-
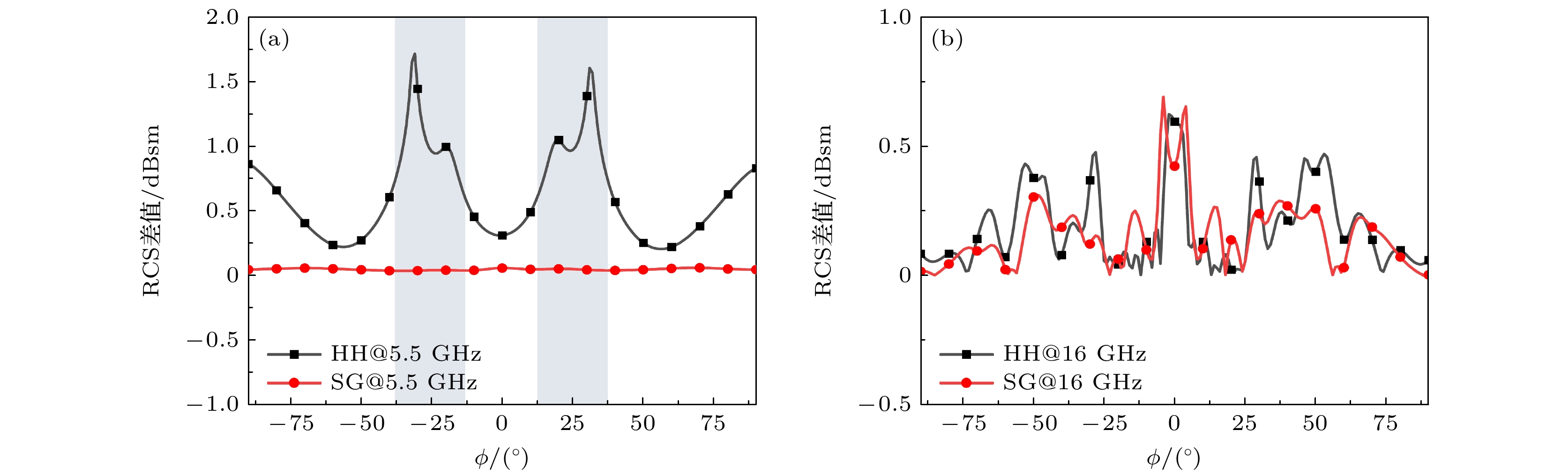
为揭示电磁吸波超结构的各向同异性与其宏观部件雷达散射截面(RadarCross Section,RCS)的内在关系,本文系统研究了典型的各向异性六边形蜂窝(Hexagonal Honeycomb,HH)超结构与各向同性面状Gyroid(Sheet Gyroid,SG)超结构在低雷达散射部件设计中的应用。通过采用保角映射和非保角映射设计电磁吸波超结构曲面部件,并结合仿真计算与微波暗室测试,对比了不同方法设计的曲面部件RCS。结果表明,各向同性面状Gyroid曲面部件,其RCS对设计方法不敏感,展现较强吸波能力鲁棒性;而各向异性六边形蜂窝曲面部件,其RCS对设计方法表现出强烈的依赖性。与各向异性结构相比,具备电磁各向同性的超结构在实现曲面部件广角、稳健的低散射特性方面更具优势,其性能对设计和加工的依赖性更低,为开发高性能雷达吸波部件提供了重要的设计依据。To reveal the correlation between the anisotropy of electromagnetic absorbing metastructures and the radar cross section (RCS) of its curved components, the typical anisotropic hexagonal honeycomb (HH) metastructure and isotropic sheet gyroid (SG) metastructure are systematically studied. Then, both conformal mapping and non-conformal mapping methods were employed for designing the conformal curved components. These designs were compared using simulation and microwave anechoic chamber testing to evaluate their RCS. The results indicate that the RCS of isotropic sheet gyroid curved components are insensitive to design methods, demonstrating strong design method and absorbing robustness; however, the RCS of anisotropic hexagonal honeycomb curved components exhibit strong dependence on design methods. Compared to anisotropic structures, metastructures with electromagnetic isotropy offer significant advantages in achieving wide-angle and robust low-scattering characteristics for curved components, with lower dependence on design and processing. This study provides important design guidance for developing high-performance radar low-scattering components.
-
Keywords:
- electromagnetic absorbing metastructure /
- electromagnetic anisotropic /
- conformal design /
- additive manufacturing
-
[1] 王彦朝, 许河秀, 王朝辉, 王明照, 王少杰 2020 物理学报 69 134101
[2] 杨利鑫, 李彦斌, 费庆国 2025 航空学报 46 331808
[3] 莫漫漫, 马武伟, 庞永强, 陈润华, 张笑梅, 柳兆堂, 李想, 郭万涛 2018 物理学报 67 217801
[4] Zhou P H, Huang L R, Xie J L, Liang D F, Lu H P, Deng L J 2015 IEEE Trans. Antennas Propag. 63 3496
[5] Gong P, Li Y, Xin C X, Chen Q Y, Hao L, Sun Q L, Li Z 2022 Ceram. Int. 48 9873
[6] Li Z C, Xu J, Zhang L, Li Y W, Yang R S, Fu Q H, Zhang F L, Fan Y C 2023 Ann. Phys. 535 2300054
[7] Zhang J H, Li D S, Wang M M 2025 Addit. Manuf. 97 104613
[8] Zheng L, Niu L, Wang T, Li X C, Wang X, Gong R Z 2023 Compos. Struct. 305 116464
[9] Xiong Y J, Wang Y, Wang Q, Wang C Q, Huang X Z, Zhang F, Zhou D 2018 Acta Phys. Sin. 67 084202
[10] Bai L, Chang N, Zhao M Y, Hou C, Cao Y, Li D C 2024 Chin. J. Aeronaut.. 37 547
[11] Fan Q F, Yang X Z, Lei H S, Liu Y Y, Huang Y X, Chen M J 2020 Compos. Part A-Appl. S. 129 105698
[12] Zhou Q, Qi C X, Shi T T, Li Y K, Ren W, Gu S Y, Xue B, Ye F, Fan X M, Du L F 2023 Compos. Part A-Appl. S. 169 107541
[13] Lin Z M, Yu M M, Wen M L, Ma Z, Gao L H, Wang Y T, Chen W H, Chen G H, Ma C 2023 Carbon 214 118389
[14] Ye F, Song Q, Zhang Z C, Li W, Zhang S Y, Yin X W, Zhou Y Z, Tao H W, Liu Y S, Cheng L F, Zhang L T, Li H J 2018 Adv. Funct. Mater. 28 1707205
[15] Luo H, Chen F, Wang X, Dai W Y, Xiong Y, Yang J J, Gong R Z 2019 Compos. Part A-Appl. S. 119 1
[16] Kwak B S, Choi W H, Noh Y H, Jeong G W, Yook J G, Kweon J H, Nam Y W 2020 Compos. Part B-Eng. 191 107952
[17] Xu J, Fan Y C, Su X P, Guo J, Zhu J X, Fu Q H, Zhang F L 2021 Opt. Mater. 113 110852
[18] Choi W H, Kim C G 2015 Compos. Part B-Eng. 83 14
[19] 何燕飞, 龚荣洲, 王鲜, 赵强 2008 物理学报 57 5261
[20] Yao L, Yang W Q, Zhou S X, Mei H, Li Y, Dassios K G, Riedel R, Liu C D, Cheng L F, Zhang L T 2023 Acta Mater. 249 118803
[21] Fu J, Ding J H, Zhang L, Qu S, Song X, Fu M W 2023 Addit. Manuf. 62 103406
[22] 汤兴刚, 张卫红, 邱克鹏 2013 物理学报 62 084102
[23] 顾兆栴, 陈乐, 孙惠敏, 王金平, 樊迪刚 2023年全国天线年会 中国黑龙江哈尔滨 2023 2231
[24] Fan J Y, Zhang Y X, Feng X L, Huang Z X 2024 Acta Phys. Sin. 73 244101
[25] 许少峰, 孙秦 2013 航空工程进展 4 119
计量
- 文章访问数: 281
- PDF下载量: 14
- 被引次数: 0








下载: