2023 Vol. 72, No. 10
column
- SPECIAL TOPIC—Nonlinear system theory and its frontier applications
- SPECIAL TOPIC—Recent advances in hardware, algorithms and software of quantum computers
- GENERAL
- ELECTROMAGNETISM, OPTICS, ACOUSTICS, HEAT TRANSFER, CLASSICAL MECHANICS, AND FLUID DYNAMICS
- PHYSICS OF GASES, PLASMAS, AND ELECTRIC DISCHARGES
- CONDENSED MATTER: STRUCTURAL, MECHANICAL, AND THERMAL PROPERTIES
- CONDENSED MATTER: ELECTRONIC STRUCTURE, ELECTRICAL, MAGNETIC, AND OPTICAL PROPERTIES
- SPECIAL TOPIC—Electrical/thermal properties of nanodielectrics
- INTERDISCIPLINARY PHYSICS AND RELATED AREAS OF SCIENCE AND TECHNOLOGY
- COVER ARTICLE
Display Method:
2023, 72(10): 100203.
doi: 10.7498/aps.72.20230063
Abstract:
The paper is a review of the bilinearization-reduction method which provides an approach to obtain solutions to integrable systems. Many integrable coupled systems can be bilinearized and their solutions are presented in terms of double Wronskians (or double Casoratians in discrete case). The bilinearization-reduction method is based on bilinear equations and solutions in double Wronskian/Casoratian form. For those integrable equations that are reduced from coupled systems, one can first solve the unreduced coupled system, obtaining their solutions in double Wronskian/Casoratian form, then, implement suitable reduction techniques, so that solutions of the reduced equation can be obtained as reductions of those of the unreduced coupled system. The method proves effective in solving not only classical integrable equations but also the nonlocal ones. The so-called nonlocal integrable equations were introduced by Ablowitz and Musslimani via reductions with reverse-space (or reverse-time, or reverse-space-time). Note that this method particularly provides a convenient bilinear approach to solve nonlocal integrable systems. In this review, the nonlinear Schrödinger hierarchy and the differential-difference nonlinear Schrödinger equation are employed as demonstrative examples to elaborate this method. These two examples will be pedagogically helpful in understanding the reduction technique. The reduction is implemented by imposing suitable constraints on the basic column vectors of the double Wronskian/Casoratian. Realizations of the constraints are converted to solve a set of matrix equations which varies with the constraints. Special solutions of the matrix equations are provided, which are also helpful in understanding the eigenvalue structure of the involved spectral problems corresponding to the considered equations. Other examples include the Fokas-Lenells equation and the nonlinear Schrödinger equation with nontrivial background. Since many nonlinear equations with physical significance are integrable as reductions of integrable coupled systems, the paper provides a review as well as an introduction about the bilinearization-reduction method that can be used to solve these nonlinear integrable models.
The paper is a review of the bilinearization-reduction method which provides an approach to obtain solutions to integrable systems. Many integrable coupled systems can be bilinearized and their solutions are presented in terms of double Wronskians (or double Casoratians in discrete case). The bilinearization-reduction method is based on bilinear equations and solutions in double Wronskian/Casoratian form. For those integrable equations that are reduced from coupled systems, one can first solve the unreduced coupled system, obtaining their solutions in double Wronskian/Casoratian form, then, implement suitable reduction techniques, so that solutions of the reduced equation can be obtained as reductions of those of the unreduced coupled system. The method proves effective in solving not only classical integrable equations but also the nonlocal ones. The so-called nonlocal integrable equations were introduced by Ablowitz and Musslimani via reductions with reverse-space (or reverse-time, or reverse-space-time). Note that this method particularly provides a convenient bilinear approach to solve nonlocal integrable systems. In this review, the nonlinear Schrödinger hierarchy and the differential-difference nonlinear Schrödinger equation are employed as demonstrative examples to elaborate this method. These two examples will be pedagogically helpful in understanding the reduction technique. The reduction is implemented by imposing suitable constraints on the basic column vectors of the double Wronskian/Casoratian. Realizations of the constraints are converted to solve a set of matrix equations which varies with the constraints. Special solutions of the matrix equations are provided, which are also helpful in understanding the eigenvalue structure of the involved spectral problems corresponding to the considered equations. Other examples include the Fokas-Lenells equation and the nonlinear Schrödinger equation with nontrivial background. Since many nonlinear equations with physical significance are integrable as reductions of integrable coupled systems, the paper provides a review as well as an introduction about the bilinearization-reduction method that can be used to solve these nonlinear integrable models.
2023, 72(10): 107502.
doi: 10.7498/aps.72.20230345
Abstract:
Inertia effect should be considered in ferromagnet magnetization dynamics on a sub picosecond-to-femtosecond-time scale. The inertia effect can be described by the inertial Landau-Lifshitz-Gilbert equation. This paper mainly introduces some theoretical and experimental developments of ultrafast ferromagnetic resonance, magnetization reversal and inertial spin dynamics. These results will be helpful in better understanding the basic mechanism of ultrafast demagnetization and magnetization reversal, and deepen the understanding of the microscopic mechanism of magnetic inertia. In the end, the development trend of future experimental and theoretical research are also presented.
Inertia effect should be considered in ferromagnet magnetization dynamics on a sub picosecond-to-femtosecond-time scale. The inertia effect can be described by the inertial Landau-Lifshitz-Gilbert equation. This paper mainly introduces some theoretical and experimental developments of ultrafast ferromagnetic resonance, magnetization reversal and inertial spin dynamics. These results will be helpful in better understanding the basic mechanism of ultrafast demagnetization and magnetization reversal, and deepen the understanding of the microscopic mechanism of magnetic inertia. In the end, the development trend of future experimental and theoretical research are also presented.
2023, 72(10): 100201.
doi: 10.7498/aps.72.20230241
Abstract:
The Korteweg-de Vries (KdV) equation is a mathematical model that describes the propagation of long waves in dispersive media. It takes into account both nonlinearity and dispersion, and is particularly useful for modeling phenomena like solitons. The nonlinear Schrödinger (NLS) equation models the dynamics of narrow-bandwidth wave packets consisting of short dispersive waves. It is a useful model for describing many physical systems, including Bose-Einstein condensates, optical fibers, and water waves. A system that couples the KdV and NLS equations can model the interaction of long and short waves. This system combines the strengths of both models. The long waves described by the KdV equation can affect the behavior of the short waves described by the NLS equation, while the short waves can in turn affect the behavior of the long waves. Such a coupled system has been studied extensively over the last few decades, and has led to important insights into many physical systems. This paper considers the existence of local solutions to the Cauchy problem of KdV-Schrödinger nonlinear system on the basis of literature (Bernard D, Nghiem V N, Benjamin L S2016 J. Phys. A: Math. Theor. 49 415501 ), and also gives the existence space of the local solutions.
The Korteweg-de Vries (KdV) equation is a mathematical model that describes the propagation of long waves in dispersive media. It takes into account both nonlinearity and dispersion, and is particularly useful for modeling phenomena like solitons. The nonlinear Schrödinger (NLS) equation models the dynamics of narrow-bandwidth wave packets consisting of short dispersive waves. It is a useful model for describing many physical systems, including Bose-Einstein condensates, optical fibers, and water waves. A system that couples the KdV and NLS equations can model the interaction of long and short waves. This system combines the strengths of both models. The long waves described by the KdV equation can affect the behavior of the short waves described by the NLS equation, while the short waves can in turn affect the behavior of the long waves. Such a coupled system has been studied extensively over the last few decades, and has led to important insights into many physical systems. This paper considers the existence of local solutions to the Cauchy problem of KdV-Schrödinger nonlinear system on the basis of literature (Bernard D, Nghiem V N, Benjamin L S
2023, 72(10): 100202.
doi: 10.7498/aps.72.20222381
Abstract:
In recent years, physics-informed neural networks (PINNs) have attracted more and more attention for their ability to quickly obtain high-precision data-driven solutions with only a small amount of data. However, although this model has good results in some nonlinear problems, it still has some shortcomings. For example, the unbalanced back-propagation gradient calculation results in the intense oscillation of the gradient value during the model training, which is easy to lead to the instability of the prediction accuracy. Based on this, we propose a gradient-optimized physics-informed neural networks (GOPINNs) model in this paper, which proposes a new neural network structure and balances the interaction between different terms in the loss function during model training through gradient statistics, so as to make the new proposed network structure more robust to gradient fluctuations. In this paper, taking Camassa-Holm (CH) equation and DNLS equation as examples, GOPINNs is used to simulate the peakon solution of CH equation, the rational wave solution of DNLS equation and the rogue wave solution of DNLS equation. The numerical results show that the GOPINNs can effectively smooth the gradient of the loss function in the calculation process, and obtain a higher precision solution than the original PINNs. In conclusion, our work provides new insights for optimizing the learning performance of neural networks, and saves more than one third of the time in simulating the complex CH equation and the DNLS equation, and improves the prediction accuracy by nearly ten times.
In recent years, physics-informed neural networks (PINNs) have attracted more and more attention for their ability to quickly obtain high-precision data-driven solutions with only a small amount of data. However, although this model has good results in some nonlinear problems, it still has some shortcomings. For example, the unbalanced back-propagation gradient calculation results in the intense oscillation of the gradient value during the model training, which is easy to lead to the instability of the prediction accuracy. Based on this, we propose a gradient-optimized physics-informed neural networks (GOPINNs) model in this paper, which proposes a new neural network structure and balances the interaction between different terms in the loss function during model training through gradient statistics, so as to make the new proposed network structure more robust to gradient fluctuations. In this paper, taking Camassa-Holm (CH) equation and DNLS equation as examples, GOPINNs is used to simulate the peakon solution of CH equation, the rational wave solution of DNLS equation and the rogue wave solution of DNLS equation. The numerical results show that the GOPINNs can effectively smooth the gradient of the loss function in the calculation process, and obtain a higher precision solution than the original PINNs. In conclusion, our work provides new insights for optimizing the learning performance of neural networks, and saves more than one third of the time in simulating the complex CH equation and the DNLS equation, and improves the prediction accuracy by nearly ten times.
2023, 72(10): 100204.
doi: 10.7498/aps.72.20222418
Abstract:
The study of integrable systems is one of important topics both in physics and in mathematics. However, traditional studies on integrable systems are usually restricted in (1+1) and (2+1) dimensions. The main reasons come from the fact that high-dimensional integrable systems are extremely rare. Recently, we found that a large number of high dimensional integrable systems can be derived from low dimensional ones by means of a deformation algorithm. In this paper, the (1+1) dimensional Kaup-Newell (KN) system is extended to a (4+1) dimensional system with the help of the deformation algorithm. In addition to the original (1+1) dimensional KN system, the new system also contains three reciprocal forms of the (1+1) dimensional KN system. The model also contains a large number of new (D+1) dimensional (\begin{document}$D \leqslant 3$\end{document} ![]()
![]()
) integrable systems. The Lax integrability and symmetry integrability of the (4+1) dimensional KN system are also proved. It is very difficult to solve the new high-dimensional KN systems. In this paper, we only investigate the traveling wave solutions of a (2+1) dimensional reciprocal derivative nonlinear Schrödinger equation. The general envelope travelling wave can be expressed by a complicated elliptic integral. The single envelope dark (gray) soliton of the derivative nonlinear Schödinger equation can be implicitly written.
The study of integrable systems is one of important topics both in physics and in mathematics. However, traditional studies on integrable systems are usually restricted in (1+1) and (2+1) dimensions. The main reasons come from the fact that high-dimensional integrable systems are extremely rare. Recently, we found that a large number of high dimensional integrable systems can be derived from low dimensional ones by means of a deformation algorithm. In this paper, the (1+1) dimensional Kaup-Newell (KN) system is extended to a (4+1) dimensional system with the help of the deformation algorithm. In addition to the original (1+1) dimensional KN system, the new system also contains three reciprocal forms of the (1+1) dimensional KN system. The model also contains a large number of new (D+1) dimensional (
2023, 72(10): 100306.
doi: 10.7498/aps.72.20222289
Abstract:
Vortex excitations triggered by nonlinear interactions in Bose-Einstein condensates have attracted interest in the study of ultracold atoms. However, most studies focus on canonical vortex states with integer topological charges. In this paper, we study the dynamic properties of noncanonical vortex condensates with three phase distributions: power-exponent, new type power-exponent and oscillation type. The results show that the noncanonical vortices are dynamic unstable and their density distributions obviously depend on the phase parameters of the initial optical phase masks. Different noncanonical vortices decay into canonical clusters with diverse configurations showing rich topological excitation patterns. In particular, a new power exponential noncanonical vortex state decays into a stable canonical polygonal vortex cluster structure. Because the phase structures of the noncanonical optical vortices destroy the rotational symmetry of the condensate, the angular momentum of the condensate is no longer quantized, and its value changes with the power of the azimuthal angle of the optical field or the oscillation frequency, which is obviously different from the evolution of the corresponding noncanonical vortex optical field itself. In the dynamical process, the center-of-mass trajectory of noncanonical vortex condensates with the new type of power exponent phase is always a point, while for the noncanonical vortex condensates with power exponent and oscillating phase, the center-of-mass trajectories are ellipses centering at the origin of coordinates.
Vortex excitations triggered by nonlinear interactions in Bose-Einstein condensates have attracted interest in the study of ultracold atoms. However, most studies focus on canonical vortex states with integer topological charges. In this paper, we study the dynamic properties of noncanonical vortex condensates with three phase distributions: power-exponent, new type power-exponent and oscillation type. The results show that the noncanonical vortices are dynamic unstable and their density distributions obviously depend on the phase parameters of the initial optical phase masks. Different noncanonical vortices decay into canonical clusters with diverse configurations showing rich topological excitation patterns. In particular, a new power exponential noncanonical vortex state decays into a stable canonical polygonal vortex cluster structure. Because the phase structures of the noncanonical optical vortices destroy the rotational symmetry of the condensate, the angular momentum of the condensate is no longer quantized, and its value changes with the power of the azimuthal angle of the optical field or the oscillation frequency, which is obviously different from the evolution of the corresponding noncanonical vortex optical field itself. In the dynamical process, the center-of-mass trajectory of noncanonical vortex condensates with the new type of power exponent phase is always a point, while for the noncanonical vortex condensates with power exponent and oscillating phase, the center-of-mass trajectories are ellipses centering at the origin of coordinates.
2023, 72(10): 100307.
doi: 10.7498/aps.72.20222292
Abstract:
The experimental realization of Rydberg dressing and spin-orbit coupling greatly broadens the research field of ultracold atoms as a quantum simulation platform. Very recently, moiré lattices have attracted intensive study, ranging from condensed matter to ultracold physics. In this paper, the ground-state structure of Rydberg-dressed Bose gas with spin-orbit coupling and confined in moiré lattices is studied, and the effects of nonlocal Rydberg interaction and spin-orbit coupling on the ground state of the system are explored. Our results show that the system has no translational symmetry due to the presence of nonlocal Rydberg interaction, and more and more regular periodic structures present with the increases of the strength of nonlocal Rydberg interaction. In the presence of spin-orbit coupling, the Hamiltonian of the system has an imaginary part, and the phase of the system is not uniformly distributed. It is found that the ground state of the system with spin-orbit coupling present more abundant internal structure base on these periodic structures. The results pave the way for future study of moiré physics in ultracold atom system.
The experimental realization of Rydberg dressing and spin-orbit coupling greatly broadens the research field of ultracold atoms as a quantum simulation platform. Very recently, moiré lattices have attracted intensive study, ranging from condensed matter to ultracold physics. In this paper, the ground-state structure of Rydberg-dressed Bose gas with spin-orbit coupling and confined in moiré lattices is studied, and the effects of nonlocal Rydberg interaction and spin-orbit coupling on the ground state of the system are explored. Our results show that the system has no translational symmetry due to the presence of nonlocal Rydberg interaction, and more and more regular periodic structures present with the increases of the strength of nonlocal Rydberg interaction. In the presence of spin-orbit coupling, the Hamiltonian of the system has an imaginary part, and the phase of the system is not uniformly distributed. It is found that the ground state of the system with spin-orbit coupling present more abundant internal structure base on these periodic structures. The results pave the way for future study of moiré physics in ultracold atom system.
2023, 72(10): 100308.
doi: 10.7498/aps.72.20222195
Abstract:
The dynamical stability properties of surface gap solitons in quasi-one-dimensional Bose-Einstein condensate loaded in the interface between uniform media and a semi-infifinite Jacobian elliptic sine potential with three-body interactions are investigated numerically. Under the mean-fifield approximation, the dynamical behaviors can be well-described by the nonlinear cubic-quintic Gross-Pitaevskii equation. Firstly, many kinds of surface gap solitons, including the surface bright solitons, surface kink solitons and surface bubble solitons, are obtained numerically by the Newton-conjugate gradient method. The surface bright solitons can be excited in the gap only for the case that the chemical potential is negative and their power is beyond a threshold value. All of them are not bifurcated from the Bloch band. A class of surface solitons with new structures, named the surface dark solitons, can be formed when the three-body interactions are taken into account. The surface dark solitons can exist not only in gap but also in band. The numerical results indicate that the amplitude of the surface gap solitons decreases as the three-body interaction strength increases. Both linear stability analysis and nonlinear dynamical evolution methods are applied to investigate the stability properties of surface gap solitons. For surface bright solitons in the semi-infinite gap, there is a critical value when the chemical potential is given. The surface bright solitons become linearly stable as the three-body interaction exceeds the critical value, or they are linearly unstable. Therefore, the three-body interaction strength plays an important role on the stability of surface gap solitons. One can change the dynamical behaviors of surface gap solitons by adjusting the three-body interaction strength in experiments. Numerical results also show that both stable and unstable surface kink solitons exist. However, all the surface bubble solitons are unstable.
The dynamical stability properties of surface gap solitons in quasi-one-dimensional Bose-Einstein condensate loaded in the interface between uniform media and a semi-infifinite Jacobian elliptic sine potential with three-body interactions are investigated numerically. Under the mean-fifield approximation, the dynamical behaviors can be well-described by the nonlinear cubic-quintic Gross-Pitaevskii equation. Firstly, many kinds of surface gap solitons, including the surface bright solitons, surface kink solitons and surface bubble solitons, are obtained numerically by the Newton-conjugate gradient method. The surface bright solitons can be excited in the gap only for the case that the chemical potential is negative and their power is beyond a threshold value. All of them are not bifurcated from the Bloch band. A class of surface solitons with new structures, named the surface dark solitons, can be formed when the three-body interactions are taken into account. The surface dark solitons can exist not only in gap but also in band. The numerical results indicate that the amplitude of the surface gap solitons decreases as the three-body interaction strength increases. Both linear stability analysis and nonlinear dynamical evolution methods are applied to investigate the stability properties of surface gap solitons. For surface bright solitons in the semi-infinite gap, there is a critical value when the chemical potential is given. The surface bright solitons become linearly stable as the three-body interaction exceeds the critical value, or they are linearly unstable. Therefore, the three-body interaction strength plays an important role on the stability of surface gap solitons. One can change the dynamical behaviors of surface gap solitons by adjusting the three-body interaction strength in experiments. Numerical results also show that both stable and unstable surface kink solitons exist. However, all the surface bubble solitons are unstable.
2023, 72(10): 100309.
doi: 10.7498/aps.72.20222401
Abstract:
In this work, we study the non-equilibrium quench dynamics from the superfluid stripe phase to the supersolid phase of a two dimensional spin-orbital coupled interacting Bose-Einstein condensate in the presence of a one dimensional optical lattice. The quench protocol here is constructed through varying the lattice depth linearly with the evolution time. By using the time-dependent Gutzwiller method, various physical quantities, such as the vortex number and the overlap of wave-function, have been investigated with respect to the quench time. Through analyzing the dynamical behavior of the above physical quantities, we find out the transition time of the quench procedure, which captures the freeze out time indicating the moment that the system catches the quench speed beginning to evolve quickly. Before the transition time, the dynamics is frozen and the state of the system cannot follow the changes in the Hamiltonian. While passing the transition time, we find that there are significant alterations to both the vortex number and the wave-function. At the transition time, on one hand the vortex number abruptly increases from zero; on the other hand the overlap of wave-function departures from 1 shortly. These signatures indicate that the system evolves rapidly when passing the transition time. Furthermore, we also find that due to the presence of spin-orbital coupling, the spin texture represents a periodic magnetic structure accompanying with the emergence of the supersolid dynamically. It is shown that during the quench procedure, the density distribution of the system are always accompanied with the spatial structure of spin texture, i.e., the central position of topological spin skyrmion (antiskyrmion) corresponding to the minimum position of the density distribution. The topological charge of the above spin structures also shows interesting dynamical properties. We find that the quantized topological charge appears with the emergence of the supersolid dynamically.
In this work, we study the non-equilibrium quench dynamics from the superfluid stripe phase to the supersolid phase of a two dimensional spin-orbital coupled interacting Bose-Einstein condensate in the presence of a one dimensional optical lattice. The quench protocol here is constructed through varying the lattice depth linearly with the evolution time. By using the time-dependent Gutzwiller method, various physical quantities, such as the vortex number and the overlap of wave-function, have been investigated with respect to the quench time. Through analyzing the dynamical behavior of the above physical quantities, we find out the transition time of the quench procedure, which captures the freeze out time indicating the moment that the system catches the quench speed beginning to evolve quickly. Before the transition time, the dynamics is frozen and the state of the system cannot follow the changes in the Hamiltonian. While passing the transition time, we find that there are significant alterations to both the vortex number and the wave-function. At the transition time, on one hand the vortex number abruptly increases from zero; on the other hand the overlap of wave-function departures from 1 shortly. These signatures indicate that the system evolves rapidly when passing the transition time. Furthermore, we also find that due to the presence of spin-orbital coupling, the spin texture represents a periodic magnetic structure accompanying with the emergence of the supersolid dynamically. It is shown that during the quench procedure, the density distribution of the system are always accompanied with the spatial structure of spin texture, i.e., the central position of topological spin skyrmion (antiskyrmion) corresponding to the minimum position of the density distribution. The topological charge of the above spin structures also shows interesting dynamical properties. We find that the quantized topological charge appears with the emergence of the supersolid dynamically.
2023, 72(10): 100501.
doi: 10.7498/aps.72.20222416
Abstract:
In this paper, we deeply investigate the phase evolution and the underlying topological vector potential in the nonlinear interference of solitons. Based on the double-soliton solution of 1D nonlinear Schrödinger equation, we find that the density zeros of wave function generally exist in the extended complex space, each density zero corresponds to the vector potential produced by Dirac magnetic monopole. The vector potential field is composed of periodically distributed Dirac magnetic monopole pairs with opposite magnetic charges. By observing the motion of magnetic monopoles, we can conveniently understand the phase evolution characteristics during the interference process. In particular, we find that the collision of a pair of magnetic monopoles with opposite charge on the real axis corresponds exactly to the\begin{document}$ \pm\pi $\end{document} ![]()
![]()
jump of the wave function phase at nodes. For comparison, we also discuss Dirac magnetic monopoles and vector potential field in linear wave packet interference case. The results show that the Dirac magnetic monopole potential widely exists in the interference phenomena of wave fields, and the distribution of magnetic monopoles in the extended complex space can be used to distinguish the topological properties behind the linear and nonlinear interference process.
In this paper, we deeply investigate the phase evolution and the underlying topological vector potential in the nonlinear interference of solitons. Based on the double-soliton solution of 1D nonlinear Schrödinger equation, we find that the density zeros of wave function generally exist in the extended complex space, each density zero corresponds to the vector potential produced by Dirac magnetic monopole. The vector potential field is composed of periodically distributed Dirac magnetic monopole pairs with opposite magnetic charges. By observing the motion of magnetic monopoles, we can conveniently understand the phase evolution characteristics during the interference process. In particular, we find that the collision of a pair of magnetic monopoles with opposite charge on the real axis corresponds exactly to the
2023, 72(10): 100502.
doi: 10.7498/aps.72.20222284
Abstract:
We construct the coupled self-defocusing saturated nonlinear Schrödinger equation and obtain the dipole-dipole, tripole-dipole and dipole-tripole vector soliton solutions by changing the potential function parameters and using the square operator method of power conservation. With the increase of soliton power, the dipole-dipole, tripole-dipole and dipole-tripole vector solitons can all exist. The existence of the three kinds of vector solitons is obviously modulated by the potential function. The existence domain of three kinds of vector solitons, modulated by the potential function, is given in this work. The stability domains of three vector solitons are modulated by the soliton power of each component. The stability regions of three kinds of vector solitons expand with the increase of the power of two-component soliton. With the increase of saturation nonlinear strength, the power values of the tripole-dipole and dipole-tripole vector solitons at the critical points from stable state to unstable state decrease gradually, and yet the power of the soliton at the critical point from the stable state to the unstable state does not change.
We construct the coupled self-defocusing saturated nonlinear Schrödinger equation and obtain the dipole-dipole, tripole-dipole and dipole-tripole vector soliton solutions by changing the potential function parameters and using the square operator method of power conservation. With the increase of soliton power, the dipole-dipole, tripole-dipole and dipole-tripole vector solitons can all exist. The existence of the three kinds of vector solitons is obviously modulated by the potential function. The existence domain of three kinds of vector solitons, modulated by the potential function, is given in this work. The stability domains of three vector solitons are modulated by the soliton power of each component. The stability regions of three kinds of vector solitons expand with the increase of the power of two-component soliton. With the increase of saturation nonlinear strength, the power values of the tripole-dipole and dipole-tripole vector solitons at the critical points from stable state to unstable state decrease gradually, and yet the power of the soliton at the critical point from the stable state to the unstable state does not change.
2023, 72(10): 100503.
doi: 10.7498/aps.72.20230172
Abstract:
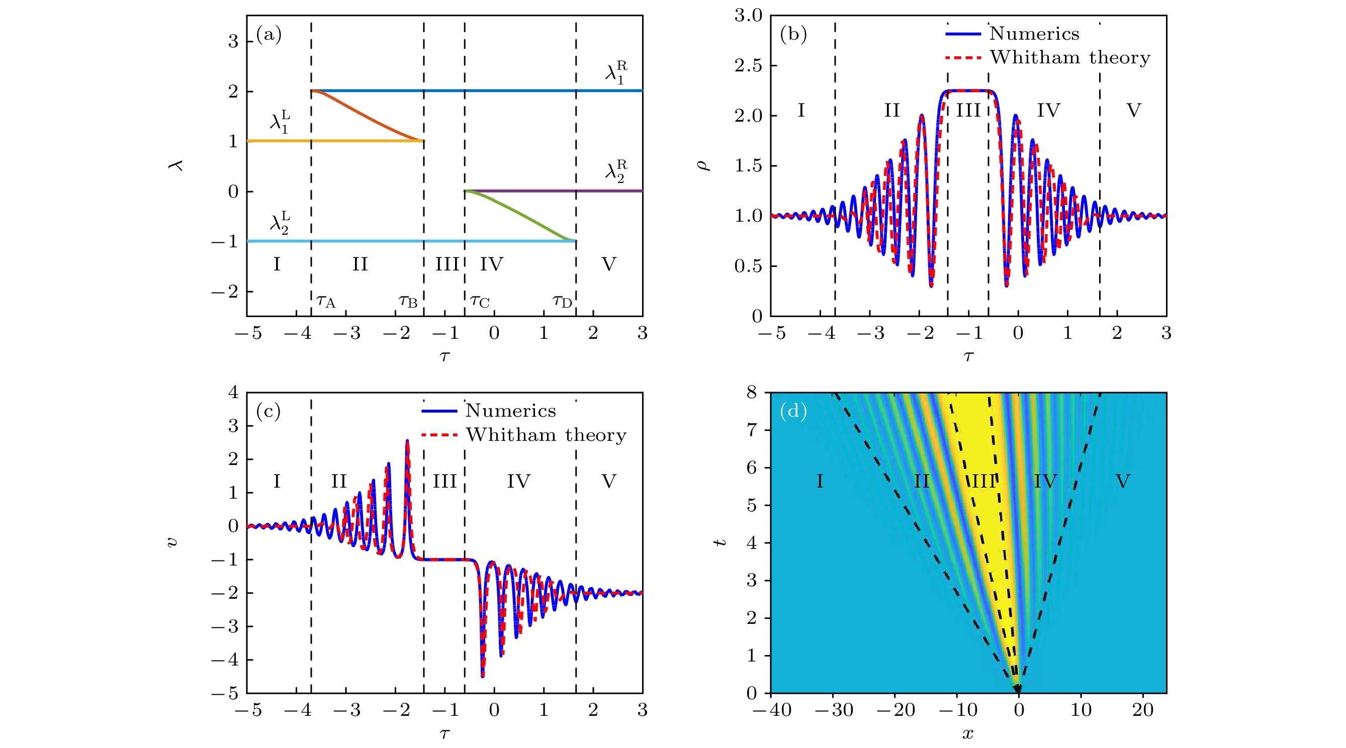
Since the Whitham modulation theory was first proposed in 1965, it has been widely concerned because of its superiority in studying dispersive fluid dynamics and dealing with discontinuous initial value problems. In this paper, the Whitham modulation theory of the defocusing nonlinear Schrödinger equation is developed, and the classification and evolution of the solutions of discontinuous initial value problem are studied. Moreover, the dispersive shock wave region, the rarefaction wave region, the unmodulated wave region and the plateau region are distinguished. Particularly, the correctness of the results is verified by direct numerical simulation. Specifically, the solutions of 0-phase and 1-phase and their corresponding Whitham equations are derived by the finite gap integration method. Also the Whitham equation of genus N corresponding to the N-phase periodic wave solution is derived. The basic structures of rarefaction wave and dispersive shock wave are given, in which the boundaries of the regions are calculated in detail. The Riemann invariants and density distributions of dispersive fluids in each case are discussed. When the initial value is fixed as a special one, the vacuum point is considered and analyzed in detail. In addition, the oscillating front and the soliton front in the dispersive shock wave are considered. In fact, the Whitham modulation theory has many wonderful applications in real physics and engineering. The dam problem is investigated as a special Riemann problem, the piston problem of dispersive fluid is analyzed, and the novel undular bores are found.
Since the Whitham modulation theory was first proposed in 1965, it has been widely concerned because of its superiority in studying dispersive fluid dynamics and dealing with discontinuous initial value problems. In this paper, the Whitham modulation theory of the defocusing nonlinear Schrödinger equation is developed, and the classification and evolution of the solutions of discontinuous initial value problem are studied. Moreover, the dispersive shock wave region, the rarefaction wave region, the unmodulated wave region and the plateau region are distinguished. Particularly, the correctness of the results is verified by direct numerical simulation. Specifically, the solutions of 0-phase and 1-phase and their corresponding Whitham equations are derived by the finite gap integration method. Also the Whitham equation of genus N corresponding to the N-phase periodic wave solution is derived. The basic structures of rarefaction wave and dispersive shock wave are given, in which the boundaries of the regions are calculated in detail. The Riemann invariants and density distributions of dispersive fluids in each case are discussed. When the initial value is fixed as a special one, the vacuum point is considered and analyzed in detail. In addition, the oscillating front and the soliton front in the dispersive shock wave are considered. In fact, the Whitham modulation theory has many wonderful applications in real physics and engineering. The dam problem is investigated as a special Riemann problem, the piston problem of dispersive fluid is analyzed, and the novel undular bores are found.
2023, 72(10): 100504.
doi: 10.7498/aps.72.20222430
Abstract:
In the study of telecommunication system, the variable coefficient (3+1)-dimensional cubic-quintic complex Ginzburg-Landau equation is used as the optical solitons transmission model, which not only explains the physical meaning of the existing model with quintic terms, but also has more nonlinear dynamics characteristics of the higher dimensional system than the lower dimensional system. In this paper, the analytical soliton solutions of the (3+1)-dimensional cubic-quintic CGL equations with variable coefficients are obtained by using the modified Hirota method. By selecting certain parameters of the nonlinear coefficients and spectral filtering terms, a special kind of mixed soliton solution is obtained, which has the characteristics of bright soliton, dark soliton and kinked soliton at the same time. Subsequently, the influence of changing the nonlinear, spectral filtering, linear loss parameters and other parameters on the transmission characteristics of solitons is discussed respectively, so as to realize the control of optical solitons, which can not only control the propagation of optical solitons in different forms, but also can realize the adjustment of the amplitude and pulse width of the pulse and control the propagation direction and energy of the pulse for the mixed solitons of a particular form. The research results of high dimensional CGL system in this paper can be applied to nonlinear optical system, ultra-fast optical digital logic system and other different experiments and application fields.
In the study of telecommunication system, the variable coefficient (3+1)-dimensional cubic-quintic complex Ginzburg-Landau equation is used as the optical solitons transmission model, which not only explains the physical meaning of the existing model with quintic terms, but also has more nonlinear dynamics characteristics of the higher dimensional system than the lower dimensional system. In this paper, the analytical soliton solutions of the (3+1)-dimensional cubic-quintic CGL equations with variable coefficients are obtained by using the modified Hirota method. By selecting certain parameters of the nonlinear coefficients and spectral filtering terms, a special kind of mixed soliton solution is obtained, which has the characteristics of bright soliton, dark soliton and kinked soliton at the same time. Subsequently, the influence of changing the nonlinear, spectral filtering, linear loss parameters and other parameters on the transmission characteristics of solitons is discussed respectively, so as to realize the control of optical solitons, which can not only control the propagation of optical solitons in different forms, but also can realize the adjustment of the amplitude and pulse width of the pulse and control the propagation direction and energy of the pulse for the mixed solitons of a particular form. The research results of high dimensional CGL system in this paper can be applied to nonlinear optical system, ultra-fast optical digital logic system and other different experiments and application fields.
2023, 72(10): 100505.
doi: 10.7498/aps.72.20230425
Abstract:
In non-conservative nonlinear systems, the basic physical mechanics of soliton generation is that the kinetic energy and nonlinear terms of the system, as well as the gain and dissipation terms reach a double dynamic balance. How to generate stable free high-dimensional solitons in such a system is currently a challenging topic in soliton theory. In this article, we propose a theoretical scheme for realizing two-dimensional free bright solitons in exciton-polariton Bose-Einstein condensates, which proposes a physical mechanism for generating stable two-dimensional free space bright solitons through time periodic modulation interactions and a dual balance between gain and dissipation. In this end, firstly, we obtain the dynamic equations of two-dimensional bright soliton parameters through the Lagrange variational method, and obtain its dynamically stable parameter space. Secondly, the evolution of the generalized dissipative Gross-Pitaveskii equation is numerically simulated to verify the stability of two-dimensional bright solitons. Finally, we add Gaussian noise to simulate a real experimental environment and find that two-dimensional bright solitons are also stable within the observable time range of the experiment. Our experimental scheme opens the door to the study of bright solitons in high-dimensional free space in non-conservative systems.
In non-conservative nonlinear systems, the basic physical mechanics of soliton generation is that the kinetic energy and nonlinear terms of the system, as well as the gain and dissipation terms reach a double dynamic balance. How to generate stable free high-dimensional solitons in such a system is currently a challenging topic in soliton theory. In this article, we propose a theoretical scheme for realizing two-dimensional free bright solitons in exciton-polariton Bose-Einstein condensates, which proposes a physical mechanism for generating stable two-dimensional free space bright solitons through time periodic modulation interactions and a dual balance between gain and dissipation. In this end, firstly, we obtain the dynamic equations of two-dimensional bright soliton parameters through the Lagrange variational method, and obtain its dynamically stable parameter space. Secondly, the evolution of the generalized dissipative Gross-Pitaveskii equation is numerically simulated to verify the stability of two-dimensional bright solitons. Finally, we add Gaussian noise to simulate a real experimental environment and find that two-dimensional bright solitons are also stable within the observable time range of the experiment. Our experimental scheme opens the door to the study of bright solitons in high-dimensional free space in non-conservative systems.
2023, 72(10): 104202.
doi: 10.7498/aps.72.20230096
Abstract:
Realizing stable high-dimensional light solitons is a long-standing goal in the study of nonlinear optical physics. However, in high-dimensional space, the light field will inevitably be distorted due to diffraction. In order to solve the diffraction effect in nonlinear Kerr media and achieve the spatial localization of light fields, we propose a scheme to generate stable two-dimensional (2D) solitons in a cold Rydberg atomic system with a Bessel optical lattice, where a three-level atomic structure, a weak probe laser field, and a strong control field constitute the Rydberg-dressed atomic system. When the local nonlinearity, Bessel potential, and nonlocal nonlinearity which is caused by the long-range Rydberg-Rydberg interaction (RRI) between Rydberg atoms are balanced, the probe field can be localized. Under the approximation of electric dipole and rotating wave, the stable solution of probe field is obtained by solving Maxwell-Bloch equations numerically. A cluster of 2D spatial solitons, including fundamental, two-pole, quadrupole and vortex solitons, is found in this system. Among them, the fundamental, dipole and quadrupole have, one, two, and four intensity centers, respectively. Vortex solitons, on the other hand, exhibit vertical characters in profiles and phase structures. The formation and transmission of these solitons can be controlled by system parameters, such as the propagation coefficient, the degree of nonlocal nonlinearity, and Bessel lattice strength. The stable regions of these solitons are determined by anti Vakhitov Kolokolov (anti-VK) criterion and linear stability analysis method. It is found that four kinds of solitons can be generated and stably propagate in space with proper parameters. Owing to the different structures of the poles, the fundamental state and vortex state remain stable, while the quadrupole ones are unstable. In the modulation of solitons, there is a cutoff value of propagation constant\begin{document}${b_{{\text{co}}}}$\end{document} ![]()
![]()
, only below which value, the solitons can propagate stably. The light intensity of soliton shows a periodic behavior by tuning Bessel lattice strength. The period of the intensity decreases with the order of the solitons as a result of the interaction between the poles. It is also found that the solitons are more stable with weak nonlocal nonlinearity coefficient. This study provides a new idea for the generation and regulation of optical solitons in high dimensional space.
Realizing stable high-dimensional light solitons is a long-standing goal in the study of nonlinear optical physics. However, in high-dimensional space, the light field will inevitably be distorted due to diffraction. In order to solve the diffraction effect in nonlinear Kerr media and achieve the spatial localization of light fields, we propose a scheme to generate stable two-dimensional (2D) solitons in a cold Rydberg atomic system with a Bessel optical lattice, where a three-level atomic structure, a weak probe laser field, and a strong control field constitute the Rydberg-dressed atomic system. When the local nonlinearity, Bessel potential, and nonlocal nonlinearity which is caused by the long-range Rydberg-Rydberg interaction (RRI) between Rydberg atoms are balanced, the probe field can be localized. Under the approximation of electric dipole and rotating wave, the stable solution of probe field is obtained by solving Maxwell-Bloch equations numerically. A cluster of 2D spatial solitons, including fundamental, two-pole, quadrupole and vortex solitons, is found in this system. Among them, the fundamental, dipole and quadrupole have, one, two, and four intensity centers, respectively. Vortex solitons, on the other hand, exhibit vertical characters in profiles and phase structures. The formation and transmission of these solitons can be controlled by system parameters, such as the propagation coefficient, the degree of nonlocal nonlinearity, and Bessel lattice strength. The stable regions of these solitons are determined by anti Vakhitov Kolokolov (anti-VK) criterion and linear stability analysis method. It is found that four kinds of solitons can be generated and stably propagate in space with proper parameters. Owing to the different structures of the poles, the fundamental state and vortex state remain stable, while the quadrupole ones are unstable. In the modulation of solitons, there is a cutoff value of propagation constant
2023, 72(10): 104204.
doi: 10.7498/aps.72.20222298
Abstract:
General higher-order rogue wave solutions to the space-shifted\begin{document}$\mathcal{PT}$\end{document} ![]()
![]()
-symmetric nonlocal nonlinear Schrödinger equation are constructed by employing the Kadomtsev-Petviashvili hierarchy reduction method. The analytical expressions for rogue wave solutions of any Nth-order are given through Schur polynomials. We first analyze the dynamics of the first-order rogue waves, and find that the maximum amplitude of the rogue waves can reach any height larger than three times of the constant background amplitude. The effects of the space-shifted factor \begin{document}$x_0$\end{document} ![]()
![]()
of the \begin{document}$\mathcal{PT}$\end{document} ![]()
![]()
-symmetric nonlocal nonlinear Schrödinger equation in the first-order rogue wave solutions are studied, which only changes the center positions of the rogue waves. The dynamical behaviours and patterns of the second-order rogue waves are also analytically investigated. Then the relationships between Nth-order rogue wave patterns and the parameters in the analytical expressions of the rogue wave solutions are given, and the several different patterns of the higher-order rogue waves are further shown.
General higher-order rogue wave solutions to the space-shifted
2023, 72(10): 104205.
doi: 10.7498/aps.72.20230082
Abstract:
Parity-time (PT) symmetric is not a necessary condition for achieving a real spectrum and some studies about realizing real spectra in non-PT-symmetric systems with arbitrary gain–loss profiles have been presented recently. By tuning the free parameters in non-PT-symmetric potentials, phase transition could also be induced. Above phase transition point, discrete complex eigenvalues bifurcate out from continuous real eigenvalues in the interior of the continuous spectrum. In this work, we investgate the existence and stability of solitons in nonlocal nonlinear couplers with non-PT-symmetric complex potentials both below and above phase transition. There are several discrete eigenvalues in the linear spectra of the non-PT-symmetric system used here. With the square-operator iteration method, we find that different continuous families of solitions can bifurcate from different discrete linear eigenvalues. Moreover, linear-stability analysis collaborated with direct numerical propagation simulations demonstrates that the nonlocal solitions can be stable in a range of parameter values. we first address the cases below the phase transition. To be specific, when we fix the coupling coefficient and vary the degree of nonlocality, it’s found that fundamental solitons, dipole solitons, tripolar solitons, quadrupole solitons bifurcate from the largest,the second-largest, the third-largest and the fifth-largest discrete eigenvalue, respectively. These nonlocal solitons are all stable in the low power region. With an increase of the degree of nonlocality, the stability region shrinks for the fundamental solitons while it widens for the dipole and multiplole solitons. At the same time, the power of all the stable solitons increases with the increase of the degree of nonlocality. By varying the coupling coefficient, the arrangement of soliton families emerging in the discrete interval of the linear spectrum can be changed. For example, the dipole solitons bifurcate from the third-or fourth-largest discrete eigenvalue while the tripolar solitons bifurcate from the fifth largest discrete eigenvalue. Above phase transition,the fundamental solitons are unstable in the low and high power region but are stable in the moderate power region. The stability region shrinks with the increasing degree of nonlocality. We also find the family of dipole solitons bifurcates from the second-largest discrete eigenvalue, but all the dipole solitons are unstable. In addition, we find that the eigenvalues in linear-stability spectra of solitons emerge as conjugation pairs.
Parity-time (PT) symmetric is not a necessary condition for achieving a real spectrum and some studies about realizing real spectra in non-PT-symmetric systems with arbitrary gain–loss profiles have been presented recently. By tuning the free parameters in non-PT-symmetric potentials, phase transition could also be induced. Above phase transition point, discrete complex eigenvalues bifurcate out from continuous real eigenvalues in the interior of the continuous spectrum. In this work, we investgate the existence and stability of solitons in nonlocal nonlinear couplers with non-PT-symmetric complex potentials both below and above phase transition. There are several discrete eigenvalues in the linear spectra of the non-PT-symmetric system used here. With the square-operator iteration method, we find that different continuous families of solitions can bifurcate from different discrete linear eigenvalues. Moreover, linear-stability analysis collaborated with direct numerical propagation simulations demonstrates that the nonlocal solitions can be stable in a range of parameter values. we first address the cases below the phase transition. To be specific, when we fix the coupling coefficient and vary the degree of nonlocality, it’s found that fundamental solitons, dipole solitons, tripolar solitons, quadrupole solitons bifurcate from the largest,the second-largest, the third-largest and the fifth-largest discrete eigenvalue, respectively. These nonlocal solitons are all stable in the low power region. With an increase of the degree of nonlocality, the stability region shrinks for the fundamental solitons while it widens for the dipole and multiplole solitons. At the same time, the power of all the stable solitons increases with the increase of the degree of nonlocality. By varying the coupling coefficient, the arrangement of soliton families emerging in the discrete interval of the linear spectrum can be changed. For example, the dipole solitons bifurcate from the third-or fourth-largest discrete eigenvalue while the tripolar solitons bifurcate from the fifth largest discrete eigenvalue. Above phase transition,the fundamental solitons are unstable in the low and high power region but are stable in the moderate power region. The stability region shrinks with the increasing degree of nonlocality. We also find the family of dipole solitons bifurcates from the second-largest discrete eigenvalue, but all the dipole solitons are unstable. In addition, we find that the eigenvalues in linear-stability spectra of solitons emerge as conjugation pairs.
2023, 72(10): 106701.
doi: 10.7498/aps.72.20222319
Abstract:
In a quantum system with spin, spin-orbit coupling is manifested by linking the spin angular momentum of a particle with its orbital angular momentum, which leads to many exotic phenomena. The experimental realization of synthetic spin-orbit coupling effects in ultra-cold atomic systems provides an entirely new platform for exploring quantum simulations. In a spinor Bose-Einstein condensate, the spin-orbit coupling can change the properties of the system significantly, which offers an excellent opportunity to investigate the influence of spin-orbit coupling on the quantum state at the macroscopic level. As typical states of macroscopic quantum effects, solitons in spin-orbit coupled Bose-Einstein condensates can be manipulated by spin-orbit coupling directly, which makes the study on spin-orbit coupled Bose-Einstein condensates become one of the hottest topics in the research of ultracold atomic physics in recent years. This paper investigates exact vector soliton solutions of the Gross-Pitaevskii equation for the one-dimensional spin-orbit coupled binary Bose-Einstein condensates, which has four parameters\begin{document}$\mu$\end{document} ![]()
![]()
, \begin{document}$\delta$\end{document} ![]()
![]()
, \begin{document}$\alpha$\end{document} ![]()
![]()
and \begin{document}$\beta$\end{document} ![]()
![]()
, where \begin{document}$\mu$\end{document} ![]()
![]()
denotes the strength of the spin-orbit coupling, \begin{document}$\delta$\end{document} ![]()
![]()
is the detuning parameter, \begin{document}$\alpha$\end{document} ![]()
![]()
and \begin{document}$\beta$\end{document} ![]()
![]()
are the parameters of the self- and cross-interaction, respectively. For the case \begin{document}$\beta=\alpha$\end{document} ![]()
![]()
, by a direct ansatz, two kinds of stripe solitons, namely, the oscillating dark-dark solitons are obtained; meanwhile, a transformation is presented such that from the solutions of the integrable Manakov system, one can get soliton solutions for the spin-orbit coupled Gross-Pitaevskii equation. For the case \begin{document}$\beta=3\alpha$\end{document} ![]()
![]()
, a bright-W type soliton for \begin{document}$\alpha>0$\end{document} ![]()
![]()
and a kink-antikink type soliton for \begin{document}$\alpha<0$\end{document} ![]()
![]()
are presented. It is found that the relation between \begin{document}$\mu$\end{document} ![]()
![]()
and \begin{document}$\delta$\end{document} ![]()
![]()
can affect the states of the solitons. Based on these solutions, the corresponding dynamics and the impact of the spin-orbit coupling effects on the quantum magnetization and spin-polarized domains are discussed. Our results show that spin-orbit coupling can result in rich kinds of soliton states in the two-component Bose gases, including the stripe solitons as well as the classical non-stripe solitons, and various kinds of multi-solitons. Furthermore, spin-orbit coupling has a remarkable influence on the behaviors of quantum magnetization. In the experiments of Bose-Einstein condensates, there have been many different methods to observe the soliton states of the population distribution, the magnetic solitons, and the spin domains, so our results provide some possible options for the related experiments.
In a quantum system with spin, spin-orbit coupling is manifested by linking the spin angular momentum of a particle with its orbital angular momentum, which leads to many exotic phenomena. The experimental realization of synthetic spin-orbit coupling effects in ultra-cold atomic systems provides an entirely new platform for exploring quantum simulations. In a spinor Bose-Einstein condensate, the spin-orbit coupling can change the properties of the system significantly, which offers an excellent opportunity to investigate the influence of spin-orbit coupling on the quantum state at the macroscopic level. As typical states of macroscopic quantum effects, solitons in spin-orbit coupled Bose-Einstein condensates can be manipulated by spin-orbit coupling directly, which makes the study on spin-orbit coupled Bose-Einstein condensates become one of the hottest topics in the research of ultracold atomic physics in recent years. This paper investigates exact vector soliton solutions of the Gross-Pitaevskii equation for the one-dimensional spin-orbit coupled binary Bose-Einstein condensates, which has four parameters
2023, 72(10): 100304.
doi: 10.7498/aps.72.20222349
Abstract:
In this paper, we study the transport properties of quantum states in the square-lattice quantum bit model by using inductive couplers to generate the artificial gauge potential (effective magnetic flux). It is found by theoretical calculation that the eigenstates of single particle and single hole have the same eigen energy spectrum, and the average particle and hole currents, sinusoidally modulated by the effective magnetic flux, are opposite to each other with respect to the same eigen energy. For an initial single-particle or single-hole state where only one lattice site is occuplied, if the time-inversion symmetry is preserved (the effective magnetic flux is an integral multiple of 4π), the components of the time-dependent wave functions of the single particle and the single hole are equal, otherwise they are not equal. The analysis demonstrates that the above calculation results are due to the fact that the particle-hole operation for the system Hamiltonian is equivalent to the time inversion. In addition, it is found that when the effective magnetic flux is π, a single particle or a single hole is only transported between the initial bit and two adjacent bits, and when the effective magnetic flux is 0, a single particle or a single hole is transported to the diagonal bit through two adjacent bits, and then transported in reverse. Regardless of the value of effective magnetic flux, both the single-particle and single-hole states share the same average (particle or hole) current and lattice site occupation probability.
In this paper, we study the transport properties of quantum states in the square-lattice quantum bit model by using inductive couplers to generate the artificial gauge potential (effective magnetic flux). It is found by theoretical calculation that the eigenstates of single particle and single hole have the same eigen energy spectrum, and the average particle and hole currents, sinusoidally modulated by the effective magnetic flux, are opposite to each other with respect to the same eigen energy. For an initial single-particle or single-hole state where only one lattice site is occuplied, if the time-inversion symmetry is preserved (the effective magnetic flux is an integral multiple of 4π), the components of the time-dependent wave functions of the single particle and the single hole are equal, otherwise they are not equal. The analysis demonstrates that the above calculation results are due to the fact that the particle-hole operation for the system Hamiltonian is equivalent to the time inversion. In addition, it is found that when the effective magnetic flux is π, a single particle or a single hole is only transported between the initial bit and two adjacent bits, and when the effective magnetic flux is 0, a single particle or a single hole is transported to the diagonal bit through two adjacent bits, and then transported in reverse. Regardless of the value of effective magnetic flux, both the single-particle and single-hole states share the same average (particle or hole) current and lattice site occupation probability.
2023, 72(10): 100305.
doi: 10.7498/aps.72.20222398
Abstract:
Dynamical decoupling refers to a family of techniques that are widely used to suppress decoherence in various quantum systems, caused by quasi-static environmental noise. They have broad applications in the field of quantum information processing. Conventional dynamical decoupling targets at noise in two-level system such as qubits and often consists of specifically engineered sequences of \begin{document}$ \pi $\end{document} ![]()
![]()
pulses that swap between two different states. On the other hand, researchers do not limit their study within simple two-levels systems any more, but go and seek for even more efficient quantum hardware. A variety of quantum algorithms and schemes of quantum control using multi-level systems, such as qutrits and qudits, for quantum information processing have been proposed and implemented successfully. However, decoherence in such a multi-level system is inherently more sophisticated than that in two-level systems. So far there has been little systematic research on how to tackle decoherence problems in such systems. In this work, we propose several sequences of dynamical decoupling for multi-level systems that only rely on \begin{document}$ \pi $\end{document} ![]()
![]()
pulses linking neighboring levels, which is easy to implement experimentally. Our results show that these sequences can efficiently suppress quasi-static noise presented in multi-level systems. In addition, by calculating the corresponding filter functions of these sequences, we are able to further analyze their effect on generic Gaussian noise that may not be quasi-static. We also give a physical explanation of the noise filtering mechanism of these sequences by considering their control functions. Other topics discussed in our work include power spectral density and correlation of noise in multi-level systems. Our work may be regarded as a first step towards a more systematic investigation of dynamical decoupling techniques applicable to multi-level systems.
2023, 72(10): 100301.
doi: 10.7498/aps.72.20222413
Abstract:
The research on the disorder of quantum system plays a very important role in the field of quantum information, and has received much attention from theoretical and experimental researchers. However, it is very difficult to study the disorder of atoms trapped in microcavity due to their complex nonlocal space-time evolution characteristics. To solve this problem, we present a method to study the internal disorder of hydrogenic atoms trapped in microcavity, that is, to characterize and investigate the disorder of the confined system by using the quantum information entropy and shape complexity of the system. The Shannon information entropy and shape complexity in position space and momentum space (Sr, Sp, C[r], C[p]) are calculated and analyzed for different quantum states of hydrogenic atom in InN dielectric spherical microcavity, and pay special attention to the exploration of the influence of quantum confinement effect on the disorder of the system. The results show that when the radius of the spherical microcavity is very small, the quantum confinement effect is more significant, and a series of extreme points appears in the shape complexity curve of the system, which is caused by the joint interaction of information entropy and spatial inhomogeneity. With the increase of the radius of the spherical cavity, the effect of quantum confinement is weakened, and the Shannon information entropy and shape complexity of the confined hydrogenic atom are similar to the counterparts of the hydrogenic atom in free space. Our work provides an effective method to study the internal disorder of a confined quantum. This work provides an effective method for studying the internal disorder of confined quantum systems and presents some references for the information measurement of confined quantum systems.
The research on the disorder of quantum system plays a very important role in the field of quantum information, and has received much attention from theoretical and experimental researchers. However, it is very difficult to study the disorder of atoms trapped in microcavity due to their complex nonlocal space-time evolution characteristics. To solve this problem, we present a method to study the internal disorder of hydrogenic atoms trapped in microcavity, that is, to characterize and investigate the disorder of the confined system by using the quantum information entropy and shape complexity of the system. The Shannon information entropy and shape complexity in position space and momentum space (Sr, Sp, C[r], C[p]) are calculated and analyzed for different quantum states of hydrogenic atom in InN dielectric spherical microcavity, and pay special attention to the exploration of the influence of quantum confinement effect on the disorder of the system. The results show that when the radius of the spherical microcavity is very small, the quantum confinement effect is more significant, and a series of extreme points appears in the shape complexity curve of the system, which is caused by the joint interaction of information entropy and spatial inhomogeneity. With the increase of the radius of the spherical cavity, the effect of quantum confinement is weakened, and the Shannon information entropy and shape complexity of the confined hydrogenic atom are similar to the counterparts of the hydrogenic atom in free space. Our work provides an effective method to study the internal disorder of a confined quantum. This work provides an effective method for studying the internal disorder of confined quantum systems and presents some references for the information measurement of confined quantum systems.
2023, 72(10): 100302.
doi: 10.7498/aps.72.20222192
Abstract:
Bessel vortex beam, as a typical vortex beam, has the characteristics of carrying orbital angular momentum (OAM), no diffraction, and self-reconstruction, which makes it more competitive than plane wave in the field of future vortex beam target detection and imaging. In order to study the near-field electromagnetic scattering of a vortex beam by a metal target, the expression of the near-scattering field of Bessel vortex beam incident on any metal target is obtained by using the physical optics method, triangular surface element modeling, and the plane wave angular spectrum expansion method of vector Bessel vortex beam. The correctness of the proposed method is verified by comparing with the simulation results of FEKO software. The amplitude distribution and phase distribution of electric field, the OAM spectrum distribution and radar cross section (RCS) of the near-scattering field of the Bessel vortex beam incident on the simple target and the combined target are calculated. The effects of beam parameters, receiving distance, target shape and the positions of beam transmitting and receiving surfaces on near-field scattering results are numerically calculated. In addition, the distributions of near-field OAM spectra under different conditions and the near-field RCS distributions of different targets are given. The numerical results show that the near-field results of Bessel vortex beam incident on metal targets are related to the beam parameters, and conform to the law of Bessel beam changing with parameters. The near-field electric amplitude distribution is affected by the distance between the receiving surface and the target, but the phase distribution is hardly affected. The near-field scattering results reflect the changes of target shape. Under normal incidence, when the target is regular and symmetrical, the amplitude distribution and phase distribution are relatively regular, and the main mode is dominant. When the beam is obliquely incident on or does not fully illuminate the target, the amplitude distribution and phase distribution change, which will lead the derived mode to increase. In particular, when the target and the receiving surface both deviate from the incident beam, the OAM disturbance is the most severe. In the near-field RCS distribution, the RCS distributions of different targets are obviously different, and the results of E plane and H plane are also different. It can be seen from the numerical calculation results that the near-field scattering of Bessel vortex beam by a metal target contains a variety of information. The application of vortex electromagnetic wave will help improve the information acquisition of electromagnetic wave and target detection capability. The results in this work can provide a reference for target imaging and vortex radar detection.
Bessel vortex beam, as a typical vortex beam, has the characteristics of carrying orbital angular momentum (OAM), no diffraction, and self-reconstruction, which makes it more competitive than plane wave in the field of future vortex beam target detection and imaging. In order to study the near-field electromagnetic scattering of a vortex beam by a metal target, the expression of the near-scattering field of Bessel vortex beam incident on any metal target is obtained by using the physical optics method, triangular surface element modeling, and the plane wave angular spectrum expansion method of vector Bessel vortex beam. The correctness of the proposed method is verified by comparing with the simulation results of FEKO software. The amplitude distribution and phase distribution of electric field, the OAM spectrum distribution and radar cross section (RCS) of the near-scattering field of the Bessel vortex beam incident on the simple target and the combined target are calculated. The effects of beam parameters, receiving distance, target shape and the positions of beam transmitting and receiving surfaces on near-field scattering results are numerically calculated. In addition, the distributions of near-field OAM spectra under different conditions and the near-field RCS distributions of different targets are given. The numerical results show that the near-field results of Bessel vortex beam incident on metal targets are related to the beam parameters, and conform to the law of Bessel beam changing with parameters. The near-field electric amplitude distribution is affected by the distance between the receiving surface and the target, but the phase distribution is hardly affected. The near-field scattering results reflect the changes of target shape. Under normal incidence, when the target is regular and symmetrical, the amplitude distribution and phase distribution are relatively regular, and the main mode is dominant. When the beam is obliquely incident on or does not fully illuminate the target, the amplitude distribution and phase distribution change, which will lead the derived mode to increase. In particular, when the target and the receiving surface both deviate from the incident beam, the OAM disturbance is the most severe. In the near-field RCS distribution, the RCS distributions of different targets are obviously different, and the results of E plane and H plane are also different. It can be seen from the numerical calculation results that the near-field scattering of Bessel vortex beam by a metal target contains a variety of information. The application of vortex electromagnetic wave will help improve the information acquisition of electromagnetic wave and target detection capability. The results in this work can provide a reference for target imaging and vortex radar detection.
2023, 72(10): 100303.
doi: 10.7498/aps.72.20222431
Abstract:
Self-testing is the high-level security verification of a claimed quantum device, confirming the quantum states prepared in the device and the measurements performed based solely on the observed statistics. The statistical correlations can realize the self-testing of the quantum system in the preparing-and-measuring scenario. However, most of previous studies focused on the self-testing of shared entangled states between devices, at present only a few researches are presented and the existing work can only simultaneously self-test the states and measurements when some witness inequalities reach a maximum violation. We focus on four-state preparation and the selected scenarios of two measurements. In this scenario, Armin Tavakoli et al. [Tavakoli A, Kaniewski J, Vértesi T, Rosset D, Brunner N 2018 Phys. Rev. A 98 062307] have put forward a criterion based on the dimensional witness violation inequality which can achieve BB84 particles and corresponding Pauli measurements. However, in addition to the maximum violation of the inequality, any statistics with deviation from the maximum deviation cannot be self-tested. Besides, only the BB84 particle preparation and measurements system can be self-tested with that criterion, resulting in a large number of four-state preparation and two measurement systems that cannot be self-tested. Therefore, in this work, in addition to the maximum violation of that dimension inequality, we directly focus on the full observed statistics and further propose some new criteria for self-testing qubit quantum systems in the preparing-and-measiuring scenarios. And the self-testing criteria are proven in an ideal case. We construct a local isometry by using the constructions commonly used in device-independent cases, exchange the target system with the additional system, and realize the self-testing of more qubit state sets and measurement sets than BB84 particles. This meets the requirements for practical experiments to realize various tasks by different quantum state sets. In addition, we perform a robust analysis of the proposed criteria and use fidelity to describe the closeness of the state to the ideal state of the auxiliary system. Finally, an improved dimensional-dependent NPA method is used to optimize the lower bound of the robustness, making the new criteria practical under experimental noise. We use the YALIMP software package in MATLAB and the solver SEDUMI to solve this optimization problem. The present research increases the diversity of qubit state preparations and self-testing of measurement system, which is beneficial to the actual self-testing of different non-entangled single quantum systems.
Self-testing is the high-level security verification of a claimed quantum device, confirming the quantum states prepared in the device and the measurements performed based solely on the observed statistics. The statistical correlations can realize the self-testing of the quantum system in the preparing-and-measuring scenario. However, most of previous studies focused on the self-testing of shared entangled states between devices, at present only a few researches are presented and the existing work can only simultaneously self-test the states and measurements when some witness inequalities reach a maximum violation. We focus on four-state preparation and the selected scenarios of two measurements. In this scenario, Armin Tavakoli et al. [Tavakoli A, Kaniewski J, Vértesi T, Rosset D, Brunner N 2018 Phys. Rev. A 98 062307] have put forward a criterion based on the dimensional witness violation inequality which can achieve BB84 particles and corresponding Pauli measurements. However, in addition to the maximum violation of the inequality, any statistics with deviation from the maximum deviation cannot be self-tested. Besides, only the BB84 particle preparation and measurements system can be self-tested with that criterion, resulting in a large number of four-state preparation and two measurement systems that cannot be self-tested. Therefore, in this work, in addition to the maximum violation of that dimension inequality, we directly focus on the full observed statistics and further propose some new criteria for self-testing qubit quantum systems in the preparing-and-measiuring scenarios. And the self-testing criteria are proven in an ideal case. We construct a local isometry by using the constructions commonly used in device-independent cases, exchange the target system with the additional system, and realize the self-testing of more qubit state sets and measurement sets than BB84 particles. This meets the requirements for practical experiments to realize various tasks by different quantum state sets. In addition, we perform a robust analysis of the proposed criteria and use fidelity to describe the closeness of the state to the ideal state of the auxiliary system. Finally, an improved dimensional-dependent NPA method is used to optimize the lower bound of the robustness, making the new criteria practical under experimental noise. We use the YALIMP software package in MATLAB and the solver SEDUMI to solve this optimization problem. The present research increases the diversity of qubit state preparations and self-testing of measurement system, which is beneficial to the actual self-testing of different non-entangled single quantum systems.
2023, 72(10): 104201.
doi: 10.7498/aps.72.20230199
Abstract:
Surface lattice resonances due to regular periodic array of metallic nanoparticles can be attributed to the mutual coupling between the localized surface plasmon resonances of different nanoparticles. A comparison of resonant effect between the single particle and the array shows that the resonance line width can be significantly reduced. In this paper, we extend the coupled dipole approximation to solving the electromagnetic characteristics of the particle ring structures with rotational symmetry, and propose an analytical model for the double ring array of metallic nano-particles. Furthermore, we derive the general resonant condition of the double ring array and investigate some concrete cases in detail. It shows that the full resonance of the whole array depends crucially on the structural parameters, whose enhancement factor can be extremely high. But a slight change in the structural parameter willlead the enhancement factor to decrease sharply. We also find that the radiation field of the full resonance effect will be independent of the external field, which provides us a simple approach to producing a localized optical field with complex space distribution. This proposed structure can possess potential applications in various fields such as metasurface, optoelectronics, optical manipulation, communication, and biosensing.
Surface lattice resonances due to regular periodic array of metallic nanoparticles can be attributed to the mutual coupling between the localized surface plasmon resonances of different nanoparticles. A comparison of resonant effect between the single particle and the array shows that the resonance line width can be significantly reduced. In this paper, we extend the coupled dipole approximation to solving the electromagnetic characteristics of the particle ring structures with rotational symmetry, and propose an analytical model for the double ring array of metallic nano-particles. Furthermore, we derive the general resonant condition of the double ring array and investigate some concrete cases in detail. It shows that the full resonance of the whole array depends crucially on the structural parameters, whose enhancement factor can be extremely high. But a slight change in the structural parameter willlead the enhancement factor to decrease sharply. We also find that the radiation field of the full resonance effect will be independent of the external field, which provides us a simple approach to producing a localized optical field with complex space distribution. This proposed structure can possess potential applications in various fields such as metasurface, optoelectronics, optical manipulation, communication, and biosensing.
2023, 72(10): 104203.
doi: 10.7498/aps.72.20222464
Abstract:
In a high-power fiber laser system, the reflected light generated when the laser hits the target may be recoupled to the laser and amplified by the laser, thereby damaging the laser system. This situation is particularly serious for a high-power laser system, such as spectral beam combining a high power fiber laser, which lacks effective light-return protection. In order to solve the above problems, it is necessary to integrate various physical effects in the whole system link, evaluate and analyze the influence of reflected light on the operating state of the system, so as to optimize the optical path layout and system structure in the beginning of the design of fiber laser to avoid unnecessary losses. Based on the atmospheric transmission theory, fiber rate equation and medium heat conduction equation model, the effect of reflected light on high-power fiber laser is analyzed. In this paper is conducted the numerical simulation of coupling efficiency of reflected light of high-power fiber laser. It is found that under certain atmospheric conditions, the reflected power is related to the transmission distance, the offset angle of optical axis, divergence angle, and the offset of center position of the beam, and will affect the output power, beam quality factor, thermal effect and the signal-to-noise ratio of the stimulated Raman scattering spectrum of the fiber laser. The coupling efficiency of reflected light has a maximum value at a certain transmission distance. For example, the reflected light power up to 140 W is obtained when the transmission distance is 1500 m, which will largely affect the laser system. The reflected power is affected by the offset angle of optical axis far less than by the transmission distance when transmission increases from 500 m to 2000 m. For example, a change of less than 0.1 W can be obtained when offset angle increases from 0.11° to 0.44°. It is also shown that as the divergence angle changes from 0 to 15'', the coupling power decays nearly exponentially with the divergence angle. The coupling efficiency is close to 1% near 12'', which is almost negligible. The output beam quality of the laser system is also affected by the beam quality of reflected light. Deterioration of the beam quality of reflected light will lead to the deterioration of the laser output beam quality. As the reflected light power enters the fiber laser system and increases, the forward output power will decrease and the backward signal power will increase, and the Raman power will increase rapidly near the fiber output end. When the reflected light is present, the thermal effects caused by selecting the gain fiber with different pump absorption coefficients are very important. The stimulated Raman scattering (SRS) rejection ratio decreases with the increase of pump absorption coefficient. For example, the SRS rejection ratio decreases by 5 dB when pump absorption coefficient increases from 1.5 dB/m to 4.5 dB/m, resulting in a decrease in the signal-to-noise ratio of the laser, which will reduce the reliability of the fiber laser system. In the design and test of spectral beam combining systems for high-power fiber lasers, the attention should be paid to the reflected light in the entire process, which includes the outer optical path and the internal optical path of the laser. The comprehensive constraints of multiple key indicators are analyzed, and the probability of system damage or reliability degradation due to reflected light is evaluated. The research results of this paper are of certain guiding significance in selecting suitable outer optical path layout and system parameters and also in optimizing the design of high energy fiber laser system.
2023, 72(10): 105201.
doi: 10.7498/aps.72.20222409
Abstract:
Classical discharge theory (Townsend theory and streamer theory) has limitations in explaining nanosecond pulsed gas discharge. In recent years, the research on nanosecond pulsed gas discharge theory based on the high-energy runaway electrons has attracted extensive attention. But so far, there have been few studies of the generation mechanism of runaway electrons in atmospheric-pressure-air nanosecond pulsed plate-to-plate discharge, which seriously hinders the application and development of nanosecond pulse discharge plasma. In this paper, a one-dimensional implicit particle-in-cell/Monte Carlo collision (PIC/MCC) model is developed to investigate the mechanism of runaway electron generation and breakdown in a 1 mm-long atmospheric-pressure-air gap between the plate electrode and plate electrode driven by a negative nanosecond pulse voltage with an amplitude of 20 kV. The results show that under the influence of space charge dynamic behavior, the electric field enhancement region appears between the plate electrode and plate electrode, so that electrons can satisfy the electron runaway criteria and behaves in the runaway mode. In addition, it is also observed that the pre-ionization effect of the runaway electrons in front of the discharge channel can cause the secondary electron avalanches. As the secondary electrons avalanche and the discharge channel continues to converge, the discharge is guided and accelerated, eventually leading to the breakdown of the air gap. This study further reveals the mechanism of nanosecond pulsed plate-plate discharge, expands the basic theory of nanosecond pulsed gas discharge, and opens up new opportunities for the application and development of nanosecond pulsed discharge plasma.
Classical discharge theory (Townsend theory and streamer theory) has limitations in explaining nanosecond pulsed gas discharge. In recent years, the research on nanosecond pulsed gas discharge theory based on the high-energy runaway electrons has attracted extensive attention. But so far, there have been few studies of the generation mechanism of runaway electrons in atmospheric-pressure-air nanosecond pulsed plate-to-plate discharge, which seriously hinders the application and development of nanosecond pulse discharge plasma. In this paper, a one-dimensional implicit particle-in-cell/Monte Carlo collision (PIC/MCC) model is developed to investigate the mechanism of runaway electron generation and breakdown in a 1 mm-long atmospheric-pressure-air gap between the plate electrode and plate electrode driven by a negative nanosecond pulse voltage with an amplitude of 20 kV. The results show that under the influence of space charge dynamic behavior, the electric field enhancement region appears between the plate electrode and plate electrode, so that electrons can satisfy the electron runaway criteria and behaves in the runaway mode. In addition, it is also observed that the pre-ionization effect of the runaway electrons in front of the discharge channel can cause the secondary electron avalanches. As the secondary electrons avalanche and the discharge channel continues to converge, the discharge is guided and accelerated, eventually leading to the breakdown of the air gap. This study further reveals the mechanism of nanosecond pulsed plate-plate discharge, expands the basic theory of nanosecond pulsed gas discharge, and opens up new opportunities for the application and development of nanosecond pulsed discharge plasma.
2023, 72(10): 105202.
doi: 10.7498/aps.72.20222090
Abstract:
In this paper, the Richtmyer-Meshkov instability is studied numerically by using the high-resolution Roe scheme based on the two-dimensional unsteady Euler equation, which is caused by the interaction between shock wave and the helium circular light gas cylinder with different component distributions. The numerical results are used to further discuss the deformation process of the gas cylinder and the wave structure of the flow field, and also to quantitatively analyze the characteristic dimensions (length, height and central axial width) of the gas cylinder, the time-dependent volume compression ratio of the cylinder. In addition, the flow mechanism of shock-driven interface gas mixing is analyzed from multiple perspectives by combining the flow field pressure, velocity, circulation and gas mixing rate. Then the effects of different initial component distribution conditions on interface instability are investigated. The results show that when the diffusion interface transforms into the sharp interface, the reflection coefficient gradually increases on both sides of interface. When the incident shock wave interacts with the cylinder, the transmission of the shock wave will transform from conventional transmission into unconventional transmission. At the same time, the reflected shock wave is gradually strengthened and the transmitted shock wave is gradually weakened, which leads the Richtmyer-Meshkov instability to be strengthened. Moreover, the Atwood numbers on both sides of the interface also increase as the diffusion interface transforms into the sharp interface, which leads the Rayleigh-Taylor instability and the Kelvin-Helmholtz instability to be strengthened. Therefore, the increase of instability will cause the circulation to increase, resulting in the increase of the growth rate of gas mixing rate.
In this paper, the Richtmyer-Meshkov instability is studied numerically by using the high-resolution Roe scheme based on the two-dimensional unsteady Euler equation, which is caused by the interaction between shock wave and the helium circular light gas cylinder with different component distributions. The numerical results are used to further discuss the deformation process of the gas cylinder and the wave structure of the flow field, and also to quantitatively analyze the characteristic dimensions (length, height and central axial width) of the gas cylinder, the time-dependent volume compression ratio of the cylinder. In addition, the flow mechanism of shock-driven interface gas mixing is analyzed from multiple perspectives by combining the flow field pressure, velocity, circulation and gas mixing rate. Then the effects of different initial component distribution conditions on interface instability are investigated. The results show that when the diffusion interface transforms into the sharp interface, the reflection coefficient gradually increases on both sides of interface. When the incident shock wave interacts with the cylinder, the transmission of the shock wave will transform from conventional transmission into unconventional transmission. At the same time, the reflected shock wave is gradually strengthened and the transmitted shock wave is gradually weakened, which leads the Richtmyer-Meshkov instability to be strengthened. Moreover, the Atwood numbers on both sides of the interface also increase as the diffusion interface transforms into the sharp interface, which leads the Rayleigh-Taylor instability and the Kelvin-Helmholtz instability to be strengthened. Therefore, the increase of instability will cause the circulation to increase, resulting in the increase of the growth rate of gas mixing rate.
2023, 72(10): 105203.
doi: 10.7498/aps.72.20222424
Abstract:
X-ray free electron laser (XFEL) pulse time diagnosis technology is often used to detect the relative arrival time of XFEL pulse and auxiliary laser near the experimental station. It is an important auxiliary technology and provides a reference signal for the pump-probe pulse in the XFEL laser pump-probe experiment. With the development of XFEL towards high repetition frequency and short pulse, higher requirements are put forward for diagnostic frequency, pump sample and resolution in time diagnosis. The technology is realized by the pump-probe method and optical cross-correlation method. When the XFEL pulse is incident on the high-bandwidth semiconductor solid target instantaneously, the complex refractive index of the solid target will change, then the arrival time of XFEL will be encoded in the mutation space. In thiswork, we design an XFEL pulse arrival time diagnostic device based on two methods: spatial coding and spectral coding. In this framework, the interaction between X-ray and solid target is explored by Beer's absorption theory and atomic scattering theory. Therefore, the response to X-ray absorption and refractive index in this process are investigated, and the solid target selection model is developed. This model is used to analyze the influence of solid target type and thickness in diagnosis, while avoiding situations where the sample is too hot due to a lot X-ray absorption. Moreover, the influence of hard X-ray on sample temperature at high frequency is considered, and the samples suitable for different X-ray bands are given. The chirped pulse modulation in spectral coding is analyzed, and the influence of dispersion medium and pulse parameters on the diagnostic resolution of spectral coding are obtained. Finally, the error effects of X-ray, spatial coding and spectral coding on the results are analyzed, and the analysis methods and consideration factors of the two coding methods are given. This work is of great significance in using the XFEL pulse arrival time diagnostic device.
X-ray free electron laser (XFEL) pulse time diagnosis technology is often used to detect the relative arrival time of XFEL pulse and auxiliary laser near the experimental station. It is an important auxiliary technology and provides a reference signal for the pump-probe pulse in the XFEL laser pump-probe experiment. With the development of XFEL towards high repetition frequency and short pulse, higher requirements are put forward for diagnostic frequency, pump sample and resolution in time diagnosis. The technology is realized by the pump-probe method and optical cross-correlation method. When the XFEL pulse is incident on the high-bandwidth semiconductor solid target instantaneously, the complex refractive index of the solid target will change, then the arrival time of XFEL will be encoded in the mutation space. In thiswork, we design an XFEL pulse arrival time diagnostic device based on two methods: spatial coding and spectral coding. In this framework, the interaction between X-ray and solid target is explored by Beer's absorption theory and atomic scattering theory. Therefore, the response to X-ray absorption and refractive index in this process are investigated, and the solid target selection model is developed. This model is used to analyze the influence of solid target type and thickness in diagnosis, while avoiding situations where the sample is too hot due to a lot X-ray absorption. Moreover, the influence of hard X-ray on sample temperature at high frequency is considered, and the samples suitable for different X-ray bands are given. The chirped pulse modulation in spectral coding is analyzed, and the influence of dispersion medium and pulse parameters on the diagnostic resolution of spectral coding are obtained. Finally, the error effects of X-ray, spatial coding and spectral coding on the results are analyzed, and the analysis methods and consideration factors of the two coding methods are given. This work is of great significance in using the XFEL pulse arrival time diagnostic device.
2023, 72(10): 106501.
doi: 10.7498/aps.72.20222400
Abstract:
Phase change microcapsule suspension is a new type of heat-storage and heat-transfer functional fluid. Owing to the lack of understanding of flow-solid interaction, there exists a difference in research result of the heat transfer performance of suspension fluid. Therefore, the arbitrary Lagrangian-Euler method is used to simulate the flow-solid transfer characteristics of phase-change microcapsules in the liquid-cooled microchannel. Furthermore, the comparison of heat-transfer between particle and phase-change capsules is conducted. The influences of the position, shape, and number of capsules on the inhibition of the wall temperature rise are investigated. The results show that the wall-temperature-rise inhibition mainly occurs in the upstream area of the capsules. The phase change of capsules can reduce the wall temperature rise. On the other hand, the spin movement is faster when the capsule is closer to the wall, and the heat transfer is enhanced. As a result, the inhibitory effect on the wall temperature rise becomes stronger, especially near the heating surface. The circular capsules spin movement is faster and the inhibition performance is better than the ellipse. With the capsules number increasing, the wall temperature inhibition effect also gradually strengthens.
Phase change microcapsule suspension is a new type of heat-storage and heat-transfer functional fluid. Owing to the lack of understanding of flow-solid interaction, there exists a difference in research result of the heat transfer performance of suspension fluid. Therefore, the arbitrary Lagrangian-Euler method is used to simulate the flow-solid transfer characteristics of phase-change microcapsules in the liquid-cooled microchannel. Furthermore, the comparison of heat-transfer between particle and phase-change capsules is conducted. The influences of the position, shape, and number of capsules on the inhibition of the wall temperature rise are investigated. The results show that the wall-temperature-rise inhibition mainly occurs in the upstream area of the capsules. The phase change of capsules can reduce the wall temperature rise. On the other hand, the spin movement is faster when the capsule is closer to the wall, and the heat transfer is enhanced. As a result, the inhibitory effect on the wall temperature rise becomes stronger, especially near the heating surface. The circular capsules spin movement is faster and the inhibition performance is better than the ellipse. With the capsules number increasing, the wall temperature inhibition effect also gradually strengthens.
2023, 72(10): 107501.
doi: 10.7498/aps.72.20221995
Abstract:
The entropy-modulated material has been a hot topic due to its unique design concept and excellent properties. However, previous studies of entropy-modulated materials mainly focused on the alloys with simple face-centered cubic, or body-centered cubic, or hexagonal close-packed structures. In this work, the design concept of entropy-modulation is introduced into Gd2Co17 based intermetallic compound, and the effect of high configuration entropy on the structural stabilization and room-temperature magnetic properties of Gd2Co17 based intermetallic compound are studied systematically. The samples are prepared by vacuum Arc melting technology in an ultrahigh-purity Ar atmosphere and followed by annealing at 1000 ℃ for 8 days and finally by quenching in cool water. The fine powders are prepared by grinding the ingots in an agate mortar. The powder XRD and SEM-EDS are used to check the crystal structures and chemical compositions. To study the magnetic properties, the column-like samples are prepared by mixing the fine powder and epoxy with a weight ratio of 1∶1, and then aligned under an applied field of 1 T at room temperature. The high configuration entropy is found to play an important role in the structural stabilization and magnetic properties of Gd2Co17 based medium- and high-entropy intermetallic compounds. The XRD patterns and Rietveld structural refinement results confirm that all the samples are single-phase. The structure depends on the effective atomic radius RA, the structure of entropized Gd2Co17 based intermetallics can be stabilized into rhombohedral Th2Zn17-type with RA > 1.416 or hexagonal Th2Ni17-type with RA < 1.4105. According to thermodynamic calculations of entropized Gd2Co17 intermeatllics, the atomic radius difference Δr ranges from 0.55% to 1.81%, and the mixing enthalpy \begin{document}$ \Delta {{\boldsymbol{H}}}_{{\rm{m}}{\rm{i}}{\rm{x}}} $\end{document} ![]()
![]()
is corresponding to 0 for the rare earth site, –4 to –1 kJ/mol for the transition metal site, and –8.54 to –5.13 kJ/mol between rare earth and transition metal sites. It is suggested that all the thermodynamic parameters meet the criteria for the formation of single-phase medium- and high-entropy intermetallic compounds. The configuration entropy changes from 0.69R to 1.39R. The room temperature magnetic properties are significantly improved by the modulation of entropized design at rare earth and transition metal sublattices. The entropization enhances the saturation moments of all samples, which can be explained with a modified magnetic valence model. The value of \begin{document}${N}_{{\rm{sp}}}^{\uparrow }$\end{document} ![]()
![]()
(the number of the electrons in the unpolarized sp conduction bands) increases from 0.3 to 0.4 after entropization, the indirect interaction between rare earth and transition metal sublattice is increased, the spin moment of s conducting electron as a medium of two sublattices is enhanced, and the magnetic moment is increased. The entropization also induces magnetic anisotropy to transform from basal plane to easy axis for the entropized design at transition metal sublattice and the coercivity of rare earth to increase.
2023, 72(10): 107702.
doi: 10.7498/aps.72.20230100
Abstract:
GaN-based semiconductor has been used in optoelectronics and electronic devices. It is a new research topic at present that how its good electrical properties are integrated together to explore other applications in theory or experiment. In this work, SCAPS-1D software is used to calculate the mechanism of GaN electron transport in an FTO/GaN/(FAPbI3)0.85(MAPbBr3)0.15/HTL perovskite solar cell (PSC) structure. The results show that when GaN is used in PSC, the Voc increases from 0.78 V to 1.21 V, PCE increases from 15.87% to 24.18%, and that the small conduction band cliff formed between GaN and the active layer can improve the efficiency of the cell. Quasi-Fermi level splitting, interfacial electric field, interfacial recombination rate and depletion zone thickness at different doping concentrations s are analyzed. The influences of GaN thickness and doping concentration on open-circuit voltage and other device parameters are investigated. The physical mechanism of GaN as an electron transport layer is discussed. With the increase of the thickness, the Jsc of this solar cell decreases gradually, but the change range is not large (24.13—23.83 mA/cm2). The Voc decreases from 1.30 V to 1.21 V when the thickness of GaN exceeds 100nm, and then keeps stable. The power conversion efficiency changing regularity appears in the form of “pits” —first decreases, then increases, and finally keeps stable, with the highest efficiency being 24.76% and the corresponding GaN thickness being 245 nm. The FF shows a trend, which is first decreasing, then increasing, and finally leveling off. In the case of the doping concentration and thickness change at the same time, during the increase of doping concentration, the Jsc decreases gradually with the increase of thickness, but the overall change range is small, and the open-circuit voltage, filling factor and conversion efficiency all show “pits” changes. When the thickness of GaN is 200 nm, with the concentration of GaN doping increasing, the quasi Fermi level splitting increases, and the strength of the built-in electric field between the active layer and the GaN layer increases, thus providing a greater driving force for carrier separation, resulting in a larger potential difference Δμ, and thus a larger Voc. With the increase of doping concentration, the recombination rate of the active layer/GaN layer interface and the recombination rate inside the active layer increase, which leads the value of Jsc to decrease. It is found that the position of the “concave point” of Voc under the change of GaN thickness is determined by varying the GaN doping concentration, the width of GaN depletion region between GaN/FTO, and the width of GaN depletion region between GaN/active layer determine the width of the whole “pit”. In summary, the cell parameters can be improved by simultaneously changing the thickness and doping concentration of GaN.
GaN-based semiconductor has been used in optoelectronics and electronic devices. It is a new research topic at present that how its good electrical properties are integrated together to explore other applications in theory or experiment. In this work, SCAPS-1D software is used to calculate the mechanism of GaN electron transport in an FTO/GaN/(FAPbI3)0.85(MAPbBr3)0.15/HTL perovskite solar cell (PSC) structure. The results show that when GaN is used in PSC, the Voc increases from 0.78 V to 1.21 V, PCE increases from 15.87% to 24.18%, and that the small conduction band cliff formed between GaN and the active layer can improve the efficiency of the cell. Quasi-Fermi level splitting, interfacial electric field, interfacial recombination rate and depletion zone thickness at different doping concentrations s are analyzed. The influences of GaN thickness and doping concentration on open-circuit voltage and other device parameters are investigated. The physical mechanism of GaN as an electron transport layer is discussed. With the increase of the thickness, the Jsc of this solar cell decreases gradually, but the change range is not large (24.13—23.83 mA/cm2). The Voc decreases from 1.30 V to 1.21 V when the thickness of GaN exceeds 100nm, and then keeps stable. The power conversion efficiency changing regularity appears in the form of “pits” —first decreases, then increases, and finally keeps stable, with the highest efficiency being 24.76% and the corresponding GaN thickness being 245 nm. The FF shows a trend, which is first decreasing, then increasing, and finally leveling off. In the case of the doping concentration and thickness change at the same time, during the increase of doping concentration, the Jsc decreases gradually with the increase of thickness, but the overall change range is small, and the open-circuit voltage, filling factor and conversion efficiency all show “pits” changes. When the thickness of GaN is 200 nm, with the concentration of GaN doping increasing, the quasi Fermi level splitting increases, and the strength of the built-in electric field between the active layer and the GaN layer increases, thus providing a greater driving force for carrier separation, resulting in a larger potential difference Δμ, and thus a larger Voc. With the increase of doping concentration, the recombination rate of the active layer/GaN layer interface and the recombination rate inside the active layer increase, which leads the value of Jsc to decrease. It is found that the position of the “concave point” of Voc under the change of GaN thickness is determined by varying the GaN doping concentration, the width of GaN depletion region between GaN/FTO, and the width of GaN depletion region between GaN/active layer determine the width of the whole “pit”. In summary, the cell parameters can be improved by simultaneously changing the thickness and doping concentration of GaN.
2023, 72(10): 107901.
doi: 10.7498/aps.72.20222404
Abstract:
For the high-power microwave (HPM) components applied to the space environment, the seed electrons in the components may resonate with the radio-frequency electrical field and may further lead the secondary electron multiplication to occur, triggering off the phenomenon of multipactor. Multipactor deteriorates the performance of the components, and in severe circumstances, it is even possible to result in the failure of the components or the spacecraft. Alumina ceramic possesses good dielectricity, high hardness, good thermal isolation, low dielectric loss, etc., so it is widely used in HPM systems including dielectric windows, and many other microwave components. However, alumina ceramic possesses a relatively high level of secondary electron yield (SEY or δ), indicating that the devastating effect of multipactor discharge is likely to be triggered off inside the alumina-filled HPM components in the space environment. In this work, the model of alumina loaded coaxil low pass fillter is simulated to verify that reducing the SEY of the alumina surface is effective and necessary to improve the multipactor threshold. After that, we use several technologies to achieve an ultralow SEY on the alumina surface. Firstly, a series of microstructures with different porosities and aspect ratios is fabricated. The results indicate that the microstructure with 67.24% porosity and 1.57 aspect ratio shows an excellent low-SEY property, which is able to suppress the SEY peak value (δm) of alumina from 2.46 to 1.10. Then, various process parameters are used to fabricate TiN films on silicon sheets. Experimental results indicate that the TiN film achieves the lowest δm of 1.19 when the gas flow ratio of N2∶Ar is 7.5∶15. Thereafter, we deposit TiN ceramic coating onto the laser-etched microstructure samples, and an ultralow δm of 0.79 is finally achieved on alumina surface. Then we implement a qualitative analysis to explore the influence of surface charge on the secondary electron emission and multipactor for the microstructured alumina surface, discuss the mechanism of low-SEY surfaces mitigating unilateral and bilateral multipactor. For verifying the actual effect of low-SEY technologies on the suppression of multipactor, we use the technologies of constructing microstructure and depositing TiN films on the alumina surface which is filled in the designed coaxial low pass filter. Finally, we obtain a significant improvement in the multipactor threshold for the filter, which increases from 125 W to 650 W, and the improvement is 7.16 dB. This work develops an effective method to reduce SEY for alumina, which is of great scientific significance in revealing the mechanism of multipactor for the dielectric-filled microwave components and also is of engineering application significance in improving the reliability of HPM components.
For the high-power microwave (HPM) components applied to the space environment, the seed electrons in the components may resonate with the radio-frequency electrical field and may further lead the secondary electron multiplication to occur, triggering off the phenomenon of multipactor. Multipactor deteriorates the performance of the components, and in severe circumstances, it is even possible to result in the failure of the components or the spacecraft. Alumina ceramic possesses good dielectricity, high hardness, good thermal isolation, low dielectric loss, etc., so it is widely used in HPM systems including dielectric windows, and many other microwave components. However, alumina ceramic possesses a relatively high level of secondary electron yield (SEY or δ), indicating that the devastating effect of multipactor discharge is likely to be triggered off inside the alumina-filled HPM components in the space environment. In this work, the model of alumina loaded coaxil low pass fillter is simulated to verify that reducing the SEY of the alumina surface is effective and necessary to improve the multipactor threshold. After that, we use several technologies to achieve an ultralow SEY on the alumina surface. Firstly, a series of microstructures with different porosities and aspect ratios is fabricated. The results indicate that the microstructure with 67.24% porosity and 1.57 aspect ratio shows an excellent low-SEY property, which is able to suppress the SEY peak value (δm) of alumina from 2.46 to 1.10. Then, various process parameters are used to fabricate TiN films on silicon sheets. Experimental results indicate that the TiN film achieves the lowest δm of 1.19 when the gas flow ratio of N2∶Ar is 7.5∶15. Thereafter, we deposit TiN ceramic coating onto the laser-etched microstructure samples, and an ultralow δm of 0.79 is finally achieved on alumina surface. Then we implement a qualitative analysis to explore the influence of surface charge on the secondary electron emission and multipactor for the microstructured alumina surface, discuss the mechanism of low-SEY surfaces mitigating unilateral and bilateral multipactor. For verifying the actual effect of low-SEY technologies on the suppression of multipactor, we use the technologies of constructing microstructure and depositing TiN films on the alumina surface which is filled in the designed coaxial low pass filter. Finally, we obtain a significant improvement in the multipactor threshold for the filter, which increases from 125 W to 650 W, and the improvement is 7.16 dB. This work develops an effective method to reduce SEY for alumina, which is of great scientific significance in revealing the mechanism of multipactor for the dielectric-filled microwave components and also is of engineering application significance in improving the reliability of HPM components.
2023, 72(10): 107701.
doi: 10.7498/aps.72.20230253
Abstract:
The dielectric relaxation characteristic and mechanism of thermochromic microcapsule-epoxy insulating material are investigated. The results show that thermochromic microcapsule-epoxy insulating material exhibits non-monotonic dielectric relaxation characteristic, namely the dielectric relaxation time gradually increases with the temperature rising in a range of about 58–66 ℃, which cannot be depicted by the conventional Arrhenius equation or Vogel-Fulcher-Tammann equation. It is proposed that the non-monotonic dielectric relaxation characteristic is derived from the free volume variation induced by the confined phase transition in microcapsule. With the increase of temperature, the solid-liquid phase transition occurs in the limited space of microcapsule, reducing the free volume inside the microcapsule, which could restrict the reorientation of dipole with the external electric field and lead to the increase of dielectric relaxation time. The non-monotonic dielectric relaxation characteristic of thermochromic epoxy specimen is fitted based on the confined dielectric relaxation model, obtaining the activation energy of dielectric relaxation. The relaxation activation energy values of thermochromic epoxy insulating materials with different microcapsule content are of the same order of magnitude, indicating that the non-monotonic dielectric relaxations occur inside the thermochromic microcapsule, verifying the role of confined phase transition in the non-monotonic dielectric relaxation characteristic.
The dielectric relaxation characteristic and mechanism of thermochromic microcapsule-epoxy insulating material are investigated. The results show that thermochromic microcapsule-epoxy insulating material exhibits non-monotonic dielectric relaxation characteristic, namely the dielectric relaxation time gradually increases with the temperature rising in a range of about 58–66 ℃, which cannot be depicted by the conventional Arrhenius equation or Vogel-Fulcher-Tammann equation. It is proposed that the non-monotonic dielectric relaxation characteristic is derived from the free volume variation induced by the confined phase transition in microcapsule. With the increase of temperature, the solid-liquid phase transition occurs in the limited space of microcapsule, reducing the free volume inside the microcapsule, which could restrict the reorientation of dipole with the external electric field and lead to the increase of dielectric relaxation time. The non-monotonic dielectric relaxation characteristic of thermochromic epoxy specimen is fitted based on the confined dielectric relaxation model, obtaining the activation energy of dielectric relaxation. The relaxation activation energy values of thermochromic epoxy insulating materials with different microcapsule content are of the same order of magnitude, indicating that the non-monotonic dielectric relaxations occur inside the thermochromic microcapsule, verifying the role of confined phase transition in the non-monotonic dielectric relaxation characteristic.
2023, 72(10): 108201.
doi: 10.7498/aps.72.20230146
Abstract:
The oxygen evolution reaction (OER) plays a critical role in energy storage and conversion devices such as zinc-air batteries, fuel cells, and electrolysis water. However, the OER process involves a four-electron transfer, leading to slow reaction kinetics. Therefore, it is necessary to explore an efficient, inexpensive, and durable electrocatalysts to accelerate the OER process. Noble metal oxides are considered the most advanced OER electrocatalysts, but their high price and scarcity limit their commercial applications. Thus, researchers have started exploring other low-cost materials as alternatives. Nanocomposite materials have emerged as a promising alternative to expensive and scarce noble metal oxide electrocatalysts for OER. Therefore, this work synthesizes novel nanocomposite materials, NaCu5S3@NixFe-LDH (x = 1, 2, 3, 4) nanosheet array via hydrothermal and water bath methods. The structure and morphology of each product are characterized, indicating a tightly integrated interface between NaCu5S3 and Ni2Fe-LDH, which facilitates rapid charge transfer and enhancement of electron regulation at the interface. This changes the local structure characteristics and promotes the OER catalytic performance. Electrochemical characterization results show that in a 1.0 M KOH electrolyte, the overpotential of NaCu5S3@Ni2Fe-LDH for OER at a current density of 20 mA/cm2 is only 227 mV, significantly lower than that of the original NaCu5S3 (271 mV) and Ni2Fe-LDH (275 mV), with stability duration reaching 72 h. Electrochemical results also reveal that with the increase of overpotential, NaCu5S3@Ni2Fe-LDH shows a significant oxidation peak between 1.35–1.45 (V vs. RHE), which leads to the activation of Ni2+ to Ni3+ high oxidation state. The high oxidation state of Ni will promote the OER. The NaCu5S3@Ni2Fe-LDH composite electrocatalyst exhibits lower charge transfer resistance, higher double layer capacitance value (10.0 mF/cm2), and electrochemical active surface area (250 cm2), which are also beneficial to promoting OER. This study highlights the potential of nanocomposite materials as cost-effective alternatives to noble metal oxide electrocatalysts for OER. The NaCu5S3@Ni2Fe-LDH composite electrocatalyst exhibits excellent OER performance with a low overpotential, high stability, and favorable electrochemical properties. This research provides a valuable insight into the design and development of efficient and sustainable electrocatalysts for energy conversion and storage applications.
The oxygen evolution reaction (OER) plays a critical role in energy storage and conversion devices such as zinc-air batteries, fuel cells, and electrolysis water. However, the OER process involves a four-electron transfer, leading to slow reaction kinetics. Therefore, it is necessary to explore an efficient, inexpensive, and durable electrocatalysts to accelerate the OER process. Noble metal oxides are considered the most advanced OER electrocatalysts, but their high price and scarcity limit their commercial applications. Thus, researchers have started exploring other low-cost materials as alternatives. Nanocomposite materials have emerged as a promising alternative to expensive and scarce noble metal oxide electrocatalysts for OER. Therefore, this work synthesizes novel nanocomposite materials, NaCu5S3@NixFe-LDH (x = 1, 2, 3, 4) nanosheet array via hydrothermal and water bath methods. The structure and morphology of each product are characterized, indicating a tightly integrated interface between NaCu5S3 and Ni2Fe-LDH, which facilitates rapid charge transfer and enhancement of electron regulation at the interface. This changes the local structure characteristics and promotes the OER catalytic performance. Electrochemical characterization results show that in a 1.0 M KOH electrolyte, the overpotential of NaCu5S3@Ni2Fe-LDH for OER at a current density of 20 mA/cm2 is only 227 mV, significantly lower than that of the original NaCu5S3 (271 mV) and Ni2Fe-LDH (275 mV), with stability duration reaching 72 h. Electrochemical results also reveal that with the increase of overpotential, NaCu5S3@Ni2Fe-LDH shows a significant oxidation peak between 1.35–1.45 (V vs. RHE), which leads to the activation of Ni2+ to Ni3+ high oxidation state. The high oxidation state of Ni will promote the OER. The NaCu5S3@Ni2Fe-LDH composite electrocatalyst exhibits lower charge transfer resistance, higher double layer capacitance value (10.0 mF/cm2), and electrochemical active surface area (250 cm2), which are also beneficial to promoting OER. This study highlights the potential of nanocomposite materials as cost-effective alternatives to noble metal oxide electrocatalysts for OER. The NaCu5S3@Ni2Fe-LDH composite electrocatalyst exhibits excellent OER performance with a low overpotential, high stability, and favorable electrochemical properties. This research provides a valuable insight into the design and development of efficient and sustainable electrocatalysts for energy conversion and storage applications.
2023, 72(10): 108701.
doi: 10.7498/aps.72.20230187
Abstract:
Transcription termination is a critical step for gene regulation and genome integrity among all kingdoms of life. In Saccharomyces cerevisiae, one of the major termination pathways is accomplished by Sen1 helicase, a homolog to human Senataxin (SETX), defection of which raises the diseases for the central nervus system of human. Although it has been proposed that Sen1 translocates along nucleic acids by consuming adenosine triphosphates (ATPs) during termination, the mechanism for this translocation activity of Sen1 has not been well understood. In this work, our aim is to investigate the mechanism of Sen1 translocation by measuring the interactions between Sen1 and different types of nucleic acids by polyacrylamide gel electrophoresis (PAGE) assay or single-molecule Fӧrster resonance energy transfer (FRET) assay. We firstly observe the unwinding activity of Sen1 on a tailed duplex DNA in the presence of 1 mM ATP via PAGE assay, where the translocation activity of Sen1 is involved. As the binding activity is crucial for translocation, then we examine the binding affinity of Sen1 to the single-stranded DNA via PAGE assay, revealing a stable binding of Sen1 with an occupied length of nucleic acids of less than 24 nt. In the presence of 1 µM ATP, we observe that Sen1 dynamically binds to and dissociates from the tailed duplex DNA in the single-molecule FRET assay. By titrating ATP concentrations from 1–500 µM, we observe a gradual decrease in the mean durations of Sen1 binding, suggesting an ATP-dependent binding affinity of Sen1 to single-stranded DNA. We then fit these mean durations to the classical Michaelis-Menten model and obtain a minimum binding duration of (0.18 ± 0.01) s at saturating ATP concentrations and Km of (13.1 ± 0.1) µM for the ATP-dependent binding of Sen1. This result is consistent with that from a translocation activity of Sen1. Taking into account the translocation length of the half of the single-stranded tail, i.e. 13 nt, a mean rate of 70 nt/s is estimated. Reversing the translocation direction, we observe an increase in the duration of Sen1 binding to the single-stranded tail, which suggests an impediment of DNA duplex in front of Sen1 translocation or the possible duplex DNA unwinding activity of Sen1. Our quantitative measurements on Sen1 translocation are helpful in deepening our understanding of the mechanism of eukaryotic transcription termination by Sen1.
Transcription termination is a critical step for gene regulation and genome integrity among all kingdoms of life. In Saccharomyces cerevisiae, one of the major termination pathways is accomplished by Sen1 helicase, a homolog to human Senataxin (SETX), defection of which raises the diseases for the central nervus system of human. Although it has been proposed that Sen1 translocates along nucleic acids by consuming adenosine triphosphates (ATPs) during termination, the mechanism for this translocation activity of Sen1 has not been well understood. In this work, our aim is to investigate the mechanism of Sen1 translocation by measuring the interactions between Sen1 and different types of nucleic acids by polyacrylamide gel electrophoresis (PAGE) assay or single-molecule Fӧrster resonance energy transfer (FRET) assay. We firstly observe the unwinding activity of Sen1 on a tailed duplex DNA in the presence of 1 mM ATP via PAGE assay, where the translocation activity of Sen1 is involved. As the binding activity is crucial for translocation, then we examine the binding affinity of Sen1 to the single-stranded DNA via PAGE assay, revealing a stable binding of Sen1 with an occupied length of nucleic acids of less than 24 nt. In the presence of 1 µM ATP, we observe that Sen1 dynamically binds to and dissociates from the tailed duplex DNA in the single-molecule FRET assay. By titrating ATP concentrations from 1–500 µM, we observe a gradual decrease in the mean durations of Sen1 binding, suggesting an ATP-dependent binding affinity of Sen1 to single-stranded DNA. We then fit these mean durations to the classical Michaelis-Menten model and obtain a minimum binding duration of (0.18 ± 0.01) s at saturating ATP concentrations and Km of (13.1 ± 0.1) µM for the ATP-dependent binding of Sen1. This result is consistent with that from a translocation activity of Sen1. Taking into account the translocation length of the half of the single-stranded tail, i.e. 13 nt, a mean rate of 70 nt/s is estimated. Reversing the translocation direction, we observe an increase in the duration of Sen1 binding to the single-stranded tail, which suggests an impediment of DNA duplex in front of Sen1 translocation or the possible duplex DNA unwinding activity of Sen1. Our quantitative measurements on Sen1 translocation are helpful in deepening our understanding of the mechanism of eukaryotic transcription termination by Sen1.










