2023 Vol. 72, No. 13
column
- GENERAL
- NUCLEAR PHYSICS
- ATOMIC AND MOLECULAR PHYSICS
- ELECTROMAGNETISM, OPTICS, ACOUSTICS, HEAT TRANSFER, CLASSICAL MECHANICS, AND FLUID DYNAMICS
- PHYSICS OF GASES, PLASMAS, AND ELECTRIC DISCHARGES
- CONDENSED MATTER: STRUCTURAL, MECHANICAL, AND THERMAL PROPERTIES
- CONDENSED MATTER: ELECTRONIC STRUCTURE, ELECTRICAL, MAGNETIC, AND OPTICAL PROPERTIES
- INTERDISCIPLINARY PHYSICS AND RELATED AREAS OF SCIENCE AND TECHNOLOGY
- GEOPHYSICS, ASTRONOMY, AND ASTROPHYSICS
Display Method:
2023, 72(13): 130301.
doi: 10.7498/aps.72.20230381
Abstract:
The mixed spin-(1/2, 5/2) Ising-XXZ model on quasi-one-dimensional lattices can be used to study the properties of some materials (such as heterotrimetallic Fe-Mn-Cu coordination polymer), and the study on this model is beneficial to the practical applications of such materials in the field of quantum information. The quantum coherence and mutual information are calculated by the transfer matrix method, and the effects of Ising interaction, temperature and magnetic field on them are discussed. The results show that the quantum coherence decreases gradually with the increase of Ising interaction at extremely low temperatures, while there is one minimum value of mutual information in an isotropic system and there appear four minimum values in an anisotropic\begin{document}$\left( {\varDelta = 4} \right)$\end{document} ![]()
![]()
system. Furthermore, quantum coherence and mutual information jump abruptly at quantum phase transition points where the first derivatives of them exhibit singular behaviors. The quantum coherence and mutual information at finite temperatures are also studied. As the temperature increases, they decrease monotonically in a weak magnetic field, but they first increase and then decrease in a higher magnetic field, which is caused by the competition between thermal fluctuation and magnetic field. Compared with quantum mutual information, quantum coherence exists over a wider range of magnetic field and temperature, which can be easily manipulated experimentally.
The mixed spin-(1/2, 5/2) Ising-XXZ model on quasi-one-dimensional lattices can be used to study the properties of some materials (such as heterotrimetallic Fe-Mn-Cu coordination polymer), and the study on this model is beneficial to the practical applications of such materials in the field of quantum information. The quantum coherence and mutual information are calculated by the transfer matrix method, and the effects of Ising interaction, temperature and magnetic field on them are discussed. The results show that the quantum coherence decreases gradually with the increase of Ising interaction at extremely low temperatures, while there is one minimum value of mutual information in an isotropic system and there appear four minimum values in an anisotropic
2023, 72(13): 130302.
doi: 10.7498/aps.72.20221972
Abstract:
In response to the demand for identity authentication in quantum secure direct communication, this paper proposes a quantum secure direct communication scheme based on a mixture of single photon and Bell state, by combining the bidirectional identity authentication. Before communication begins, both parties share a series of secret information to prepare a series of single photon and Bell state particles. Encoding four single photons and four Bell states yields eight types of encoded information, followed by identity authentication. The first step in identity authentication is to use a single photon to verify the legitimacy of the receiver. If the error exceeds the given threshold, it indicates the presence of eavesdropping. Otherwise, the channel is safe. Then, Bell state particles are used to verify the legitimacy of the sender, and the threshold is also used to determine whether there is eavesdropping. The present method is the same as previous one. If the error rate is higher than the given threshold, it indicates the existence of third-party eavesdropping. Otherwise, it indicates that the channel is secure. As for the specific verification method, it will be explained in detail in the article. Afterwards, Bell state particles are mixed with a single photon as a transmission carrier, and eavesdropping detection particles are added whenever the quantum state is sent. However, once the eavesdropper intercepts the transmitted particles, owing to incomplete information obtained, the eavesdropper is unable to recover the original information, and the eavesdropping behavior will be immediately detected, thus terminating communication. In this scheme, single photon and Bell states are fully utilized, and hybrid communication can effectively improve transmission efficiency, encoding capability, and quantum bit utilization. Security analysis shows that this scheme can resist common external and internal attacks such as interception/measurement replay attacks, auxiliary particle attacks, and identity impersonation attacks. The analysis of efficiency and encoding capacity shows that the transmission efficiency of this scheme is 1, the encoding capacity is 3 bits per state, and the quantum bit utilization rate is 1. Compared with other schemes, this scheme has significant advantages because it uses different particles for bidirectional authentication, making it more difficult for attackers to crack, and thus it has higher security than traditional schemes.
In response to the demand for identity authentication in quantum secure direct communication, this paper proposes a quantum secure direct communication scheme based on a mixture of single photon and Bell state, by combining the bidirectional identity authentication. Before communication begins, both parties share a series of secret information to prepare a series of single photon and Bell state particles. Encoding four single photons and four Bell states yields eight types of encoded information, followed by identity authentication. The first step in identity authentication is to use a single photon to verify the legitimacy of the receiver. If the error exceeds the given threshold, it indicates the presence of eavesdropping. Otherwise, the channel is safe. Then, Bell state particles are used to verify the legitimacy of the sender, and the threshold is also used to determine whether there is eavesdropping. The present method is the same as previous one. If the error rate is higher than the given threshold, it indicates the existence of third-party eavesdropping. Otherwise, it indicates that the channel is secure. As for the specific verification method, it will be explained in detail in the article. Afterwards, Bell state particles are mixed with a single photon as a transmission carrier, and eavesdropping detection particles are added whenever the quantum state is sent. However, once the eavesdropper intercepts the transmitted particles, owing to incomplete information obtained, the eavesdropper is unable to recover the original information, and the eavesdropping behavior will be immediately detected, thus terminating communication. In this scheme, single photon and Bell states are fully utilized, and hybrid communication can effectively improve transmission efficiency, encoding capability, and quantum bit utilization. Security analysis shows that this scheme can resist common external and internal attacks such as interception/measurement replay attacks, auxiliary particle attacks, and identity impersonation attacks. The analysis of efficiency and encoding capacity shows that the transmission efficiency of this scheme is 1, the encoding capacity is 3 bits per state, and the quantum bit utilization rate is 1. Compared with other schemes, this scheme has significant advantages because it uses different particles for bidirectional authentication, making it more difficult for attackers to crack, and thus it has higher security than traditional schemes.
2023, 72(13): 130303.
doi: 10.7498/aps.72.20230419
Abstract:
Josephson effect of Bose-Einstein condensate in double-well potential is an obvious manifestation of macroscopic quantum coherence. Most of researches focus on the symmetric double-well potential. In this work, we investigate the dynamic of Bose-Einstein condensates in an asymmetric double-well potential by using two-mode theory and computer simulation. In the absence of the interaction between atoms, the dynamic equation of condensate can be solved analytically. The amplitude as a function of energy difference of two wells is obtained. We can find that the change of energy difference will lead to the different dynamic behaviors of condensate. If the energy difference is relatively large, the condensate will primarily occupy the well that is occupied more than the other well at the beginning time. It is interesting that such a trap phenomenon is not dependent on the position of the high energy potential well nor the position of low energy potential well. If the energy difference becomes small, the tunneling and oscillation of condensate will be enhanced. When the interaction between atoms is present, our numerical calculations show that as the nonlinear interaction increases, the dynamic behavior of condensate exhibits different characteristics, such as trapping in a well, enhancing the tunneling and oscillation between two wells, and enhancing the trapping in a well at large nonlinear interaction, which is similar to the dynamic change caused by the energy difference in the case of ideal condensate. That is to say, on the one hand, the nonlinear interaction can lead to the trap of condensate as well as the dynamic trap to happen in symmetric double-well potential. On the other hand, the nonlinearity can promote the tunneling of condensate, counteracting the effect of the asymmetry of potential. And, this counteracting effect is related to the difference in energy between asymmetric potential wells. To understand the underlying mechanism, the full dynamic behavior of two-mode model is illustrated and the dynamic transition can be seen clearly. Combining the results obtained with and without interaction, regarding nonlinear interaction as effective potential provides a clear way to explain dynamic transition of condensate in an asymmetric double-well potential. In addition, we also perform the numerical simulations of the Gross-Pitaevskii equation, and the results are consistent with the conclusions obtained by using the two-mode theory.
Josephson effect of Bose-Einstein condensate in double-well potential is an obvious manifestation of macroscopic quantum coherence. Most of researches focus on the symmetric double-well potential. In this work, we investigate the dynamic of Bose-Einstein condensates in an asymmetric double-well potential by using two-mode theory and computer simulation. In the absence of the interaction between atoms, the dynamic equation of condensate can be solved analytically. The amplitude as a function of energy difference of two wells is obtained. We can find that the change of energy difference will lead to the different dynamic behaviors of condensate. If the energy difference is relatively large, the condensate will primarily occupy the well that is occupied more than the other well at the beginning time. It is interesting that such a trap phenomenon is not dependent on the position of the high energy potential well nor the position of low energy potential well. If the energy difference becomes small, the tunneling and oscillation of condensate will be enhanced. When the interaction between atoms is present, our numerical calculations show that as the nonlinear interaction increases, the dynamic behavior of condensate exhibits different characteristics, such as trapping in a well, enhancing the tunneling and oscillation between two wells, and enhancing the trapping in a well at large nonlinear interaction, which is similar to the dynamic change caused by the energy difference in the case of ideal condensate. That is to say, on the one hand, the nonlinear interaction can lead to the trap of condensate as well as the dynamic trap to happen in symmetric double-well potential. On the other hand, the nonlinearity can promote the tunneling of condensate, counteracting the effect of the asymmetry of potential. And, this counteracting effect is related to the difference in energy between asymmetric potential wells. To understand the underlying mechanism, the full dynamic behavior of two-mode model is illustrated and the dynamic transition can be seen clearly. Combining the results obtained with and without interaction, regarding nonlinear interaction as effective potential provides a clear way to explain dynamic transition of condensate in an asymmetric double-well potential. In addition, we also perform the numerical simulations of the Gross-Pitaevskii equation, and the results are consistent with the conclusions obtained by using the two-mode theory.
2023, 72(13): 130501.
doi: 10.7498/aps.72.20222442
Abstract:
Electric phenomena and magnetic phenomena are inseparable. The magnetic field affects the ionization balance and spatial distribution of the plasma. A new type of plasma discharges has been found in nitrogen gas under sub atmospheric pressure condition without external magnetic field. Because of its regular helical propagation pattern, it is called helical plasma (HP) plume. Although a great deal of research has been carried out on the key characteristics of the HP plume, the formation mechanism of it remains unclear, which affects its applications in materials and nanotechnology. By applying magnetic field to HP with different chirality, the regulation behavior of the external magnetic field on HP is studied. It is found that the external magnetic field will make the HP shrink or stretch. With the magnetic field intensity increasing from 0 mT to 200 mT, the left-handed HP plume stretches under the magnetic field of S-pole. Conversely, the left-handed chiral HP plume contracts when the magnetic pole changes to N-pole. However, when the chirality of HP plume is changed to being right-handed by adjusting voltage, phenomenon opposite to the previous one is observed. Moreover, the applied magnetic field also affects the divergence of HP. With the increase of S-pole external magnetic field, the HP plume stretches until the external magnetic field reaches to 80 mT. When the magnetic field intensity is 80 mT, the HP disappears. The plasma in the quartz tube appears in the divergent form. With the magnetic field intensity increasing to 160 mT, the plasma in the form of a helix appears again. Finally, in the process of changing the intensity of the magnetic field, the clarity of the HP plume will also change. The radial electric field of HP is calculated by electromagnetic wave theory, and the mechanism of the influence of external magnetic field on the behavior of HP is clarified. It is found that the magnetic field force component of Lorentz force is responsible for the external magnetic field regulating the HP behavior. This study lays a theoretical foundation for understanding the motion behavior of HP, which is conducive to the practical applications in the field of materials and nanotechnology.
2023, 72(13): 130701.
doi: 10.7498/aps.72.20230415
Abstract:
In this paper, a new four-electrode arc discharge device with large constant temperature region is designed, which is used to prepared high-quality off-axis helical long-period fiber grating. The larger constant temperature heating area is more conducive to releasing the stress of optical fiber, so that the prepared device is less off-axis. In order to show that low off-axis is a key parameter of high-quality off-axis helical long-period fiber grating, the effects of single mode fiber on transmission spectrum of off-axis helical long-period fiber grating under different coupling lengths, pitches, core refractive indexes, cladding refractive indexes, core diameters, cladding diameters and off-axis quantity are simulated by using beam propagation method. Since traditional methods are difficult to measure the off-axis helical long-period fiber grating with small off-axis quantity, the off-axis quantity of the prepared device is estimated by using the method of spectral comparison and back-thrust off-axis quantity in this work. The off-axis helical long-period fiber grating is prepared by using the established processing device. The off-axis quantities of the prepared devices are about 0.12, 0.13 and 0.16 µm, respectively, according to the comparison between the simulated transmission spectrum and the actual spectrum. Finally, experiments on the torsional resistance and repeatability of the off-axis helical long-period fiber grating prepared by the device are carried out. The experimental results show that the prepared grating has certain torsional resistance and good spectral repeatability.
In this paper, a new four-electrode arc discharge device with large constant temperature region is designed, which is used to prepared high-quality off-axis helical long-period fiber grating. The larger constant temperature heating area is more conducive to releasing the stress of optical fiber, so that the prepared device is less off-axis. In order to show that low off-axis is a key parameter of high-quality off-axis helical long-period fiber grating, the effects of single mode fiber on transmission spectrum of off-axis helical long-period fiber grating under different coupling lengths, pitches, core refractive indexes, cladding refractive indexes, core diameters, cladding diameters and off-axis quantity are simulated by using beam propagation method. Since traditional methods are difficult to measure the off-axis helical long-period fiber grating with small off-axis quantity, the off-axis quantity of the prepared device is estimated by using the method of spectral comparison and back-thrust off-axis quantity in this work. The off-axis helical long-period fiber grating is prepared by using the established processing device. The off-axis quantities of the prepared devices are about 0.12, 0.13 and 0.16 µm, respectively, according to the comparison between the simulated transmission spectrum and the actual spectrum. Finally, experiments on the torsional resistance and repeatability of the off-axis helical long-period fiber grating prepared by the device are carried out. The experimental results show that the prepared grating has certain torsional resistance and good spectral repeatability.
2023, 72(13): 132101.
doi: 10.7498/aps.72.20230454
Abstract:
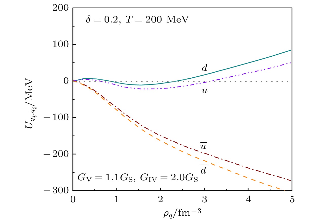
Relativistic heavy-ion collisions are an important experimental way of studying the new state of matter as well as the phase diagram of the quantum chromodynamics (QCD) under extremely high temperatures and high densities. In recent years, the beam-energy scan program has been carried out on the relativistic heavy-ion collider at Brookhaven National Laboratory in USA, and the STAR collaboration at relativistic heavy ion collision (RHIC) has measured the difference in the elliptic flow\begin{document}$v_2$\end{document} ![]()
![]()
between \begin{document}$\pi^-$\end{document} ![]()
![]()
and \begin{document}$\pi^+$\end{document} ![]()
![]()
on an event-by-event basis, and found a linear dependence on the charge asymmetry Ach of the collision system, which is considered as a possible signal of the chiral magnetic wave. Based on the extended multi-phase transport model (AMPT), this paper uses a 3 flavor Nambu-Jona-Lasinio (NJL) model to study the quark isospin Mean-field potential, which provides a new idea for explaining the experimental phenomenon of the linear relationship between the pion elliptic flow splitting \begin{document}$\Delta v_2=v_2(\pi^-)- $\end{document} ![]()
![]()
\begin{document}$ v_2(\pi^+)$\end{document} ![]()
![]()
and charge asymmetry Ach. Our results show that isovector interaction can cause a splitting of the isospin asymmetric quark matter mean-field potential, manifesting as \begin{document}$d(\bar{u})$\end{document} ![]()
![]()
quarks experiencing a mean-field potential greater than \begin{document}$u(\bar{d})$\end{document} ![]()
![]()
quarks. Therefore, \begin{document}$d(\bar{u})$\end{document} ![]()
![]()
quarks experience more repulsion than \begin{document}$u(\bar{d})$\end{document} ![]()
![]()
quarks in collision processes, resulting in a small increase in the elliptic flow of the partial subflow \begin{document}$v_2(d)$\end{document} ![]()
![]()
and \begin{document}$v_2(\bar{u})$\end{document} ![]()
![]()
, while \begin{document}$v_2(u)$\end{document} ![]()
![]()
and \begin{document}$v_2(\bar{d})$\end{document} ![]()
![]()
decrease slightly. In the hadronization process, the \begin{document}$\pi$\end{document} ![]()
![]()
elliptic flow splitting occurs due to the split of \begin{document}$d$\end{document} ![]()
![]()
and \begin{document}$u$\end{document} ![]()
![]()
elliptic flows combined with the split of \begin{document}$\bar{u}$\end{document} ![]()
![]()
and \begin{document}$\bar{d}$\end{document} ![]()
![]()
elliptic flows. We also found a linear correlation between charge asymmetry and isospin asymmetry at mid-rapidity region from our transport model, and thus explained the experimental phenomenon of the linear relationship between the pion elliptic flow splitting \begin{document}$\Delta v_2$\end{document} ![]()
![]()
and charge asymmetry Ach by using the isospin mean-field potential of quark matter. Further, isospin properties of quark matter also provide a theoretical basis for isobar collisions and the equation of state of compact star matter.
Relativistic heavy-ion collisions are an important experimental way of studying the new state of matter as well as the phase diagram of the quantum chromodynamics (QCD) under extremely high temperatures and high densities. In recent years, the beam-energy scan program has been carried out on the relativistic heavy-ion collider at Brookhaven National Laboratory in USA, and the STAR collaboration at relativistic heavy ion collision (RHIC) has measured the difference in the elliptic flow
2023, 72(13): 133301.
doi: 10.7498/aps.72.20230278
Abstract:
Phenylacetonitrile (PAN) is widely used in the synthesis of medicines, pesticides, dyes, optoelectronic materials and quinoline derivatives, and has attracted much attention in related fields. In this paper, we report the one-color resonance enhanced two-photon ionization spectra of PAN obtained with ultrasonic molecular beam technique for the first time. The band origin of the S1 ← S0 electronic transition is determined to be (37646 ± 2) cm–1. Density functional theory B3LYP/6-311G++(d, p) and B3LYP/aug-cc-pvtz are used to calculate the structures, energy and vibrational frequencies of the molecule. Based on these calculations Franck-Condon spectral simulations are performed. The measured vibrational frequencies are analyzed in detail. Combined with theoretical calculation, the spectral assignments are given as accurately as possible. Theoretical and experimental results are in good agreement with each other, and show that the spectrum in the low frequency region has a great signal-noise ratio and resolution, while in the high frequency region the spectrum shows opposite characteristics, revealing that the high background in high frequency region originates from dense and weak overtone and combined vibrations. Many spectral bands are found, and most of them may be assigned to the in-plane ring deformation, and theoretical calculations suggest that this is related to the expansion of the aromatic ring during the transition.
Phenylacetonitrile (PAN) is widely used in the synthesis of medicines, pesticides, dyes, optoelectronic materials and quinoline derivatives, and has attracted much attention in related fields. In this paper, we report the one-color resonance enhanced two-photon ionization spectra of PAN obtained with ultrasonic molecular beam technique for the first time. The band origin of the S1 ← S0 electronic transition is determined to be (37646 ± 2) cm–1. Density functional theory B3LYP/6-311G++(d, p) and B3LYP/aug-cc-pvtz are used to calculate the structures, energy and vibrational frequencies of the molecule. Based on these calculations Franck-Condon spectral simulations are performed. The measured vibrational frequencies are analyzed in detail. Combined with theoretical calculation, the spectral assignments are given as accurately as possible. Theoretical and experimental results are in good agreement with each other, and show that the spectrum in the low frequency region has a great signal-noise ratio and resolution, while in the high frequency region the spectrum shows opposite characteristics, revealing that the high background in high frequency region originates from dense and weak overtone and combined vibrations. Many spectral bands are found, and most of them may be assigned to the in-plane ring deformation, and theoretical calculations suggest that this is related to the expansion of the aromatic ring during the transition.
2023, 72(13): 133401.
doi: 10.7498/aps.72.20230214
Abstract:
Ion energy loss in the interaction between highly charged ions and dense plasma near Bohr velocity energy region is one of the important physical problems in the field of high-energy density physics driven by intense heavy ion beams. Based on the 320 kV experimental platform at the Institute of Modern Physics, Chinese Academy of Sciences, a new experimental setup was built for the research of interaction between ions and laser-produced plasma near the Bohr velocity, where the ion energy loss and charge state distribution can be experimentally investigated. In this paper we introduce the new setup in detail, including the generation and controlling of pulsed ion beam ( ≥ 200 ns); the preparation of high-density laser plasma target (1017—1021 cm–3); the diagnostics of plasma and the developed high energy resolution ion measurement system (< 1%). In the experiment, the charge distribution of Xe15+ ions with 4 MeV penetrating through the laser-produced Al plasma target is measured. The charge-state analysis device observes different results without and with the plasma, in which the outgoing Xe ion charge-state changes correspondingly from the 15+ to 10+, thus the electron capture process is believed to be dominant. In addition, the proton energy loss is also measured by using the magnetic spectrometer, showing that the experimental energy loss is about 2.0 keV, 30% higher than those theoretical predictions , which can be attributed to the fact that in the near Bohr velocity energy regime, the first-order Born approximation condition is not valid, thus the Bethe model and SSM model are inapplicable to the experimental results. In future, a systematic study will be performed based on our ions-plasma ineteraction setup, and the energy loss and charge state data will be introduced.
Ion energy loss in the interaction between highly charged ions and dense plasma near Bohr velocity energy region is one of the important physical problems in the field of high-energy density physics driven by intense heavy ion beams. Based on the 320 kV experimental platform at the Institute of Modern Physics, Chinese Academy of Sciences, a new experimental setup was built for the research of interaction between ions and laser-produced plasma near the Bohr velocity, where the ion energy loss and charge state distribution can be experimentally investigated. In this paper we introduce the new setup in detail, including the generation and controlling of pulsed ion beam ( ≥ 200 ns); the preparation of high-density laser plasma target (1017—1021 cm–3); the diagnostics of plasma and the developed high energy resolution ion measurement system (< 1%). In the experiment, the charge distribution of Xe15+ ions with 4 MeV penetrating through the laser-produced Al plasma target is measured. The charge-state analysis device observes different results without and with the plasma, in which the outgoing Xe ion charge-state changes correspondingly from the 15+ to 10+, thus the electron capture process is believed to be dominant. In addition, the proton energy loss is also measured by using the magnetic spectrometer, showing that the experimental energy loss is about 2.0 keV, 30% higher than those theoretical predictions , which can be attributed to the fact that in the near Bohr velocity energy regime, the first-order Born approximation condition is not valid, thus the Bethe model and SSM model are inapplicable to the experimental results. In future, a systematic study will be performed based on our ions-plasma ineteraction setup, and the energy loss and charge state data will be introduced.
2023, 72(13): 134201.
doi: 10.7498/aps.72.20222405
Abstract:
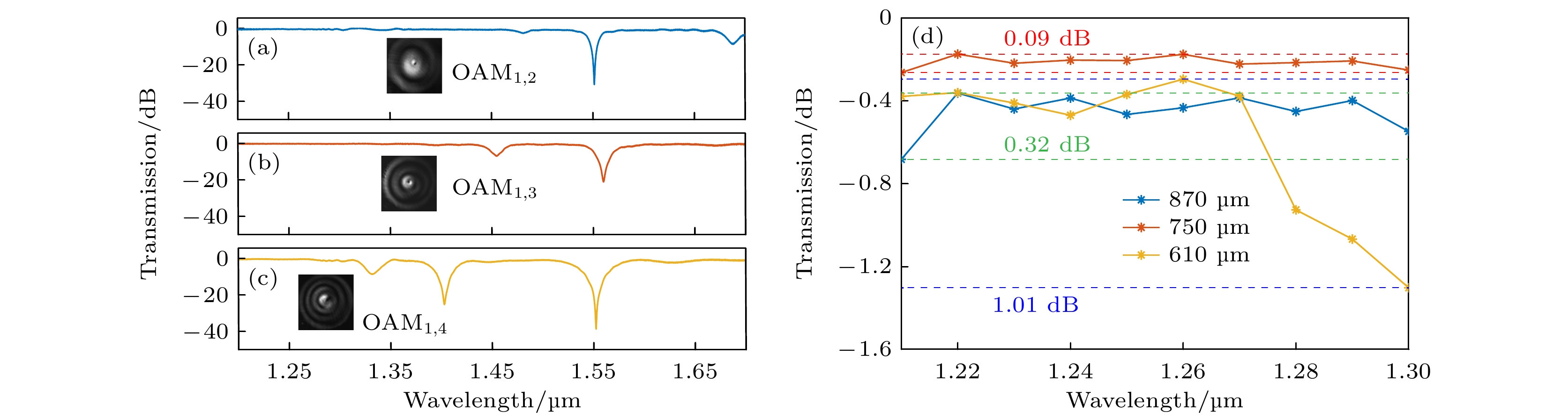
Aiming at the shortcomings of helically twisted single-cladding-few-core photonic crystal fibers in generating orbital angular momentum (OAM), the double-cladding and three-core structures with non-uniform inner and outer air holes are introduced into a photonic crystal fiber for the first time and the generation of high-order OAM modes through helical twisting is realized. The fiber is expected to reduce the losses of the generated OAM modes by introducing a specially designed double-cladding structure, while the three cores distributed in a regular triangle around the center are expected to increase the number of generated OAM modes. On the basis of optical transformation theory, the optical fiber is systematically analyzed by the finite element method. It is found that with the twist rate α = 7853.98 rad/m, the generated OAM modes include “OAM–4,1, OAM+9,1, OAM+10,1, OAM+11,1, OAM+13,1”, where +13 is the highest order in the OAM modes currently generated by using helically twisted fibers. And the losses of OAM modes are all less than 1.64×10–3 dB/m, which is at least two orders of magnitude lower than the lowest OAM mode loss reported in the existing references (Napiorkowski M, Urbanczyk W S 2018 Opt. Express 26 12131), and their purity is greater than 93%. Further studies show that the generation of orbital angular momentum depends on the resonant coupling between the core supermode and the ring-core mode, and the parity of the order of the generated OAM modes is related to the polarization direction of the fiber core supermode and the ring-core mode.
Aiming at the shortcomings of helically twisted single-cladding-few-core photonic crystal fibers in generating orbital angular momentum (OAM), the double-cladding and three-core structures with non-uniform inner and outer air holes are introduced into a photonic crystal fiber for the first time and the generation of high-order OAM modes through helical twisting is realized. The fiber is expected to reduce the losses of the generated OAM modes by introducing a specially designed double-cladding structure, while the three cores distributed in a regular triangle around the center are expected to increase the number of generated OAM modes. On the basis of optical transformation theory, the optical fiber is systematically analyzed by the finite element method. It is found that with the twist rate α = 7853.98 rad/m, the generated OAM modes include “OAM–4,1, OAM+9,1, OAM+10,1, OAM+11,1, OAM+13,1”, where +13 is the highest order in the OAM modes currently generated by using helically twisted fibers. And the losses of OAM modes are all less than 1.64×10–3 dB/m, which is at least two orders of magnitude lower than the lowest OAM mode loss reported in the existing references (Napiorkowski M, Urbanczyk W S 2018 Opt. Express 26 12131), and their purity is greater than 93%. Further studies show that the generation of orbital angular momentum depends on the resonant coupling between the core supermode and the ring-core mode, and the parity of the order of the generated OAM modes is related to the polarization direction of the fiber core supermode and the ring-core mode.
2023, 72(13): 134202.
doi: 10.7498/aps.72.20230560
Abstract:
In this work, we use Lewenstein’s theory to calculate the high order harmonic spectra of CO molecule in a linearly polarized laser field combined with an external electrostatic field. The results show that the characteristics of the high order harmonic spectra of CO molecule depend strongly on the direction of the external static electric field relative to the orientation of CO. Especially, when the direction of the external static electric field points from O to C, the plateau of the harmonic spectrum becomes wider and the cutoff frequency reaches a larger value than the scenario without external static electric field. When the direction of the external static electric field points from C to O, the harmonic spectrum shows a double-plateau structure. Using Lewenstein theory, these phenomena can be understood from the viewpoint that the harmonic generation comes from a coherent superposition of the contributions of two kinds of channels characterized by C-end ionization and O-end ionization. The C(O)-end ionization channel means that the electron is ionized from C(O) end, then accelerated by the driving electric field, finally recombines with its parent molecular ion at either C or O end, emitting the harmonics. For the same harmonic order, the contribution of the C-end ionization channel is greater than that of the the O-end ionization channel. The two kinds of channels emit harmonics in adjacent half period of laser, where the external static electric field causes the cutoff frequency of the harmonic spectrum to increase and decrease in the adjacent half period of the laser field. Especially, when the direction of external static electric field is from the C to O, the cutoff frequency of the harmonic spectrum of the C-end ionization channel decreases, resulting in a higher first plateau in the spectrum. While, the increase of cut-off frequency of the O-end ionization channel will result in a lower second plateau. When the direction of external static electric field is reversed, the cutoff frequency of the harmonics of the C-end channel increases, leading the plateau of CO harmonic spectrum to become wider than that without the external static electric field. The cut-off frequency of the O-end ionization channel decreases. Because the contribution of the O-end ionization channel can be ignored compared with that of C-end ionization channel, the C-end channel dominates the contribution to harmonic generation and hence there is only one plateau in the harmonic spectrum. This work provides a clear physical picture for the formation of a double-plateau structure of CO harmonic spectra under the action of an external static electric field.
In this work, we use Lewenstein’s theory to calculate the high order harmonic spectra of CO molecule in a linearly polarized laser field combined with an external electrostatic field. The results show that the characteristics of the high order harmonic spectra of CO molecule depend strongly on the direction of the external static electric field relative to the orientation of CO. Especially, when the direction of the external static electric field points from O to C, the plateau of the harmonic spectrum becomes wider and the cutoff frequency reaches a larger value than the scenario without external static electric field. When the direction of the external static electric field points from C to O, the harmonic spectrum shows a double-plateau structure. Using Lewenstein theory, these phenomena can be understood from the viewpoint that the harmonic generation comes from a coherent superposition of the contributions of two kinds of channels characterized by C-end ionization and O-end ionization. The C(O)-end ionization channel means that the electron is ionized from C(O) end, then accelerated by the driving electric field, finally recombines with its parent molecular ion at either C or O end, emitting the harmonics. For the same harmonic order, the contribution of the C-end ionization channel is greater than that of the the O-end ionization channel. The two kinds of channels emit harmonics in adjacent half period of laser, where the external static electric field causes the cutoff frequency of the harmonic spectrum to increase and decrease in the adjacent half period of the laser field. Especially, when the direction of external static electric field is from the C to O, the cutoff frequency of the harmonic spectrum of the C-end ionization channel decreases, resulting in a higher first plateau in the spectrum. While, the increase of cut-off frequency of the O-end ionization channel will result in a lower second plateau. When the direction of external static electric field is reversed, the cutoff frequency of the harmonics of the C-end channel increases, leading the plateau of CO harmonic spectrum to become wider than that without the external static electric field. The cut-off frequency of the O-end ionization channel decreases. Because the contribution of the O-end ionization channel can be ignored compared with that of C-end ionization channel, the C-end channel dominates the contribution to harmonic generation and hence there is only one plateau in the harmonic spectrum. This work provides a clear physical picture for the formation of a double-plateau structure of CO harmonic spectra under the action of an external static electric field.
2023, 72(13): 134203.
doi: 10.7498/aps.72.20222242
Abstract:
Many interesting phenomena, such as quantization of Landau levels and quantum Hall effect, can occur in an electronic system under a strong magnetic field. However, photons do not carry charge, and they do not have many properties induced by external magnetic fields, either. Recently, the pseudomagnetic field, an artificial synthetic gauge field, has attracted intense research interest in classical wave systems, in which the propagation of the wave can be manipulated like in a real magnetic field. The photonic crystal is an optical structure composed of periodic material distributions and provides a good platform for studying the control of electromagnetic waves. In this work, we construct a uniform pseudomagnetic field by introducing uniaxial linear gradient deformation of metallic rods in a two-dimensional photonic crystal. The strong pseudomagnetic field leads to the quantization of photonic Landau levels in photonic crystal. The sublattice polarization of n = 0 Landau level is also demonstrated in our simulations. Unlike the real magnetic field, the pseudomagnetic fields of photonic crystal is opposite in two inequivalent energy valleys, and the time-reversal symmetry of the system is not broken. Our designed gradient photonic crystals support the transport of edge state in the gap between n = 0 and n = ±1 Landau levels. The edge state can propagate unidirectionally when it is excited by a chiral source. When a gaussian beam impinges on the photonic crystal, the propagating paths of two splitting beams can be controlled, which gives rise to the bend of two beams. Two photonic crystals with opposite pseudomagnetic fields are assembled together, and the interesting phenomenon of “snake-state” can be obtained. Our proposal opens the way for designing information processing devices by manipulating electromagnetic waves.
Many interesting phenomena, such as quantization of Landau levels and quantum Hall effect, can occur in an electronic system under a strong magnetic field. However, photons do not carry charge, and they do not have many properties induced by external magnetic fields, either. Recently, the pseudomagnetic field, an artificial synthetic gauge field, has attracted intense research interest in classical wave systems, in which the propagation of the wave can be manipulated like in a real magnetic field. The photonic crystal is an optical structure composed of periodic material distributions and provides a good platform for studying the control of electromagnetic waves. In this work, we construct a uniform pseudomagnetic field by introducing uniaxial linear gradient deformation of metallic rods in a two-dimensional photonic crystal. The strong pseudomagnetic field leads to the quantization of photonic Landau levels in photonic crystal. The sublattice polarization of n = 0 Landau level is also demonstrated in our simulations. Unlike the real magnetic field, the pseudomagnetic fields of photonic crystal is opposite in two inequivalent energy valleys, and the time-reversal symmetry of the system is not broken. Our designed gradient photonic crystals support the transport of edge state in the gap between n = 0 and n = ±1 Landau levels. The edge state can propagate unidirectionally when it is excited by a chiral source. When a gaussian beam impinges on the photonic crystal, the propagating paths of two splitting beams can be controlled, which gives rise to the bend of two beams. Two photonic crystals with opposite pseudomagnetic fields are assembled together, and the interesting phenomenon of “snake-state” can be obtained. Our proposal opens the way for designing information processing devices by manipulating electromagnetic waves.
2023, 72(13): 134401.
doi: 10.7498/aps.72.20230151
Abstract:
The compositing of porous medium and phase change material is an effective way to improve the heat transfer performance of solid-liquid phase change energy storage system. In this paper, we reconstruct the three-dimensional numerical structure of the copper foam by using the micro computed tomography, and then conduct the pore-scale numerical simulation of the melting process in a cubic cavity filled with the phase change material comprised of the copper foam via the lattice Boltzmann method. The effects of the hollow skeleton on the melting process are discussed in detail under different Rayleigh numbers and ratios of thermal conductivity of the copper foam to that of the phase change material. The results show that the hollow skeleton copper foam possesses a lower average Nusselt number along the left wall at the early stage of the melting process, a slower melting rate, and a higher energy storage efficiency than the solid skeleton copper foam. Comparing with the skeleton region of the copper foam, the heat transfer rate entering the cubic cavity through the hollow region of the skeleton is almost negligible. Because of the competition between heat conduction and natural convection, the heat transfer enhancement efficiency of copper foam first increases, then decreases, and then increases again with the increase of the Fourier number. When the Rayleigh number decreases, the energy storage efficiency increases, and the natural convection also weakens. Meanwhile, the fluctuation of the heat transfer enhancement efficiency decreases as the Fourier number increases, and the gap of the heat transfer enhancement efficiency between the hollow skeleton copper foam and the solid skeleton copper foam becomes smaller. When the ratio of the thermal conductivity of the copper foam skeleton to that of the phase change material increases, the energy storage efficiency is relatively high at the early stage of the melting process but becomes relatively low when the melting process is completed. With a larger thermal conductivity ratio, the heat transfer rate entering the cubic cavity through the skeleton region of the copper foam becomes dominant, which reduces the effect of the hollow skeleton on heat transfer, and thus the gap of the heat transfer enhancement efficiency between the hollow skeleton copper foam and the solid skeleton copper foam becomes relatively small.
The compositing of porous medium and phase change material is an effective way to improve the heat transfer performance of solid-liquid phase change energy storage system. In this paper, we reconstruct the three-dimensional numerical structure of the copper foam by using the micro computed tomography, and then conduct the pore-scale numerical simulation of the melting process in a cubic cavity filled with the phase change material comprised of the copper foam via the lattice Boltzmann method. The effects of the hollow skeleton on the melting process are discussed in detail under different Rayleigh numbers and ratios of thermal conductivity of the copper foam to that of the phase change material. The results show that the hollow skeleton copper foam possesses a lower average Nusselt number along the left wall at the early stage of the melting process, a slower melting rate, and a higher energy storage efficiency than the solid skeleton copper foam. Comparing with the skeleton region of the copper foam, the heat transfer rate entering the cubic cavity through the hollow region of the skeleton is almost negligible. Because of the competition between heat conduction and natural convection, the heat transfer enhancement efficiency of copper foam first increases, then decreases, and then increases again with the increase of the Fourier number. When the Rayleigh number decreases, the energy storage efficiency increases, and the natural convection also weakens. Meanwhile, the fluctuation of the heat transfer enhancement efficiency decreases as the Fourier number increases, and the gap of the heat transfer enhancement efficiency between the hollow skeleton copper foam and the solid skeleton copper foam becomes smaller. When the ratio of the thermal conductivity of the copper foam skeleton to that of the phase change material increases, the energy storage efficiency is relatively high at the early stage of the melting process but becomes relatively low when the melting process is completed. With a larger thermal conductivity ratio, the heat transfer rate entering the cubic cavity through the skeleton region of the copper foam becomes dominant, which reduces the effect of the hollow skeleton on heat transfer, and thus the gap of the heat transfer enhancement efficiency between the hollow skeleton copper foam and the solid skeleton copper foam becomes relatively small.
2023, 72(13): 135201.
doi: 10.7498/aps.72.20230385
Abstract:
In practical applications of dielectric barrier discharges under atmospheric pressure, plasma usually acts on non-smooth surfaces. The electric field distortion and uneven surface charge distribution caused by its surface morphology will create an adverse effect on the uniformity and stability of the discharge. In this paper, we establish a simulation model of atmospheric pressure helium dielectric barrier discharge on a wavy lower dielectric plate, and use a sinusoidal clipping voltage to regulate the discharge uniformity. The results show that the discharge uniformity is improved compared with the unclipped case, and the discharge mode is changed from columnar mode to quasi-uniform mode. This can be attributed to the incomplete discharge dissipation caused by the reduction of air gap voltage; the subsequent electron backflow process neutralizes the the residual space electrons with the surface charge, which limits the accumulation of surface charges. With the increase of clipping ratio, the surface charge distribution becomes more uniform, and the radial fluctuation of electric field distribution weakens. In addition, the discharge efficiency is improved in a certain clipping range. This study reveals the mechanism of clipping voltage influence on non-smooth surface discharge, and provides a new idea for regulating the uniformity of dielectric barrier discharge.
In practical applications of dielectric barrier discharges under atmospheric pressure, plasma usually acts on non-smooth surfaces. The electric field distortion and uneven surface charge distribution caused by its surface morphology will create an adverse effect on the uniformity and stability of the discharge. In this paper, we establish a simulation model of atmospheric pressure helium dielectric barrier discharge on a wavy lower dielectric plate, and use a sinusoidal clipping voltage to regulate the discharge uniformity. The results show that the discharge uniformity is improved compared with the unclipped case, and the discharge mode is changed from columnar mode to quasi-uniform mode. This can be attributed to the incomplete discharge dissipation caused by the reduction of air gap voltage; the subsequent electron backflow process neutralizes the the residual space electrons with the surface charge, which limits the accumulation of surface charges. With the increase of clipping ratio, the surface charge distribution becomes more uniform, and the radial fluctuation of electric field distribution weakens. In addition, the discharge efficiency is improved in a certain clipping range. This study reveals the mechanism of clipping voltage influence on non-smooth surface discharge, and provides a new idea for regulating the uniformity of dielectric barrier discharge.
2023, 72(13): 135202.
doi: 10.7498/aps.72.20230101
Abstract:
The blackout problem suffered by hypersonic vehicles as they re-enter the atmosphere is essential for effective communication of hypersonic vehicles. Aiming to solve this problem, in this paper, we proposed an antenna–sheath–plasma layer configuration, in which a thin plasma layer covered cylindrical metal antenna model is employed to investigate the radiation enhancement phenomenon by solving the dispersion equation of electromagnetic mode under optimized parameter conditions. Analytical results show that when the neutral gas pressure is low (p = 0.5 mTorr) and the antenna radius is triple the plasma skin depth, the thickness of the sheath between the surface of metal cylindrical antenna and plasma layer is about several Debye lengths, the azimuthally symmetric wave (m = 0 mode) that propagates along the antenna surface belongs to the fast wave (the phase velocity is greater than the light speed), there exists a critical plasma frequency ωpe (or plasma density n0), above which the propagating mode becomes evanescent wave; for the propagation characteristic, there exists a critical normalized sheath thickness (ι/λDe)pha (or (ι/λDe)att), above which the phase constant (or the attenuation constant) begins to increase (or decrease) sharply, which indicates a significant change in the propagation property of the propagating mode; most importantly, when the wave frequency ω/2π = 1 GHz, sheath thickness is one tenth of the whole plasma layer thickness, owing to the electron plasma frequency resonance and antenna-sheath-plasma resonance effect, the maximum radiation intensity of the symmetric wave exhibits an elliptical-like profile near ωpe/ω = 1 and ωpe/ω ≈ 1.33, respectively, while only a single-point radiation enhancement occurs at frequencies far from GHz range. These conclusions not only provide a method to solve or alleviate the blackout problem of GHz frequency communication faced by the hypersonic vehicles when they re-enter the atmosphere, but also have potential applications in high-resolution imaging induced by plasmonic micro-nano sized enhanced radiation and high-resolution phased array antennas.
The blackout problem suffered by hypersonic vehicles as they re-enter the atmosphere is essential for effective communication of hypersonic vehicles. Aiming to solve this problem, in this paper, we proposed an antenna–sheath–plasma layer configuration, in which a thin plasma layer covered cylindrical metal antenna model is employed to investigate the radiation enhancement phenomenon by solving the dispersion equation of electromagnetic mode under optimized parameter conditions. Analytical results show that when the neutral gas pressure is low (p = 0.5 mTorr) and the antenna radius is triple the plasma skin depth, the thickness of the sheath between the surface of metal cylindrical antenna and plasma layer is about several Debye lengths, the azimuthally symmetric wave (m = 0 mode) that propagates along the antenna surface belongs to the fast wave (the phase velocity is greater than the light speed), there exists a critical plasma frequency ωpe (or plasma density n0), above which the propagating mode becomes evanescent wave; for the propagation characteristic, there exists a critical normalized sheath thickness (ι/λDe)pha (or (ι/λDe)att), above which the phase constant (or the attenuation constant) begins to increase (or decrease) sharply, which indicates a significant change in the propagation property of the propagating mode; most importantly, when the wave frequency ω/2π = 1 GHz, sheath thickness is one tenth of the whole plasma layer thickness, owing to the electron plasma frequency resonance and antenna-sheath-plasma resonance effect, the maximum radiation intensity of the symmetric wave exhibits an elliptical-like profile near ωpe/ω = 1 and ωpe/ω ≈ 1.33, respectively, while only a single-point radiation enhancement occurs at frequencies far from GHz range. These conclusions not only provide a method to solve or alleviate the blackout problem of GHz frequency communication faced by the hypersonic vehicles when they re-enter the atmosphere, but also have potential applications in high-resolution imaging induced by plasmonic micro-nano sized enhanced radiation and high-resolution phased array antennas.
2023, 72(13): 135203.
doi: 10.7498/aps.72.20230347
Abstract:
Sawtooth oscillation is one of the most important magneto-hydrodynamic (MHD) instabilities in Tokamak plasma, which can result in the periodic relaxation of the temperature and density of the core plasma when the safety factor on the magnetic axis (q0) is lower than unity. Owing to the periodic relaxation of the plasma core parameters, sawtooth oscillations are beneficial to avoiding impurity accumulation in plasma core. However, the large sawtooth crash may trigger off other MHD instabilities, like tearing modes (TMs) or neoclassical tearing modes (NTMs), which is a matter of concern for the plasma stability. Therefore, it is essential to control sawtooth oscillations for ensuring safe operation in the future Tokamaks such as ITER. The resonant magnetic perturbation (RMP) is widely used to control edge-localized modes (ELMs) and divertor heat flux in Tokamak. The application of RMP has also been found to affect the sawtooth behaviors. This paper studies the influence of RMP coils at n = 2 on sawtooth behaviors in experimental advanced superconducting Tokamak (EAST), where n is the toroidal mode number of the applied RMP. It is found that the phase difference between upper RMP coil and lower RMP coil (\begin{document}$ \Delta {\phi }_{{\rm{U}}{\rm{L}}}\left(^\circ\right)={\phi }_{{\rm{U}}}\left(^\circ\right)-{\phi }_{{\rm{L}}}\left(^\circ\right) $\end{document} ![]()
![]()
) is a notable parameter of affecting sawtooth behavior. The experiments for scanning the phase difference \begin{document}$ \Delta {\phi }_{{\rm{U}}{\rm{L}}} $\end{document} ![]()
![]()
are carried out. When the phase difference \begin{document}$ \Delta {\phi }_{{\rm{U}}{\rm{L}}} $\end{document} ![]()
![]()
of RMP at n = 2 is changed, the sawtooth period and amplitude become subsequently different. The minimum sawtooth period and amplitude appear at \begin{document}$\Delta {\phi }_{{\rm{U}}{\rm{L}}}=270^\circ$\end{document} ![]()
![]()
. At the same time, neutron yields measured by neutron diagnostic system have the same trend as sawtooth behavior during RMP phase difference scanning. The plasma response to RMP at n = 2 is analyzed by using the MARS-F code. The results show that the plasma responses much strongly at the \begin{document}$\Delta {\phi }_{{\rm{U}}{\rm{L}}}=270^\circ$\end{document} ![]()
![]()
. The loss of fast ion, caused by RMP coils, is possibly stronger at the \begin{document}$\Delta {\phi }_{{\rm{U}}{\rm{L}}}=270^\circ$\end{document} ![]()
![]()
than that at other phase difference \begin{document}$ \Delta {\phi }_{{\rm{U}}{\rm{L}}}. $\end{document} ![]()
![]()
The loss of fast ion can reduces its stabilization effect on sawtooth behavior, which results in the reduction of the sawtooth period and amplitude. Further research is needed to optimize the sawtooth control method with RMP to make it compatible with plasma performance.
Sawtooth oscillation is one of the most important magneto-hydrodynamic (MHD) instabilities in Tokamak plasma, which can result in the periodic relaxation of the temperature and density of the core plasma when the safety factor on the magnetic axis (q0) is lower than unity. Owing to the periodic relaxation of the plasma core parameters, sawtooth oscillations are beneficial to avoiding impurity accumulation in plasma core. However, the large sawtooth crash may trigger off other MHD instabilities, like tearing modes (TMs) or neoclassical tearing modes (NTMs), which is a matter of concern for the plasma stability. Therefore, it is essential to control sawtooth oscillations for ensuring safe operation in the future Tokamaks such as ITER. The resonant magnetic perturbation (RMP) is widely used to control edge-localized modes (ELMs) and divertor heat flux in Tokamak. The application of RMP has also been found to affect the sawtooth behaviors. This paper studies the influence of RMP coils at n = 2 on sawtooth behaviors in experimental advanced superconducting Tokamak (EAST), where n is the toroidal mode number of the applied RMP. It is found that the phase difference between upper RMP coil and lower RMP coil (
2023, 72(13): 136101.
doi: 10.7498/aps.72.20230181
Abstract:
The relationship among dynamic relaxation, deformation and microstructural heterogeneity of amorphous alloy is one of the important research contents in the field of amorphous physics. In this paper, we utilize Zr48(Cu5/6Ag1/6)44Al8 bulk amorphous alloy with excellent glass forming capability and good thermal stability as a research carrier, and investigate the effects of temperature and structural relaxation on dynamic relaxation and deformation behavior through dynamic mechanical analysis and stress relaxation experiments. The results show that the dynamic relaxation spectrum of the model alloy is sensitive to temperature, showing four stages as the temperature increases, namely, iso configuration, aging, glass transition and crystallization. Based on the isothermal measurement of dynamic mechanical parameters under the glass transition temperature, the structural relaxation causes the amorphous alloy to migrate from the non-equilibrium high energy state to the low energy state, and the evolution of internal friction with aging time can be described by Kohlrausch-Williams-Watts (KWW) stretched exponential function. In addition, based on the KWW equation and activation energy spectrum, the activation of heterogeneous structure in the stress relaxation process of model alloy is analyzed, which involves the transformation from elastic deformation to nonelastic deformation. Owing to the microstructural heterogeneity and energy fluctuations in amorphous alloys, the activation of deformation units is not a single characteristic time, but follows a certain distribution. By considering that the characteristic time distribution of activation of deformation units is symmetric Gauss distribution or asymmetric Gumbel distribution on a logarithmic time scale, the heterogeneous activation process in stress relaxation response can be reconstructed.
The relationship among dynamic relaxation, deformation and microstructural heterogeneity of amorphous alloy is one of the important research contents in the field of amorphous physics. In this paper, we utilize Zr48(Cu5/6Ag1/6)44Al8 bulk amorphous alloy with excellent glass forming capability and good thermal stability as a research carrier, and investigate the effects of temperature and structural relaxation on dynamic relaxation and deformation behavior through dynamic mechanical analysis and stress relaxation experiments. The results show that the dynamic relaxation spectrum of the model alloy is sensitive to temperature, showing four stages as the temperature increases, namely, iso configuration, aging, glass transition and crystallization. Based on the isothermal measurement of dynamic mechanical parameters under the glass transition temperature, the structural relaxation causes the amorphous alloy to migrate from the non-equilibrium high energy state to the low energy state, and the evolution of internal friction with aging time can be described by Kohlrausch-Williams-Watts (KWW) stretched exponential function. In addition, based on the KWW equation and activation energy spectrum, the activation of heterogeneous structure in the stress relaxation process of model alloy is analyzed, which involves the transformation from elastic deformation to nonelastic deformation. Owing to the microstructural heterogeneity and energy fluctuations in amorphous alloys, the activation of deformation units is not a single characteristic time, but follows a certain distribution. By considering that the characteristic time distribution of activation of deformation units is symmetric Gauss distribution or asymmetric Gumbel distribution on a logarithmic time scale, the heterogeneous activation process in stress relaxation response can be reconstructed.
2023, 72(13): 136401.
doi: 10.7498/aps.72.20230291
Abstract:
The phase transformation kinetics and micro-structure evolutions of four different Fe-Cr binary alloys, i.e. Fe-Cr (12.8%), Fe-Cr (20.0%), Fe-Cr (30.0%) and Fe-Cr (40.0%) at 673 K, are investigated by using the kinetic Monte-Carlo simulation combined with spatial coarse-grained mass density field description. For all studied Fe-Cr alloys, it is found that the number density of Cr-rich precipitate undergoes a rather rapid increasing at the nucleation stage and then gradually decreases with the simulation time increasing in the coarsening stage during aging. Increasing the Cr concentration in Fe-Cr alloy can significantly reduce the duration of nucleation and the time interval between nucleation and coarsening. From the coarse-grained mass density field models of Cr-rich precipitates at different aging stages for the four Fe-Cr alloys, we discover that the Cr-rich phase shows the isolated spherical particle-like morphology for the aged Fe-Cr (12.8%) alloy, revealing the nucleation and growth (NG) mechanism. Meanwhile, the Cr-rich precipitates possess a characteristic three-dimensional interconnected microstructure, a signature of spinodal decomposition mechanism. Otherwise, the Cr-rich phase morphology in Fe-Cr (20.0%) exhibits the characteristics of both NG mechanism and SD mechanism. It is also found that the short-range order parameter of Cr atoms in Fe-Cr alloy is indeed very sensitive to the change of atomic structure at the early stage of aging or nucleation stage, which, however, is almost independent of the changing of morphology of Cr-precipitates in the later coarsening process. Finally, the phase transformation kinetics of Cr-rich precipitates during aging are analyzed by calculating the phase volume fraction, average diameter and number density, concluding that the Cr-rich phase growth kinetics in Fe-Cr (20.0%) alloy can be described by the well-known Lifshitz-Slyozov-Wagner law in the coarsening stage. However, the coarsening kinetics of Fe-Cr (12.8%), Fe-Cr (30.0%) and Fe-Cr (40.0%) alloys are not caused by the LSW mechanism.
The phase transformation kinetics and micro-structure evolutions of four different Fe-Cr binary alloys, i.e. Fe-Cr (12.8%), Fe-Cr (20.0%), Fe-Cr (30.0%) and Fe-Cr (40.0%) at 673 K, are investigated by using the kinetic Monte-Carlo simulation combined with spatial coarse-grained mass density field description. For all studied Fe-Cr alloys, it is found that the number density of Cr-rich precipitate undergoes a rather rapid increasing at the nucleation stage and then gradually decreases with the simulation time increasing in the coarsening stage during aging. Increasing the Cr concentration in Fe-Cr alloy can significantly reduce the duration of nucleation and the time interval between nucleation and coarsening. From the coarse-grained mass density field models of Cr-rich precipitates at different aging stages for the four Fe-Cr alloys, we discover that the Cr-rich phase shows the isolated spherical particle-like morphology for the aged Fe-Cr (12.8%) alloy, revealing the nucleation and growth (NG) mechanism. Meanwhile, the Cr-rich precipitates possess a characteristic three-dimensional interconnected microstructure, a signature of spinodal decomposition mechanism. Otherwise, the Cr-rich phase morphology in Fe-Cr (20.0%) exhibits the characteristics of both NG mechanism and SD mechanism. It is also found that the short-range order parameter of Cr atoms in Fe-Cr alloy is indeed very sensitive to the change of atomic structure at the early stage of aging or nucleation stage, which, however, is almost independent of the changing of morphology of Cr-precipitates in the later coarsening process. Finally, the phase transformation kinetics of Cr-rich precipitates during aging are analyzed by calculating the phase volume fraction, average diameter and number density, concluding that the Cr-rich phase growth kinetics in Fe-Cr (20.0%) alloy can be described by the well-known Lifshitz-Slyozov-Wagner law in the coarsening stage. However, the coarsening kinetics of Fe-Cr (12.8%), Fe-Cr (30.0%) and Fe-Cr (40.0%) alloys are not caused by the LSW mechanism.
2023, 72(13): 136801.
doi: 10.7498/aps.72.20221860
Abstract:
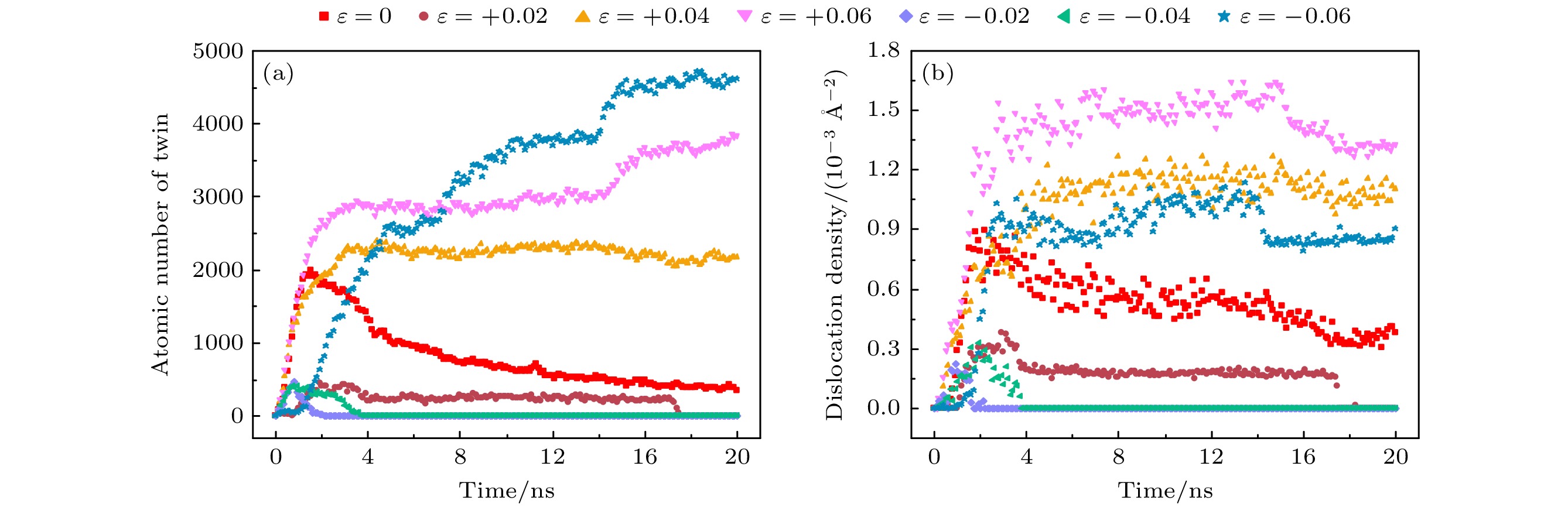
The high-quality growth of GaAs crystals is extremely essential for the fabrication of high-performance high-frequency microwave electronic devices and light-emitting devices. In this work, the molecular dynamics (MD) simulation is used to simulate the induced crystallization of GaAs crystal along the [110] orientation. The effects of strain on the growth process and defect formation are analyzed by the largest standard cluster analysis, the pair distribution function, and visualization analysis. The results indicate that the crystallization process of GaAs crystal changes significantly under different strain conditions. At the initial stage, the crystal growth rate of the system decreases after a certain tensile strain and a large compressive strain have been applied, and the greater the strain, the lower the crystallization rate is. In addition, as the crystal grows, the system forms a zigzag interface bounded by the {111} facet, and the angle between the growth plane and the {111} facet affects the morphology of the solid-liquid interface and further affects the formation of twins. The larger the applied tensile strain and the smaller the angle, the more twin defects will form and the more irregular they will be. At the same time, a large proportion of the dislocations in the system is associated with twins. The application of strain can either inhibit or promote the nucleation of dislocations, and under an appropriate amount of strain size, crystals without dislocations can even grow. The study of the microstructural evolution of GaAs on an atomic scale provides a reference for crystal growth theory.
The high-quality growth of GaAs crystals is extremely essential for the fabrication of high-performance high-frequency microwave electronic devices and light-emitting devices. In this work, the molecular dynamics (MD) simulation is used to simulate the induced crystallization of GaAs crystal along the [110] orientation. The effects of strain on the growth process and defect formation are analyzed by the largest standard cluster analysis, the pair distribution function, and visualization analysis. The results indicate that the crystallization process of GaAs crystal changes significantly under different strain conditions. At the initial stage, the crystal growth rate of the system decreases after a certain tensile strain and a large compressive strain have been applied, and the greater the strain, the lower the crystallization rate is. In addition, as the crystal grows, the system forms a zigzag interface bounded by the {111} facet, and the angle between the growth plane and the {111} facet affects the morphology of the solid-liquid interface and further affects the formation of twins. The larger the applied tensile strain and the smaller the angle, the more twin defects will form and the more irregular they will be. At the same time, a large proportion of the dislocations in the system is associated with twins. The application of strain can either inhibit or promote the nucleation of dislocations, and under an appropriate amount of strain size, crystals without dislocations can even grow. The study of the microstructural evolution of GaAs on an atomic scale provides a reference for crystal growth theory.
2023, 72(13): 137201.
doi: 10.7498/aps.72.20230285
Abstract:
In order to achieve high-efficiency spin-orbit torque devices, higher charge-spin conversion efficiency, and lower resistivity are required in the strong spin-orbit coupling layer that provides the spin current. In this work we prepare BiSePt alloy/Co heterostructures with in-plane magnetic anisotropy by magnetron sputtering deposition. The alloy layer is deposited via one of two procedures, either co-sputtering or alternative-sputtering. We study the BiSePt alloy samples and find that the spin orbit torque (SOT) efficiency decreases with the increase of Pt component, which is attributed to the change of topological order of Bi2Se3 amorphous surface, caused by Pt doping. And the resistivity decreases with the increase of Pt component, which depends on the increase of metallic property. Due to the balance of these two competing mechanisms, the spin Hall conductivity of the alloy layer varies non-monotonically with the concentration ratio, and reach an optimal value at a ratio of 67% of Bi2Se3 component. With the increase of the Bi2Se3 component, the SOT efficiency, electrical resistivity and spin Hall conductance of the alloy layer show different trends. At about 20%–70%, they increase/decrease tardily. At about 70%–100%, the resistivity ascends more prominently than the SOT efficiency, which leads the spin Hall conductance to decrease. Comparing with using the co-sputtering deposition, the electrical conductivity and spin Hall angle of the alloy layer obtained using alternating sputtering deposition are small, which is attributed to the enhancing of interfacial scattering and the filter effect of Pt on the spin flow. In contrast to traditional pure heavy metal materials (such as Pt, Ta) and topological insulator materials like Bi2Se3, our BiSePt alloy devices obtained by co-sputtering deposition achieve industry-matched preparation conditions, greater SOT efficiency, and considerable electrical conductivity of the alloy layer, thus making further applications of SOT devices possible.
In order to achieve high-efficiency spin-orbit torque devices, higher charge-spin conversion efficiency, and lower resistivity are required in the strong spin-orbit coupling layer that provides the spin current. In this work we prepare BiSePt alloy/Co heterostructures with in-plane magnetic anisotropy by magnetron sputtering deposition. The alloy layer is deposited via one of two procedures, either co-sputtering or alternative-sputtering. We study the BiSePt alloy samples and find that the spin orbit torque (SOT) efficiency decreases with the increase of Pt component, which is attributed to the change of topological order of Bi2Se3 amorphous surface, caused by Pt doping. And the resistivity decreases with the increase of Pt component, which depends on the increase of metallic property. Due to the balance of these two competing mechanisms, the spin Hall conductivity of the alloy layer varies non-monotonically with the concentration ratio, and reach an optimal value at a ratio of 67% of Bi2Se3 component. With the increase of the Bi2Se3 component, the SOT efficiency, electrical resistivity and spin Hall conductance of the alloy layer show different trends. At about 20%–70%, they increase/decrease tardily. At about 70%–100%, the resistivity ascends more prominently than the SOT efficiency, which leads the spin Hall conductance to decrease. Comparing with using the co-sputtering deposition, the electrical conductivity and spin Hall angle of the alloy layer obtained using alternating sputtering deposition are small, which is attributed to the enhancing of interfacial scattering and the filter effect of Pt on the spin flow. In contrast to traditional pure heavy metal materials (such as Pt, Ta) and topological insulator materials like Bi2Se3, our BiSePt alloy devices obtained by co-sputtering deposition achieve industry-matched preparation conditions, greater SOT efficiency, and considerable electrical conductivity of the alloy layer, thus making further applications of SOT devices possible.
2023, 72(13): 137301.
doi: 10.7498/aps.72.20230312
Abstract:
Inkjet printing as a contact-free, high material utilization, low cost, patternable solution processing technology, may become the future color quantum-dot light-emitting diodes (QLED) production of the key technology. However, owing to the existence of the pixel structure of the substrate array, the film prepared by inkjet printing technology is not so smooth and uniform as that by spin coating technology, which affects the luminescence performance of the device. Therefore, it is necessary to study the film forming mechanism and process of inkjet printing. In order to solve the above problems, this paper focuses on the material and process problems of preparing high-quality electronic transport layer ZnO thin films by inkjet printing. From the perspective of ligand, the ZnO quantum dot material, which is an indispensable electron transport layer, is optimized to prepare the thin films with good morphology and stability in air, and the methods to improve the performances of inkjet printing QLED devices are explored. Firstly, the drying process and influence mechanism of ZnO quantum dot ink in air are investigated. As the thickness of ZnO quantum dot film prepared by inkjet printing increases, the film becomes loose and the surface becomes rough with the continuous extension of the time in the air. These changes make the efficiency of the QLED device decrease and the luminous region uneven. The reason for this phenomenon is that after the ZnO quantum dots are printed into the pixel pit, the random Brownian motion of quantum dots will continue in the process of solvent evaporation. In this process, the ligand ethanolamine connected to the surface of ZnO quantum dots will fall off with the movement and cannot play the role in dispersing the quantum dots. Besides, the external water oxygen and carbon dioxide attach to the film. The combination between the two effects makes the ZnO quantum dots aggregate into large particles and the film becomes loose and porous. In this paper, we use ethylenediamine tetraacetic acid (EDTA) as ligand to synthesize ZnO quantum dots, which can effectively improve this phenomenon. The carboxyl group at the end of EDTA is more stable in connection with ZnO quantum dots. Moreover, the EDTA has multiple branch chains, which makes it have steric hindrance effect and can disperse ZnO effectively. A smooth and compact film with a roughness of 1.97 nm is prepared by inkjet printing. After 40 min exposure to air, the film is still able to maintain a stable morphology. Then, based on the EDTA-ZnO quantum dots synthesized above, red QLED devices with optimized performance are prepared. The current efficiency of the spin-coating device is 16.8 cd/A, which is better than that of the ZnO quantum dots before modification. The EDTA ligand passivates the surface defects of ZnO, alleviates the quenching phenomenon when contacting red quantum dots, and improves the fluorescence quantum efficiency and transient fluorescence lifetime of quantum dots on the electron transport layer. In addition, the EDTA regulates the carrier transport performance, making the carrier recombination of the device more balanced. In the inkjet printing device, the improvement of device morphology plays a leading role in improving the performance. The inkjet printing QLED based on EDTA-ZnO achieves a current efficiency of 9.24 cd/A, and maintains a current efficiency of 6.82 cd/A after 40 min in air, which are 23% and 89% higher than those of the control device. This work provides a reference for solving the problems of film thickness increase and morphology variation caused by particle agglomeration in the preparation of large area devices in inkjet printing.
Inkjet printing as a contact-free, high material utilization, low cost, patternable solution processing technology, may become the future color quantum-dot light-emitting diodes (QLED) production of the key technology. However, owing to the existence of the pixel structure of the substrate array, the film prepared by inkjet printing technology is not so smooth and uniform as that by spin coating technology, which affects the luminescence performance of the device. Therefore, it is necessary to study the film forming mechanism and process of inkjet printing. In order to solve the above problems, this paper focuses on the material and process problems of preparing high-quality electronic transport layer ZnO thin films by inkjet printing. From the perspective of ligand, the ZnO quantum dot material, which is an indispensable electron transport layer, is optimized to prepare the thin films with good morphology and stability in air, and the methods to improve the performances of inkjet printing QLED devices are explored. Firstly, the drying process and influence mechanism of ZnO quantum dot ink in air are investigated. As the thickness of ZnO quantum dot film prepared by inkjet printing increases, the film becomes loose and the surface becomes rough with the continuous extension of the time in the air. These changes make the efficiency of the QLED device decrease and the luminous region uneven. The reason for this phenomenon is that after the ZnO quantum dots are printed into the pixel pit, the random Brownian motion of quantum dots will continue in the process of solvent evaporation. In this process, the ligand ethanolamine connected to the surface of ZnO quantum dots will fall off with the movement and cannot play the role in dispersing the quantum dots. Besides, the external water oxygen and carbon dioxide attach to the film. The combination between the two effects makes the ZnO quantum dots aggregate into large particles and the film becomes loose and porous. In this paper, we use ethylenediamine tetraacetic acid (EDTA) as ligand to synthesize ZnO quantum dots, which can effectively improve this phenomenon. The carboxyl group at the end of EDTA is more stable in connection with ZnO quantum dots. Moreover, the EDTA has multiple branch chains, which makes it have steric hindrance effect and can disperse ZnO effectively. A smooth and compact film with a roughness of 1.97 nm is prepared by inkjet printing. After 40 min exposure to air, the film is still able to maintain a stable morphology. Then, based on the EDTA-ZnO quantum dots synthesized above, red QLED devices with optimized performance are prepared. The current efficiency of the spin-coating device is 16.8 cd/A, which is better than that of the ZnO quantum dots before modification. The EDTA ligand passivates the surface defects of ZnO, alleviates the quenching phenomenon when contacting red quantum dots, and improves the fluorescence quantum efficiency and transient fluorescence lifetime of quantum dots on the electron transport layer. In addition, the EDTA regulates the carrier transport performance, making the carrier recombination of the device more balanced. In the inkjet printing device, the improvement of device morphology plays a leading role in improving the performance. The inkjet printing QLED based on EDTA-ZnO achieves a current efficiency of 9.24 cd/A, and maintains a current efficiency of 6.82 cd/A after 40 min in air, which are 23% and 89% higher than those of the control device. This work provides a reference for solving the problems of film thickness increase and morphology variation caused by particle agglomeration in the preparation of large area devices in inkjet printing.
2023, 72(13): 137302.
doi: 10.7498/aps.72.20230410
Abstract:
Since the discovery of two-dimensional electron gas with high mobility at the LaAlO3/SrTiO3 heterointerface, many physical properties such as two-dimensional superconductivity, magnetism and spin-orbit coupling have been widely studied. The origin of the transition from quantum superconductor to metal at zero temperature in two-dimensional superconductor is still an open problem, which has been discussed intensely. According to the conventional theory, when the temperature is close to zero, the superconductor-insulator transition can be observed by applying a magnetic field or magnetic field effect of disorder, and the ground state should be superconducting or insulating. However, when Jaeger et al. (Jaeger H M, Haviland D B, Orr B G, Goldman A M 1989 Phys. Rev. B 40 182 ) studied the relationship between superconductivity evolution and thickness and temperature in a superconducting granular film, they found that there exists an intermediate metal state that can destroy the direct transition between superconducting and insulating. The intermediate metal state is characterized by the existence of saturation resistance at superconducting transition temperature, and the corresponding ground state is called anomalous metallic state. In addition to the saturation of resistance at low temperature, the characteristics of an anomalous metallic state also include the linear current-voltage (I-V) characteristics in the low current range, the giant positive magnetoresistance (MR), the vanishing of Hall resistance (Rxy), and the tuning capability adjusted by changing a variety of parameters including degree of disorder, gate voltage and magnetic field. In this work, we systematically investigate the electrical transport properties of LaAlO3/SrTiO3 (001) heterointerface in a perpendicular magnetic field at low temperature. The R-T curves and the I-V characteristics in zero magnetic field show that LaAlO3/SrTiO3 (001) heterointerface is in a superconducting state. However, after a small magnetic field is applied, the LaAlO3/SrTiO3 (001) heterointerface has the characteristics of resistance saturation at low temperature, linear I-V characteristics, giant positive MR, abnormal Hall response, indicating the clear characteristics of an anomalous metallic state. The sample undergoes a transition from quantum superconductor to metal at temperatures approaching to zero. In addition, we observe that the anomalous metallic state in an unusually large region under the action of magnetic field, and our main observations are summarized in the H-T phase diagram. By analyzing the relationship between the resistance of the anomalous metallic regime and the magnetic field, and the vanish of Hall resistance, we infer that the anomalous metallic state observed in LaAlO3/SrTiO3 (001) heterointerface can be explained by Bose metal model. According to our findings, the magnetic field regulated LaAlO3/SrTiO3 (001) heterointerface appears as a special platform to study the details of anomalous metallic state in a controllable way.
2023, 72(13): 137501.
doi: 10.7498/aps.72.20222352
Abstract:
Soft magnetic composite materials are prepared by mixing magnetic materials and insulating materials, which possess both the excellent magnetism of magnetic materials and the low resistivity of insulating materials. They possess broad application prospects in emerging power electronics industries such as photovoltaic inverters, new energy vehicles, and charging stations. The third-generation high-frequency wide bandgap semiconductors, mainly composed of SiC and GaN, have the operating frequency of soft magnetic materials raised to MHz. However, current soft magnetic materials have significant core losses at high frequencies. Therefore, people are focus their attention on developing new soft magnetic composite materials to reduce iron core losses at high frequencies. In this paper, γ'-Fe4N with high resistivity is prepared by nitriding carbonyl iron powders, showing its excellent soft magnetic properties, and the γ'-Fe4N is ball-milled to become easy plane γ'-Fe4N powder. Compared with the none easy plane γ'-Fe4N powders, the none easy plane γ'-Fe4N powders are spherical in shape, the easy plane γ'-Fe4N powders exhibit a high aspect to thickness ratio in sheet shape. The obtained easy plane powders are mixed with polyurethane insulation to make the soft magnetic composite. There is a significant difference between the in-plane and out-of-plane hysteresis loop of the magnetostatic easy plane γ'-Fe4N soft magnetic composite, and the in-plane hysteresis loop is more easily magnetized to saturation state. The degree of plane orientation is 98.46%. The fitting analysis results of the Jiles-Atherton model also prove its easy plane characteristic, and has higher effective permeability and lower power loss than the counterparts of the none easy plane γ'-Fe4N composite that is not ball-milled. After loss separation, it is found that in a low frequency range, hysteresis loss is the main loss, while in a high frequency range, the excess loss will surpass the hysteresis loss, acting as the main loss, the magnetostatic easy plane γ'-Fe4N soft magnetic composites material reduces hysteresis loss and excess loss. Comparing with similar soft magnetic composites, the eddy current effect in magnetic iron particles is reduced by nitriding process, and the magnetostatic easy plane γ'-Fe4N soft magnetic composite has excellent high-frequency soft magnetic properties. Magnetostatic easy plane γ'-Fe4N provides a new idea for the high-frequency application of soft magnetic composites matching the third generation wide bandgap semiconductors.
Soft magnetic composite materials are prepared by mixing magnetic materials and insulating materials, which possess both the excellent magnetism of magnetic materials and the low resistivity of insulating materials. They possess broad application prospects in emerging power electronics industries such as photovoltaic inverters, new energy vehicles, and charging stations. The third-generation high-frequency wide bandgap semiconductors, mainly composed of SiC and GaN, have the operating frequency of soft magnetic materials raised to MHz. However, current soft magnetic materials have significant core losses at high frequencies. Therefore, people are focus their attention on developing new soft magnetic composite materials to reduce iron core losses at high frequencies. In this paper, γ'-Fe4N with high resistivity is prepared by nitriding carbonyl iron powders, showing its excellent soft magnetic properties, and the γ'-Fe4N is ball-milled to become easy plane γ'-Fe4N powder. Compared with the none easy plane γ'-Fe4N powders, the none easy plane γ'-Fe4N powders are spherical in shape, the easy plane γ'-Fe4N powders exhibit a high aspect to thickness ratio in sheet shape. The obtained easy plane powders are mixed with polyurethane insulation to make the soft magnetic composite. There is a significant difference between the in-plane and out-of-plane hysteresis loop of the magnetostatic easy plane γ'-Fe4N soft magnetic composite, and the in-plane hysteresis loop is more easily magnetized to saturation state. The degree of plane orientation is 98.46%. The fitting analysis results of the Jiles-Atherton model also prove its easy plane characteristic, and has higher effective permeability and lower power loss than the counterparts of the none easy plane γ'-Fe4N composite that is not ball-milled. After loss separation, it is found that in a low frequency range, hysteresis loss is the main loss, while in a high frequency range, the excess loss will surpass the hysteresis loss, acting as the main loss, the magnetostatic easy plane γ'-Fe4N soft magnetic composites material reduces hysteresis loss and excess loss. Comparing with similar soft magnetic composites, the eddy current effect in magnetic iron particles is reduced by nitriding process, and the magnetostatic easy plane γ'-Fe4N soft magnetic composite has excellent high-frequency soft magnetic properties. Magnetostatic easy plane γ'-Fe4N provides a new idea for the high-frequency application of soft magnetic composites matching the third generation wide bandgap semiconductors.
2023, 72(13): 137701.
doi: 10.7498/aps.72.20230113
Abstract:
The role of plasma-enhanced atomic layer deposition growth of AlGaN ternary alloys on c-planar sapphire substrates and the preparation of quantum dot-sensitized solar cells are explored in this work. The interface between the film and the substrate as well as the band gap of AlGaN ternary alloys during atomic layer deposition is dependent on Al component. At high Al fraction, there appears a good interface between the AlGaN alloy film and the substrate, however, the interface becomes rough when the Al fraction is reduced. The AlGaN alloy prepared by atomic layer deposition has a high band gap, which is related to the oxygen content within the film. Subsequently, CdSe/AlGaN/ZnS and CdSe/ZnS/AlGaN structured cells are prepared and analyzed for quantum dot solar cells from AlGaN films with an AlN/GaN cycle ratio of 1∶1. It is found that AlGaN can modify and passivate quantum dots and TiO2, which can wrap and protect the structure of TiO2 and CdSe quantum dot, thus avoiding the recombination of photo-generated carriers. This modification effect is also reflected in the improvement of open-circuit voltage, short-circuit current, filling factor and photovoltaic conversion efficiency of quantum dot solar cells. These factors are discussed in this work, trying to modify carrier transport characteristics of AlGaN films prepared by atomic layer deposition.
The role of plasma-enhanced atomic layer deposition growth of AlGaN ternary alloys on c-planar sapphire substrates and the preparation of quantum dot-sensitized solar cells are explored in this work. The interface between the film and the substrate as well as the band gap of AlGaN ternary alloys during atomic layer deposition is dependent on Al component. At high Al fraction, there appears a good interface between the AlGaN alloy film and the substrate, however, the interface becomes rough when the Al fraction is reduced. The AlGaN alloy prepared by atomic layer deposition has a high band gap, which is related to the oxygen content within the film. Subsequently, CdSe/AlGaN/ZnS and CdSe/ZnS/AlGaN structured cells are prepared and analyzed for quantum dot solar cells from AlGaN films with an AlN/GaN cycle ratio of 1∶1. It is found that AlGaN can modify and passivate quantum dots and TiO2, which can wrap and protect the structure of TiO2 and CdSe quantum dot, thus avoiding the recombination of photo-generated carriers. This modification effect is also reflected in the improvement of open-circuit voltage, short-circuit current, filling factor and photovoltaic conversion efficiency of quantum dot solar cells. These factors are discussed in this work, trying to modify carrier transport characteristics of AlGaN films prepared by atomic layer deposition.
2023, 72(13): 138101.
doi: 10.7498/aps.72.20230097
Abstract:
According to the phenomenon that the solubility of CH3NH3PbCl3 decreases with the increase of temperature in different solvents, CH3NH3PbCl3 perovskite single crystal with a maximum dimension of 11 mm × 11 mm × 2 mm is grown by introducing a high-quality seed crystal via the seed-induced inverse temperature crystallization method in this work. X-ray diffraction and Rietveld refinements show that the full widths at half maximum (FWHM) of CH3NH3PbCl3 single crystal diffraction peaks are 0.1527°, 0.1353°, 0.2295° and 0.3452°, corresponding to the crystal plane indices of (100), (200), (300) and (400), respectively. And there are no miscellaneous peaks, indicating a good crystal quality. As a result, CH3NH3PbCl3 single crystal is of cubic phase at room temperature, its space group belongs to Pm\begin{document}$ \bar{3} $\end{document} ![]()
![]()
m, and the lattice constant is a = 0.56877 nm. The surface morphology and growth mechanism of CH3NH3PbCl3 crystal are investigated by using a polarizing microscope. It is found that its growth mechanism follows the step horizontal growing mechanism of smooth interface, and its growth direction (that is, step movement direction) is along the outward normal direction of the step. The structural symmetry of CH3NH3PbCl3 crystal is studied by variable temperature Raman spectroscopy, which reveals an orthogonal-tetragonal phase transition at 160 K. But the tetragonal phase structure is not stable, and its temperature range is very narrow. As temperature rises gradually, the tetragonal phase again transforms into a cubic phase (Pm\begin{document}$\bar{3}$\end{document} ![]()
![]()
m). Results of UV-Vis-NIR absorption and photoluminescence spectra show that the absorption cutoff of CH3NH3PbCl3 crystal is about 442 nm, and the photoluminescence peak is 450 nm. Thereupon, its band gap is obtained to be about 2.93 eV by a linear fit of Tauc formula, which is slightly higher than the theoretical value of 2.55 eV calculated by first principles simulation. We believe that it is related to the seed crystal, which is introduced into the crystal growth process as the core of heterogeneous nucleation and thus making the lattice more distorted. The lower the lattice symmetry of CH3NH3PbCl3, the larger the band gap is, that is, the lattice symmetry determines the degree of distortion for inorganic PbCl6 octahedral frameworks, resulting in an increase of band gap for CH3NH3PbCl3.
According to the phenomenon that the solubility of CH3NH3PbCl3 decreases with the increase of temperature in different solvents, CH3NH3PbCl3 perovskite single crystal with a maximum dimension of 11 mm × 11 mm × 2 mm is grown by introducing a high-quality seed crystal via the seed-induced inverse temperature crystallization method in this work. X-ray diffraction and Rietveld refinements show that the full widths at half maximum (FWHM) of CH3NH3PbCl3 single crystal diffraction peaks are 0.1527°, 0.1353°, 0.2295° and 0.3452°, corresponding to the crystal plane indices of (100), (200), (300) and (400), respectively. And there are no miscellaneous peaks, indicating a good crystal quality. As a result, CH3NH3PbCl3 single crystal is of cubic phase at room temperature, its space group belongs to Pm
2023, 72(13): 138501.
doi: 10.7498/aps.72.20230207
Abstract:
In this work, we establish a novel numerical model of total ionizing dose effect and use it to simulate the radiation degradation of Si n-metal-oxide-semiconductor field effect transistor (NMOSFET) under different bias voltages. The model is based on the capture/emission process of traps, and is used to simulate the transient characteristics of semiconductor devices under total ionizing dose effect. In the simulation, the changes of trapped holes in Si/SiO2 interface and gate oxide layer are extracted, and it is found that the number of trapped holes at different positions tends to be saturated with the increase of the total dose. When the radiation bias voltage is positive, the degradation amplitude of the threshold voltage is significantly higher than that when the radiation bias voltage is negative. Whether the gate is applied with positive bias or negative bias during the radiation, the degradation amplitude of the threshold voltage shows a trend of first increasing and then decreasing with the increase of the absolute value of radiation bias voltage. Radiation bias voltage also has a certain effect on the annealing effect after radiation. If a gate bias voltage is applied to the device during the annealing, the electrical characteristics recovery amplitude of the device is lower than that under zero bias voltage.
In this work, we establish a novel numerical model of total ionizing dose effect and use it to simulate the radiation degradation of Si n-metal-oxide-semiconductor field effect transistor (NMOSFET) under different bias voltages. The model is based on the capture/emission process of traps, and is used to simulate the transient characteristics of semiconductor devices under total ionizing dose effect. In the simulation, the changes of trapped holes in Si/SiO2 interface and gate oxide layer are extracted, and it is found that the number of trapped holes at different positions tends to be saturated with the increase of the total dose. When the radiation bias voltage is positive, the degradation amplitude of the threshold voltage is significantly higher than that when the radiation bias voltage is negative. Whether the gate is applied with positive bias or negative bias during the radiation, the degradation amplitude of the threshold voltage shows a trend of first increasing and then decreasing with the increase of the absolute value of radiation bias voltage. Radiation bias voltage also has a certain effect on the annealing effect after radiation. If a gate bias voltage is applied to the device during the annealing, the electrical characteristics recovery amplitude of the device is lower than that under zero bias voltage.
2023, 72(13): 138502.
doi: 10.7498/aps.72.20230480
Abstract:
Ti3C2Tx, as one of new two-dimensional materials MXene, has abundant surface functional groups (—OH, —F, and —O, etc.) and can exhibit semiconductor properties through further surface functionalization. In addition, it has excellent absorption capabilities for both infrared and visible light. Currently, there is limited research on applying the semiconductor properties of Ti3C2Tx to infrared photodetectors. In this study, a self-driven near-infrared photodetector based on a C14H31O3P-Ti3C2/Au Schottky junction is developed. The modified C14H31O3P-Ti3C2 two-dimensional semiconductor is prepared by a simple solution method, in which the phosphonic acid group reacts with the hydroxyl group on the Ti3C2Tx surface. The C14H31O3P-Ti3C2/Au photodetector is constructed by using a drop-coating method at room temperature. The observation of an S-shaped curve in the I-V characteristics indicates the formation of a Schottky junction between C14H31O3P-Ti3C2 nanosheets and the Au electrode. The device exhibits good detection performance in the near-infrared band (808–1342 nm), with a maximum responsivity of 0.28 A/W, a detectivity of 4.3×107 Jones and an external quantum efficiency (EQE) of 32.75% under 1064 nm infrared light illumination. The Ion/Ioff ratio is 10.4, which is about 7.3 times higher than that under 1342 nm light. The response time and the recovery time of the device are 0.9 s and 0.5 s, respectively. After 10 cycles of I-t, the photocurrent does not show any significant decay, indicating excellent repeatability and cycle stability of the device. Owing to the built-in electric field formed by the Schottky junction, photo-generated electrons and holes can quickly separate and produce photocurrent in the external circuit without the need for external voltage driving. In addition, the C14H31O3P-Ti3C2 film obtained by drop-casting on Au is composed of several layers of nanosheets that are randomly stacked, which can effectively relax the plasma momentum limitation, promote the generation of hot electrons, and contribute to the photocurrent. As the C14H31O3P-Ti3C2/Au Schottky junction photodetector possesses self-driven characteristics and simple fabrication process, it exhibits great potential applications in detecting weak light signals, such as in the fields of astronomy and biomedical science. The successful fabrication of this photodetector provides a new approach for designing and developing MXene-based near-infrared detectors, thus promoting further advancements in this field.
Ti3C2Tx, as one of new two-dimensional materials MXene, has abundant surface functional groups (—OH, —F, and —O, etc.) and can exhibit semiconductor properties through further surface functionalization. In addition, it has excellent absorption capabilities for both infrared and visible light. Currently, there is limited research on applying the semiconductor properties of Ti3C2Tx to infrared photodetectors. In this study, a self-driven near-infrared photodetector based on a C14H31O3P-Ti3C2/Au Schottky junction is developed. The modified C14H31O3P-Ti3C2 two-dimensional semiconductor is prepared by a simple solution method, in which the phosphonic acid group reacts with the hydroxyl group on the Ti3C2Tx surface. The C14H31O3P-Ti3C2/Au photodetector is constructed by using a drop-coating method at room temperature. The observation of an S-shaped curve in the I-V characteristics indicates the formation of a Schottky junction between C14H31O3P-Ti3C2 nanosheets and the Au electrode. The device exhibits good detection performance in the near-infrared band (808–1342 nm), with a maximum responsivity of 0.28 A/W, a detectivity of 4.3×107 Jones and an external quantum efficiency (EQE) of 32.75% under 1064 nm infrared light illumination. The Ion/Ioff ratio is 10.4, which is about 7.3 times higher than that under 1342 nm light. The response time and the recovery time of the device are 0.9 s and 0.5 s, respectively. After 10 cycles of I-t, the photocurrent does not show any significant decay, indicating excellent repeatability and cycle stability of the device. Owing to the built-in electric field formed by the Schottky junction, photo-generated electrons and holes can quickly separate and produce photocurrent in the external circuit without the need for external voltage driving. In addition, the C14H31O3P-Ti3C2 film obtained by drop-casting on Au is composed of several layers of nanosheets that are randomly stacked, which can effectively relax the plasma momentum limitation, promote the generation of hot electrons, and contribute to the photocurrent. As the C14H31O3P-Ti3C2/Au Schottky junction photodetector possesses self-driven characteristics and simple fabrication process, it exhibits great potential applications in detecting weak light signals, such as in the fields of astronomy and biomedical science. The successful fabrication of this photodetector provides a new approach for designing and developing MXene-based near-infrared detectors, thus promoting further advancements in this field.
2023, 72(13): 138503.
doi: 10.7498/aps.72.20230283
Abstract:
High sensitivity optical gyroscopes, as an important component of aerospace navigation system, have become a research hotspot. The sensitivity of the classical optical gyroscope is restricted by the shot-noise-limit owing to the vacuum zero energy fluctuation. Therefore, the classical optical gyroscope cannot meet the growing demand of navigation, sensing and communication. In this work, a measurement scheme of quantum gyroscope based on frequency entangled source and Hong-Ou-Mandel (HOM) interference is proposed. In order to realize high-precision delay measurement, the interference visibility and width of HOM interferogram are regulated by changing the bandwidth of pump laser and the length of nonlinear crystal. However, traditional experimental regulation method is inefficient and time consuming. On the basis of the above scheme, a delay measurement scheme of HOM interference based on SSA-BP network is established. The SSA-BP network is used to simulate different bandwidths of pump laser and the lengths of nonlinear crystal to predict the interference visibility and width of HOM interferogram. The verification results show that the mean square error (MSE), the mean absolute error (MAE) and the mean absolute percentage error (MAPE) predicted by SSA-BP network are smallest. Based on the above SSA-BP network model, the interference visibility and width of HOM interferogram are\begin{document}$\alpha = 1$\end{document} ![]()
![]()
and \begin{document}$\sigma = 5.9\;{\text{ ps}}$\end{document} ![]()
![]()
respectively. Combined with quantum Fisher information, the maximum value of F is obtained to be 1.999. Meanwhile, according to the Cramer-Rao bound theory, the minimum ratio of the uncertainty of the delay to the shot-noise-limit can reach 0.707, indicating that the precision of delay measurement is increased by 2 orders of magnitude. According to the relationship between delay and rotational angular velocity, the measurement sensitivity of the rotational angular velocity is improved by 2 orders of magnitude compared with that of the classical optical gyroscope. These results prove that the above quantum gyroscope scheme can realize the measurement sensitivity of rotational angular velocity beyond the shot-noise-limit. Therefore, the SSA-BP network model can provide theoretical support for the subsequent experimental verification of quantum gyroscopes based on HOM interference delay measurement, and is the technical basis for the development of quantum navigation, quantum sensing and quantum communication.
High sensitivity optical gyroscopes, as an important component of aerospace navigation system, have become a research hotspot. The sensitivity of the classical optical gyroscope is restricted by the shot-noise-limit owing to the vacuum zero energy fluctuation. Therefore, the classical optical gyroscope cannot meet the growing demand of navigation, sensing and communication. In this work, a measurement scheme of quantum gyroscope based on frequency entangled source and Hong-Ou-Mandel (HOM) interference is proposed. In order to realize high-precision delay measurement, the interference visibility and width of HOM interferogram are regulated by changing the bandwidth of pump laser and the length of nonlinear crystal. However, traditional experimental regulation method is inefficient and time consuming. On the basis of the above scheme, a delay measurement scheme of HOM interference based on SSA-BP network is established. The SSA-BP network is used to simulate different bandwidths of pump laser and the lengths of nonlinear crystal to predict the interference visibility and width of HOM interferogram. The verification results show that the mean square error (MSE), the mean absolute error (MAE) and the mean absolute percentage error (MAPE) predicted by SSA-BP network are smallest. Based on the above SSA-BP network model, the interference visibility and width of HOM interferogram are
2023, 72(13): 138504.
doi: 10.7498/aps.72.20230267
Abstract:
Injecting spins into nonmagnetic molecular devices has attracted much attention in molecular spintronics. Herein, we propose a novel strategy to introduce magnetism into a single benzene molecule coupled with two armchair graphene nanoribbons (AGNR) electrodes, where the ends of two AGNR electrodes are cut into zigzag-edge triangular graphenes (ZTGs). The spin-dependent transport properties of the molecular junction are investigated by using the density functional theory (DFT) combined with the non-equilibrium Green’s function (NEGF) method. The analyses of the spin-dependent projected density of states and the net spin density distribution of the scattering region reveal that the intrinsic magnetism of the ZTGs is weakened, owing to spin transfer from ZTGs to AGNR electrodes and the benzene molecule. More interestingly, the attenuated intrinsic magnetism of the ZTGs can still contribute to a significant spin transport of the molecular junction. Transport calculations show that in the parallel spin configuration, a large spin polarization of nearly 90% current is obtained. However, the spin polarization of current is reversed in antiparallel spin configuration. Positive or negative tunneling magnetoresistance (TMR) can be modulated by bias voltage. A TMR up to 53% is obtained in the device. The results are further analyzed from the transmission spectra and local density of states. This work presents a promising potential applications of the ZTGs in the field of molecular spintronics, which can contribute to the design of graphene nanoribbons based molecular spintronic devices.
Injecting spins into nonmagnetic molecular devices has attracted much attention in molecular spintronics. Herein, we propose a novel strategy to introduce magnetism into a single benzene molecule coupled with two armchair graphene nanoribbons (AGNR) electrodes, where the ends of two AGNR electrodes are cut into zigzag-edge triangular graphenes (ZTGs). The spin-dependent transport properties of the molecular junction are investigated by using the density functional theory (DFT) combined with the non-equilibrium Green’s function (NEGF) method. The analyses of the spin-dependent projected density of states and the net spin density distribution of the scattering region reveal that the intrinsic magnetism of the ZTGs is weakened, owing to spin transfer from ZTGs to AGNR electrodes and the benzene molecule. More interestingly, the attenuated intrinsic magnetism of the ZTGs can still contribute to a significant spin transport of the molecular junction. Transport calculations show that in the parallel spin configuration, a large spin polarization of nearly 90% current is obtained. However, the spin polarization of current is reversed in antiparallel spin configuration. Positive or negative tunneling magnetoresistance (TMR) can be modulated by bias voltage. A TMR up to 53% is obtained in the device. The results are further analyzed from the transmission spectra and local density of states. This work presents a promising potential applications of the ZTGs in the field of molecular spintronics, which can contribute to the design of graphene nanoribbons based molecular spintronic devices.
2023, 72(13): 138801.
doi: 10.7498/aps.72.20230357
Abstract:
Compared with three-dimensional (3D) perovskites, two-dimensional (2D) perovskites have excellent environmental stability. However, the efficiency of 2D perovskite solar cells is still lower than that of their 3D counterparts owing to the poor carrier transport. In order to improve the efficiency of 2D perovskite solar cells, the cesium (Cs) doping 2D (CMA)2MA8Pb9I28 films with an inverse gradient structure (small n quantum well (QW) located at the surface and large n QW at the bottom) are prepared. The inverse gradient QW structure has the advantages of being more moisture-resistant (small n QW protects the vulnerable large n QW from being attacked by water molecules) and favoring self-driven charge transport (type-II band alignment between different phases). The results show that the quality and thermal stability of 2D (CMA)2MA8Pb9I28 film can be effectively improved by using Cs doping. The SEM images show that the film grains become larger, and the surface is smoother and more compact with CsI content increasing. When CsI increases to 15%, the surface becomes coarse. From the XRD, it can be seen that the crystallinity of perovskite is improved with CsI doping, and it reaches saturation when CsI content increases to 10%. The PL intensity of the film with 5% CsI is higher than the others’, implying a relatively low non-radiative recombination loss and low defect state in that film. Therefore, the minority carrier average lifetime of film doped with 5% CsI is the longest. The absorption is almost unchanged when CsI is doped. The thermal stability of film can be effectively improved when CsI exceeds 10%. Considering the SEM images, crystallinity, PL intensity, light absorption and thermal stability of perovskite, the optimized CsI doped concentration is 10% in our work. Finally, the highest efficiency of (CMA)2MA8Pb9I28 perovskite solar cells doped with 10% CsI content reaches to 14.67%, with a short-circuit current density (JSC) of 23.16 mA/cm2, an open-circuit voltage (Voc) of 1.05 V and a fill factor (FF) of 60.75%. The efficiency of the undoped cells is 10.06%, which is lower than that of CsI doped cells (10%). Therefore, CsI doping is an effective method to further improve the efficiency and thermal stability of 2D perovskite solar cells.
Compared with three-dimensional (3D) perovskites, two-dimensional (2D) perovskites have excellent environmental stability. However, the efficiency of 2D perovskite solar cells is still lower than that of their 3D counterparts owing to the poor carrier transport. In order to improve the efficiency of 2D perovskite solar cells, the cesium (Cs) doping 2D (CMA)2MA8Pb9I28 films with an inverse gradient structure (small n quantum well (QW) located at the surface and large n QW at the bottom) are prepared. The inverse gradient QW structure has the advantages of being more moisture-resistant (small n QW protects the vulnerable large n QW from being attacked by water molecules) and favoring self-driven charge transport (type-II band alignment between different phases). The results show that the quality and thermal stability of 2D (CMA)2MA8Pb9I28 film can be effectively improved by using Cs doping. The SEM images show that the film grains become larger, and the surface is smoother and more compact with CsI content increasing. When CsI increases to 15%, the surface becomes coarse. From the XRD, it can be seen that the crystallinity of perovskite is improved with CsI doping, and it reaches saturation when CsI content increases to 10%. The PL intensity of the film with 5% CsI is higher than the others’, implying a relatively low non-radiative recombination loss and low defect state in that film. Therefore, the minority carrier average lifetime of film doped with 5% CsI is the longest. The absorption is almost unchanged when CsI is doped. The thermal stability of film can be effectively improved when CsI exceeds 10%. Considering the SEM images, crystallinity, PL intensity, light absorption and thermal stability of perovskite, the optimized CsI doped concentration is 10% in our work. Finally, the highest efficiency of (CMA)2MA8Pb9I28 perovskite solar cells doped with 10% CsI content reaches to 14.67%, with a short-circuit current density (JSC) of 23.16 mA/cm2, an open-circuit voltage (Voc) of 1.05 V and a fill factor (FF) of 60.75%. The efficiency of the undoped cells is 10.06%, which is lower than that of CsI doped cells (10%). Therefore, CsI doping is an effective method to further improve the efficiency and thermal stability of 2D perovskite solar cells.
2023, 72(13): 138802.
doi: 10.7498/aps.72.20222100
Abstract:
Perovskite solar cells (PSCs) have a great potential for space applications due to their high specific power, low cost and high defect tolerance. PSCs used in space will be subjected to high-energy particle irradiation, especially proton irradiation, resulting in the decline of photovoltaic (PV) performance. However, the research on proton irradiation effects in PSCs is still in its infancy stage. In this work, the CH3NH3PbI3 (MAPbI3) thin films and their PSCs are irradiated by protons with energy of 0.1, 2, 10, 20 MeV, etc. Irradiation-induced changes in PV parameters of the PSCs are studied as a function of proton fluence. The structural and surface morphological changes of the irradiated MAPbI3 films and Au electrode layers of PSCs are characterized by X-ray diffraction and scanning electron microscopy. In addition, UV spectrophotometer is also employed to analyze the transmission loss in glass substrate induced by proton irradiation. It is found that PSCs exhibit superior resistance against proton irradiation. The PV properties of the PSCs don’t degrade after 0.1 MeV (2 MeV) proton irradiation up to a fluence of 1×1013 p/cm2 (1×1014 p/cm2). The irradiation-induced damage in the charge transport layers may be the main cause for the performance degradation of PSCs. The gaseous products (NH3 and CH3I) of perovskite decomposition eventually lead to exfoliation of the top Au electrode from the PSCs. Regarding 10 and 20 MeV proton irradiation with larger projected ion ranges, the irradiations create color center defects in glass substrate of PSCs, which results in a decrease in light transmission of visible spectrum. However, the color center defects, specifically non-bridging oxygen hole centers, will be partly annealed at room temperature or 100 ℃, reducing the transmission loss in glass. The reported results may help predict the performance degradation of PSCs in space irradiation environment.
Perovskite solar cells (PSCs) have a great potential for space applications due to their high specific power, low cost and high defect tolerance. PSCs used in space will be subjected to high-energy particle irradiation, especially proton irradiation, resulting in the decline of photovoltaic (PV) performance. However, the research on proton irradiation effects in PSCs is still in its infancy stage. In this work, the CH3NH3PbI3 (MAPbI3) thin films and their PSCs are irradiated by protons with energy of 0.1, 2, 10, 20 MeV, etc. Irradiation-induced changes in PV parameters of the PSCs are studied as a function of proton fluence. The structural and surface morphological changes of the irradiated MAPbI3 films and Au electrode layers of PSCs are characterized by X-ray diffraction and scanning electron microscopy. In addition, UV spectrophotometer is also employed to analyze the transmission loss in glass substrate induced by proton irradiation. It is found that PSCs exhibit superior resistance against proton irradiation. The PV properties of the PSCs don’t degrade after 0.1 MeV (2 MeV) proton irradiation up to a fluence of 1×1013 p/cm2 (1×1014 p/cm2). The irradiation-induced damage in the charge transport layers may be the main cause for the performance degradation of PSCs. The gaseous products (NH3 and CH3I) of perovskite decomposition eventually lead to exfoliation of the top Au electrode from the PSCs. Regarding 10 and 20 MeV proton irradiation with larger projected ion ranges, the irradiations create color center defects in glass substrate of PSCs, which results in a decrease in light transmission of visible spectrum. However, the color center defects, specifically non-bridging oxygen hole centers, will be partly annealed at room temperature or 100 ℃, reducing the transmission loss in glass. The reported results may help predict the performance degradation of PSCs in space irradiation environment.
2023, 72(13): 138803.
doi: 10.7498/aps.72.20230352
Abstract:
Flexible III-V thin-film solar cells are usually used as space power supply in spacecrafts. In practical applications, suitable encapsulated materials can protect the cells from being affected by environmental factors such as moisture, oxidation and pollutants. Therefore, it is critical to explore suitable flexible encapsulation schemes and long-term stability of solar cell performance. In this paper, the prepared flexible GaInP/GaAs solar cells are welded by resistance welding, and then laminated with polymer encapsulation thin films and hot melt adhesives with high light transmission. After being encapsulated, the flexible two-junction solar cell achieves good electrical performance (Jsc = 13.105 mA·cm–2, Voc = 2.360 V), the photoelectric conversion efficiency can reach 24.81%, and the weight density is about 405 g/m2. The performance stability and environmental tolerance of the encapsulated flexible GaInP/GaAs solar cells under complex storage conditions are investigated. The results show that the encapsulated flexible solar cells still maintain good stability after 85 ℃/85% RH damp heat has been tested for more than 1000 h and 108 cycles of thermal cycling test between –60 ℃ and 75 ℃, respectively. It also proves that the encapsulated technology adopted in this experiment is feasible and has an excellent protective effect on the double-junction solar cells. However, there is a slight decrease in the open-circuit voltage in the long-term damp heat test (ΔVoc ≈ 0.023 V), which may reflect the change of the solar cell itself. By further extracting the changes of the ideal factors n1 and n2 representing the recombination mechanism and diffusion mechanism respectively from the dark I-V curves (Δn1 = 1.295, Δn2 = 0.087), it can be found that the slight drop of open-circuit voltage is closely related to the recombination enhancement (Δn1\begin{document}$\gg $\end{document} ![]()
![]()
Δn2). In the long-term high temperature and humidity environment, it is easy to introduce defects in the material of the solar cells, serving as the carrier recombination centers, thus accelerating the carrier recombination, reducing the parallel resistance, shortening the minority carrier lifetime, and increasing the reverse saturation current resulting in a slight drop in the open-circuit voltage. In addition, the electrical simulation results based on the diode-model indicate that the change in the performance of the solar cells after flexible encapsulation is due to the enhanced carrier recombination under damp heat test, which reduces the open-circuit voltage.
Flexible III-V thin-film solar cells are usually used as space power supply in spacecrafts. In practical applications, suitable encapsulated materials can protect the cells from being affected by environmental factors such as moisture, oxidation and pollutants. Therefore, it is critical to explore suitable flexible encapsulation schemes and long-term stability of solar cell performance. In this paper, the prepared flexible GaInP/GaAs solar cells are welded by resistance welding, and then laminated with polymer encapsulation thin films and hot melt adhesives with high light transmission. After being encapsulated, the flexible two-junction solar cell achieves good electrical performance (Jsc = 13.105 mA·cm–2, Voc = 2.360 V), the photoelectric conversion efficiency can reach 24.81%, and the weight density is about 405 g/m2. The performance stability and environmental tolerance of the encapsulated flexible GaInP/GaAs solar cells under complex storage conditions are investigated. The results show that the encapsulated flexible solar cells still maintain good stability after 85 ℃/85% RH damp heat has been tested for more than 1000 h and 108 cycles of thermal cycling test between –60 ℃ and 75 ℃, respectively. It also proves that the encapsulated technology adopted in this experiment is feasible and has an excellent protective effect on the double-junction solar cells. However, there is a slight decrease in the open-circuit voltage in the long-term damp heat test (ΔVoc ≈ 0.023 V), which may reflect the change of the solar cell itself. By further extracting the changes of the ideal factors n1 and n2 representing the recombination mechanism and diffusion mechanism respectively from the dark I-V curves (Δn1 = 1.295, Δn2 = 0.087), it can be found that the slight drop of open-circuit voltage is closely related to the recombination enhancement (Δn1
2023, 72(13): 139501.
doi: 10.7498/aps.72.20230218
Abstract:
The implicit Monte Carlo (IMC) method is an important numerical approximation method of simulating the thermal radiative transfer problems under high temperature condition. However, one problem plaguing the IMC method is that the calculation error distributions of the radiation specific intensities are highly asymmetric in space and time. By theoretical analysis and numerical simulations, we find that the error is affected by the records of track in the tallying mesh. Accordingly, a global variance reduction method for implicit Monte Carlo simulation is developed and the corresponding formulas are derived. This method includes three key techniques: 1) the automated dynamic distribution method for the Monte Carlo simulation source particles; 2) the dynamic weight-window technique and the none-bias weight revise algorithm that is suited to the particle distribution method; 3) the analytical estimation variance reduction method of the radiation specific intensity. In view of the above, a three-dimensional simulation code, named IMC3D, is developed to simulate the thermal radiative transfer phenomena. The typical thermal radiative transport problem, known as Marshak wave, is simulated. The simulation results indicate that the global variance reduction method for implicit Monte Carlo makes the statistical errors much more symmetric in space and time and the maximum of error is controllable, thereby increasing the calculation speed approximately 10 times. The new IMC method and code are used for simulating the radiative transportation in hohlraum of ICF successfully.
The implicit Monte Carlo (IMC) method is an important numerical approximation method of simulating the thermal radiative transfer problems under high temperature condition. However, one problem plaguing the IMC method is that the calculation error distributions of the radiation specific intensities are highly asymmetric in space and time. By theoretical analysis and numerical simulations, we find that the error is affected by the records of track in the tallying mesh. Accordingly, a global variance reduction method for implicit Monte Carlo simulation is developed and the corresponding formulas are derived. This method includes three key techniques: 1) the automated dynamic distribution method for the Monte Carlo simulation source particles; 2) the dynamic weight-window technique and the none-bias weight revise algorithm that is suited to the particle distribution method; 3) the analytical estimation variance reduction method of the radiation specific intensity. In view of the above, a three-dimensional simulation code, named IMC3D, is developed to simulate the thermal radiative transfer phenomena. The typical thermal radiative transport problem, known as Marshak wave, is simulated. The simulation results indicate that the global variance reduction method for implicit Monte Carlo makes the statistical errors much more symmetric in space and time and the maximum of error is controllable, thereby increasing the calculation speed approximately 10 times. The new IMC method and code are used for simulating the radiative transportation in hohlraum of ICF successfully.
2023, 72(13): 139502.
doi: 10.7498/aps.72.20230290
Abstract:
In an adaptive optical system, the optimal modal control method refers to applying proportional integral control of different bandwidths to the wavefront aberrations after modal decomposition to achieve better closed-loop results than the unified bandwidth modal control. The optimal modal gain usually needs to be obtained by ergodic solution based on the transfer function model of the adaptive optical system, the measured disturbance power spectral density, and the noise power spectral density, which usually takes a long time. Owing to the time-varying statistical characteristics of atmospheric turbulence, it is difficult to ensure the timeliness of the optimal modal gain. Therefore, we propose a method of fast estimating optimal modal gain based on quadratic polynomial fitting. In the method, it is only necessary to choose three reasonable gain coefficients and calculate their corresponding closed-loop residual errors respectively in order to estimate the optimal gain of single mode. The simulated slope data used in this work are cited from Lijiang 1.8 m adaptive telescope system, which consists of a 241-unit deformable secondary mirror and a Shaker-Hartmann wavefront sensor with 192 sub-apertures, with the first 135-order modes corrected by modal method. Our experiment is to test directly on-line on this system. The results show that under the same atmospheric environment, the proposed method can accurately estimate the optimal modal gain in a very short time and effectively suppress the high-order wavefront aberration. At the same time, owing to the reduced time complexity of the algorithm, the improved optimal modal gain estimation method takes only 0.33 s. Comparatively, it will take 7.08 s to obtain the optimal modal gain coefficient by using the parameter traversal method. Therefore the time spent on obtaining the optimal modal gain is shortened by about 95.3%, which is easier to meet the real-time requirements of the telescope, and beneficial to the adaptive optics system with more high-order modes. For the future adaptive optics system with more than one-thousand units, the proposed method can update the optimal gain to the second level, while the traversal method can only reach the minute level.
In an adaptive optical system, the optimal modal control method refers to applying proportional integral control of different bandwidths to the wavefront aberrations after modal decomposition to achieve better closed-loop results than the unified bandwidth modal control. The optimal modal gain usually needs to be obtained by ergodic solution based on the transfer function model of the adaptive optical system, the measured disturbance power spectral density, and the noise power spectral density, which usually takes a long time. Owing to the time-varying statistical characteristics of atmospheric turbulence, it is difficult to ensure the timeliness of the optimal modal gain. Therefore, we propose a method of fast estimating optimal modal gain based on quadratic polynomial fitting. In the method, it is only necessary to choose three reasonable gain coefficients and calculate their corresponding closed-loop residual errors respectively in order to estimate the optimal gain of single mode. The simulated slope data used in this work are cited from Lijiang 1.8 m adaptive telescope system, which consists of a 241-unit deformable secondary mirror and a Shaker-Hartmann wavefront sensor with 192 sub-apertures, with the first 135-order modes corrected by modal method. Our experiment is to test directly on-line on this system. The results show that under the same atmospheric environment, the proposed method can accurately estimate the optimal modal gain in a very short time and effectively suppress the high-order wavefront aberration. At the same time, owing to the reduced time complexity of the algorithm, the improved optimal modal gain estimation method takes only 0.33 s. Comparatively, it will take 7.08 s to obtain the optimal modal gain coefficient by using the parameter traversal method. Therefore the time spent on obtaining the optimal modal gain is shortened by about 95.3%, which is easier to meet the real-time requirements of the telescope, and beneficial to the adaptive optics system with more high-order modes. For the future adaptive optics system with more than one-thousand units, the proposed method can update the optimal gain to the second level, while the traversal method can only reach the minute level.









