Scholar
[30] Wang Y Z, Wang P, Wang H, Xu B Q, Li H, Cheng M, Feng W, Du R F, Song L Y, Wen X, Li X H, Yang J B, Cai Y, He J, Wang Z X, Shi J P 2023 Adv. Mater. 35 2209465
Google Scholar
[31] Xue W H, Wang T, Yang H L, Zhang H H, Dai G H, Zhang S, Yang R L, Quan Z Y, Li R W, Tang J, Song C, Xu X H 2025 Nat. Commun. 16 440
Google Scholar
[32] Machala L, Tuček J, Zbořil R 2011 Chem. Mater. 23 3255
Google Scholar
[33] Wang T, Fan Z W, Xue W H, Yang H L, Li R W, Xu X H 2023 Nano Lett. 23 10498
Google Scholar
[34] Jia Z Y, Wang W J, Li Z C, Sun R, Zhou S Q, Deepak F L, Su C L, Li Y, Wang Z C 2021 ACS Appl. Mater. Interfaces 13 24051
Google Scholar
[35] Wang P, Ge J, Luo J W, Wang H, Song L Y, Li Z W, Yang J B, Wang Y Z, Du R F, Feng W, Wang J, He J, Shi J P 2023 Nano Lett. 23 1758
Google Scholar
[36] Jia Z Y, Chen Q, Wang W J, Sun R, Li Z C, Hubner R, Zhou S Q, Cai M M, Lü W M, Yu Z P, Zhang F, Zhao M F, Tian S, Liu L X, Zeng Z M, Jiang Y, Wang Z C 2024 Adv. Sci. 11 2401944
Google Scholar
[37] Jia Z Y, Zhao M F, Chen Q, Sun R, Cao L L, Ye K, Zhu T, Liu L X, Tian Y X, Wang Y, Du J, Zhang F, Lü W M, Ling F F, Zhai Y, Jiang Y, Wang Z C 2024 Adv. Sci. 11 2405945
Google Scholar
[38] Cheng R Q, Yin L, Wen Y, Zhai B X, Guo Y Z, Zhang Z F, Liao W T, Xiong W Q, Wang H, Yuan S J, Jiang J, Liu C S, He J 2022 Nat. Commun. 13 5241
Google Scholar
[39] Homkar S, Chand B, Rajput S S, Gorantla S, Das T, Babar R, Patil S, Klingeler R, Nair S, Kabir M, Bajpai A 2021 ACS Appl. Nano Mater. 4 9313
Google Scholar
[40] Jiang Q T, Yang H L, Xue W H, Yang R L, Shen J L, Zhang X Y, Li R W, Xu X H 2024 Nano Lett. 24 1246
Google Scholar
[41] Chuang C W, Kawakami T, Sugawara K, Nakayama K, Souma S, Kitamura M, Amemiya K, Horiba K, Kumigashira H, Kremer G, Fagot-Revurat Y, Malterre D, Bigi C, Bertran F, Chang F H, Lin H J, Chen C T, Takahashi T, Chainani A, Sato T 2025 Nat. Commun. 16 3448
Google Scholar
[42] Zhang H M, Tang J M, Li B, Li B L, Zhang Z C, He K, Shi S, Shen X H, Liu J L, Huang Z W, Wang D, Deng W, Liu M M, Zhou X Y, Duan X D 2023 Nano Today 49 101794
Google Scholar
[43] Zhao Z J, Zhou J, Liu L H, Liu N S, Huang J Q, Zhang B, Li W, Zeng Y, Zhang T, Ji W, Yang T, Zhang Z D, Li S L, Hou YL 2022 Nano Lett. 22 1242
Google Scholar
[44] Huan Y, Luo T, Han X, Ge J, Cui F, Zhu L, Hu J, Zheng F, Zhao X, Wang L, Wang J, Zhang Y Y 2023 Adv. Mater. 35 2207276
Google Scholar
[45] Kang L X, Ye C, Zhao X X, Zhou X Y, Hu J X, Li Q, Liu D, Das C M, Yang J F, Hu D Y, Chen J Q, Cao X, Zhang Y, Xu M Z, Di J, Tian D, Song P, Kutty G, Zeng Q S, Fu Q D, Deng Y, Zhou J D, Ariando A, Miao F, Hong G, Huang Y Z, Pennycook S J, Yong K T, Ji W, Wang X R, Liu Z 2020 Nat. Commun. 11 3729
Google Scholar
[46] Wang Y, Yu L X, Li X H, Wang S Y, Yang J L, Yuan H, Peng X N, Shi J P, Wang Y L, Fu Y S, Wang X N 2025 Appl. Surf. Sci. 688 162416
Google Scholar
[47] Roy K, Datta R, Maitra S, Kumar P 2024 ACS Nano 18 24569
Google Scholar
[48] Luo N, Ma H, Zhang T, Wu J J, Chen Z J, Xu M W, Sun Y M, Peng J 2024 2D Mater. 11 045015
Google Scholar
[49] Yuhara J, Shimazu H, Ito K, Ohta A, Araidai M, Kurosawa M, Nakatake M, Le Lay G 2018 ACS Nano 12 11632
Google Scholar
[50] Fortin-Deschenes M, Waller O, Mentes T O, Locatelli A, Mukherjee S, Genuzio F, Levesque P L, Hebert A, Martel R, Moutanabbir O 2017 Nano Lett. 17 4970
Google Scholar
[51] Li W, Qiu X, Lü B, Zhang B, Tang J, Xu J, Tian K, Zhao Z, Zeng Y, Huang X, Du H, Hou Y 2022 Matter 5 291
Google Scholar
[52] Sun X, Zhao S S, Bachmatiuk A, Rummeli M H, Gorantla S, Zeng M Q, Fu L 2020 Small 16 2001484
Google Scholar
[53] Mounet N, Gibertini M, Schwaller P, Campi D, Merkys A, Marrazzo A, Sohier T, Castelli I E, Cepellotti A, Pizzi G, Marzari N 2018 Nat. Nanotechnol. 13 246
Google Scholar
[54] Torelli D, Moustafa H, Jacobsen K W, Olsen T 2020 npj Comput. Mater. 6 158
Google Scholar
[55] Shen Z X, Su C, He L X 2022 npj Comput. Mater. 8 132
Google Scholar
[56] Elrashidy A, Della-Giustina J, Yan J A 2024 J. Phys. Chem. C 128 6007
Google Scholar
[57] Roy D K, Kabir M 2024 Phys. Rev. B 110 L020403
Google Scholar
[58] Huang X K, Mo Y Y, Xu J L, Hu J N, Nie X, Chen C, Liu J Q, Jiang X P, Liu J M 2023 Appl. Phys. Lett. 123 012405
Google Scholar
[59] Jiang P H, Li L, Liao Z L, Zhao Y X, Zhong Z C 2018 Nano Lett. 18 3844
Google Scholar
[60] Jiang P H, Wang C, Chen D C, Zhong Z C, Yuan Z, Lu Z Y, Ji W 2019 Phys. Rev. B 99 144401
Google Scholar
[61] Bandyopadhyay A, Frey N C, Jariwala D, Shenoy V B 2019 Nano Lett. 19 7793
Google Scholar
[62] Barnowsky T, Curtarolo S, Krasheninnikov A V, Heine T, Friedrich R 2024 Nano Lett. 24 3874
Google Scholar
[63] Yang K J, Wang Y X, Liu C X 2022 Phys. Rev. Lett. 128 166601
Google Scholar
[64] 杨瑞龙, 张钰樱, 杨柯, 姜琦涛, 杨晓婷, 郭金中, 许小红 2023 物理学报 72 247501
Google Scholar
Yang R L, Zhang Y Y, Yang K, Jiang Q T, Yang X T, Guo J Z, Xu X H 2023 Acta Phys. Sin. 72 247501
Google Scholar
[65] Jiang J, Feng W Y, Wen Y, Yin L, Wang H, Feng X Q, Pei Y L, Cheng R Q, He J 2023 Adv. Mater. 35 2301668
Google Scholar
[66] Hu X Y, Jin Z T, Zhong Y L, Dai J X, Tao X W, Zhang X W, Han J B, Jiang S W, Zhou L 2023 Chem. Mater. 35 4220
Google Scholar
[67] Zhang L, Zhou Y N, Zheng X L, Jiang J Y, Xu Q 2021 Chem. Commun. 57 9072
Google Scholar
[68] Zhao L Y, Wu W Z, Gao B, Zhao Z L, An B, Xu Q 2024 Small 20 2308187
Google Scholar
[69] Das B, Ghosh S, Sengupta S, Auban-Senzier P, Monteverde M, Dalui T K, Kundu T, Saha R A, Maity S, Paramanik R, Ghosh A, Palit M, Bhattacharjee J K, Mondal R, Datta S 2023 Small 19 2302240
Google Scholar
[70] Ta H Q, Yang Q X, Liu S, Bachmatiuk A, Mendes R G, Gemming T, Liu Y, Liu L, Tokarska K, Patel R B, Choi J H, Rummeli M H 2020 Nano Lett. 20 4354
Google Scholar
[71] Wen Y, Liu Z H, Zhang Y, Xia C X, Zhai B X, Zhang X H, Zhai G H, Shen C, He P, Cheng R Q, Yin L, Yao Y Y, Getaye Sendeku M, Wang Z X, Ye X B, Liu C D, Jiang C, Shan C X, Long Y W, He J 2020 Nano Lett. 20 3130
Google Scholar
[72] Cheng M, Zhao X X, Zeng Y, Wang P, Wang Y Z, Wang T, Pennycook S J, He J, Shi J P 2021 ACS Nano 15 19089
Google Scholar
[73] Li N N, Zhu L L, Shang H H, Wang F, Zhang Y, Yao Y Y, Wang J J, Zhan X Y, Wang F M, He J, Wang Z X 2021 Nanoscale 13 6953
Google Scholar
[74] Wu H X, Zhang W F, Yang L, Wang J, Li J, Li L Y, Gao Y H, Zhang L, Du J, Shu H B, Chang H X 2021 Nat. Commun. 12 5688
Google Scholar
[75] Xu J J, Li W, Zhang B, Zha L, Hao W, Hu S X, Yang J B, Li S Z, Gao S, Hou Y L 2022 Chem. Sci. 13 203
Google Scholar
[76] Jin Z T, Ji Z J, Zhong Y L, Jin Y M, Hu X Y, Zhang X X, Zhu L J, Huang X H, Li T, Cai X H, Zhou L 2022 ACS Nano 16 7572
Google Scholar
[77] Wang B C, Yao Y, Hong W T, Hong Z A, He X, Wang T K, Jian C Y, Ju Q K, Cai Q K, Sun Z H, Liu W 2023 Small 19 2207325
Google Scholar
[78] Su W J, Kuklin A, Jin L H, Engelgardt D, Zhang H, Agren H, Zhang Y 2024 Adv. Sci. 11 2402875
Google Scholar
[79] Jang J, Jeong E, Joe M, Abraham T G, Jang Y, Yoon J, Song J, Lee Z, Park T, Kim Y, Lee C 2025 Small 21 2406202
Google Scholar
[80] Wu H X, Guo J F, Xu H, Suonan Z, Mi S, Wang L, Chen S S, Xu R, Ji W, Cheng Z H, Pang F 2025 J. Phys. Chem. C 129 9076
Google Scholar
[81] Liu W J, Li Y J, Ding R F, Zhang H, Hao Y Q, Liu Y, Wang L F, Xu X H 2025 Rare Met. 44 4815
Google Scholar
[82] Slathia S, Tripathi M, Tromer R, Gowda C C, Pandey P, Galvao D S, Dalton A, Tiwary C S 2024 Mater. Today Chem. 38 102134
Google Scholar
[83] Jia Z Y, Zhao M F, Chen Q, Tian Y X, Liu L X, Zhang F, Zhang D L, Ji Y, Camargo B, Ye K, Sun R, Wang Z C, Jiang Y 2025 ACS Nano 19 9452
Google Scholar
[84] Peng S Z, Zhang Y, Wang M X, Zhang Y G, Zhao W S 2014 Wiley Encycl. Electr. Electron. Eng. pp1−16 https://doi.org/10.1002/047134608X.W8231
[85] Zeng X Y, Zhang L, Zhang Y, Yang F Z, Zhou L Q, Wang Y, Fang C Z, Li X X, Zheng S Y, Liu Y, Liu Y, Wang X Z, Hao Y, Han G Q 2024 Appl. Phys. Lett. 125 092406
Google Scholar
[86] Guo R, Lin W N, Yan X B, Venkatesan T, Chen J S 2020 Appl. Phys. Rev. 7 011304
Google Scholar
[87] Jin W, Zhang G J, Wu H, Yang L, Zhang W F, Chang H X 2023 ACS Appl. Mater. Interfaces 15 36519
Google Scholar
[88] Husain S, Gupta R, Kumar A, Kumar P, Behera N, Brucas R, Chaudhary S, Svedlindh P 2020 Appl. Phys. Rev. 7 041312
Google Scholar
[89] Wang H Y, Wu H, Zhang J, Liu Y J, Chen D D, Pandey C, Yin J L, Wei D H, Lei N, Shi S Y, Lu H C, Li P, Fert A, Wang K L, Nie T X, Zhao W S 2023 Nat. Commun. 14 5173
Google Scholar
[90] Wang Y, Zhu D P, Yang Y M, Lee K, Mishra R, Go G, Oh S H, Kim D H, Cai K M, Liu E L, Pollard S D, Shi S Y, Lee J, Teo K L, Wu Y H, Lee K J, Yang H 2019 Science 366 1125
Google Scholar
[91] Wei X Y, Santos O A, Lusero C H S, Bauer G E W, Ben Youssef J, van Wees B J 2022 Nat. Mater. 21 1352
Google Scholar
计量
- 文章访问数: 2882
- PDF下载量: 118
- 被引次数: 0








下载:
