2023 Vol. 72, No. 12
column
- REVIEW
- GENERAL
- NUCLEAR PHYSICS
- ATOMIC AND MOLECULAR PHYSICS
- ELECTROMAGNETISM, OPTICS, ACOUSTICS, HEAT TRANSFER, CLASSICAL MECHANICS, AND FLUID DYNAMICS
- PHYSICS OF GASES, PLASMAS, AND ELECTRIC DISCHARGES
- CONDENSED MATTER: STRUCTURAL, MECHANICAL, AND THERMAL PROPERTIES
- CONDENSED MATTER: ELECTRONIC STRUCTURE, ELECTRICAL, MAGNETIC, AND OPTICAL PROPERTIES
- INTERDISCIPLINARY PHYSICS AND RELATED AREAS OF SCIENCE AND TECHNOLOGY
Display Method:
2023, 72(12): 120201.
doi: 10.7498/aps.72.20222267
Abstract:
Open quantum systems play an important role in developing quantum sciences, and therefore the study of corresponding numerical method is of great significance. For the open quantum systems, the quasi-adiabatic propagator path integral invented in 1990s is one of the few numerically exact methods. However, its computational complexity scales exponentially with system size and correlation length, and therefore its application is limited in practical calculation. In recent years, the study and application of tensor network have made rapid progress. Representing the path integral by tensor network makes the computational complexity increase polynomially, thus greatly improving the computational efficiency. Such a new method is called time-evolving matrix product operator. At the very beginning, the reduced density matrix is represented as a matrix product state. Then the time evolution of the system can be achieved by iteratively applying matrix product operators to the matrix product state. The iterative process is amenable to the standard matrix product states compression algorithm, which keeps the computational cost on a polynomial scale. The time-evolving matrix product operator is an efficient, numerically exact and fully non-Markovian method, which has a broad application prospect in the study of quantum open systems. For instance, it is already used in the study of the thermalization, heat statistic, heat transfer and optimal control of the quantum open systems, and conversely it can be also used to investigate the effect of the system on the environment. In addition, the TEMPO method is naturally related to the process tensor, and can be used to calculate the correlation function of the system efficiently. In this article we review this method and its applications. We give a brief introduction of the path integral formalism of Caldeira-Leggett model. According to the path integral formalism, we demonstrate the usage of quasi-adiabatic propagator path integral method. we give the basic idea of matrix product states, and we show how to recast quasi-adiabatic propagator path integral method into time-evolving matrix product operators method by employing the concept of matrix product states and matrix product operators, and give a review of its applications. In addition, we use the calculation results of physical quantities, correlation functions and heat currents in the spin-boson model to illustrate the applications of the time-evolving matrix product operator method.
Open quantum systems play an important role in developing quantum sciences, and therefore the study of corresponding numerical method is of great significance. For the open quantum systems, the quasi-adiabatic propagator path integral invented in 1990s is one of the few numerically exact methods. However, its computational complexity scales exponentially with system size and correlation length, and therefore its application is limited in practical calculation. In recent years, the study and application of tensor network have made rapid progress. Representing the path integral by tensor network makes the computational complexity increase polynomially, thus greatly improving the computational efficiency. Such a new method is called time-evolving matrix product operator. At the very beginning, the reduced density matrix is represented as a matrix product state. Then the time evolution of the system can be achieved by iteratively applying matrix product operators to the matrix product state. The iterative process is amenable to the standard matrix product states compression algorithm, which keeps the computational cost on a polynomial scale. The time-evolving matrix product operator is an efficient, numerically exact and fully non-Markovian method, which has a broad application prospect in the study of quantum open systems. For instance, it is already used in the study of the thermalization, heat statistic, heat transfer and optimal control of the quantum open systems, and conversely it can be also used to investigate the effect of the system on the environment. In addition, the TEMPO method is naturally related to the process tensor, and can be used to calculate the correlation function of the system efficiently. In this article we review this method and its applications. We give a brief introduction of the path integral formalism of Caldeira-Leggett model. According to the path integral formalism, we demonstrate the usage of quasi-adiabatic propagator path integral method. we give the basic idea of matrix product states, and we show how to recast quasi-adiabatic propagator path integral method into time-evolving matrix product operators method by employing the concept of matrix product states and matrix product operators, and give a review of its applications. In addition, we use the calculation results of physical quantities, correlation functions and heat currents in the spin-boson model to illustrate the applications of the time-evolving matrix product operator method.
2023, 72(12): 120302.
doi: 10.7498/aps.72.20222166
Abstract:
Rare-earth ion doped crystals possess stable solid state physicochemical properties and long optical coherence time and spin coherence time, thus showing important development prospect in quantum information science and technology area. Investigations on macroscopic bulk rare-earth single crystals have obtained many promising results, especially in the field of optical quantum memory. With the rapid development of quantum information science, a variety of new functions or multifunctional integrations are found in rare earth crystal systems, such as on chip quantum storage, microwave to optical frequency conversion, scalable quantum single photon sources, and quantum logic gates. As a result, beyond the macroscopic bulk rare-earth single crystals, micro/nano-scale rare-earth crystals have received much attention in recent years and they are regarded as promising candidates in highly integrated hybrid quantum systems and miniaturized quantum devices. Moreover, wet chemical method synthesized micro/nano-scale rare-earth crystals have lower growth difficulty and more flexible manipulation in volume, shape and composition. Therefore, exploring high-performance micro/nano-scale rare-earth crystals and precisely manipulating their quantum states have become one of the important directions in today’s quantum information science and technology research. In this review, we first briefly introduce the basic concepts and high resolution spectroscopic techniques that are commonly used in rare earth ion doped crystals for quantum information science and technologies, such as hole burning technique and photon echo technique. Then we summarize comprehensively recent research status and development trends of rare earth ion doped polycrystalline nanoparticles, thin films, single crystal based micro systems, and some other micro/nano-scale rare earth platforms in terms of material fabrication, quantum coherence property, dephasing mechanisms, and also quantum device explorations. The latest research advances in quantum information applications such as quantum storage, quantum frequency conversion, quantum single photon sources and quantum logic gates are given. Finally, we discuss the possible optimization directions and strategies to improve the component design, material synthesis and quantum performance of micro/nano-scale rare earth crystals and their related quantum devices. This review highlights that the micro/nano-scale rare earth crystals may offer many new possibilities for designing quantum light-matter interfaces, thus are promising quantum systems to develop scalable and integrated quantum devices in the future.
Rare-earth ion doped crystals possess stable solid state physicochemical properties and long optical coherence time and spin coherence time, thus showing important development prospect in quantum information science and technology area. Investigations on macroscopic bulk rare-earth single crystals have obtained many promising results, especially in the field of optical quantum memory. With the rapid development of quantum information science, a variety of new functions or multifunctional integrations are found in rare earth crystal systems, such as on chip quantum storage, microwave to optical frequency conversion, scalable quantum single photon sources, and quantum logic gates. As a result, beyond the macroscopic bulk rare-earth single crystals, micro/nano-scale rare-earth crystals have received much attention in recent years and they are regarded as promising candidates in highly integrated hybrid quantum systems and miniaturized quantum devices. Moreover, wet chemical method synthesized micro/nano-scale rare-earth crystals have lower growth difficulty and more flexible manipulation in volume, shape and composition. Therefore, exploring high-performance micro/nano-scale rare-earth crystals and precisely manipulating their quantum states have become one of the important directions in today’s quantum information science and technology research. In this review, we first briefly introduce the basic concepts and high resolution spectroscopic techniques that are commonly used in rare earth ion doped crystals for quantum information science and technologies, such as hole burning technique and photon echo technique. Then we summarize comprehensively recent research status and development trends of rare earth ion doped polycrystalline nanoparticles, thin films, single crystal based micro systems, and some other micro/nano-scale rare earth platforms in terms of material fabrication, quantum coherence property, dephasing mechanisms, and also quantum device explorations. The latest research advances in quantum information applications such as quantum storage, quantum frequency conversion, quantum single photon sources and quantum logic gates are given. Finally, we discuss the possible optimization directions and strategies to improve the component design, material synthesis and quantum performance of micro/nano-scale rare earth crystals and their related quantum devices. This review highlights that the micro/nano-scale rare earth crystals may offer many new possibilities for designing quantum light-matter interfaces, thus are promising quantum systems to develop scalable and integrated quantum devices in the future.
2023, 72(12): 120301.
doi: 10.7498/aps.72.20230242
Abstract:
In recent years, the transmission security of image information has become an important research direction in the internet field. In this work, we propose a quantum image chaos encryption scheme based on quantum long-short term memory (QLSTM) network. We find that because the QLSTM network has a complex structure and more parameters, when the QLSTM network is used to improve the Lorenz chaotic sequence, its largest Lyapunov exponent is 2.5465% higher than that of the original sequence and 0.2844% higher than that the sequence improved by the classical long-short term memory (LSTM) network, while its result is closer to 1 and more stable in the 0–1 test. The improved sequence of QLSTM network has better chaotic performance and is predicted more difficultly, which improves the security of single chaotic system encryption. The original image is stored in the form of quantum states by using the NCQI quantum image representation model, and the improved sequence of QLSTM network is used to control the three-level radial diffusion, quantum generalized Arnold transform and quantum W-transform respectively, so that the gray value and pixel position of the quantum image are changed and the final encrypted image is obtained. The encryption scheme proposed in this work obtains the average information entropy of all three channels of RGB of greater than 7.999, the average value of pixel number change rate of 99.6047%, the average value of uniform average change intensity of 33.4613%, the average correlation of 0.0038, etc. In the test of statistical properties, the encryption scheme has higher security than some other traditional methods and can resist the common attacks.
In recent years, the transmission security of image information has become an important research direction in the internet field. In this work, we propose a quantum image chaos encryption scheme based on quantum long-short term memory (QLSTM) network. We find that because the QLSTM network has a complex structure and more parameters, when the QLSTM network is used to improve the Lorenz chaotic sequence, its largest Lyapunov exponent is 2.5465% higher than that of the original sequence and 0.2844% higher than that the sequence improved by the classical long-short term memory (LSTM) network, while its result is closer to 1 and more stable in the 0–1 test. The improved sequence of QLSTM network has better chaotic performance and is predicted more difficultly, which improves the security of single chaotic system encryption. The original image is stored in the form of quantum states by using the NCQI quantum image representation model, and the improved sequence of QLSTM network is used to control the three-level radial diffusion, quantum generalized Arnold transform and quantum W-transform respectively, so that the gray value and pixel position of the quantum image are changed and the final encrypted image is obtained. The encryption scheme proposed in this work obtains the average information entropy of all three channels of RGB of greater than 7.999, the average value of pixel number change rate of 99.6047%, the average value of uniform average change intensity of 33.4613%, the average correlation of 0.0038, etc. In the test of statistical properties, the encryption scheme has higher security than some other traditional methods and can resist the common attacks.
2023, 72(12): 120303.
doi: 10.7498/aps.72.20230179
Abstract:
The optimal selection of parameters in practical quantum key distribution can greatly improve the key generation rate and maximum transmission distance of the system. Owing to the high cost of global search algorithm, local search algorithm is widely used. However, there are two shortcomings in local search algorithm. One is that the solution obtained is not always the global optimal solution, and the other is that the effectiveness of the algorithm is greatly dependent on the choice of initial value. This paper uses the Monte Carlo method to prove whether the key generation rate function is convex, and also simulates and analyzes the projection of the key generation rate function on each dimension of the parameter, in contrast to the approach in previous article. In order to eliminate the effect of the initial value, this paper proposes the particle swarm local search optimization algorithm which integrates particle swarm optimization algorithm and local search algorithm. The first step is to use the particle swarm optimization to find a valid parameter which leads to nonzero key generation rate, and the second step is to adopt the parameter as the initial value of local search algorithm to derive the global optimal solution. Then, the two algorithms are used to conduct simulation and their results are compared. The results show that the key generation rate function is non-convex because it does not satisfy the definition of a convex function, however, since the key generation rate function has only one non-zero stagnation point, the LSA algorithm can still obtain the global optimal solution with an appropriate initial value. When the transmission distance is relatively long, the local search algorithm is invalid because it is difficult to obtain an effective initial value by random value method. The particle swarm optimization algorithm can overcome this shortcoming and improve the maximum transmission distance of the system at the cost of slightly increasing the complexity of the algorithm.
The optimal selection of parameters in practical quantum key distribution can greatly improve the key generation rate and maximum transmission distance of the system. Owing to the high cost of global search algorithm, local search algorithm is widely used. However, there are two shortcomings in local search algorithm. One is that the solution obtained is not always the global optimal solution, and the other is that the effectiveness of the algorithm is greatly dependent on the choice of initial value. This paper uses the Monte Carlo method to prove whether the key generation rate function is convex, and also simulates and analyzes the projection of the key generation rate function on each dimension of the parameter, in contrast to the approach in previous article. In order to eliminate the effect of the initial value, this paper proposes the particle swarm local search optimization algorithm which integrates particle swarm optimization algorithm and local search algorithm. The first step is to use the particle swarm optimization to find a valid parameter which leads to nonzero key generation rate, and the second step is to adopt the parameter as the initial value of local search algorithm to derive the global optimal solution. Then, the two algorithms are used to conduct simulation and their results are compared. The results show that the key generation rate function is non-convex because it does not satisfy the definition of a convex function, however, since the key generation rate function has only one non-zero stagnation point, the LSA algorithm can still obtain the global optimal solution with an appropriate initial value. When the transmission distance is relatively long, the local search algorithm is invalid because it is difficult to obtain an effective initial value by random value method. The particle swarm optimization algorithm can overcome this shortcoming and improve the maximum transmission distance of the system at the cost of slightly increasing the complexity of the algorithm.
2023, 72(12): 120701.
doi: 10.7498/aps.72.20230301
Abstract:
Particle contamination can greatly affect the performance of X-ray focusing mirror. In this paper, we analyze the influence of particle contamination on X-ray focusing mirror. The model of interaction between contaminant particles and incident light is established from Mie scattering theory in the wavelength range of X-ray. And the relationship between them is mainly influenced by the complex refractive index of the particles\begin{document}$m$\end{document} ![]()
![]()
and the scale factor \begin{document}$\alpha$\end{document} ![]()
![]()
. Therefore, the reaction cross section and scattering function of particle contamination are calculated. Then, in order to obtain the effect of particle contamination on Einstein probe follow-up X-ray telescope (EP-FXT) focusing mirror, we carry out Monte Carlo simulation based on the design parameters of EP-FXT focusing mirror. Finally, the relationships among effective area, HEW, W90 and particle contamination density are calculated to characterize the influence of particle contamination on the performance of the focusing mirror. In this paper, structural and thermal model (STM) and qualification model (QM) are simulated simultaneously to make full use of their test data. By comparing the simulation results of STM effective area with the measured results, we find that the simulation results of STM effective area are accurate. When the EP-FXT is in orbit (the contamination amount is limited to less than 1.1 × 10–3), the effective area and angle resolution (HEW) meet the development requirements of EP-FXT. For the simulation of HEW, both QM and STM are in good agreement with the test results. The simulation results of HEW and effective area can be used to quantitatively analyze the effect of particle contamination on the performance of the focusing mirror. These quantitative analysis results provide a theoretical basis for the contamination prevention requirements of EP-FXT.
Particle contamination can greatly affect the performance of X-ray focusing mirror. In this paper, we analyze the influence of particle contamination on X-ray focusing mirror. The model of interaction between contaminant particles and incident light is established from Mie scattering theory in the wavelength range of X-ray. And the relationship between them is mainly influenced by the complex refractive index of the particles
2023, 72(12): 122901.
doi: 10.7498/aps.72.20222271
Abstract:
The circular electron-positron collider (CEPC) requires a 3% precision in the measurement of dE/dx to identify long-lived charged particles. However, the measurement of dE/dx has a blind area for each of charged particles of\begin{document}$\pi / \rm{K}$\end{document} ![]()
![]()
, \begin{document}$\pi / \rm{P}$\end{document} ![]()
![]()
, and \begin{document}$\rm{K} / \rm{P}$\end{document} ![]()
![]()
, having transverse momenta of 1 GeV/c, 1.6 GeV/c, and 2 GeV/c respectively. One potential solution is to use a high-precision time-of-flight (TOF) detector with a time resolution of less than 50 ps to fill in the blind area. To address this, we propose a small particle TOF detector that uses small plastic scintillators (\begin{document}$1 \;\; \mathrm{cm} \times 1 \;\; \mathrm{cm} \times 0.3 \;\; \mathrm{cm}$\end{document} ![]()
![]()
) silicon photomultipliers for readout. In this work, we introduce the construction of the detector and calibrate its performance by using \begin{document}${ }^{90} \mathrm{Sr} $\end{document} ![]()
![]()
electron collimators and high-speed waveform acquisition electronics. Using a constant fraction timing method, we find that the time resolution of the detector is about 48 ps, satisfying the CEPC’s requirements for TOF detection.
The circular electron-positron collider (CEPC) requires a 3% precision in the measurement of dE/dx to identify long-lived charged particles. However, the measurement of dE/dx has a blind area for each of charged particles of
2023, 72(12): 122902.
doi: 10.7498/aps.72.20230213
Abstract:
In view of the great demand for large-area silicon detectors in domestic nuclear physics experiments, a type of 300-μm-thick high-performance square silicon detector with a large active area of 50 mm×50 mm by using overprinting technology is developed in the Institute of Modern Physics of the Chinese Academy of Sciences. Based on this technology, SiO2 contamination caused by the photolithography and corrosion processes is effectively reduced. The detector has an excellent performance with a yield of up to 80%. Under –45 V (depletion voltage) bias, the leakage current of the detector is less than 40 nA. The detector is tested with a three-component α radioactive source. The energy resolution (σ) is about 45 keV for 5-MeV α particles. Used as an energy deposition(ΔE) detector, the detector performance is also tested for measuring reaction products of 250 MeV/u 11C radioactive beams impinging on a carbon target. The results show that the charge number resolution of a single silicon detector is 0.17 for the carbon isotope, which is similar to that measured with the same type of detectors available from the market. With the average deposition energy of three silicon detectors used, the charge number resolution for carbon isotope reaches a better value of 0.11. With this resolution, C and B isotopes are clearly distinguished, meeting the requirements for particle identification in intermediate- and high-energy radioactive beam experiments.
In view of the great demand for large-area silicon detectors in domestic nuclear physics experiments, a type of 300-μm-thick high-performance square silicon detector with a large active area of 50 mm×50 mm by using overprinting technology is developed in the Institute of Modern Physics of the Chinese Academy of Sciences. Based on this technology, SiO2 contamination caused by the photolithography and corrosion processes is effectively reduced. The detector has an excellent performance with a yield of up to 80%. Under –45 V (depletion voltage) bias, the leakage current of the detector is less than 40 nA. The detector is tested with a three-component α radioactive source. The energy resolution (σ) is about 45 keV for 5-MeV α particles. Used as an energy deposition(ΔE) detector, the detector performance is also tested for measuring reaction products of 250 MeV/u 11C radioactive beams impinging on a carbon target. The results show that the charge number resolution of a single silicon detector is 0.17 for the carbon isotope, which is similar to that measured with the same type of detectors available from the market. With the average deposition energy of three silicon detectors used, the charge number resolution for carbon isotope reaches a better value of 0.11. With this resolution, C and B isotopes are clearly distinguished, meeting the requirements for particle identification in intermediate- and high-energy radioactive beam experiments.
2023, 72(12): 123101.
doi: 10.7498/aps.72.20230004
Abstract:
InSe is a typical two-dimensional (2D) layered semiconductor material, which has excellent electrical properties and moderate adjustable band gap. It is found that InSe has an attractive application prospect in optoelectronic devices. However, some studies have shown that InSe in a single selenium vacancy (Vse) system is easily degraded when exposed to the environment of O2 molecule, which seriously affects the application of InSe in the field of electronic devices. In order to improve the environmental stability of the material, the substitution doping method of Te is proposed in this work. Density functional theory (DFT) is used to analyze the electronic structure, adsorption energy, Bader charge and energy reaction paths of the different systems. It is found that Te substitution doping can significantly improve the stability of InSe. At the same time, the defect state produced by Vse can be eliminated. The specific research results are as follows. First, the dissociation barrier of O2 molecule on Te doped InSe surface (InSe—Te) is as high as 2.67 eV, indicating that Te-doped InSe has a strong antioxidant capacity. Second, the distance between O2 molecule and the surface of InSe—Te is 3.87 Å, and the adsorption energy is only –0.03 eV, indicating that O2 molecules are physically adsorbed on the monolayer surface. Third, Te doping not only improves the antioxidant capacity of the InSe, but also eliminates the defect state produced by Vse. Fourth, the Te-doping obviously eliminates the original Vse defect state or impurity band. The density of states and band structure of Te-doped InSe are almost the same as those of perfect InSe, which can maintain the stability of InSe structure and effectively reduce the damage of oxidation environment to defective InSe monolayer. The results of this study will be helpful in improving the environmental stability of InSe 2D material devices and promoting the research and development of InSe 2D devices.
InSe is a typical two-dimensional (2D) layered semiconductor material, which has excellent electrical properties and moderate adjustable band gap. It is found that InSe has an attractive application prospect in optoelectronic devices. However, some studies have shown that InSe in a single selenium vacancy (Vse) system is easily degraded when exposed to the environment of O2 molecule, which seriously affects the application of InSe in the field of electronic devices. In order to improve the environmental stability of the material, the substitution doping method of Te is proposed in this work. Density functional theory (DFT) is used to analyze the electronic structure, adsorption energy, Bader charge and energy reaction paths of the different systems. It is found that Te substitution doping can significantly improve the stability of InSe. At the same time, the defect state produced by Vse can be eliminated. The specific research results are as follows. First, the dissociation barrier of O2 molecule on Te doped InSe surface (InSe—Te) is as high as 2.67 eV, indicating that Te-doped InSe has a strong antioxidant capacity. Second, the distance between O2 molecule and the surface of InSe—Te is 3.87 Å, and the adsorption energy is only –0.03 eV, indicating that O2 molecules are physically adsorbed on the monolayer surface. Third, Te doping not only improves the antioxidant capacity of the InSe, but also eliminates the defect state produced by Vse. Fourth, the Te-doping obviously eliminates the original Vse defect state or impurity band. The density of states and band structure of Te-doped InSe are almost the same as those of perfect InSe, which can maintain the stability of InSe structure and effectively reduce the damage of oxidation environment to defective InSe monolayer. The results of this study will be helpful in improving the environmental stability of InSe 2D material devices and promoting the research and development of InSe 2D devices.
2023, 72(12): 123102.
doi: 10.7498/aps.72.20230361
Abstract:
Graphene nanomesh (GNM) is a single-layer graphene material that has a periodic distribution of nanoscale pores. GNM shows great potential applications in various fields such as thermoelectric energy conversion, energy storage, and field-effect transistors. In this study we utilize non-equilibrium molecular dynamics and lattice dynamics method to investigate the thermal transport mechanism of GNM. The thermal conductivity of GNM is mainly affected by the number of nanoscale pores and their horizontal and vertical spacing. Our study finds that as the number of nanoscale pores increases, the thermal conductivity of GNM decreases significantly. Additionally, the increase of the number of nanoscale pores causes phonon branch to be folded and confined, which results in a flatter dispersion curve, wider bandgap, and slower phonon group velocity. Moreover, the horizontal and vertical spacing of the nanoscale pores jointly affect the thermal transport process of GNM. When the horizontal spacing is small, the thermal conductivity of GNM decreases monotonically with the increase of vertical spacing, and increases monotonically with an increase of horizontal spacing. However, as the horizontal spacing increases, the interference effect caused jointly by phonon reflection and superposition leads to significant fluctuations in thermal conductivity. The analysis of the spectral heat flow, density of states, participation rate, and group velocity of GNM indicate that the variation in vertical spacing leads to different phonon contributions to heat flow, resulting in fluctuations in the thermal conductivity of GNM. These findings could serve as a reference for controlling the thermal transport of graphene nanomesh, and are of great significance in regulating the thermal conductivity and designing nanoscale pores in GNM.
Graphene nanomesh (GNM) is a single-layer graphene material that has a periodic distribution of nanoscale pores. GNM shows great potential applications in various fields such as thermoelectric energy conversion, energy storage, and field-effect transistors. In this study we utilize non-equilibrium molecular dynamics and lattice dynamics method to investigate the thermal transport mechanism of GNM. The thermal conductivity of GNM is mainly affected by the number of nanoscale pores and their horizontal and vertical spacing. Our study finds that as the number of nanoscale pores increases, the thermal conductivity of GNM decreases significantly. Additionally, the increase of the number of nanoscale pores causes phonon branch to be folded and confined, which results in a flatter dispersion curve, wider bandgap, and slower phonon group velocity. Moreover, the horizontal and vertical spacing of the nanoscale pores jointly affect the thermal transport process of GNM. When the horizontal spacing is small, the thermal conductivity of GNM decreases monotonically with the increase of vertical spacing, and increases monotonically with an increase of horizontal spacing. However, as the horizontal spacing increases, the interference effect caused jointly by phonon reflection and superposition leads to significant fluctuations in thermal conductivity. The analysis of the spectral heat flow, density of states, participation rate, and group velocity of GNM indicate that the variation in vertical spacing leads to different phonon contributions to heat flow, resulting in fluctuations in the thermal conductivity of GNM. These findings could serve as a reference for controlling the thermal transport of graphene nanomesh, and are of great significance in regulating the thermal conductivity and designing nanoscale pores in GNM.
2023, 72(12): 123301.
doi: 10.7498/aps.72.20230371
Abstract:
Based on the tested data of laser absorption spectra, a matrix slicing method is proposed to invert the absorption function of spectral lines by using the two parameters of laser modulation frequency and laser scanning range as well as transmitted wave signal and reference wave signal under the condition of slow uniform scanning wavelength and fast periodic modulation wavelength. When the modulation is single frequency sinusoidal modulation, an accurate contour of the spectral line absorption function can be obtained by using the matrix data consisting of the values of the transmitted wave signal by the reference wave signal through the minimum value of two slice integrals with the interval of half modulation period, and the amplitude of modulation can be estimated. When the fast modulation of the wavelength is distorted to the multi-frequency superposition modulation, the absorption function is also formed by using the complementarity of multiple slices. The method above is utilized for investigating a real absorption function inversion process involving multiple overlapping absorption lines in the range of the scanning wavelengths. Moreover, the scanning range of laser wavelength can be calibrated by the interval parameters of several spectral lines in the scanning wavelength range. The absorption function of CO at 4300.700 cm–1 and CO2 at 6336 cm–1 are successfully obtained by using this matrix slice method for experimental verification.
Based on the tested data of laser absorption spectra, a matrix slicing method is proposed to invert the absorption function of spectral lines by using the two parameters of laser modulation frequency and laser scanning range as well as transmitted wave signal and reference wave signal under the condition of slow uniform scanning wavelength and fast periodic modulation wavelength. When the modulation is single frequency sinusoidal modulation, an accurate contour of the spectral line absorption function can be obtained by using the matrix data consisting of the values of the transmitted wave signal by the reference wave signal through the minimum value of two slice integrals with the interval of half modulation period, and the amplitude of modulation can be estimated. When the fast modulation of the wavelength is distorted to the multi-frequency superposition modulation, the absorption function is also formed by using the complementarity of multiple slices. The method above is utilized for investigating a real absorption function inversion process involving multiple overlapping absorption lines in the range of the scanning wavelengths. Moreover, the scanning range of laser wavelength can be calibrated by the interval parameters of several spectral lines in the scanning wavelength range. The absorption function of CO at 4300.700 cm–1 and CO2 at 6336 cm–1 are successfully obtained by using this matrix slice method for experimental verification.
2023, 72(12): 124201.
doi: 10.7498/aps.72.20230304
Abstract:
The tight focusing characteristics of azimuthally polarized vortex beams are systematically investigated in this work. The azimuthally polarized vortex beam can be decomposed into left-handed circularly polarized (LHCP) wave and right-handed circularly polarized ( RHCP) wave. It is found that the longitudinal component of LHCP and RHCP at the focal plane are equal in magnitude but opposite in phase. Thus, the total longitudinal field disappears because of the completely destructive interference. In contrast, there is almost no interference between the transverse component of LHCP and RHCP. Thus, the total transverse field is the incoherent superposition of them. Since the absolute value of the topological charge of LHCP component and RHCP component are not equal, the transverse component of LHCP and RHCP will be concentrated in the different areas on the focal plane. It is the reason for the orbit-induced SAM to be localized on the focal plane. Then, we compare the focal spot characteristics of the radially polarized beam and the azimuthally polarized beam with a first-order vortex. The advantages and disadvantages of them are discussed in detail, respectively. For the radially polarized beam, the central focal spot is mainly longitudinal component, and the sidelobe is mainly transverse component. For the azimuthally polarized vortex beam with \begin{document}$l = 1$\end{document} ![]()
![]()
, the central focal spot is mainly LHCP component, and the sidelobe is mainly RHCP component. In both cases, the field distributions of the central spots are the same, and both show a distribution similar to the zero-order Bessel function. The situation of the sidelobe is different. The sidelobe of the radially polarized beam shows a distribution similar to the first-order Bessel function and the sidelobe of the azimuthally polarized vortex beam indicates a distribution similar to the second-order Bessel function. Therefore, the sidelobe of the radially polarized beam is closer to that of the optical axis, resulting in a larger central focal spot size. On the other hand, the sidelobe of the radially polarized beam accounts for a much smaller proportion of the total energy than that of the azimuthally polarized vortex beam. So the sidelobe peak intensity of the radially polarized beam is lower. Finally, an optimal binary phase element is designed to obtain an ultra-long super-resolution optical needle. The transverse full weight of half maximum (FWHM) can achieve \begin{document}$0.391\lambda $\end{document} ![]()
![]()
and the longitudinal FWHM can reach to \begin{document}$25.5\lambda $\end{document} ![]()
![]()
by using only 6 belts.
2023, 72(12): 124202.
doi: 10.7498/aps.72.20222030
Abstract:
Owing to the unique physical characteristics of Rydberg atoms, which play an important role in quantum information and quantum computation, the theoretical and applied research of Rydberg atoms have become the hot spots of scientific research in recent years. With the large polarizability of Rydberg atoms, even a small electric field could cause a considerable electric dipole moment, resulting in a strong dipole-dipole interaction between Rydberg atoms. The multiple excitations of the Rydberg states are strongly inhibited because of the strong dipole interaction between atoms within a mesoscopic interaction (blockade) region. We call this phenomenon the dipole blockade effect. The dipole blockade effect makes it possible to build single-photon quantum devices, implement quantum gates, generate quantum entanglement, and simulate many-body quantum problems, etc. A Rydberg atomic ensemble in the same blockade region can be regarded as a superatom. In the same way, if these atoms trapped in two optical dipole traps, each sub-ensemble can be considered as a sub-superatom which is closely related to the superatom. According to the fact that two Rydberg sub-superatoms can be strongly correlated due to sharing no more than one excited Rydberg atom, we study correlated collective excitation and quantum entanglement between two Rydberg sub-superatoms in a steady state. With the superatom model, the problem of exponentially increasing system size with the number of atoms can be circumvented to a certain extent in studying many-body physics. By solving the two-body Lindblad’s master equation accurately, we obtain the analytical expressions for the collective excitation probabilities of the two sub-superatoms, and the concurrence measuring the bipartite entanglement between them. Our results show that they are all sensitive to the number of atoms in each Rydberg superatom: the bigger (including more atoms) the Rydberg superatom, the higher the collective Rydberg excitation probability is. And that the maximally entangled state can only be obtained with two equal-sized Rydberg superatoms. When this condition is fulfilled, the mesoscopic entanglement can be generated by adding the number of atoms in each Rydberg superatom. This may provide an attractive platform for studying the quantum-classical correspondence and have potential promising applications in quantum information processing.
2023, 72(12): 124203.
doi: 10.7498/aps.72.20230422
Abstract:
Single-photon source is an essential element in quantum information processing, and extensively used in the proof-in-principle demonstration in quantum physics, quantum imaging, quantum cryptography, etc. Considering the operating temperature and system complexity, it is a favorable option to choose spontaneous parametric down-conversion (SPDC) combined with the enhancement effect of a cavity. When generating significant single-photon source via the cavity-enhanced type-II spontaneous parametric down-conversion method, there appears inevitable birefringence effect which obviously influences the resonance condition. In order to compensate for birefringence effect, different approaches have been used such as introducing compensating crystal, placing a half-wave plate, tuning the temperature of the nonlinear crystal, customized conjoined double-cavity structure, and cluster effect. In this work, two quarter-wave plates, with an angle of 45° between the optical axis and the crystal axis, are placed in the cavity to ensure the double resonance of signal photon and idler photon. In the process, the signal photon and idler photon generated simultaneously have different polarizations perpendicular to each other through the type-II nonlinear crystal. Considering horizontally polarized photon, its polarization is changed into left circular polarization by the first quarter-wave plate and then returns as vertical polarization. After traversing a long optical path, it shifts to right circular polarization through the second quarter-wave plate. When the photon passes through the same quarter-wave plate again, the polarization state is originally converted into horizontal polarization state. Then the photon completes a round-trip. The other photon with vertical polarization experiences the same process. As a result, the signal photon and idler photon travel identical optical path. The general explanation is described by the Jones matrices, with the emphasis on the transformation of the polarizations of photons. This method can effectively compensate for birefringence effect, achieving double resonance by using a relatively simple device under the condition of smaller intra-cavity loss and more flexible for adjustment. The signal (idler) photon has a sub-natural linewidth of\begin{document}$1.01( 1.08 )\;{\rm{MHz}} $\end{document} ![]()
![]()
, demonstrating the feasibility of the proposed technique. This introduced compensating method paves the way to the realization of single-photon quantum source applied to the research of single-photon-single-atom quantum information processing, quantum interface and quantum network node with a single cesium atom confined in the strongly coupled cavity quantum electrodynamics system.
Single-photon source is an essential element in quantum information processing, and extensively used in the proof-in-principle demonstration in quantum physics, quantum imaging, quantum cryptography, etc. Considering the operating temperature and system complexity, it is a favorable option to choose spontaneous parametric down-conversion (SPDC) combined with the enhancement effect of a cavity. When generating significant single-photon source via the cavity-enhanced type-II spontaneous parametric down-conversion method, there appears inevitable birefringence effect which obviously influences the resonance condition. In order to compensate for birefringence effect, different approaches have been used such as introducing compensating crystal, placing a half-wave plate, tuning the temperature of the nonlinear crystal, customized conjoined double-cavity structure, and cluster effect. In this work, two quarter-wave plates, with an angle of 45° between the optical axis and the crystal axis, are placed in the cavity to ensure the double resonance of signal photon and idler photon. In the process, the signal photon and idler photon generated simultaneously have different polarizations perpendicular to each other through the type-II nonlinear crystal. Considering horizontally polarized photon, its polarization is changed into left circular polarization by the first quarter-wave plate and then returns as vertical polarization. After traversing a long optical path, it shifts to right circular polarization through the second quarter-wave plate. When the photon passes through the same quarter-wave plate again, the polarization state is originally converted into horizontal polarization state. Then the photon completes a round-trip. The other photon with vertical polarization experiences the same process. As a result, the signal photon and idler photon travel identical optical path. The general explanation is described by the Jones matrices, with the emphasis on the transformation of the polarizations of photons. This method can effectively compensate for birefringence effect, achieving double resonance by using a relatively simple device under the condition of smaller intra-cavity loss and more flexible for adjustment. The signal (idler) photon has a sub-natural linewidth of
2023, 72(12): 124204.
doi: 10.7498/aps.72.20222171
Abstract:
Terahertz (THz) wave has the advantages of high resolution, large information capacity, easy beam focusing, etc, and can be used in the fields of communication, radar, detection and others. Firstly, as a two-dimensional artificial electromagnetic metamaterial, the coding metasurface is proposed in the microwave band. It uses the digital coding of the electromagnetic wave phase to adjust electromagnetic waves. Subsequently, as an important way to regulate THz, the metasurface extends to terahertz frequency band and becomes a research hotspot. In this paper, we design a coding metasurface based on vanadium dioxide (VO2) with anisotropic characteristics. It is composed of three layers, with a metal cross structure embedded in VO2 at the top, polyimide in the middle, and pure metal at the bottom. The design of the cross shaped structure makes the coding metasurface unit anisotropic, which can provide complete and independent control of the orthogonally linearly polarized incident waves. The pure metal structure at the bottom can provide higher reflection amplitude for the incident wave. And VO2 is introduced into the coding metasurface. As a phase change material, VO2 can switch its properties between the insulating state and the metallic state, which further increases the flexibility of coding metasurface to regulate THz wave. Eight different coding metasurface units are designed in this work. They can be arranged according to a reasonable coding sequence to form a coding metasurface, which consisits of 20×20 metasurface units with an overall size of 2.4 mm × 2.4 mm. Its coding sequence will be changed with the phase of VO2, thus forming a corresponding 1 bit or 2 bit coding metasurface, and the generated beam form changes accordingly. The finite-difference time domain method is used for modeling and implementing simulation, and the results are as follows. The 1-THz orthogonal linearly polarized wave is vertically incident on the coding metasurface. When VO2 is in the insulating state, the designed metasurface can be regarded as an anisotropic 2 bit coding metasurface to generate dual-polarization orbital angular momentum (OAM) vortex beams. The x-polarized vortex wave has an OAM mode number of 2, and the y-polarized vortex wave possesses an OAM mode number of 1. When VO2 is in the metallic state, the designed metasurface can be regarded as an anisotropic 1 bit coding metasurface to generate dual-polarization symmetrical beams. Four reflected waves are generated by incident x-polarized waves, and two reflected waves are created by incident y-polarized waves. The proposed method of combining anisotropy material and phase change material realizes the function of generating multiple THz beams in different forms on the same metasurface. The present results provide a reference for the implementation of multi-functional coding metasurface that can be flexibly applied to multiple scenes.
Terahertz (THz) wave has the advantages of high resolution, large information capacity, easy beam focusing, etc, and can be used in the fields of communication, radar, detection and others. Firstly, as a two-dimensional artificial electromagnetic metamaterial, the coding metasurface is proposed in the microwave band. It uses the digital coding of the electromagnetic wave phase to adjust electromagnetic waves. Subsequently, as an important way to regulate THz, the metasurface extends to terahertz frequency band and becomes a research hotspot. In this paper, we design a coding metasurface based on vanadium dioxide (VO2) with anisotropic characteristics. It is composed of three layers, with a metal cross structure embedded in VO2 at the top, polyimide in the middle, and pure metal at the bottom. The design of the cross shaped structure makes the coding metasurface unit anisotropic, which can provide complete and independent control of the orthogonally linearly polarized incident waves. The pure metal structure at the bottom can provide higher reflection amplitude for the incident wave. And VO2 is introduced into the coding metasurface. As a phase change material, VO2 can switch its properties between the insulating state and the metallic state, which further increases the flexibility of coding metasurface to regulate THz wave. Eight different coding metasurface units are designed in this work. They can be arranged according to a reasonable coding sequence to form a coding metasurface, which consisits of 20×20 metasurface units with an overall size of 2.4 mm × 2.4 mm. Its coding sequence will be changed with the phase of VO2, thus forming a corresponding 1 bit or 2 bit coding metasurface, and the generated beam form changes accordingly. The finite-difference time domain method is used for modeling and implementing simulation, and the results are as follows. The 1-THz orthogonal linearly polarized wave is vertically incident on the coding metasurface. When VO2 is in the insulating state, the designed metasurface can be regarded as an anisotropic 2 bit coding metasurface to generate dual-polarization orbital angular momentum (OAM) vortex beams. The x-polarized vortex wave has an OAM mode number of 2, and the y-polarized vortex wave possesses an OAM mode number of 1. When VO2 is in the metallic state, the designed metasurface can be regarded as an anisotropic 1 bit coding metasurface to generate dual-polarization symmetrical beams. Four reflected waves are generated by incident x-polarized waves, and two reflected waves are created by incident y-polarized waves. The proposed method of combining anisotropy material and phase change material realizes the function of generating multiple THz beams in different forms on the same metasurface. The present results provide a reference for the implementation of multi-functional coding metasurface that can be flexibly applied to multiple scenes.
2023, 72(12): 124301.
doi: 10.7498/aps.72.20221691
Abstract:
The study of sound propagation in moving medium is important in various fields, such as atmospheric sound and underwater acoustics. To address this problem, a three-dimensional Gaussian beam tracing model is developed for subsonic moving medium, based on the Helmholtz equation of velocity potential for high-frequency sound wave in a moving medium with arbitrary Mach numbers. The dynamic ray equations in the moving medium are derived by using the beam tracing method, and further the partial differential equation is transformed into ordinary differential equations, so as to be able to more efficiently and accurately calculate the three-dimensional sound field in the moving medium. The Gaussian beam tracing method reveals that the expansion of the beam in a moving medium is more complex than in a static medium, and the energy in the ray tube is not necessarily conserved. The model is applied to several problems, including point source sound propagation in a semi-infinite homogeneous medium, three-dimensional long-range sound propagation in horizontally layered atmospheres, and three-dimensional sound propagation in the Gulf Stream. The results of the point source sound propagation problem in the semi-infinite homogeneous medium verify the effectiveness and accuracy of the model. The results of the atmospheric sound propagation problem indicate that compared with the commonly used N × 2D method, the three-dimensional Gaussian beam tracing in a moving medium fully considers the effect of medium motion, especially the effect of crosswind, and can calculate the sound pressure field more accurately. Although the Mach number of the ocean current is very small, its effect cannot be ignored. The ocean current can quantitatively change the sound propagation mode and affect the convergence zone position. In some areas, the difference between calculation results with and without considering the ocean current is more than 5 dB. Moreover, the deviation of rays caused by lateral flow is much smaller, and even in the areas with complex terrain, the deviation becomes more obvious only after being reflected by the interface. Moreover, the influence of lateral flow on sound propagation is much smaller than that caused by flow velocity parallel to the propagation direction. In conclusion, the developed Gaussian beam tracing method provides an accurate and efficient approach for solving the sound propagation problem in subsonic moving media.
The study of sound propagation in moving medium is important in various fields, such as atmospheric sound and underwater acoustics. To address this problem, a three-dimensional Gaussian beam tracing model is developed for subsonic moving medium, based on the Helmholtz equation of velocity potential for high-frequency sound wave in a moving medium with arbitrary Mach numbers. The dynamic ray equations in the moving medium are derived by using the beam tracing method, and further the partial differential equation is transformed into ordinary differential equations, so as to be able to more efficiently and accurately calculate the three-dimensional sound field in the moving medium. The Gaussian beam tracing method reveals that the expansion of the beam in a moving medium is more complex than in a static medium, and the energy in the ray tube is not necessarily conserved. The model is applied to several problems, including point source sound propagation in a semi-infinite homogeneous medium, three-dimensional long-range sound propagation in horizontally layered atmospheres, and three-dimensional sound propagation in the Gulf Stream. The results of the point source sound propagation problem in the semi-infinite homogeneous medium verify the effectiveness and accuracy of the model. The results of the atmospheric sound propagation problem indicate that compared with the commonly used N × 2D method, the three-dimensional Gaussian beam tracing in a moving medium fully considers the effect of medium motion, especially the effect of crosswind, and can calculate the sound pressure field more accurately. Although the Mach number of the ocean current is very small, its effect cannot be ignored. The ocean current can quantitatively change the sound propagation mode and affect the convergence zone position. In some areas, the difference between calculation results with and without considering the ocean current is more than 5 dB. Moreover, the deviation of rays caused by lateral flow is much smaller, and even in the areas with complex terrain, the deviation becomes more obvious only after being reflected by the interface. Moreover, the influence of lateral flow on sound propagation is much smaller than that caused by flow velocity parallel to the propagation direction. In conclusion, the developed Gaussian beam tracing method provides an accurate and efficient approach for solving the sound propagation problem in subsonic moving media.
2023, 72(12): 124302.
doi: 10.7498/aps.72.20230383
Abstract:
The nonlinear propagation of acoustic waves in a medium generates acoustic radiation force. Using acoustic radiation force, particles and liquid droplets in gases can be levitated and manipulated. Acoustic levitation techniques can manipulate larger objects in the medium without contact, and therefore have been widely used in chemical analysis, droplet dynamics, and bioreactors. The acoustic levitation researches mainly focus on manipulating particles and droplets in an open environment, which provides flexibility in its use. However, this approach has limitations in terms of its efficiency in utilizing acoustic field energy. In this work we propose a concept of subwavelength pipe-enhanced acoustic tweezers, in which the acoustic field is used to manipulate expanded polystyrene particles (EPS) and droplets inside an acoustic pipe with an inner diameter smaller than the wavelength. In this work, we use four small transducers to excite a single low-order mode of a circular waveguide and its simplex state, and we also use the vortex sound field generated inside the waveguide to levitate and manipulate expanded polystyrene particle and droplet in the air. Compared with previous work in an open environment, we significantly enhance the acoustic radiation force by means of the acoustic resonance effect of the subwavelength duct, with both radial and axial suspension force magnitude increasing considerably. Similar concepts of subwavelength optical waveguides and resonant cavities and their effectiveness were already well known and widely used in the field of optics. In this work we first explain theoretically the basis for the design of subwavelength pipe-enhanced acoustic tweezer dimensions. Then, we point out in simulation that the pipe-enhanced acoustic tweezers, compared with the open environment acoustic tweezers, have strong sound field gradient distribution and acoustic radiation force distribution in the pipe. This conclusion is demonstrated experimentally. Finally, the manipulation of droplet and particle levitation and rotation in subwavelength-pipe-enhanced acoustic tweezers is systematically carried out. In this work we introduce the concept of subwavelength acoustic pipe for acoustic manipulation, which is expected to deepen the physical understanding of the interaction between acoustic fields and matter, and to develop new miniaturized acoustic manipulation devices for levitating particles and droplets.
The nonlinear propagation of acoustic waves in a medium generates acoustic radiation force. Using acoustic radiation force, particles and liquid droplets in gases can be levitated and manipulated. Acoustic levitation techniques can manipulate larger objects in the medium without contact, and therefore have been widely used in chemical analysis, droplet dynamics, and bioreactors. The acoustic levitation researches mainly focus on manipulating particles and droplets in an open environment, which provides flexibility in its use. However, this approach has limitations in terms of its efficiency in utilizing acoustic field energy. In this work we propose a concept of subwavelength pipe-enhanced acoustic tweezers, in which the acoustic field is used to manipulate expanded polystyrene particles (EPS) and droplets inside an acoustic pipe with an inner diameter smaller than the wavelength. In this work, we use four small transducers to excite a single low-order mode of a circular waveguide and its simplex state, and we also use the vortex sound field generated inside the waveguide to levitate and manipulate expanded polystyrene particle and droplet in the air. Compared with previous work in an open environment, we significantly enhance the acoustic radiation force by means of the acoustic resonance effect of the subwavelength duct, with both radial and axial suspension force magnitude increasing considerably. Similar concepts of subwavelength optical waveguides and resonant cavities and their effectiveness were already well known and widely used in the field of optics. In this work we first explain theoretically the basis for the design of subwavelength pipe-enhanced acoustic tweezer dimensions. Then, we point out in simulation that the pipe-enhanced acoustic tweezers, compared with the open environment acoustic tweezers, have strong sound field gradient distribution and acoustic radiation force distribution in the pipe. This conclusion is demonstrated experimentally. Finally, the manipulation of droplet and particle levitation and rotation in subwavelength-pipe-enhanced acoustic tweezers is systematically carried out. In this work we introduce the concept of subwavelength acoustic pipe for acoustic manipulation, which is expected to deepen the physical understanding of the interaction between acoustic fields and matter, and to develop new miniaturized acoustic manipulation devices for levitating particles and droplets.
2023, 72(12): 124303.
doi: 10.7498/aps.72.20230003
Abstract:
Sound wave is a kind of mechanical wave, and as the carrier of energy, its transmission in the atmospheric turbulence environment will “disturb” the change of turbulence dissipation rate, thus affecting the evolution of turbulence physical structure. Using the acoustic energy and turbulent energy balance equations and combining the inner and outer scales of turbulence and the atmospheric refractive index power spectral function, this work studies the variation characteristics of the inner and outer scales and refractive index power spectral functions of atmospheric turbulence under different acoustic disturbances. The results show that the propagation of different acoustic waves can cause the internal and external scales of turbulence to change. The greater the sound source power, the stronger the influence on the scale of turbulence is. However, the greater the sound source frequency, the less significant the influence on the scale of turbulence is. The propagation of different sound waves can change the atmospheric refractive index power spectrum function. In the inertial region, considering the effects of sound waves on the inner and outer scales of turbulence, the influences of different sound sources on the atmospheric refractive index power spectrum are different. In a dissipative region, the atmospheric refractive index power spectrum fluctuates with the transmission distance of sound wave. This work explores the acoustic-wave caused variation of the characteristic parameters of the refractive index power spectrum function of atmospheric turbulence, providing a theoretical basis for studying the laser propagation characteristics and acoustooptic coupling in atmospheric turbulence caused by acoustic waves.
Sound wave is a kind of mechanical wave, and as the carrier of energy, its transmission in the atmospheric turbulence environment will “disturb” the change of turbulence dissipation rate, thus affecting the evolution of turbulence physical structure. Using the acoustic energy and turbulent energy balance equations and combining the inner and outer scales of turbulence and the atmospheric refractive index power spectral function, this work studies the variation characteristics of the inner and outer scales and refractive index power spectral functions of atmospheric turbulence under different acoustic disturbances. The results show that the propagation of different acoustic waves can cause the internal and external scales of turbulence to change. The greater the sound source power, the stronger the influence on the scale of turbulence is. However, the greater the sound source frequency, the less significant the influence on the scale of turbulence is. The propagation of different sound waves can change the atmospheric refractive index power spectrum function. In the inertial region, considering the effects of sound waves on the inner and outer scales of turbulence, the influences of different sound sources on the atmospheric refractive index power spectrum are different. In a dissipative region, the atmospheric refractive index power spectrum fluctuates with the transmission distance of sound wave. This work explores the acoustic-wave caused variation of the characteristic parameters of the refractive index power spectrum function of atmospheric turbulence, providing a theoretical basis for studying the laser propagation characteristics and acoustooptic coupling in atmospheric turbulence caused by acoustic waves.
2023, 72(12): 124304.
doi: 10.7498/aps.72.20230067
Abstract:
A novel low frequency acoustic sensor based on the cladding mode of large-angle tilted fiber Bragg grating (TFBG) is proposed and verified in this work. It mainly uses the characteristic that the coupling mode of the core and cladding mode in TFBG is easy to change when the TFBG experiences micro-bend, which will finally causes a dramatic drift in the spectrum. By combining a large-angle TFBG with the designed polyethylene terephthalate (PET) transducer diaphragm and cavity structure, an effective low-frequency acoustic sensing system is obtained in this work. Under the action of applied acoustic wave, the transducer membrane will have periodic vibrations, which will makes the fixed TFBG dynamically bend, directly leading to a wavelength shift of the cladding mode spectrum. The experimental results show that the sensing system can achieve high-sensitivity acoustic detection in a frequency range of 45–220 Hz, and a maximum acoustic pressure sensitivity of 115.88 mV/Pa at 54 Hz. Moreover, the minimum detection sound pressure can achieve 539.2 μPa/Hz1/2@54 Hz. Therefore, the sensor has the advantages of high sensitivity, good repeatability, simple structure, easy processing, etc. It has a great development prospect in the low-frequency acoustic detection related application fields.
A novel low frequency acoustic sensor based on the cladding mode of large-angle tilted fiber Bragg grating (TFBG) is proposed and verified in this work. It mainly uses the characteristic that the coupling mode of the core and cladding mode in TFBG is easy to change when the TFBG experiences micro-bend, which will finally causes a dramatic drift in the spectrum. By combining a large-angle TFBG with the designed polyethylene terephthalate (PET) transducer diaphragm and cavity structure, an effective low-frequency acoustic sensing system is obtained in this work. Under the action of applied acoustic wave, the transducer membrane will have periodic vibrations, which will makes the fixed TFBG dynamically bend, directly leading to a wavelength shift of the cladding mode spectrum. The experimental results show that the sensing system can achieve high-sensitivity acoustic detection in a frequency range of 45–220 Hz, and a maximum acoustic pressure sensitivity of 115.88 mV/Pa at 54 Hz. Moreover, the minimum detection sound pressure can achieve 539.2 μPa/Hz1/2@54 Hz. Therefore, the sensor has the advantages of high sensitivity, good repeatability, simple structure, easy processing, etc. It has a great development prospect in the low-frequency acoustic detection related application fields.
2023, 72(12): 124401.
doi: 10.7498/aps.72.20230354
Abstract:
By using non-equilibrium Green’s function method, we investigate the thermoelectric properties of molecular junctions based on acene-linked graphene nanoribbons. The effects of the length of the acene molecule, the contact position between the acene molecule and graphene nanoribbon electrode on the thermoelectric parameters are mainly considered in this work. It is found that the phonon contribution is dominant in the thermal conductance corresponding to the maximum of the thermoelectric figure of merit (ZTmax). As the length of the acene molecule increases, the phonon thermal conductance decreases monotonically, and eventually becomes almost independent of the acene molecule’ length. When the acene molecules contact the middle (upper) part of the left (right) electrode of graphene nanoribbon, the corresponding ZTmax is the highest. However, when the acene molecules contact the middle (middle) part of the left (right) electrode of graphene nanoribbons, the corresponding ZTmax is the lowest. As the temperature increases, ZTmax has a monotonically increasing tendency, regardless of the contact position. With the increase of the length of the acene molecule, the chemical potential corresponding to ZTmax becomes closer to the intrinsic Fermi level. The above findings may provide the valuable reference for the future design of thermoelectric devices based on the acene molecular junctions.
By using non-equilibrium Green’s function method, we investigate the thermoelectric properties of molecular junctions based on acene-linked graphene nanoribbons. The effects of the length of the acene molecule, the contact position between the acene molecule and graphene nanoribbon electrode on the thermoelectric parameters are mainly considered in this work. It is found that the phonon contribution is dominant in the thermal conductance corresponding to the maximum of the thermoelectric figure of merit (ZTmax). As the length of the acene molecule increases, the phonon thermal conductance decreases monotonically, and eventually becomes almost independent of the acene molecule’ length. When the acene molecules contact the middle (upper) part of the left (right) electrode of graphene nanoribbon, the corresponding ZTmax is the highest. However, when the acene molecules contact the middle (middle) part of the left (right) electrode of graphene nanoribbons, the corresponding ZTmax is the lowest. As the temperature increases, ZTmax has a monotonically increasing tendency, regardless of the contact position. With the increase of the length of the acene molecule, the chemical potential corresponding to ZTmax becomes closer to the intrinsic Fermi level. The above findings may provide the valuable reference for the future design of thermoelectric devices based on the acene molecular junctions.
2023, 72(12): 125201.
doi: 10.7498/aps.72.20222014
Abstract:
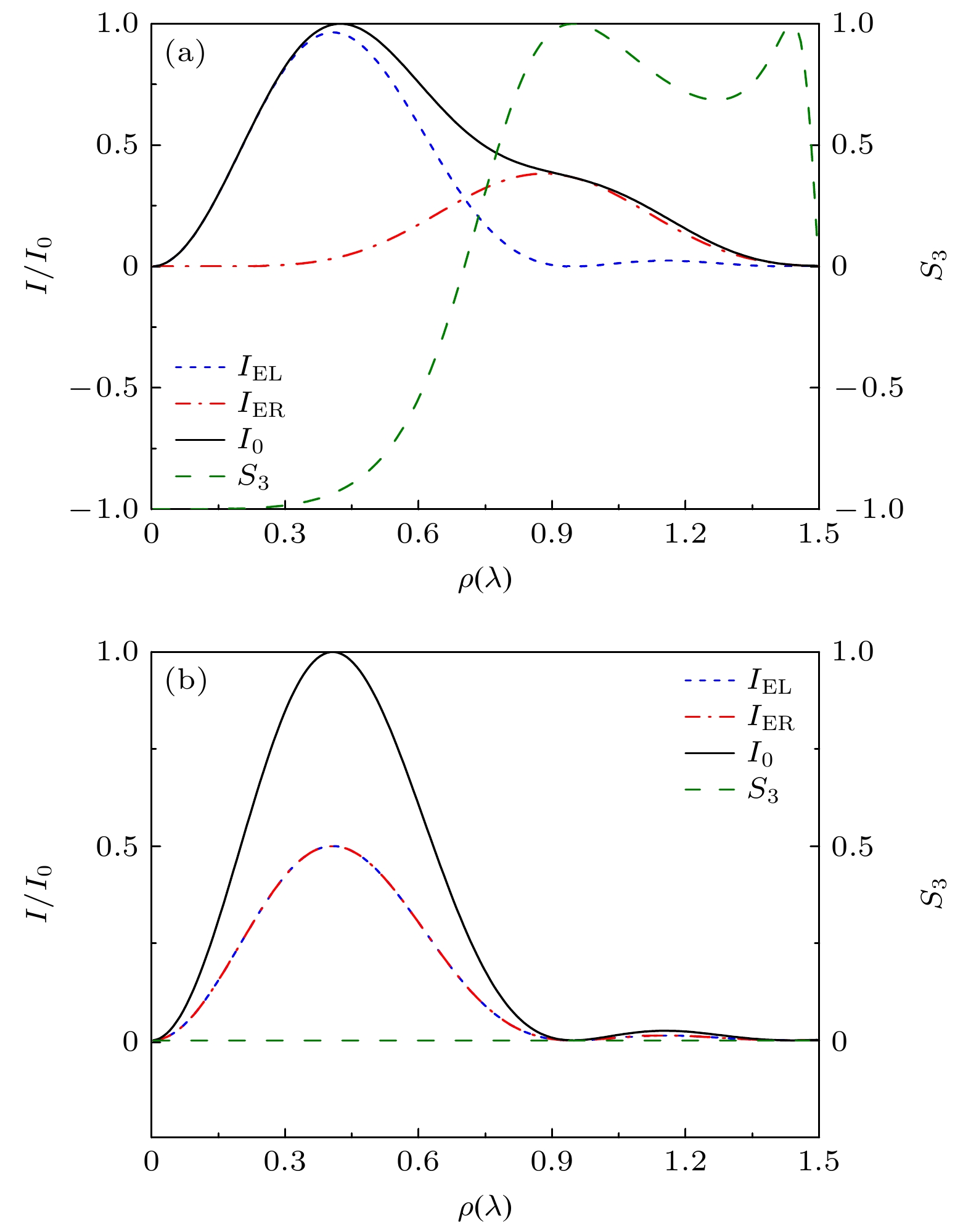
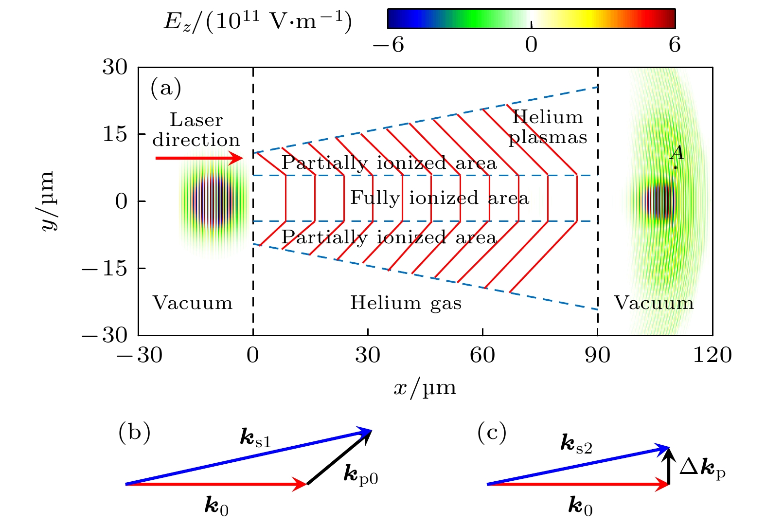
The mechanism of photon acceleration driven by the near-forward scattering (NFS) in the interaction between an intense laser and under-dense plasmas is studied by particle-in-cell (PIC) simulation. This mechanism utilizes tunneling ionization effect to stimulate electron plasma waves when the intense laser pulse propagates in under-dense plasmas. The electron plasma density is inhomogeneous both in longitudinal and transverse direction. In the longitudinal direction, a steep ionized electron density front is generated by incident laser ionizing the helium gas. Around the ionization front, the incident laser interacts with electron plasma waves, thus generating the first kind of NFS waves. Compared with the frequency of laser, the frequency of NFS wave increases. This is the first characteristic peak in the frequency spectrum. In the transverse direction, the electron plasma waves have different phase velocities, which makes the incident laser pulse undergo NFS process and upshift its frequency. This is the second characteristic peak in the frequency spectrum. Owing to the fact that the electron density inhomogeneity is much larger than the electron density perturbation of electron plasma wave, the scattering model and dispersion relationships, which are based on perturbation theory like stimulated Raman scattering, are no longer applicable to this case. Our further study shows that the incident laser, electron density plasma waves and NFS waves still satisfy the energy conservation and momentum conservation that is, they still satisfy the three-wave coupling relationship of momentum and energy conservation under the condition of heterogeneous density, thus explaining the appearance of two characteristic peaks in the frequency spectrum and their growth in the wave-vector space. This study has significant reference to the spectrum evolution when the intense laser pulse propagates in under-dense plasma.
The mechanism of photon acceleration driven by the near-forward scattering (NFS) in the interaction between an intense laser and under-dense plasmas is studied by particle-in-cell (PIC) simulation. This mechanism utilizes tunneling ionization effect to stimulate electron plasma waves when the intense laser pulse propagates in under-dense plasmas. The electron plasma density is inhomogeneous both in longitudinal and transverse direction. In the longitudinal direction, a steep ionized electron density front is generated by incident laser ionizing the helium gas. Around the ionization front, the incident laser interacts with electron plasma waves, thus generating the first kind of NFS waves. Compared with the frequency of laser, the frequency of NFS wave increases. This is the first characteristic peak in the frequency spectrum. In the transverse direction, the electron plasma waves have different phase velocities, which makes the incident laser pulse undergo NFS process and upshift its frequency. This is the second characteristic peak in the frequency spectrum. Owing to the fact that the electron density inhomogeneity is much larger than the electron density perturbation of electron plasma wave, the scattering model and dispersion relationships, which are based on perturbation theory like stimulated Raman scattering, are no longer applicable to this case. Our further study shows that the incident laser, electron density plasma waves and NFS waves still satisfy the energy conservation and momentum conservation that is, they still satisfy the three-wave coupling relationship of momentum and energy conservation under the condition of heterogeneous density, thus explaining the appearance of two characteristic peaks in the frequency spectrum and their growth in the wave-vector space. This study has significant reference to the spectrum evolution when the intense laser pulse propagates in under-dense plasma.
2023, 72(12): 125202.
doi: 10.7498/aps.72.20222390
Abstract:
The compositions, thermodynamic properties and transport coefficients of the argon-carbon-silicon plasma at local thermodynamic equilibrium and local chemical equilibrium in temperatures range of 300-30000 K and pressure range of 0.1 to 10 atm and are different mixture ratios are investigated in this work. The condensed phases and Debye-Hückel corrections are both taken into account. The equilibrium component in gas phase is calculated by mass action law (Saha’s law and Gulberg-Waage’s law), Dalton’s partial pressure law, conservation of the elements and charge quasi-neutral equation, and at the same time the condensed species is calculated under the assumption of local phase equilibrium. Thermodynamic properties including density, enthalpy and specific heat are evaluated through a classical statistical mechanics approach. The transport coefficient calculations including viscosity, electrical conductivity, and thermal conductivity are carried out by using a third-order approximation (second-order for viscosity) of the Chapman-Enskog method. Collision integrals are obtained by using the relatively new data. The results show that the concentration and ratio of blend of C vapor and Si vapor can greatly affect the properties of the Ar plasma owing to the introduced C and Si vapor’ s own properties and their new reactions. While the pressure influences those properties through the shift of chemical equilibrium and the change of total number density. In addition, the introduction of condensed species leads the thermodynamic properties and transport coefficients of the lower temperature plasma to become almost the same as those of pure argon, and causes discontinuous points at phase-transition temperature. The final calculation results are in good agreement with those in the literature, and the slight difference in transport coefficient between them can be explained by the different selection of interaction potentials. The results are expected to provide reliable basic data for the numerical simulation of argon-carbon-silicon plasma.
The compositions, thermodynamic properties and transport coefficients of the argon-carbon-silicon plasma at local thermodynamic equilibrium and local chemical equilibrium in temperatures range of 300-30000 K and pressure range of 0.1 to 10 atm and are different mixture ratios are investigated in this work. The condensed phases and Debye-Hückel corrections are both taken into account. The equilibrium component in gas phase is calculated by mass action law (Saha’s law and Gulberg-Waage’s law), Dalton’s partial pressure law, conservation of the elements and charge quasi-neutral equation, and at the same time the condensed species is calculated under the assumption of local phase equilibrium. Thermodynamic properties including density, enthalpy and specific heat are evaluated through a classical statistical mechanics approach. The transport coefficient calculations including viscosity, electrical conductivity, and thermal conductivity are carried out by using a third-order approximation (second-order for viscosity) of the Chapman-Enskog method. Collision integrals are obtained by using the relatively new data. The results show that the concentration and ratio of blend of C vapor and Si vapor can greatly affect the properties of the Ar plasma owing to the introduced C and Si vapor’ s own properties and their new reactions. While the pressure influences those properties through the shift of chemical equilibrium and the change of total number density. In addition, the introduction of condensed species leads the thermodynamic properties and transport coefficients of the lower temperature plasma to become almost the same as those of pure argon, and causes discontinuous points at phase-transition temperature. The final calculation results are in good agreement with those in the literature, and the slight difference in transport coefficient between them can be explained by the different selection of interaction potentials. The results are expected to provide reliable basic data for the numerical simulation of argon-carbon-silicon plasma.
2023, 72(12): 126101.
doi: 10.7498/aps.72.20230230
Abstract:
Solar cell is an important energy source for spacecraft. It is significant to study its resistance to space particle irradiation. In the past ten years, the research hotspot of solar cells has focused on the perovskite solar cells (PSCs) because of their advantages of long carrier lifetime, high light absorption performance, low cost and easy preparation. By now the photoelectric conversion efficiency of PSCs has reached to 25.5%. Recently, PSCs were found to be robust to space particle irradiation, which makes them possible to be used in the satellites and spacecraft. The antiradiation effects of perovskite solar cells with different cell structures and preparation processes have been studied, but the obtained experimental results are different. In this work, the experiments on radiations of protons, electrons and gamma rays of the same PSCs are carried out. The photoelectric characteristics before and after space particle irradiation are characterized, so as to analyze the radiation effect of PSCs. The experimental results show that the PSCs are sensitive to electron radiation and gamma radiation. With the increase of electron fluence and gamma total dose, the degradation of photoelectric characteristics of PSCs intensifies gradually. For gamma radiation, PSCs exhibit the most significantly radiation sensitivity. The PSCs are found to be robust to the proton irradiation. With the increase of proton fluence, the short-circuit currents of PSCs change little, the open-circuit voltages remain essentially unchanged, and the cell efficiency can be stably maintained at 94% of the pre-irradiation performance. Based on the above experimental data, a semi-empirical formula is established, and the radiation damage law of PSCs can be predicted with less experimental data, which will support the space application of PSCs.
Solar cell is an important energy source for spacecraft. It is significant to study its resistance to space particle irradiation. In the past ten years, the research hotspot of solar cells has focused on the perovskite solar cells (PSCs) because of their advantages of long carrier lifetime, high light absorption performance, low cost and easy preparation. By now the photoelectric conversion efficiency of PSCs has reached to 25.5%. Recently, PSCs were found to be robust to space particle irradiation, which makes them possible to be used in the satellites and spacecraft. The antiradiation effects of perovskite solar cells with different cell structures and preparation processes have been studied, but the obtained experimental results are different. In this work, the experiments on radiations of protons, electrons and gamma rays of the same PSCs are carried out. The photoelectric characteristics before and after space particle irradiation are characterized, so as to analyze the radiation effect of PSCs. The experimental results show that the PSCs are sensitive to electron radiation and gamma radiation. With the increase of electron fluence and gamma total dose, the degradation of photoelectric characteristics of PSCs intensifies gradually. For gamma radiation, PSCs exhibit the most significantly radiation sensitivity. The PSCs are found to be robust to the proton irradiation. With the increase of proton fluence, the short-circuit currents of PSCs change little, the open-circuit voltages remain essentially unchanged, and the cell efficiency can be stably maintained at 94% of the pre-irradiation performance. Based on the above experimental data, a semi-empirical formula is established, and the radiation damage law of PSCs can be predicted with less experimental data, which will support the space application of PSCs.
2023, 72(12): 126201.
doi: 10.7498/aps.72.20230084
Abstract:
Phosphorene, a new two-dimensional material beyond graphene, has received increasing attention in recent years owing to its superior physical properties of significant utility. Herein we carry out molecular dynamics simulations to systematically study the mechanical and thermal properties of phosphorene under shear loadings. It is found that the shear modulus of phosphorene is about 22 GPa in both the armchair direction and zigzag direction. The fracture strength and ultimate strain of phosphorene can be significantly reduced owing to stronger thermal vibrations of atoms at a higher temperature. The thermal conductivity of pristine phosphorene at room temperature is obtained, specifically, it is 18.57 W·m–1·K–1 along the armchair direction and 52.52 W·m–1·K–1 in the zigzag direction. When either an armchair- or a zigzag-oriented shear strain is applied, the armchair-oriented thermal conductivity decreases monotonically with the strain increasing. Whereas the zigzag-oriented thermal conductivity exhibits a non-monotonic behavior. The strain-induced redshift occurs in the high-frequency phonons of out-of-plane flexural modes in the phonon density of states of the sheared phosphorene. In addition, the buckled structure of phosphorene will lead the deformation characteristics under the shear strain differ from those of the planar structure such as graphene, which has a significant influence on the lattice anharmonicity and phonon scattering. It is believed that the interplay between the shift of phonon density of states and the change of phonon scattering channels results in the unique thermal transport behavior of phosphorene under shear deformation. The findings provide an insight into the understanding of the mechanical and thermal properties of phosphorene, and have significance for the future applications in phosphorene-based novel devices.
Phosphorene, a new two-dimensional material beyond graphene, has received increasing attention in recent years owing to its superior physical properties of significant utility. Herein we carry out molecular dynamics simulations to systematically study the mechanical and thermal properties of phosphorene under shear loadings. It is found that the shear modulus of phosphorene is about 22 GPa in both the armchair direction and zigzag direction. The fracture strength and ultimate strain of phosphorene can be significantly reduced owing to stronger thermal vibrations of atoms at a higher temperature. The thermal conductivity of pristine phosphorene at room temperature is obtained, specifically, it is 18.57 W·m–1·K–1 along the armchair direction and 52.52 W·m–1·K–1 in the zigzag direction. When either an armchair- or a zigzag-oriented shear strain is applied, the armchair-oriented thermal conductivity decreases monotonically with the strain increasing. Whereas the zigzag-oriented thermal conductivity exhibits a non-monotonic behavior. The strain-induced redshift occurs in the high-frequency phonons of out-of-plane flexural modes in the phonon density of states of the sheared phosphorene. In addition, the buckled structure of phosphorene will lead the deformation characteristics under the shear strain differ from those of the planar structure such as graphene, which has a significant influence on the lattice anharmonicity and phonon scattering. It is believed that the interplay between the shift of phonon density of states and the change of phonon scattering channels results in the unique thermal transport behavior of phosphorene under shear deformation. The findings provide an insight into the understanding of the mechanical and thermal properties of phosphorene, and have significance for the future applications in phosphorene-based novel devices.
2023, 72(12): 126401.
doi: 10.7498/aps.72.20230020
Abstract:
The electrical transport properties of anatase TiO2 polycrystalline have been systematically investigated by using high pressure in-situ impedance spectroscopy measurements. The anomalous behaviors of resistance, parameter factor and relaxation frequency of grain and grain boundary can be found at 6.4, 11.5 and 24.6 GPa. The results indicate that the first two discontinuous points (6.4 and 11.5 GPa) correspond to the phase transitions of TiO2 from anatase to α-PbO2 and then to baddeleyite, respectively. Above 24.6 GPa, TiO2 completely transforms into the baddeleyite phase. Based on the change of grain resistance and grain boundary resistance under pressure, intrinsic defects play a crucial effect in the electrical transport properties of TiO2 at high pressures. At 6.4 GPa, the occurrence of phase transition gives rise to the variation of defects’ role, from a deep energy level defect (as a recombination centre) changes into a shallow energy level defect (providing carriers for the conduction and valence bands). In addition, the position of defect in energy band changes with pressure increasing. The phase transition of TiO2 at 6.4 GPa is the rearrangement of TiO6 octahedron, while the other one at 11.5 GPa can be attributed to the migration of oxygen Schottky defects from inner to surface. Combining the packing factor and relaxation frequency, the electrical transport properties of TiO2 under pressure are revealed, the packing factor and the relaxation frequency are closely related to the mobility and the carrier concentration, respectively. The activation energy of grain and grain boundary decrease with the pressure elevating, indicating that the transport of carriers in grain and grain boundary become easier under pressure, and the former is smoother than the latter owing to the activation energy of grain being smaller than that of grain boundary in the same pressure range. Moreover, the relaxation frequency ratio of TiO2 grain and TiO2 grain boundary decreases with pressure increasing, and the grain boundary effect under high pressure is not obvious.
The electrical transport properties of anatase TiO2 polycrystalline have been systematically investigated by using high pressure in-situ impedance spectroscopy measurements. The anomalous behaviors of resistance, parameter factor and relaxation frequency of grain and grain boundary can be found at 6.4, 11.5 and 24.6 GPa. The results indicate that the first two discontinuous points (6.4 and 11.5 GPa) correspond to the phase transitions of TiO2 from anatase to α-PbO2 and then to baddeleyite, respectively. Above 24.6 GPa, TiO2 completely transforms into the baddeleyite phase. Based on the change of grain resistance and grain boundary resistance under pressure, intrinsic defects play a crucial effect in the electrical transport properties of TiO2 at high pressures. At 6.4 GPa, the occurrence of phase transition gives rise to the variation of defects’ role, from a deep energy level defect (as a recombination centre) changes into a shallow energy level defect (providing carriers for the conduction and valence bands). In addition, the position of defect in energy band changes with pressure increasing. The phase transition of TiO2 at 6.4 GPa is the rearrangement of TiO6 octahedron, while the other one at 11.5 GPa can be attributed to the migration of oxygen Schottky defects from inner to surface. Combining the packing factor and relaxation frequency, the electrical transport properties of TiO2 under pressure are revealed, the packing factor and the relaxation frequency are closely related to the mobility and the carrier concentration, respectively. The activation energy of grain and grain boundary decrease with the pressure elevating, indicating that the transport of carriers in grain and grain boundary become easier under pressure, and the former is smoother than the latter owing to the activation energy of grain being smaller than that of grain boundary in the same pressure range. Moreover, the relaxation frequency ratio of TiO2 grain and TiO2 grain boundary decreases with pressure increasing, and the grain boundary effect under high pressure is not obvious.
2023, 72(12): 126801.
doi: 10.7498/aps.72.20230012
Abstract:
Graphene thin films are often used to manufacture various optoelectronic nanodevices owing to their advantages such as light weight, small size, high quality factor, and good conductivity. So far, there have been few studies of the four-wave mixing characteristics in a bilayer graphene nanosystem, especially theoretical research. In this work, we study theoretically the four-wave mixing properties in a bilayer graphene nanosystem. Firstly, the analytical formula of the four-wave mixing signal is derived by quantum mechanical method, which is divided into three steps. 1) Total Hamiltonian of the system is written in the rotating wave approximation. 2) By using the Heisenberg equation of motion and the commutation relations between different operators, the corresponding density matrix equations are obtained. 3) To solve these density matrix equations, we make an ansatz and obtain the analytical formula of the four-wave mixing signal. Secondly, we explore the dependence of the four-wave mixing signal on the phonon-exciton coupling strength, pumping intensity and the detuning between the exciton and the pump field. The calculated results show that the lineshape of four-wave mixing spectrum can be switched among two-peaked, three-peaked, four-peaked, five-peaked and six-peaked by adjusting the phonon-exciton coupling strength, the pumping intensity, and the detuning between the exciton and the pump field. In a weak phonon-exciton coupling regime (i.e. phonon-exciton coupling strength g < dephasing rate of exciton Γ2), the intensity of the left peak and right peak of four-wave mixing signal first increase and then decrease with the increase of the pumping intensity\begin{document}$ {\varOmega }_{{\text{pu}}}^{\text{2}} $\end{document} ![]()
![]()
. In the intermediate and strong phonon-exciton coupling regime (i.e. g = Γ2 and g > Γ2), the four-wave mixing spectrum exhibits a two-peaked structure. The maximum values of these two peaks increase as \begin{document}$ {\varOmega }_{{\text{pu}}}^{\text{2}} $\end{document} ![]()
![]()
increases, and their spacing is equal to 2g. Especially, for a given pumping intensity \begin{document}$ {\varOmega }_{{\text{pu}}}^{\text{2}} $\end{document} ![]()
![]()
(= 10 THz2), the maximum value of the peak for g = 4 THz becomes 0.4% of that for g = 1 THz, indicating that the phonon-exciton coupling inhibits the enhancement of the four-wave mixing signal to a certain extent. Our findings can not only offer an efficient way to measure the phonon-exciton coupling strength in the bilayer graphene system, but also help one to further explore the underlying physical mechanism in such a nanosystem.
Graphene thin films are often used to manufacture various optoelectronic nanodevices owing to their advantages such as light weight, small size, high quality factor, and good conductivity. So far, there have been few studies of the four-wave mixing characteristics in a bilayer graphene nanosystem, especially theoretical research. In this work, we study theoretically the four-wave mixing properties in a bilayer graphene nanosystem. Firstly, the analytical formula of the four-wave mixing signal is derived by quantum mechanical method, which is divided into three steps. 1) Total Hamiltonian of the system is written in the rotating wave approximation. 2) By using the Heisenberg equation of motion and the commutation relations between different operators, the corresponding density matrix equations are obtained. 3) To solve these density matrix equations, we make an ansatz and obtain the analytical formula of the four-wave mixing signal. Secondly, we explore the dependence of the four-wave mixing signal on the phonon-exciton coupling strength, pumping intensity and the detuning between the exciton and the pump field. The calculated results show that the lineshape of four-wave mixing spectrum can be switched among two-peaked, three-peaked, four-peaked, five-peaked and six-peaked by adjusting the phonon-exciton coupling strength, the pumping intensity, and the detuning between the exciton and the pump field. In a weak phonon-exciton coupling regime (i.e. phonon-exciton coupling strength g < dephasing rate of exciton Γ2), the intensity of the left peak and right peak of four-wave mixing signal first increase and then decrease with the increase of the pumping intensity
2023, 72(12): 127101.
doi: 10.7498/aps.72.20230170
Abstract:
Germanane is expected to substitute for existing silicon-based or germanium-based material. Germanane is regarded as an ideal candidate for next-generation semiconductor material due to its suitable band gap, high electron mobility, better environmental stability, small electrical noise and ultrathin geometry. In this work, the effects of different configuration and concentration of hydrogen vacancy cluster on the electronic properties of germanane and its molecular doping are systematically investigated through the first-principles method based on density functional theory and none-quilibrium Green’s function. The results show that the hydrogen vacancy clusters with different configurations can induce magnetism with different characteristics in GermananeDehydrogenated-xH (GD-xH) system, and the magnetic moments are consistent with the predictions of Lieb’s theorem. Moreover, the p-type-liked doping effects caused by defective state under GD-xH (x = 1, 4, 6) systems can be realized in their spin-down band structures. The corresponding energy values for exciting electron would gradually decrease with the increase of the concentration of hydrogen vacancy clusters under different configurations. After adsorbing tetrathiafulvalene (TTF) molecules, G/TTF and GD-xH/TTF (x = 1, 2, 6) systems exhibit molecular doping characteristics induced by the TTF molecules. More importantly, for GD-xH/TTF (x = 1, 6) system, the different molecular doping types can be introduced in spin-up and spin-down band structures due to the hybridization composed of molecular orbitals and defective states under spin polarization. Further calculations of their transport properties indicate that germanane-based device with Armchair and Zigzag configurations both exhibit intensive isotropy, and the performance of I-V characteristics can be dramatically enhanced owing to the carrier doping by TTF adsorption.
Germanane is expected to substitute for existing silicon-based or germanium-based material. Germanane is regarded as an ideal candidate for next-generation semiconductor material due to its suitable band gap, high electron mobility, better environmental stability, small electrical noise and ultrathin geometry. In this work, the effects of different configuration and concentration of hydrogen vacancy cluster on the electronic properties of germanane and its molecular doping are systematically investigated through the first-principles method based on density functional theory and none-quilibrium Green’s function. The results show that the hydrogen vacancy clusters with different configurations can induce magnetism with different characteristics in GermananeDehydrogenated-xH (GD-xH) system, and the magnetic moments are consistent with the predictions of Lieb’s theorem. Moreover, the p-type-liked doping effects caused by defective state under GD-xH (x = 1, 4, 6) systems can be realized in their spin-down band structures. The corresponding energy values for exciting electron would gradually decrease with the increase of the concentration of hydrogen vacancy clusters under different configurations. After adsorbing tetrathiafulvalene (TTF) molecules, G/TTF and GD-xH/TTF (x = 1, 2, 6) systems exhibit molecular doping characteristics induced by the TTF molecules. More importantly, for GD-xH/TTF (x = 1, 6) system, the different molecular doping types can be introduced in spin-up and spin-down band structures due to the hybridization composed of molecular orbitals and defective states under spin polarization. Further calculations of their transport properties indicate that germanane-based device with Armchair and Zigzag configurations both exhibit intensive isotropy, and the performance of I-V characteristics can be dramatically enhanced owing to the carrier doping by TTF adsorption.
2023, 72(12): 127102.
doi: 10.7498/aps.72.20230043
Abstract:
Topological electronic materials exhibit many novel physical properties, such as low dissipation transport and high carrier mobility. These extraordinary properties originate from their non-trivial topological electronic structures in momentum space. In recent years, topological phase transitions based on topological electronic materials have gradually become one of the hot topics in condensed matter physics. Using first-principles calculations, we explore the topological phase transitions driven by in-plane strain in ternary pyrochlore oxide Tl2Ta2O7. Firstly, we analyze the atomic-orbital-resolved band structure and find that the O (px+py) and pz orbitals of the system near the Fermi level have band inversion, indicating the emergence of topological phase transitions in the system. Then the tight-binding models are constructed to calculate the Z2 topological invariants, which can determine the topologically non-trivial feature of the system. Finally, topological properties such as surface states and a three-dimensional Dirac cone are studied. It is found that Tl2Ta2O7 without strain is a semimetal with a quadratic band touching point at Fermi level, while the in-plane strain can drive the topological phase transition via breaking crystalline symmetries. When the system is under the –1% in-plane compression strain and without considering the spin orbit coupling (SOC), the application of strain results in two triply degenerate nodal points formed in the –Z to Γ direction and Γ to Z direction, respectively. When the SOC is included, there are two fourfold degenerate Dirac points on the –Z to Γ path and Γ to Z path, respectively. Thus, the –1% in-plane compression strain makes the system transit from the quadratic contact point semimetal to a Dirac semimetal. When 1% in-plane expansion strain is applied and the SOC is neglected, there exists one band intersection along Y→Γ. When the SOC is taken into consideration, the gap is opened. Therefore, the 1% in-plane expansion strain drives Tl2Ta2O7 into a strong topological insulator. In addition, the system is also expected to have strong correlation effect and superconductivity due to the possible flat band. This work can guide the study of topological phase transitions in three-dimensional materials and provide a good material platform for the design of low-dissipation electronic devices.
Topological electronic materials exhibit many novel physical properties, such as low dissipation transport and high carrier mobility. These extraordinary properties originate from their non-trivial topological electronic structures in momentum space. In recent years, topological phase transitions based on topological electronic materials have gradually become one of the hot topics in condensed matter physics. Using first-principles calculations, we explore the topological phase transitions driven by in-plane strain in ternary pyrochlore oxide Tl2Ta2O7. Firstly, we analyze the atomic-orbital-resolved band structure and find that the O (px+py) and pz orbitals of the system near the Fermi level have band inversion, indicating the emergence of topological phase transitions in the system. Then the tight-binding models are constructed to calculate the Z2 topological invariants, which can determine the topologically non-trivial feature of the system. Finally, topological properties such as surface states and a three-dimensional Dirac cone are studied. It is found that Tl2Ta2O7 without strain is a semimetal with a quadratic band touching point at Fermi level, while the in-plane strain can drive the topological phase transition via breaking crystalline symmetries. When the system is under the –1% in-plane compression strain and without considering the spin orbit coupling (SOC), the application of strain results in two triply degenerate nodal points formed in the –Z to Γ direction and Γ to Z direction, respectively. When the SOC is included, there are two fourfold degenerate Dirac points on the –Z to Γ path and Γ to Z path, respectively. Thus, the –1% in-plane compression strain makes the system transit from the quadratic contact point semimetal to a Dirac semimetal. When 1% in-plane expansion strain is applied and the SOC is neglected, there exists one band intersection along Y→Γ. When the SOC is taken into consideration, the gap is opened. Therefore, the 1% in-plane expansion strain drives Tl2Ta2O7 into a strong topological insulator. In addition, the system is also expected to have strong correlation effect and superconductivity due to the possible flat band. This work can guide the study of topological phase transitions in three-dimensional materials and provide a good material platform for the design of low-dissipation electronic devices.
2023, 72(12): 127301.
doi: 10.7498/aps.72.20230093
Abstract:
Original bulk phases of two-dimensional atomic crystal materials are layered. However, a few relevant researches show that some of two-dimensional material crystals have non-layered bulk phases. In this work we investigate monolayer CuSe which is non-layered, belonging in a new kind of honeycomb graphene analogue. Monolayer CuSe is not suitable for application in electronic devices because of its metallic nature. In order to find new two-dimensional atomic crystal materials with excellent performance suitable for application in electronic devices, we change CuSe from metal to semiconductor through external atom modification. The first principles study of density functional theory is conducted to ascertain the energy band structure of monolayer CuSe after second periodic atoms have been added to the top, center and bridge sites. The characteristics of monolayer CuSe with addition of Li or B atoms are studied, including energy band structure, the density of states, differential charge density, and crystal orbital Hamiltonian population. The results show that after adding Li atoms to CuSe, the CuSe transforms from metallic to semiconductive property at all three positions, and Li atom is more easily to be modified in the hexagonal center of CuSe, with band gap being about 1.77 eV, the Fermi level biased towards the top of the valence band. The CuSe with addition of Li atoms exhibits a p-type semiconductor property, so it is a direct bandgap semiconductor. Adding B atom to the top of Cu atom can also make CuSe semiconductive, with a band gap of about 1.2 eV, the conduction band minimum at the K point, and the valence band maximum at the Γ point. The CuSe with addition of B atoms belongs in an indirect band gap semiconductor, and the Fermi energy level is biased towards the conduction band minimum, exhibiting the characteristics of an n-type semiconductor. According to the results of differential charge density and crystal orbital Hamiltonian population, the B atom is bound to the top of the monolayer CuSe with the B-Se polar covalent bond. The first principle study reveals the realization of metal-to-semiconductor transition from monolayer CuSe to CuXSe (X = Li, B), and the calculation results also show that CuSe with addition of Li atoms or B atoms is likely to be used in future electronic devices.
Original bulk phases of two-dimensional atomic crystal materials are layered. However, a few relevant researches show that some of two-dimensional material crystals have non-layered bulk phases. In this work we investigate monolayer CuSe which is non-layered, belonging in a new kind of honeycomb graphene analogue. Monolayer CuSe is not suitable for application in electronic devices because of its metallic nature. In order to find new two-dimensional atomic crystal materials with excellent performance suitable for application in electronic devices, we change CuSe from metal to semiconductor through external atom modification. The first principles study of density functional theory is conducted to ascertain the energy band structure of monolayer CuSe after second periodic atoms have been added to the top, center and bridge sites. The characteristics of monolayer CuSe with addition of Li or B atoms are studied, including energy band structure, the density of states, differential charge density, and crystal orbital Hamiltonian population. The results show that after adding Li atoms to CuSe, the CuSe transforms from metallic to semiconductive property at all three positions, and Li atom is more easily to be modified in the hexagonal center of CuSe, with band gap being about 1.77 eV, the Fermi level biased towards the top of the valence band. The CuSe with addition of Li atoms exhibits a p-type semiconductor property, so it is a direct bandgap semiconductor. Adding B atom to the top of Cu atom can also make CuSe semiconductive, with a band gap of about 1.2 eV, the conduction band minimum at the K point, and the valence band maximum at the Γ point. The CuSe with addition of B atoms belongs in an indirect band gap semiconductor, and the Fermi energy level is biased towards the conduction band minimum, exhibiting the characteristics of an n-type semiconductor. According to the results of differential charge density and crystal orbital Hamiltonian population, the B atom is bound to the top of the monolayer CuSe with the B-Se polar covalent bond. The first principle study reveals the realization of metal-to-semiconductor transition from monolayer CuSe to CuXSe (X = Li, B), and the calculation results also show that CuSe with addition of Li atoms or B atoms is likely to be used in future electronic devices.
2023, 72(12): 127302.
doi: 10.7498/aps.72.20230198
Abstract:
Void embedded silicon-on-insulator (VESOI) substrate is a newly developed silicon-on-insulator (SOI) substrate for advanced complementary metal oxide semiconductor (CMOS) devices and integration technology. However, in the ion-cutting process for preparing the substrate, numerous hydrogen bubbles aggregate at the cut interface, which compresses the cavity structure and might cause the thin film above the cavity to be damaged and delaminated. Therefore, it is necessary to conduct in-depth research on the stress mechanism and process stability in the preparation of VESOI substrates. This study focuses on a single rectangular cavity structure and uses the fixed-supported beam theory to analyze its mechanical behavior during fabrication, and a three-dimensional model of cavity structure is constructed by using the finite element analysis tool. Through stress simulation, the failure mechanism of the cavity structure is identified, and the weak points are confirmed. The results show that the short side length (w), top silicon film thickness (t), and hydrogen bubble pressure are the main factors affecting the stress state of the top silicon film. When the w/t ratio exceeds 4–5, the silicon film will fracture owing to excessive tensile stress, and the fracture site is along the long side of the rectangular cavity. By increasing the thickness of the top silicon film slightly and adding support structures inside the cavity (to reduce w), this work successfully prepares high-quality 8-inch VESOI substrates that meet the requirements for the CMOS production line. The present study is expected to provide valuable idea for the development of integrated technologies relying on VESOI substrates.
Void embedded silicon-on-insulator (VESOI) substrate is a newly developed silicon-on-insulator (SOI) substrate for advanced complementary metal oxide semiconductor (CMOS) devices and integration technology. However, in the ion-cutting process for preparing the substrate, numerous hydrogen bubbles aggregate at the cut interface, which compresses the cavity structure and might cause the thin film above the cavity to be damaged and delaminated. Therefore, it is necessary to conduct in-depth research on the stress mechanism and process stability in the preparation of VESOI substrates. This study focuses on a single rectangular cavity structure and uses the fixed-supported beam theory to analyze its mechanical behavior during fabrication, and a three-dimensional model of cavity structure is constructed by using the finite element analysis tool. Through stress simulation, the failure mechanism of the cavity structure is identified, and the weak points are confirmed. The results show that the short side length (w), top silicon film thickness (t), and hydrogen bubble pressure are the main factors affecting the stress state of the top silicon film. When the w/t ratio exceeds 4–5, the silicon film will fracture owing to excessive tensile stress, and the fracture site is along the long side of the rectangular cavity. By increasing the thickness of the top silicon film slightly and adding support structures inside the cavity (to reduce w), this work successfully prepares high-quality 8-inch VESOI substrates that meet the requirements for the CMOS production line. The present study is expected to provide valuable idea for the development of integrated technologies relying on VESOI substrates.
2023, 72(12): 128101.
doi: 10.7498/aps.72.20230270
Abstract:
A 1.3-μm InAs quantum dot laser has been successfully fabricated on a GaAs(100) substrate by molecular beam epitaxy (MBE) technique through using InAs/GaAs digital alloy superlattices instead of the conventional InGaAs layer. The samples grown by conventional growth method and the digital alloy superlattice growth method are characterized by atomic force microscope (AFM) and photoluminescence (PL) spectroscopy. It is found that 8-period sample possesses a low quantum dot density and poor luminescence performance. With the increase of the number of growth periods, the quantum dot density of the sample increases and the luminous performance improves. This indicates that the quality of the grown sample improves with the increase of InAs/GaAs period of the InGaAs layer. When the total InAs/GaAs period is 32, the quantum dot density of the sample is high and the luminescence performance is good. After the experimental measurement, the sample DAL-0 fabricated by conventional growth method and the sample DAL-32 (32-periods InAs/GaAs digital alloy superlattices) are utilized to fabricate quantum dot laser by standard process. The performances of two types of quantum dot lasers obtained with different growth methods are characterized. It is found that the InAs quantum dot lasers fabricated by the sample grown by digital alloy superlattice method have good performances. Under continuous wave operation mode, the threshold current is 24 mA corresponding to a threshold current density of 75 A/cm2. The highest operation-temperature reaches 120 ℃. In addition, InAs quantum dot laser using digital alloy superlattice has good temperature stability. Its characteristic temperature is 55.4 K. Compared with the traditional laser, the InAs quantum dot laser grown by InAs/GaAs digital alloy superlattice has good performance in terms of threshold current density, output power and temperature stability, which indicates that high-quality laser can be obtained by this growth method. Using the InAs/GaAs digital alloy superlattice growth method, the InGaAs composition can be changed without changing the temperature of the source oven. Thus InAs quantum dot lasers with different luminescence wavelengths can be obtained through this growth method. The InAs/GaAs digital alloy superlattice structure can be used to realize different averaging of In content in the growth structure. The method provides a new idea for designing and growing the active region of quantum dot laser.
A 1.3-μm InAs quantum dot laser has been successfully fabricated on a GaAs(100) substrate by molecular beam epitaxy (MBE) technique through using InAs/GaAs digital alloy superlattices instead of the conventional InGaAs layer. The samples grown by conventional growth method and the digital alloy superlattice growth method are characterized by atomic force microscope (AFM) and photoluminescence (PL) spectroscopy. It is found that 8-period sample possesses a low quantum dot density and poor luminescence performance. With the increase of the number of growth periods, the quantum dot density of the sample increases and the luminous performance improves. This indicates that the quality of the grown sample improves with the increase of InAs/GaAs period of the InGaAs layer. When the total InAs/GaAs period is 32, the quantum dot density of the sample is high and the luminescence performance is good. After the experimental measurement, the sample DAL-0 fabricated by conventional growth method and the sample DAL-32 (32-periods InAs/GaAs digital alloy superlattices) are utilized to fabricate quantum dot laser by standard process. The performances of two types of quantum dot lasers obtained with different growth methods are characterized. It is found that the InAs quantum dot lasers fabricated by the sample grown by digital alloy superlattice method have good performances. Under continuous wave operation mode, the threshold current is 24 mA corresponding to a threshold current density of 75 A/cm2. The highest operation-temperature reaches 120 ℃. In addition, InAs quantum dot laser using digital alloy superlattice has good temperature stability. Its characteristic temperature is 55.4 K. Compared with the traditional laser, the InAs quantum dot laser grown by InAs/GaAs digital alloy superlattice has good performance in terms of threshold current density, output power and temperature stability, which indicates that high-quality laser can be obtained by this growth method. Using the InAs/GaAs digital alloy superlattice growth method, the InGaAs composition can be changed without changing the temperature of the source oven. Thus InAs quantum dot lasers with different luminescence wavelengths can be obtained through this growth method. The InAs/GaAs digital alloy superlattice structure can be used to realize different averaging of In content in the growth structure. The method provides a new idea for designing and growing the active region of quantum dot laser.
2023, 72(12): 128401.
doi: 10.7498/aps.72.20230328
Abstract:
The high-speed rotating superconducting rotor can be used as a sensor to measure angular speed or angular position. Mass unbalance and oblateness of superconducting rotor are the main error sources to measure angular speed or angular position. General Electric company has developed an superconducting rotor magnetic suspension device with an accuracy of 0.005° per hour, but its rotor structure is very complex. So it is difficult to process and assemble with extremely small mass-unbalance and small oblateness, which limits the further improvement of its accuracy. According to this, in this paper we introduce a magnetic support structure with a simple superconducting rotor compared with rotor made by General Electric company. The rotor sphere is a closed structure with no theoretical mass eccentricity. Its electromagnetic structure is simpler than General Electric company’s, and the stator coil is the torquer coil at the same time. The stator coil is used to accelerate the rotor, while the torquer is used to make the rotor erect. Based on the theory of superconducting electrodynamics and the finite element method, the characteristics of the magnetic suspension structure are analyzed. The magnetic field coupling effect of the stator and the suspension coils on the surface of the superconducting rotor are studied, and their influence on magnetic supporting force is also analyzed. The current direction of the two suspension coils should be opposite, otherwise the rotor will produce forced vibration, which will make it difficult to accelerate the superconducting rotor. Then the magnetic circuit theory and the finite element method are used to model the magnetic circuit of the magnetic levitation structure, and the critical carrying capacity of the magnetic suspension structure is calculated and the optimal suspension conditions are given. Finally, a method to optimize its carrying capacity is designed. Therefore, the currents of the suspension coils are controlled by the acceleration of superconducting cavity. Through this method, the maximum bearing capacity of the magnetic levitation structure can be increased by 78% compared with that of fixed optimal suspension current support. The analysis results provide a reference for the structural design and optimization of the superconducting rotor magnetic levitation system.
The high-speed rotating superconducting rotor can be used as a sensor to measure angular speed or angular position. Mass unbalance and oblateness of superconducting rotor are the main error sources to measure angular speed or angular position. General Electric company has developed an superconducting rotor magnetic suspension device with an accuracy of 0.005° per hour, but its rotor structure is very complex. So it is difficult to process and assemble with extremely small mass-unbalance and small oblateness, which limits the further improvement of its accuracy. According to this, in this paper we introduce a magnetic support structure with a simple superconducting rotor compared with rotor made by General Electric company. The rotor sphere is a closed structure with no theoretical mass eccentricity. Its electromagnetic structure is simpler than General Electric company’s, and the stator coil is the torquer coil at the same time. The stator coil is used to accelerate the rotor, while the torquer is used to make the rotor erect. Based on the theory of superconducting electrodynamics and the finite element method, the characteristics of the magnetic suspension structure are analyzed. The magnetic field coupling effect of the stator and the suspension coils on the surface of the superconducting rotor are studied, and their influence on magnetic supporting force is also analyzed. The current direction of the two suspension coils should be opposite, otherwise the rotor will produce forced vibration, which will make it difficult to accelerate the superconducting rotor. Then the magnetic circuit theory and the finite element method are used to model the magnetic circuit of the magnetic levitation structure, and the critical carrying capacity of the magnetic suspension structure is calculated and the optimal suspension conditions are given. Finally, a method to optimize its carrying capacity is designed. Therefore, the currents of the suspension coils are controlled by the acceleration of superconducting cavity. Through this method, the maximum bearing capacity of the magnetic levitation structure can be increased by 78% compared with that of fixed optimal suspension current support. The analysis results provide a reference for the structural design and optimization of the superconducting rotor magnetic levitation system.
2023, 72(12): 128701.
doi: 10.7498/aps.72.20230080
Abstract:
A metamaterial sensor implemented by using sample traps based on terahertz electromagnetically-induced-transparency-like (EIT-like) effect is proposed. The basic unit structure of the sensor is composed of a metal wire and a pair of split ring resonators (SRRs), which are coupled to produce EIT-like effect. The full width at half maximum of transparency peak is 178 GHz obtained at 1.067 THz, and the maximum transmittance of the transparency peak is 89.71%. The sensing characteristics of the structure are studied, and the sensitivity per unit volume is\begin{document}$178\;{\rm{G}}{\rm{H}}{\rm{z}}/({\rm{R}}{\rm{I}}{\rm{U}}{\cdot} {{\rm{m}}{\rm{m}}}^{3})$\end{document} ![]()
![]()
. The analysis of electric field distribution at the resonant frequency point of the metamaterial indicates that the electric field at the gap of the SRRs on both sides is strongest. Sample traps are constructed at the gap where the electric field is strongest. The photoresist is filled into the sample traps as the object to be measured, and 50 GHz frequency offset is successfully measured, verifying that the sample trap structure can be applied to sensing. With samples placed in the sample traps, the sample volume is reduced to the ultra-micro level, and the sensitivity per unit volume is increased to \begin{document}$5538\;{\rm{G}}{\rm{H}}{\rm{z}}/({\rm{R}}{\rm{I}}{\rm{U}}{\cdot} {{\rm{m}}{\rm{m}}}^{3})$\end{document} ![]()
![]()
, which is 31 times higher than original one. The successful identification of water, human skin and rat skin samples show that the metamaterial sensor implemented by using sample traps has potential applications in the field of ultra-micro detection.
A metamaterial sensor implemented by using sample traps based on terahertz electromagnetically-induced-transparency-like (EIT-like) effect is proposed. The basic unit structure of the sensor is composed of a metal wire and a pair of split ring resonators (SRRs), which are coupled to produce EIT-like effect. The full width at half maximum of transparency peak is 178 GHz obtained at 1.067 THz, and the maximum transmittance of the transparency peak is 89.71%. The sensing characteristics of the structure are studied, and the sensitivity per unit volume is
2023, 72(12): 128801.
doi: 10.7498/aps.72.20230081
Abstract:
Integrated perovskite/organic solar cells (IPOSCs) based on CH3NH3PbI3/PM6:Y6(BTP-4F) are successfully prepared through process innovation and thin film optimization technology. The quality of CH3NH3PbI3/PM6:Y6 mixed films is greatly optimized, and the interlayer ohmic contact is obtained by regulating the additive DIO and annealing treatment. At the same time, the mobility of holes and electrons in the organic layer in the near infrared region are, respectively, 8.3×10–3 cm2/(V·s) and 8.8×10–3 cm2/(V·s), which can match the mobility of holes and electrons in the visible perovskite layer, achieving the carrier transport balance in the microscopic pathway. The device has high short-circuit current density Jsc and high filling factor FF. In addition, by optimizing the mass ratio of polymer non-fullerene system PM6:Y6 to form a film, the density of non-radiation recombination sites and carrier recombination in the film are significantly reduced, making the extraction and transport of electrons and holes more efficient, and providing greater driving force to improve carrier transport. At the same time, a wider depletion region is formed to inhibit carrier recombination and increase the open-circuit voltage Voc. The short-circuit current density of the optimized integrated solar cell increases to 25.88 A/cm2, the open-circuit voltage Voc increases to 1.18 V, the filling factor FF reaches 80%, the optical response expands to 950 nm, the external quantum efficiency reaches 90% in the visible region, and the optimal energy conversion efficiency is as high as 24.42%. This is one of the highest efficiencies reported in IPOSCs. The results show that it is an effective method to enhance the near-infrared light absorption of perovskite solar cells and improve the performance of IPOSCs by combining the materials in visible region and the polymer non-fullerene system in near infrared region and optimizing the device structure. It lays a theoretical foundation for developing high efficiency IPOSCs in the future.
Integrated perovskite/organic solar cells (IPOSCs) based on CH3NH3PbI3/PM6:Y6(BTP-4F) are successfully prepared through process innovation and thin film optimization technology. The quality of CH3NH3PbI3/PM6:Y6 mixed films is greatly optimized, and the interlayer ohmic contact is obtained by regulating the additive DIO and annealing treatment. At the same time, the mobility of holes and electrons in the organic layer in the near infrared region are, respectively, 8.3×10–3 cm2/(V·s) and 8.8×10–3 cm2/(V·s), which can match the mobility of holes and electrons in the visible perovskite layer, achieving the carrier transport balance in the microscopic pathway. The device has high short-circuit current density Jsc and high filling factor FF. In addition, by optimizing the mass ratio of polymer non-fullerene system PM6:Y6 to form a film, the density of non-radiation recombination sites and carrier recombination in the film are significantly reduced, making the extraction and transport of electrons and holes more efficient, and providing greater driving force to improve carrier transport. At the same time, a wider depletion region is formed to inhibit carrier recombination and increase the open-circuit voltage Voc. The short-circuit current density of the optimized integrated solar cell increases to 25.88 A/cm2, the open-circuit voltage Voc increases to 1.18 V, the filling factor FF reaches 80%, the optical response expands to 950 nm, the external quantum efficiency reaches 90% in the visible region, and the optimal energy conversion efficiency is as high as 24.42%. This is one of the highest efficiencies reported in IPOSCs. The results show that it is an effective method to enhance the near-infrared light absorption of perovskite solar cells and improve the performance of IPOSCs by combining the materials in visible region and the polymer non-fullerene system in near infrared region and optimizing the device structure. It lays a theoretical foundation for developing high efficiency IPOSCs in the future.









