2023 Vol. 72, No. 6
column
- SPECIAL TOPIC—Two dimensional twisted moiré superlattice
- REVIEW
- GENERAL
- ATOMIC AND MOLECULAR PHYSICS
- ELECTROMAGNETISM, OPTICS, ACOUSTICS, HEAT TRANSFER, CLASSICAL MECHANICS, AND FLUID DYNAMICS
- PHYSICS OF GASES, PLASMAS, AND ELECTRIC DISCHARGES
- COVER ARTICLE
- CONDENSED MATTER: ELECTRONIC STRUCTURE, ELECTRICAL, MAGNETIC, AND OPTICAL PROPERTIES
- INTERDISCIPLINARY PHYSICS AND RELATED AREAS OF SCIENCE AND TECHNOLOGY
- GEOPHYSICS, ASTRONOMY, AND ASTROPHYSICS
Display Method:
2023, 72(6): 067101.
doi: 10.7498/aps.72.20230079
Abstract:
Interlayer electron and hole can be paired up through coulomb interaction to form an exciton insulator when their kinetic energy is substantially smaller than the interaction energy. The traditional platform to realize such an interlayer interaction is the double quantum well with dielectric material between electron and hole, for which an external magnetic field is required to generate Landau level flat bands that can reduce the kinetic energy of charged carriers. When both quantum wells are at the half filling of the lowest landau level, the electron-electron repulsive interaction, by the particle-hole transformation in one well, will be equivalent to electron-hole attractive interaction, from which interlayer exciton and its condensation can emerge. In a two-dimensional twisted homostructure or an angle aligned heterostructure, there exists a moiré superlattice, in which bands are folded into the mini-Brillouin zone by the large moiré period. Gap opening at the boundary of mini-Brillouin zone can form the well-known moiré flat band. This review will discuss how to use the moiré flat bands to generate exciton insulator in the absence of external magnetic field in transitional metal dichalcogenide (TMD) moiré heterostructure. Unlike the double quantum well where symmetric well geometry is used, the moiré related sample can have multiple different geometries, including monolayer TMD-hexagonal boron nitride-moiré structure, moiré-moiré structure, and monolayer TMD-bilayer TMD structure. The carriers in those structures can be well tuned to locate equally in different layers, and particle-hole transformation in the moiré first Hubbard band can transform the interlayer repulsive coulomb interaction into attractive interaction, which is the same as that in quantum well under magnetic field. We will show that by using differential contrast reflection spectrum, interlayer photoluminescence, 2s exciton sensing, quantum capacitance and microwave impedance microscopy, the signature of exciton fluid can be identified. The excitonic coherence features in those structures will promise by using the coulomb drag technique and counter flow technique in future. In general, exciton in moiré lattice is a promising candidate for studying the Bose-Hubbard model in solids and can well realize exciton superfluidity, excitonic mott insulator as well as the crossover between them.
Interlayer electron and hole can be paired up through coulomb interaction to form an exciton insulator when their kinetic energy is substantially smaller than the interaction energy. The traditional platform to realize such an interlayer interaction is the double quantum well with dielectric material between electron and hole, for which an external magnetic field is required to generate Landau level flat bands that can reduce the kinetic energy of charged carriers. When both quantum wells are at the half filling of the lowest landau level, the electron-electron repulsive interaction, by the particle-hole transformation in one well, will be equivalent to electron-hole attractive interaction, from which interlayer exciton and its condensation can emerge. In a two-dimensional twisted homostructure or an angle aligned heterostructure, there exists a moiré superlattice, in which bands are folded into the mini-Brillouin zone by the large moiré period. Gap opening at the boundary of mini-Brillouin zone can form the well-known moiré flat band. This review will discuss how to use the moiré flat bands to generate exciton insulator in the absence of external magnetic field in transitional metal dichalcogenide (TMD) moiré heterostructure. Unlike the double quantum well where symmetric well geometry is used, the moiré related sample can have multiple different geometries, including monolayer TMD-hexagonal boron nitride-moiré structure, moiré-moiré structure, and monolayer TMD-bilayer TMD structure. The carriers in those structures can be well tuned to locate equally in different layers, and particle-hole transformation in the moiré first Hubbard band can transform the interlayer repulsive coulomb interaction into attractive interaction, which is the same as that in quantum well under magnetic field. We will show that by using differential contrast reflection spectrum, interlayer photoluminescence, 2s exciton sensing, quantum capacitance and microwave impedance microscopy, the signature of exciton fluid can be identified. The excitonic coherence features in those structures will promise by using the coulomb drag technique and counter flow technique in future. In general, exciton in moiré lattice is a promising candidate for studying the Bose-Hubbard model in solids and can well realize exciton superfluidity, excitonic mott insulator as well as the crossover between them.
2023, 72(6): 067302.
doi: 10.7498/aps.72.20230120
Abstract:
In this review, we discuss the electronic structures, topological properties, correlated states, nonlinear optical responses, as well as phonon and electron-phonon coupling effects of moiré graphene superlattices. First, we illustrate that topologically non-trivial flat bands and moiré orbital magnetism are ubiquitous in various twisted graphene systems. In particular, the topological flat bands of magic-angle twisted bilayer graphene can be explained from a zeroth pseudo-Landau-level picture, which can naturally explain the experimentally observed quantum anomalous Hall effect and some of the other correlated states. These topologically nontrivial flat bands may lead to nearly quantized piezoelectric response, which can be used to directly probe the valley Chern numbers in these moiré graphene systems. A simple and general chiral decomposition rule is reviewed and discussed, which can be used to predict the low-energy band dispersions of generic twisted multilayer graphene system and alternating twisted multilayer graphene system. This review further discusses nontrivial interaction effects of magic-angle TBG such as the correlated insulator states, density wave states, cascade transitions, and nematic states, and proposes nonlinear optical measurement as an experimental probe to distinguish the different “featureless” correlated states. The phonon properties and electron-phonon coupling effects are also briefly reviewed. The novel physics emerging from band-aligned graphene-insulator heterostructres is also discussed in this review. In the end, we make a summary and an outlook about the novel physical properties of moiré superlattices based on two-dimensional materials.
In this review, we discuss the electronic structures, topological properties, correlated states, nonlinear optical responses, as well as phonon and electron-phonon coupling effects of moiré graphene superlattices. First, we illustrate that topologically non-trivial flat bands and moiré orbital magnetism are ubiquitous in various twisted graphene systems. In particular, the topological flat bands of magic-angle twisted bilayer graphene can be explained from a zeroth pseudo-Landau-level picture, which can naturally explain the experimentally observed quantum anomalous Hall effect and some of the other correlated states. These topologically nontrivial flat bands may lead to nearly quantized piezoelectric response, which can be used to directly probe the valley Chern numbers in these moiré graphene systems. A simple and general chiral decomposition rule is reviewed and discussed, which can be used to predict the low-energy band dispersions of generic twisted multilayer graphene system and alternating twisted multilayer graphene system. This review further discusses nontrivial interaction effects of magic-angle TBG such as the correlated insulator states, density wave states, cascade transitions, and nematic states, and proposes nonlinear optical measurement as an experimental probe to distinguish the different “featureless” correlated states. The phonon properties and electron-phonon coupling effects are also briefly reviewed. The novel physics emerging from band-aligned graphene-insulator heterostructres is also discussed in this review. In the end, we make a summary and an outlook about the novel physical properties of moiré superlattices based on two-dimensional materials.
2023, 72(6): 068402.
doi: 10.7498/aps.72.20222320
Abstract:
High voltage cable is the key factor to determine the quality and capacity of power transmission. Polypropylene has widely attracted more attention because of its excellent heat resistance, insulation and green environmental protection, and it is used as cable material. Polypropylene insulation material for high voltage cable needs to bear pulsed voltage and the DC rated voltage, which can easily cause electric field to be distorted and lead the space charge to be accumulated. Meanwhile, the change of cable temperature will also affect the conductivity of insulating material and promote the accumulation of space charge, resulting in the distortion of internal electric field of insulating material and the initiation and growth of electric tree. Therefore, it is necessary to regulate the electric field of high voltage cable so as to suppress the deterioration phenomena such as electric field distortion, partial discharge and electrical demoralization. In this work, the theory and method of regulating DC electric field of polypropylene insulation of high voltage cable is first introduced. Then the main direction of electric field regulation is presented. Finally, the application prospect of polypropylene cable insulation is also put forward.
High voltage cable is the key factor to determine the quality and capacity of power transmission. Polypropylene has widely attracted more attention because of its excellent heat resistance, insulation and green environmental protection, and it is used as cable material. Polypropylene insulation material for high voltage cable needs to bear pulsed voltage and the DC rated voltage, which can easily cause electric field to be distorted and lead the space charge to be accumulated. Meanwhile, the change of cable temperature will also affect the conductivity of insulating material and promote the accumulation of space charge, resulting in the distortion of internal electric field of insulating material and the initiation and growth of electric tree. Therefore, it is necessary to regulate the electric field of high voltage cable so as to suppress the deterioration phenomena such as electric field distortion, partial discharge and electrical demoralization. In this work, the theory and method of regulating DC electric field of polypropylene insulation of high voltage cable is first introduced. Then the main direction of electric field regulation is presented. Finally, the application prospect of polypropylene cable insulation is also put forward.
2023, 72(6): 068501.
doi: 10.7498/aps.72.20222303
Abstract:
As one of the most important semiconductor materials, silicon (Si) is widely used in optoelectronic devices such as solar cells and photodetectors. Owing to the difference in refractive index between silicon and air, a large amount of incident light is reflected back into the air from the silicon surface. In order to suppress the loss caused by this reflection, a variety of silicon nanostructures with strong trapping effect have been developed. Most of the dry-etching schemes encounter the problems of high cost and complex preparation, while the silicon nanowires array prepared by the wet-etching schemes has the problems of low controllability of some parameters such as the spacing between two adjacent nanowires, and the small effective area of heterojunction. The method of using polystyrene microsphere as the mask can integrate the advantages of dry-etching method and wet-etching method, and it is easy to obtain periodic silicon nanowires (pillars) array. In this paper, first, we summarize the properties and preparation methods for silicon nanowires structure, the strategies to effectively improve the performance of silicon nanowires (pillars) array photodetectors, Then we analyze the existing problems. Further, the latest developments of silicon nanowires (pillars) array photodetector are discussed, and the structure, morphology of photosensitive layer and methods to improve the performance parameters of silicon nanowires (pillars) array photodetector are analyzed. Among them, we focus on the ultraviolet light sensitive silicon based photodetector and its method to show tunable and selective resonance absorption through leaky mode resonance, the silicon nanowires array photodetector modified with metal nanoparticles and the method of improving performance through surface plasmon effect, and plasmon hot electrons. Heterojunction photodetectors composed of various low-dimensional materials and silicon nanowires (pillars) array, and methods to improve the collection efficiency of photogenerated charge carriers through the “core/shell” structure, methods to expand the detection band range of silicon-based photodetectors by integrating down-conversion light-emitting materials and silicon nanowires (pillars) array, flexible silicon nanowires array photodetectors and their various preparation methods, are all introduced. Then, the main problems that a large number of defect states will be generated on the silicon nanostructure surface in the MACE process are briefly introduced, and several possible solutions for defect passivation are also presented. Finally, the future development for silicon nanowires (pillars) array photodetectors is prospected.
As one of the most important semiconductor materials, silicon (Si) is widely used in optoelectronic devices such as solar cells and photodetectors. Owing to the difference in refractive index between silicon and air, a large amount of incident light is reflected back into the air from the silicon surface. In order to suppress the loss caused by this reflection, a variety of silicon nanostructures with strong trapping effect have been developed. Most of the dry-etching schemes encounter the problems of high cost and complex preparation, while the silicon nanowires array prepared by the wet-etching schemes has the problems of low controllability of some parameters such as the spacing between two adjacent nanowires, and the small effective area of heterojunction. The method of using polystyrene microsphere as the mask can integrate the advantages of dry-etching method and wet-etching method, and it is easy to obtain periodic silicon nanowires (pillars) array. In this paper, first, we summarize the properties and preparation methods for silicon nanowires structure, the strategies to effectively improve the performance of silicon nanowires (pillars) array photodetectors, Then we analyze the existing problems. Further, the latest developments of silicon nanowires (pillars) array photodetector are discussed, and the structure, morphology of photosensitive layer and methods to improve the performance parameters of silicon nanowires (pillars) array photodetector are analyzed. Among them, we focus on the ultraviolet light sensitive silicon based photodetector and its method to show tunable and selective resonance absorption through leaky mode resonance, the silicon nanowires array photodetector modified with metal nanoparticles and the method of improving performance through surface plasmon effect, and plasmon hot electrons. Heterojunction photodetectors composed of various low-dimensional materials and silicon nanowires (pillars) array, and methods to improve the collection efficiency of photogenerated charge carriers through the “core/shell” structure, methods to expand the detection band range of silicon-based photodetectors by integrating down-conversion light-emitting materials and silicon nanowires (pillars) array, flexible silicon nanowires array photodetectors and their various preparation methods, are all introduced. Then, the main problems that a large number of defect states will be generated on the silicon nanostructure surface in the MACE process are briefly introduced, and several possible solutions for defect passivation are also presented. Finally, the future development for silicon nanowires (pillars) array photodetectors is prospected.
2023, 72(6): 060201.
doi: 10.7498/aps.72.20222113
Abstract:
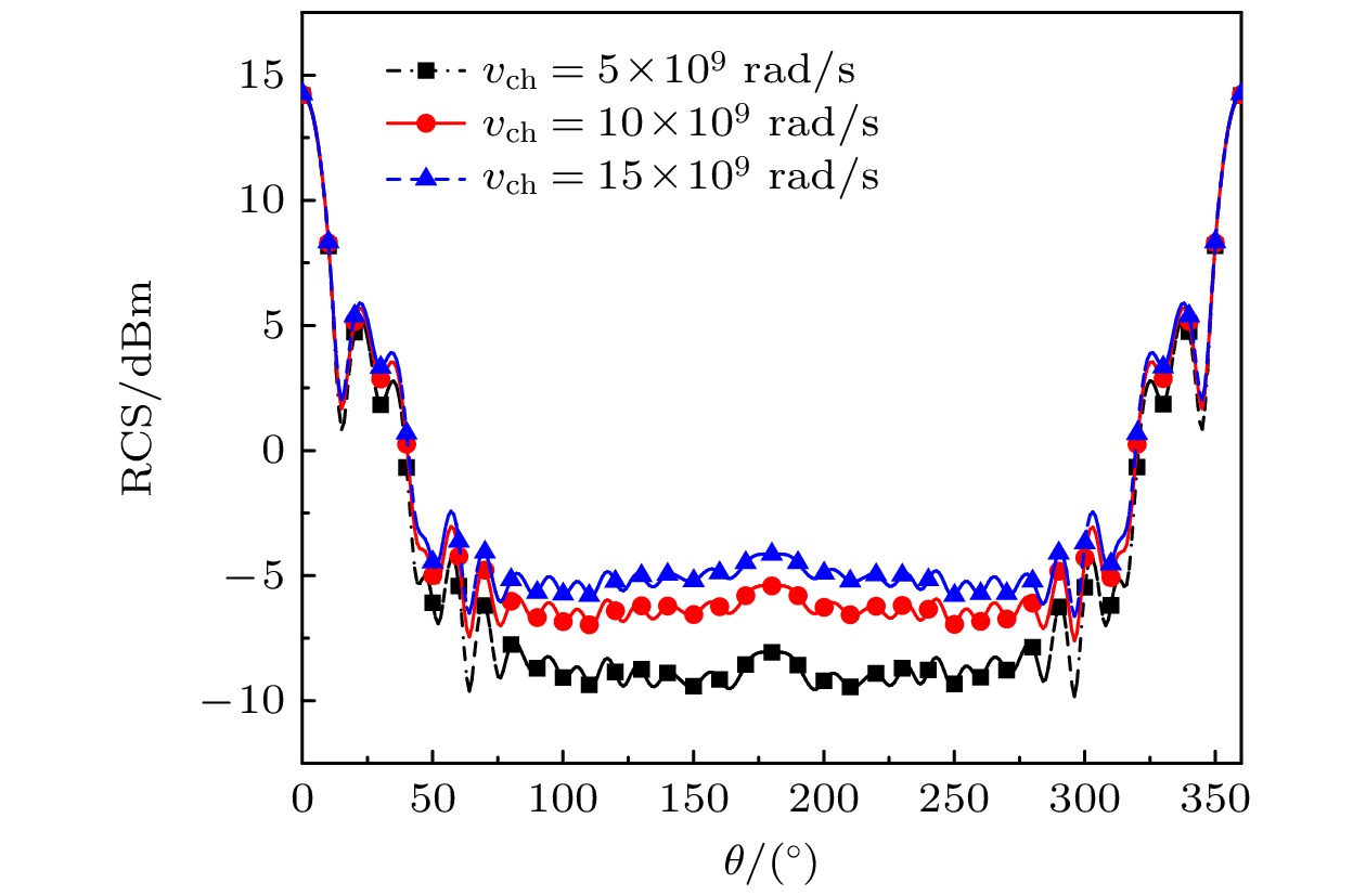
Dusty plasma is a multi-particle system of dust particles suspended in plasma, which is generally composed of free electrons, ions, and dust particles. It is widely found in natural space and aerospace equipment, such as the Earth’s ionosphere, rocket tail flame, and sheath of the hypersonic vehicle. The dust particles will interact with free electrons and ions in the plasma so that the dust particles are charged. They also significantly change the characteristics of dusty plasma, showing some phenomena different from those in ordinary plasma, such as dust acoustic solitary waves and dust void. Electromagnetic (EM) waves will interact with dusty plasma, which results in the attenuation of EM wave signal and the change of phase and other serious effects, and the phenomenon of “blackout” appears. This is very unfavorable for the guidance and control system of the vehicle. The generation of “blackout” is related to the dynamics of dusty plasma and the analysis and research of EM characteristics, so studying the scattering characteristics of dusty plasma is of great significance. First, starting from the Boltzmann equation, the iterative expression of finite-difference time-domain under the Fokker-Planck-Landau (FPL) collision model of fully ionized non-uniform dusty plasma is derived. The expression of the conductivity of the fully ionized dusty plasma under the FPL collision model is obtained by combining the collision effect and charging effect of the dusty plasma. By using the Z-transform finite-difference time-domain method, the radar cross section (RCS) of the dusty plasma coated metal blunt cone in two dimensions is calculated. The effects of dust particle density, dust particle radius, ratio of electron density to dust particle density, dust particle charging frequency, and EM wave incident angle on the scattering characteristics of the mental blunt cone are analyzed. The results show that the Debye shielding effect is weakened and RCS is increased with the increase of the radius of dust particles in the fully ionized non-uniform dusty plasma. In addition, it is affected by the collision effect and charging effect of dusty plasma, which will have a great influence on the RCS of the target. These results provide a theoretical basis for studying the EM waves scattering problem of fully ionized non-uniform dusty plasma and the communication problems in near space.
Dusty plasma is a multi-particle system of dust particles suspended in plasma, which is generally composed of free electrons, ions, and dust particles. It is widely found in natural space and aerospace equipment, such as the Earth’s ionosphere, rocket tail flame, and sheath of the hypersonic vehicle. The dust particles will interact with free electrons and ions in the plasma so that the dust particles are charged. They also significantly change the characteristics of dusty plasma, showing some phenomena different from those in ordinary plasma, such as dust acoustic solitary waves and dust void. Electromagnetic (EM) waves will interact with dusty plasma, which results in the attenuation of EM wave signal and the change of phase and other serious effects, and the phenomenon of “blackout” appears. This is very unfavorable for the guidance and control system of the vehicle. The generation of “blackout” is related to the dynamics of dusty plasma and the analysis and research of EM characteristics, so studying the scattering characteristics of dusty plasma is of great significance. First, starting from the Boltzmann equation, the iterative expression of finite-difference time-domain under the Fokker-Planck-Landau (FPL) collision model of fully ionized non-uniform dusty plasma is derived. The expression of the conductivity of the fully ionized dusty plasma under the FPL collision model is obtained by combining the collision effect and charging effect of the dusty plasma. By using the Z-transform finite-difference time-domain method, the radar cross section (RCS) of the dusty plasma coated metal blunt cone in two dimensions is calculated. The effects of dust particle density, dust particle radius, ratio of electron density to dust particle density, dust particle charging frequency, and EM wave incident angle on the scattering characteristics of the mental blunt cone are analyzed. The results show that the Debye shielding effect is weakened and RCS is increased with the increase of the radius of dust particles in the fully ionized non-uniform dusty plasma. In addition, it is affected by the collision effect and charging effect of dusty plasma, which will have a great influence on the RCS of the target. These results provide a theoretical basis for studying the EM waves scattering problem of fully ionized non-uniform dusty plasma and the communication problems in near space.
2023, 72(6): 060202.
doi: 10.7498/aps.72.20222104
Abstract:
Large-size conductive targets or coated targets are difficult problems in computational electromagnetics. In general, these problems can be classified as multi-scale problems. Multi-scale problems usually consume a large quantity of computational resources. A lot of efforts have been devoted to seeking for fast methods for these problems. When the skin depth is less than the size of a conductive target, the tangential component of the electric field and magnetic field over the surface of the target can be correlated by the surface impedance \begin{document}$ \tilde Z $\end{document} ![]()
![]()
. The \begin{document}$ \tilde Z $\end{document} ![]()
![]()
is usually a complex function of the frequency, and it can be used to formulate an impedance boundary condition (IBC) to describe iterative equations in time domain methods, avoiding the volumetric discretization of the target and improving computational efficiency. This condition is commonly known as the surface impedance boundary condition (SIBC). Similarly, for a conductor whose thickness is in the order of skin depth or less, it also has high resource requirements, if the target is of direct volume discretization. The transmission impedance boundary condition (TIBC) can be utilized instead of a coated object to reduce resource requirements. Therefore, there is no need to discretize volume. There are few studies on the IBC scheme by using the discontinuous Galerkin time-domain (DGTD) method. Li et al. (Li P, Shi Y, Jiang L J, Bağcι H 2015 IEEE Trans. Antennas Propag. 63 5686 ; Li P, Jiang L J, Bağcι H 2015 IEEE Trans. Antennas Propag. 63 3065 ; Li P, Jiang L J, Bağcι H 2018 IEEE Trans. Antennas Propag. 66 3590 ) discussed the IBC scheme by using the DGTD, which involves complex matrix operations in the processing of IBC. In the DGTD method, numerical flux is used to transmit data between neighboring elements, and the key to the IBC scheme in DGTD is how to handle numerical flux. We propose a DGTD method with a simple form and matrix-free IBC scheme. The key to dealing with IBC in DGTD is numerical flux. Unlike the way in the literature, the impedance \begin{document}$ \tilde Z $\end{document} ![]()
![]()
is not approximated by rational functions in our study. A specfic function \begin{document}$ {\tilde Z_R} $\end{document} ![]()
![]()
obtained after the derivation in this work is approximated by rational functions in the Laplace domain through using the vector-fitting (VF) method, and its time-domain iteration scheme is given. This approach avoids matrix operations. The TIBC and SIBC processing schemes are also given. The advantage of the proposed method are that the upwind flux’s standard coefficients are retained and the complex frequency-time conversion problem is implemented by the vector-fitting method. The one-dimensional and three-dimensional examples also show the accuracy and effectiveness of our proposed method in this work.
2023, 72(6): 060301.
doi: 10.7498/aps.72.20222178
Abstract:
Entanglement between a photon and an atomic memory is an important tool for quantum repeater research. By using the Duan-Lukin-Cirac-Zoller (DLCZ) process in the atomic ensemble, quantum entanglement between a photon and an atomic spin-wave memory is produced. With the further development of quantum information, it is necessary to put forward higher requirements for the diversity and controllability of quantum memory. In this work, we experimentally demonstrate an optical memory in cold atomic ensemble with enhanced fiber-cavity and high-fidelity optical memory for the first time. We design a fiber cavity to enhance the coupling strength between light and atomic ensemble and then improve the optical retrieval efficiency. Unfortunately, the use of fiber cavity may lead to the decrease of fidelity. Therefore, it is vital to realize high fidelity in the enhanced fiber-cavity optical memory. The cavity has a round-trip length of 1.5 m and a free spectral range of 190 MHz. The finesse (F) of the cavity with the cold atoms in the DLCZ condition is measured to be\begin{document}$ \sim $\end{document} ![]()
![]()
18. In cavity-enhanced DLCZ scheme, we use a fiber cavity instead of a stationary cavity. If a stationary cavity is used, the signal light will be reflected by the end mirror of the cavity and then pass back through the atoms. The storage of the backward signal light will generate a short-wavelength spin wave and then lead to a rapid decoherence of the memory. When cavity is locked by using the PDH frequency locking technique, we observe that the production probability of the Stokes photons is increased by 4.6 times higher than that without cavity and retrieval efficiency of atomic spin wave is increased by 1.6 times that without cavity due to the optical cavity enhancement effect. The presented cavity-enhanced storage shows that the retrieval efficiency is \begin{document}$ \sim $\end{document} ![]()
![]()
22%, corresponding to an intrinsic retrieval efficiency of \begin{document}$ \sim $\end{document} ![]()
![]()
40%, at the same time the fidelity of the quantum state is \begin{document}$ \sim $\end{document} ![]()
![]()
92%. The accomplishment of this project will provide another effective way of realizing long-distance quantum communication and large-scale quantum network construction.
Entanglement between a photon and an atomic memory is an important tool for quantum repeater research. By using the Duan-Lukin-Cirac-Zoller (DLCZ) process in the atomic ensemble, quantum entanglement between a photon and an atomic spin-wave memory is produced. With the further development of quantum information, it is necessary to put forward higher requirements for the diversity and controllability of quantum memory. In this work, we experimentally demonstrate an optical memory in cold atomic ensemble with enhanced fiber-cavity and high-fidelity optical memory for the first time. We design a fiber cavity to enhance the coupling strength between light and atomic ensemble and then improve the optical retrieval efficiency. Unfortunately, the use of fiber cavity may lead to the decrease of fidelity. Therefore, it is vital to realize high fidelity in the enhanced fiber-cavity optical memory. The cavity has a round-trip length of 1.5 m and a free spectral range of 190 MHz. The finesse (F) of the cavity with the cold atoms in the DLCZ condition is measured to be
2023, 72(6): 060302.
doi: 10.7498/aps.72.20222306
Abstract:
In a recent experiment, the excitation spectrum of spin-orbit (SO) coupled Bose-Einstein condensates (BECs) of \begin{document}$^{87}{\rm{Rb}}$\end{document} ![]()
![]()
atoms was studied by using Bragg spectroscopy, and the roton-maxon structure was found to exist in the excitation spectrum of magnetized phase. In addition, the roton-mode and its softening phenomenon are obtained by using various artificial SO couplings such as Rashba SO coupling and spin-orbital-angular-momentum coupling. However, the SO coupling strength in previous studies could not be controlled in real time, which limits the further study and precise regulation of the excitation spectrum of condensate. Thus, it is still an important topic to study how to regulate the SO coupling strength of the system through an external driving field, and further regulate the excitation spectrum of SO coupled BECs. In this work, the excitation spectrum of a tunable SO coupled BECs in free space is studied by using Bogoliubov theory. The time-independent effective Floquet Hamiltonian with two-body interaction is obtained in the high frequency approximation, and then a tunable SO coupling and an effective two-body interaction that can be regulated by the periodic driving of Raman coupling are obtained. Based on the effective Floquet Hamiltonian of the system, the dispersion relation of the BECs with interactions is numerically calculated. It is found that the periodic driving can effectively regulate the structure of the dispersion relation, which indicates that the periodic driving can regulate the phase transition between the zero-momentum phase and the plane wave phase. Then, the Bogoliubov-de-Gennes (BdG) equation of the system is obtained by using Bogoliubov theory. Moreover, the excitation spectrum of the BECs in the zero momentum phase and the plane wave phase are studied, respectively. Only the phonon excitation exists in the excitation spectrum of the zero momentum phase, and the excitation spectrum behaves as a Bessel function with the increase of the periodic driving strength. The phonon and roton excitations exist in the excitation spectrum of the plane wave phase, and the roton mode gradually softens with the increase of periodically driving strength. Therefore, the phonon and roton excitations in the excitation spectrum of SO coupled BECs can be regulated in real time by periodically driving Raman coupling.
2023, 72(6): 060303.
doi: 10.7498/aps.72.20222286
Abstract:
Single photon source is a non-classical light field with anti-bunching effect, which has a potential applications in the research of fundamental physics problems, quantum precision measurement, quantum communication, quantum computing, etc. The strong interaction between highly excited Rydberg atoms presents an excitation blockade effect. In a dense Rydberg atomic ensemble, the excitation of more than one Rydberg atom within a blockade volume is suppressed, where the interactions of Rydberg atoms shift the atomic states out of resonance with an excitation laser. We consider here the generation of single photon source by using a four-wave mixing scheme in a room-temperature atomic vapor cell. In a homemade micrometer-sized atomic vapor cell, one-dimensional size is smaller than the radius of Rydberg blockade and the other two-dimensional size is limited by the size of focused laser beam. The blockade radius is on the order of a few micrometers, depending on the Rydberg atom states. An excitation blockade effect can be used to realize single photon source in thermal cesium vapor microcells. The micron cesium-cell is used to spatially localize atomic groups, which results in the atomic decoherence time on the order of microseconds or even nanoseconds. This requires a high-power pulsed laser to prepare the Rydberg atomic state at a nanosecond scale. Four-photon excitation schemes with narrow linewidth lasers are also used experimentally. The cesium-Rydberg state can usually be excited by the lasers with optical wavelengths 852 and 509 nm, respectively. The laser system is well-stabilized so that the detuning is small compared with the spontaneous linewidth of Rydberg state, while the laser power and temporal mode need to be specified for ns-time coherence in thermal cesium vapor microcells. The 852 nm laser can be achieved by modulating the continuous laser beam with the help of an electro-optic intensity modulator (EOIM). While this remains a technical challenge for 509 nm laser with ns-laser pulse. There is no EOIM to generate the ns-laser pulse with high power. We demonstrate a novel generation method of 509 nm laser system. In our experiments, a 1018 nm fiber laser is used to produce a continuous laser with a typical linewidth of ~8 kHz and power of 10 mW. The nanosecond pulse is generated with the help of an electro-optic intensity modulator (EOIM) by modifying the continuous laser beam. The peak power of modulated optical pulse is amplified to 4600 W by using a homemade fiber amplifier. The output beam of 1018 nm is then injected into a periodically poled lithium-niobate (PPLN) to generate the second harmonics laser of 509 nm. The typical peak power of 509 nm reaches 173 W by optimizing PPLN phase matching parameters. The pulse repetition frequency of the 509 nm laser can be continuously tuned in a range of 300 kHz–100 MHz, and the pulse width can be continuously tuned in a range of 1–100 ns. Peak power fluctuation of the pulses is about 1.3%. The power 509 nm laser with optimized pulse parameters can be used to excite the cesium atom with GHz bandwidth. Meanwhile the two seed source lasers is well established experimentally, which allows alternating pulses with a different wavelength. This is an essential capability for realizing a single photon source through four-wave mixing.
2023, 72(6): 060401.
doi: 10.7498/aps.72.20222296
Abstract:
Although the theory of analog gravity suggests that we can simulate the space-time structure of black holes by using laboratory physical systems, it is difficult to find the analogs for rotating black holes in laboratory systems. In this work, we use a new field form for the optical vortex to study the analogous black hole structure close to the Bañados-Teitelboim-Zanelli (BTZ) black hole. We compare the similarities and differences between massless particles and sound waves by calculating their motions in space-time analogous to BTZ black holes and gravitational BTZ black holes. The effective potential energy values of massless particles and sound waves in both kinds of black hole spacetimes give the same forbidden-zone distributions of energy and angular momentum. The difference is that the classical forbidden area of the BTZ black hole will approach fixed energy values along the radial direction, while the classical forbidden area of the analogous BTZ black hole will be closed along the radial direction. Fortunately, near the event horizon and the ergosphere, the behaviors of massless particles and sound waves are almost the same. From this point of view, we can say that the analogous experimental system can simulate the BTZ black hole very well. In particular, the classically forbidden regions of particles with low energy and high angular momentum are wider in both types of black hole space-time.
Although the theory of analog gravity suggests that we can simulate the space-time structure of black holes by using laboratory physical systems, it is difficult to find the analogs for rotating black holes in laboratory systems. In this work, we use a new field form for the optical vortex to study the analogous black hole structure close to the Bañados-Teitelboim-Zanelli (BTZ) black hole. We compare the similarities and differences between massless particles and sound waves by calculating their motions in space-time analogous to BTZ black holes and gravitational BTZ black holes. The effective potential energy values of massless particles and sound waves in both kinds of black hole spacetimes give the same forbidden-zone distributions of energy and angular momentum. The difference is that the classical forbidden area of the BTZ black hole will approach fixed energy values along the radial direction, while the classical forbidden area of the analogous BTZ black hole will be closed along the radial direction. Fortunately, near the event horizon and the ergosphere, the behaviors of massless particles and sound waves are almost the same. From this point of view, we can say that the analogous experimental system can simulate the BTZ black hole very well. In particular, the classically forbidden regions of particles with low energy and high angular momentum are wider in both types of black hole space-time.
2023, 72(6): 060701.
doi: 10.7498/aps.72.20222143
Abstract:
Tm3+ and Yb3+, with different concentrations, co-doped Bi2WO6 up-conversion luminescence materials are prepared by high temperature solid state method. The microstructure, upconversion emission spectra, and optical temperature sensing properties of the synthesized powders are characterized and analyzed. The X-ray diffraction results show that the doping of Tm3+ and Yb3+ ions has little effect on the orthorhombic structure of Bi2WO6 matrix material. Under the 980 nm excitation, the maximum emission intensity of Tm3+ ions is obtained when the doping concentration of Tm3+ and Yb3+ are 1% and 6%, respectively. The intensities of four emission peaks of Tm3+ in 1%Tm3+, 6%Yb3+:Bi2WO6 sample increase with the excitation pump power increasing from 199 to 400 mW. With the excitation power of 199–400 mW, the sample light intensity I and the excitation power Pn show a linear relationship. The relationship between the excitation pump power and the emission intensity of Tm3+ in this range is investigated. The four emission peaks of Tm3+ at 478, 650, 685 and 705 nm correspond to the n values of 1.01, 1.34, 1.77 and 1.75, respectively, indicating that the above emission peaks are derived from two-photon absorption. Under 980 nm excitation (power 379 mW), when the temperature increases from 298 to 573 K, the thermal coupling energy levels of Tm3+ in 1%Tm3+, 6%Yb3+:Bi2WO6 samples produce 705 and 685 nm emission whose intensities are increased by 28.4 times and 31.6 times, respectively. The relationship between the fluorescence intensity ratio of the thermal coupling energy levels (3F3, 3F2) of Tm3+ in the sample and the temperature is fitted. The maximum absolute temperature sensitivity of the sample is 0.00254 K–1 at 298 K, and the maximum relative temperature sensitivity is 0.00144 K–1. Under the same conditions, the relationship between the fluorescence intensity ratio of 705 and 650 nm produced by the non-thermal coupling energy level pair (3F3, 1G4) and the temperature is fitted, and the maximum absolute temperature sensitivity is calculated to be 0.167 K–1 at 573 K. The maximum relative temperature sensitivity is 0.0378 K–1 at 298 K, which is 26 times higher than the relative maximum temperature sensitivity Sr of the thermal coupling level (3F3, 3F2).
Tm3+ and Yb3+, with different concentrations, co-doped Bi2WO6 up-conversion luminescence materials are prepared by high temperature solid state method. The microstructure, upconversion emission spectra, and optical temperature sensing properties of the synthesized powders are characterized and analyzed. The X-ray diffraction results show that the doping of Tm3+ and Yb3+ ions has little effect on the orthorhombic structure of Bi2WO6 matrix material. Under the 980 nm excitation, the maximum emission intensity of Tm3+ ions is obtained when the doping concentration of Tm3+ and Yb3+ are 1% and 6%, respectively. The intensities of four emission peaks of Tm3+ in 1%Tm3+, 6%Yb3+:Bi2WO6 sample increase with the excitation pump power increasing from 199 to 400 mW. With the excitation power of 199–400 mW, the sample light intensity I and the excitation power Pn show a linear relationship. The relationship between the excitation pump power and the emission intensity of Tm3+ in this range is investigated. The four emission peaks of Tm3+ at 478, 650, 685 and 705 nm correspond to the n values of 1.01, 1.34, 1.77 and 1.75, respectively, indicating that the above emission peaks are derived from two-photon absorption. Under 980 nm excitation (power 379 mW), when the temperature increases from 298 to 573 K, the thermal coupling energy levels of Tm3+ in 1%Tm3+, 6%Yb3+:Bi2WO6 samples produce 705 and 685 nm emission whose intensities are increased by 28.4 times and 31.6 times, respectively. The relationship between the fluorescence intensity ratio of the thermal coupling energy levels (3F3, 3F2) of Tm3+ in the sample and the temperature is fitted. The maximum absolute temperature sensitivity of the sample is 0.00254 K–1 at 298 K, and the maximum relative temperature sensitivity is 0.00144 K–1. Under the same conditions, the relationship between the fluorescence intensity ratio of 705 and 650 nm produced by the non-thermal coupling energy level pair (3F3, 1G4) and the temperature is fitted, and the maximum absolute temperature sensitivity is calculated to be 0.167 K–1 at 573 K. The maximum relative temperature sensitivity is 0.0378 K–1 at 298 K, which is 26 times higher than the relative maximum temperature sensitivity Sr of the thermal coupling level (3F3, 3F2).
2023, 72(6): 060702.
doi: 10.7498/aps.72.20222246
Abstract:
Optical non-reciprocal devices such as the isolators are quite important components in optical systems. To realize the non-reciprocal transmission of the light, the Lorenz reciprocity theorem must be broken first and the main method is that Faraday magnetic rotation effect is used to change the polarization state of the signal through magneto-optical materials. However, this method is difficult to achieve on-chip integration. So using optomechanical system is presented to overcome the difficulty. In order to improve the isolation characteristics of the device, a double-cavity double-optomechanical system, which is coupled to two optical modes by two mechanical oscillators with two different optomechanical coupling strengths, is proposed. Driven by the red detuning field in such a system, the non-reciprocal phenomenon can be realized by regulating the phase difference, and the direction of light transmission and isolation can be determined as well. This property is determined by the quantum interference effect between the optomechanical coupling strengths and the couplings of the optical cavity modes. The method is that the relative operators are represented by their average value plus their relative fluctuations, and then according to the input-output relationship the transmission amplitude and the isolation rate are obtained. We mainly discuss the distribution of the isolation rate as a function of the optomechanical coupling strength. The results are that the combined action of two mechanical modes can make the system have higher fault tolerance rate. The other mechanical mode can make the system achieve a large isolation rate at two specific frequencies and the reverse transmission in the resonant frequency signals at the same time.
2023, 72(6): 063101.
doi: 10.7498/aps.72.20222103
Abstract:
The first principle method based on density functional theory and generalized gradient approximation is used to investigate the interaction of Ta and Re elements at Ni/Ni3Al interface and their influence on the interface strength. According to the calculations of the dissolution energy of these two alloying elements at 7 different positions, it can be concluded that in most of the stoichiometric ranges, Ta atoms preferentially occupy Ni sites in the γ phase, while Re atoms occupy preferentially Al sites in γ' phase. The doping positions do not change when these two atoms are co-alloyed. The calculation of Griffith fracture work of Ni/Ni3Al interface system shows that the doping of Ta atoms can improve the interface fracture strength of the phase boundary region between the γ/γ' coherent atomic layer and γ atomic layer. The interface is easier to fracture in the phase boundary area between γ/γ' coherent atomic layer and γ' atomic layer after Ta atoms have been doped. The doping of Re atoms can improve the interface fracture strength of the phase boundary region between γ/γ' coherent atomic layer and γ' atomic layer. The interface is easier to break in the phase boundary area between γ/γ' coherent atomic layer and γ atomic layer. The calculation results of the unstable stacking fault energy under the interface slip system\begin{document}$ [110](001) $\end{document} ![]()
![]()
before and after Ta and Re alloying show that the doping of these two types of atoms increases the value of the unstable stacking fault energy of the interface, and the slip system\begin{document}$ [110](001)$\end{document} ![]()
![]()
becomes difficult to start, which enhances the ability of the interface to block the movement of dislocations, thus enhancing the creep strength of the nickel base superalloy. When doping Re atoms, the effect is greater, and the unstable stacking fault energy of the interface increases by 11.1%, which is better for improving the creep strength of the system. By studying the influence of alloying atoms on the path of vacancy migration and the energy barrier, it is concluded that the doping of Ta and Re atoms can increase the vacancy formation energy and the potential barrier of vacancy migration at the interface. The doping of Re atoms increases the migration energy barriers on both sides of the interface, and the doping of Ta atoms increases the migration energy barriers of γ phase. The increase of the migration barrier hinders the emission and absorption of vacancies, thereby improving the creep capability of the alloy.
The first principle method based on density functional theory and generalized gradient approximation is used to investigate the interaction of Ta and Re elements at Ni/Ni3Al interface and their influence on the interface strength. According to the calculations of the dissolution energy of these two alloying elements at 7 different positions, it can be concluded that in most of the stoichiometric ranges, Ta atoms preferentially occupy Ni sites in the γ phase, while Re atoms occupy preferentially Al sites in γ' phase. The doping positions do not change when these two atoms are co-alloyed. The calculation of Griffith fracture work of Ni/Ni3Al interface system shows that the doping of Ta atoms can improve the interface fracture strength of the phase boundary region between the γ/γ' coherent atomic layer and γ atomic layer. The interface is easier to fracture in the phase boundary area between γ/γ' coherent atomic layer and γ' atomic layer after Ta atoms have been doped. The doping of Re atoms can improve the interface fracture strength of the phase boundary region between γ/γ' coherent atomic layer and γ' atomic layer. The interface is easier to break in the phase boundary area between γ/γ' coherent atomic layer and γ atomic layer. The calculation results of the unstable stacking fault energy under the interface slip system
2023, 72(6): 063102.
doi: 10.7498/aps.72.20222268
Abstract:
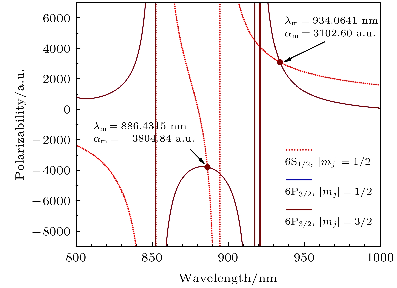
Laser cooling and trapping of neutral atoms is of great significance for studying the physical and chemical properties of atoms. To further realize the spatial localization of atoms, optical dipole trap (ODT) was proposed to manipulate individual atoms, ions or molecules and has become an increasingly important technique in the field of cold atomic physics and quantum optics. To eliminate the differential light shift of transitions between atomic states, ODT can be turned off during excitation/radiation. However, it will shorten the trap lifetime of the atom and reduce the repetition rate of the single photon. The AC stark shift can be eliminated experimentally by constructing blue-detuned dark ODT, but the micron-level dark ODT usually requires more complex experimental equipment and is not easy to operate. Therefore, magic-wavelength ODT was constructed to realize that the transition frequency of photons between atomic states is the same as in free space. When the trapping laser makes the differential light shift of the transition between the two atomic states zero, the laser wavelength is called the magic wavelength. The magic-wavelength ODT can eliminate the differential light shift of the transition between atoms, improve the repetition rate of the experimental sequence and weaken the atomic decoherence. In recent years, it has become a powerful tool for manipulating cold atoms, especially for coherently manipulating the atomic inner states. In the present work, with the theory of multi-level model, we calculate the dynamic electric polarizability of the 6S1/2 ground state and the 6P3/2 excited state connecting the D2 line of cesium atom in a range of 800–1000 nm, and obtain the magic wavelength of the optical trapping laser to trap the ground state and the excited state. Since the polarizability of atomic states with angular momentum greater than 0.5 is very sensitive to the polarization angle, the polarization-angle-dependent magic wavelength and the corresponding magic polarizability are analyzed by taking the linearly-polarized trapping laser for example. The magic polarization angle is 54.7° and the magic wavelength at this angle are 886.4315 and 934.0641 nm, respectively. The robustness of the magic conditions and the feasibility of the experimental operation are further analyzed.
Laser cooling and trapping of neutral atoms is of great significance for studying the physical and chemical properties of atoms. To further realize the spatial localization of atoms, optical dipole trap (ODT) was proposed to manipulate individual atoms, ions or molecules and has become an increasingly important technique in the field of cold atomic physics and quantum optics. To eliminate the differential light shift of transitions between atomic states, ODT can be turned off during excitation/radiation. However, it will shorten the trap lifetime of the atom and reduce the repetition rate of the single photon. The AC stark shift can be eliminated experimentally by constructing blue-detuned dark ODT, but the micron-level dark ODT usually requires more complex experimental equipment and is not easy to operate. Therefore, magic-wavelength ODT was constructed to realize that the transition frequency of photons between atomic states is the same as in free space. When the trapping laser makes the differential light shift of the transition between the two atomic states zero, the laser wavelength is called the magic wavelength. The magic-wavelength ODT can eliminate the differential light shift of the transition between atoms, improve the repetition rate of the experimental sequence and weaken the atomic decoherence. In recent years, it has become a powerful tool for manipulating cold atoms, especially for coherently manipulating the atomic inner states. In the present work, with the theory of multi-level model, we calculate the dynamic electric polarizability of the 6S1/2 ground state and the 6P3/2 excited state connecting the D2 line of cesium atom in a range of 800–1000 nm, and obtain the magic wavelength of the optical trapping laser to trap the ground state and the excited state. Since the polarizability of atomic states with angular momentum greater than 0.5 is very sensitive to the polarization angle, the polarization-angle-dependent magic wavelength and the corresponding magic polarizability are analyzed by taking the linearly-polarized trapping laser for example. The magic polarization angle is 54.7° and the magic wavelength at this angle are 886.4315 and 934.0641 nm, respectively. The robustness of the magic conditions and the feasibility of the experimental operation are further analyzed.
2023, 72(6): 063301.
doi: 10.7498/aps.72.20222285
Abstract:
Sulfur hexafluoride (SF6) is a greenhouse gas of very long lifetime. Its infrared absorption spectrum is very important in modeling the atmospheric radiation balances. The SF6 is also a prototypical system for studying the principles and techniques of laser isotope separation using powerful infrared lasers. As a very heavy molecule, the infrared spectrum of SF6 at room temperature is very dense, which poses a great challenge to monitoring the relative abundances of different SF6 isotopomers by direct absorption spectroscopy. Supersonic jet expansions have been widely used to simplify the gas phase molecular spectra. In this work, astigmatic multi-pass absorption cell and distributed feed-back quantum cascade lasers (QCLs) are used to measure jet-cooled rovibrational absorption spectra of 32SF6 and 33SF6 at 10.6 μm. The spectrometer works in a segmented rapid-scan mode. The gas mixtures (SF6∶Ar∶He = 0.12∶1∶100) are expanded through an 80 mm\begin{document}$ \times $\end{document} ![]()
![]()
300 μm pulsed slit nozzle. Two QCLs running at room temperature are used and each one covers a spectral range of about 3.0 cm–1. The v3 fundamental bands of both 32SF6 and 33SF6 are observed. The rotational temperature of 32SF6 and 33SF6 in the ground state in the supersonic jet are both estimated at 10 K and the linewidth is about 0.0008 cm–1 by comparing the simulated spectrum with the observed spectrum with the PGOPHER program. A new weak vibrational band centered around 941.0 cm–1 is observed and tentatively assigned to the (v1+v2+v3)–(v1+v2) hot band of 32SF6. The effective Hamiltonian used to analyze the rovibrational spectrum of SF6 is briefly introduced. A simplified rotational analysis for this hot band is performed with the XTDS program developed by the Dijon group. The band-origin of this hot band is determined to be 941.1785(21) cm–1. The rotational temperature of this hot band is estimated at 50 K. A new scheme by measuring the jet-cooled absorption spectrum of this hot band of 32SF6 and the v3 fundamental band of 33SF6 is proposed for measuring the relative abundance of 33SF6/32SF6.
Sulfur hexafluoride (SF6) is a greenhouse gas of very long lifetime. Its infrared absorption spectrum is very important in modeling the atmospheric radiation balances. The SF6 is also a prototypical system for studying the principles and techniques of laser isotope separation using powerful infrared lasers. As a very heavy molecule, the infrared spectrum of SF6 at room temperature is very dense, which poses a great challenge to monitoring the relative abundances of different SF6 isotopomers by direct absorption spectroscopy. Supersonic jet expansions have been widely used to simplify the gas phase molecular spectra. In this work, astigmatic multi-pass absorption cell and distributed feed-back quantum cascade lasers (QCLs) are used to measure jet-cooled rovibrational absorption spectra of 32SF6 and 33SF6 at 10.6 μm. The spectrometer works in a segmented rapid-scan mode. The gas mixtures (SF6∶Ar∶He = 0.12∶1∶100) are expanded through an 80 mm
2023, 72(6): 064101.
doi: 10.7498/aps.72.20222291
Abstract:
In this paper, a compact broadband bandpass filter with wide out-of-band rejection characteristics based on halberd-shaped spoof surface plasmon polariton (SSPP) is proposed. The filtering structure is achieved by etching a periodic halberd-shaped groove at the bottom of the substrate and a microstrip-to-slot line transition with a crescent-shaped patch at the top. Compared with the traditional dumbbell-shaped SSPP, the halberd-shaped SSPP has good slow-wave property, and the designed bandpass filter based on halberd-shaped SSPP can achieve a more compact size. The upper cutoff frequency and lower cutoff frequency of the passband can be adjusted by regulating the SSPP structure and the transition structure from microstrip-to-slot line, respectively. The simulation results show that the center frequency of broadband bandpass filter is 2.85 GHz, with the relative bandwidth of 130%, and the return loss in the passband is better than –10 dB, and the extreme strong out-of-band rejection of –40 dB from 5.6 GHz to 20.0 GHz. The size of the broadband bandpass filter is compact, only 1.08λg × 0.39λg, where λg is the wavelength at the center frequency. In order to verify the effectiveness of the wideband bandpass filter, the traditional printed circuit board technology is used to fabricate the wideband bandpass filter. The measurement results are in good agreement with the simulation results, verifying the feasibility of the design. The proposed broadband bandpass filter shows promising prospects for developing SSPP functional devices and circuits at microwave frequencies.
In this paper, a compact broadband bandpass filter with wide out-of-band rejection characteristics based on halberd-shaped spoof surface plasmon polariton (SSPP) is proposed. The filtering structure is achieved by etching a periodic halberd-shaped groove at the bottom of the substrate and a microstrip-to-slot line transition with a crescent-shaped patch at the top. Compared with the traditional dumbbell-shaped SSPP, the halberd-shaped SSPP has good slow-wave property, and the designed bandpass filter based on halberd-shaped SSPP can achieve a more compact size. The upper cutoff frequency and lower cutoff frequency of the passband can be adjusted by regulating the SSPP structure and the transition structure from microstrip-to-slot line, respectively. The simulation results show that the center frequency of broadband bandpass filter is 2.85 GHz, with the relative bandwidth of 130%, and the return loss in the passband is better than –10 dB, and the extreme strong out-of-band rejection of –40 dB from 5.6 GHz to 20.0 GHz. The size of the broadband bandpass filter is compact, only 1.08λg × 0.39λg, where λg is the wavelength at the center frequency. In order to verify the effectiveness of the wideband bandpass filter, the traditional printed circuit board technology is used to fabricate the wideband bandpass filter. The measurement results are in good agreement with the simulation results, verifying the feasibility of the design. The proposed broadband bandpass filter shows promising prospects for developing SSPP functional devices and circuits at microwave frequencies.
2023, 72(6): 064201.
doi: 10.7498/aps.72.20222096
Abstract:
The ultra-cold atomic system is a clean and highly controllable quantum system, which can be used for quantum simulation of important physical problems in many fields such as condensed matter physics, high-energy physics, astrophysics, and chemical reactions. The constructions of optical lattices with different configurations are an important prerequisite for simulating diverse complex quantum systems, especially solid materials. In this work, we use weighted Gerchberg-Saxton algorithm to generate holograms. By using liquid crystal spatial light modulator and high-resolution imaging system, holograms (in momentum space) are transformed into images in real space for constructing various two-dimensional (2D) optical trap arrays, such as simple triangular, hexagonal, square lattice and more complex honeycomb lattice. We load 87Rb ultra-cold atoms into the 2D optical trap arrays with a minimal spacing of 3 μm in between. This method is versatile and flexible, which is helpful in expanding the application scope of quantum simulation with optical lattices.
The ultra-cold atomic system is a clean and highly controllable quantum system, which can be used for quantum simulation of important physical problems in many fields such as condensed matter physics, high-energy physics, astrophysics, and chemical reactions. The constructions of optical lattices with different configurations are an important prerequisite for simulating diverse complex quantum systems, especially solid materials. In this work, we use weighted Gerchberg-Saxton algorithm to generate holograms. By using liquid crystal spatial light modulator and high-resolution imaging system, holograms (in momentum space) are transformed into images in real space for constructing various two-dimensional (2D) optical trap arrays, such as simple triangular, hexagonal, square lattice and more complex honeycomb lattice. We load 87Rb ultra-cold atoms into the 2D optical trap arrays with a minimal spacing of 3 μm in between. This method is versatile and flexible, which is helpful in expanding the application scope of quantum simulation with optical lattices.
2023, 72(6): 064202.
doi: 10.7498/aps.72.20222297
Abstract:
Femtosecond lasers with GHz repetition rate play an important role in scientific and industrial applications such as spectroscopy, optical frequency combs and GHz-Burst pulse trains for micro-machining in the ablation-cooled regime. Kerr-lens mode-locked (KLM) technique and passively mode-locking based on semiconductor saturable absorber mirror (SESAM) are the primary methods to generate GHz femtosecond all-solid-state lasers (ASSLs). Kerr-lens mode-locked Ti:Sapphire lasers have made significant progress benefited from the high-power green pump lasers, and repetition rate up to 10 GHz has been obtained with the average power of 1.2 W. In the early 21st century, ytterbium ion (Yb3+) doped laser crystals and ceramics with emission wavelengths near 1 μm received attention due to their high conversion efficiency and broad gain-bandwidth. Combining the customized SESAM and high-power multimode fiber-coupled laser diodes (LDs), GHz Yb-doped ASSLs with watt-level average power may be easily attained and have made rapid progress. However, GHz KLM lasers have strict requirements for the cavity design and pump sources. For satisfying mode matching and enhancing the soft aperture effect within the gain medium, a high-brightness pump source with excellent beam quality (M 2 ~ 1) is desired, such as the single-mode fiber coupled LD, however, the maximum pump power of which is only ~1 W. As a result, the average power of GHz KLM femtosecond laser is typically limited to few tens of milliwatts, which limits the further applications. In this work, we report the first GHz high-power KLM Yb:CaYAlO4 laser by using a high-power single-mode fiber laser instead of the low-power single-mode fiber coupled LDs as the pump source. On the basis of ABCD matrix, a simple four-mirror bow-tie ring cavity is built so that the laser mode can match well with the focused pump spot in the crystal. At the pump power of 8 W, stable unidirectional KLM is achieved, the laser has the average power of 2.1 W with a pulse duration of 88 fs and a repetition rate of 1.8 GHz, corresponding to the peak power of 11.57 kW. The high peak power and extremely short pulse duration are crucial for coherent octave-spanning supercontinuum generation. The powerful GHz KLM laser with sub-100 fs pulse duration provides an attractive source for realizing the optical frequency combs and micro-machining applications.
Femtosecond lasers with GHz repetition rate play an important role in scientific and industrial applications such as spectroscopy, optical frequency combs and GHz-Burst pulse trains for micro-machining in the ablation-cooled regime. Kerr-lens mode-locked (KLM) technique and passively mode-locking based on semiconductor saturable absorber mirror (SESAM) are the primary methods to generate GHz femtosecond all-solid-state lasers (ASSLs). Kerr-lens mode-locked Ti:Sapphire lasers have made significant progress benefited from the high-power green pump lasers, and repetition rate up to 10 GHz has been obtained with the average power of 1.2 W. In the early 21st century, ytterbium ion (Yb3+) doped laser crystals and ceramics with emission wavelengths near 1 μm received attention due to their high conversion efficiency and broad gain-bandwidth. Combining the customized SESAM and high-power multimode fiber-coupled laser diodes (LDs), GHz Yb-doped ASSLs with watt-level average power may be easily attained and have made rapid progress. However, GHz KLM lasers have strict requirements for the cavity design and pump sources. For satisfying mode matching and enhancing the soft aperture effect within the gain medium, a high-brightness pump source with excellent beam quality (M 2 ~ 1) is desired, such as the single-mode fiber coupled LD, however, the maximum pump power of which is only ~1 W. As a result, the average power of GHz KLM femtosecond laser is typically limited to few tens of milliwatts, which limits the further applications. In this work, we report the first GHz high-power KLM Yb:CaYAlO4 laser by using a high-power single-mode fiber laser instead of the low-power single-mode fiber coupled LDs as the pump source. On the basis of ABCD matrix, a simple four-mirror bow-tie ring cavity is built so that the laser mode can match well with the focused pump spot in the crystal. At the pump power of 8 W, stable unidirectional KLM is achieved, the laser has the average power of 2.1 W with a pulse duration of 88 fs and a repetition rate of 1.8 GHz, corresponding to the peak power of 11.57 kW. The high peak power and extremely short pulse duration are crucial for coherent octave-spanning supercontinuum generation. The powerful GHz KLM laser with sub-100 fs pulse duration provides an attractive source for realizing the optical frequency combs and micro-machining applications.
2023, 72(6): 064203.
doi: 10.7498/aps.72.20222112
Abstract:
The alignment of molecules in the femtosecond laser field induces the refractive index of the propagation medium to change, resulting in the spectral modulation effect. In this paper, the time evolution of the wavelength offset of a probe laser pulse under the influence of the non-adiabatic molecular alignment and Kerr effect is measured experimentally by the pump-probe method in nitrogen medium, and the alignment degree of N2 molecules is obtained. By solving the time-dependent Schrödinger equation theoretically, the expression of the degree of molecular non-adiabatic alignment is obtained, and the time evolution of non-adiabatic alignment of N2 molecules is calculated. Taking into account the combined influence of the non-adiabatic molecular alignment and Kerr effect on the change of refractive index of the propagation medium, the modulation effect of birefringence on the spectrum of the probe pulse is achieved. The experimental result accords well with the theoretical calculation, demonstrating that the spectral modulation results obtained by experimental measurement can be used to characterize the alignment degree. Further, the double pulse pump method is used to control the degree of molecular alignment. It is found that the degree of molecular alignment can be enhanced by the double pulse pump method. Moreover, by adjusting the delay time between the two pump laser pulses, that is, adding the second pump laser pulse at one rotational period and half rotational period, respectively, the enhancement and loss of the alignment of N2 molecules can be achieved, which is named the “alignment switch” effect. The molecular alignment control induced by the double pulse pump method can also be applied to the other molecular systems with different alignment and anti-alignment times, such as CO2 molecules and O2 molecules, indicating that the double pulse pump method can be used universally.
The alignment of molecules in the femtosecond laser field induces the refractive index of the propagation medium to change, resulting in the spectral modulation effect. In this paper, the time evolution of the wavelength offset of a probe laser pulse under the influence of the non-adiabatic molecular alignment and Kerr effect is measured experimentally by the pump-probe method in nitrogen medium, and the alignment degree of N2 molecules is obtained. By solving the time-dependent Schrödinger equation theoretically, the expression of the degree of molecular non-adiabatic alignment is obtained, and the time evolution of non-adiabatic alignment of N2 molecules is calculated. Taking into account the combined influence of the non-adiabatic molecular alignment and Kerr effect on the change of refractive index of the propagation medium, the modulation effect of birefringence on the spectrum of the probe pulse is achieved. The experimental result accords well with the theoretical calculation, demonstrating that the spectral modulation results obtained by experimental measurement can be used to characterize the alignment degree. Further, the double pulse pump method is used to control the degree of molecular alignment. It is found that the degree of molecular alignment can be enhanced by the double pulse pump method. Moreover, by adjusting the delay time between the two pump laser pulses, that is, adding the second pump laser pulse at one rotational period and half rotational period, respectively, the enhancement and loss of the alignment of N2 molecules can be achieved, which is named the “alignment switch” effect. The molecular alignment control induced by the double pulse pump method can also be applied to the other molecular systems with different alignment and anti-alignment times, such as CO2 molecules and O2 molecules, indicating that the double pulse pump method can be used universally.
2023, 72(6): 064204.
doi: 10.7498/aps.72.20221597
Abstract:
The rotating beam is a beam that is generated by the heterodyne interference of vortex beams with different topological charges, whose intensity and wavefront rotate rapidly with time. Under Taylor’s frozen air hypothesis, such a rotating beam, whose rotating period is much shorter than the characteristic time of atmospheric turbulence and the thermal blooming, can travel through all the inhomogeneities due to its rapid rotation during its propagation in the air. The rotation can contribute to the smooth of the wavefront distortion caused by the atmospheric turbulence and the thermal blooming, and thus improve the beam quality and reduce the centroid drift of the rotating beam in far field. The physical model of rotating beam is established by the heterodyne interference of two vortex beams. Taking the atmospheric turbulence and the thermal blooming effect into consideration, the propagation model of the rotating beam in the air is established by using the split-step Fourier method. For simplicity without loss of generality, the influences of the atmospheric turbulence and the thermal blooming effect on the propagation of rotating beam, are both treated as wavefront screen. The difference is that the wavefront screen of atmospheric turbulence is generated by the Kolmogorov power spectrum, while that of thermal blooming is generated by the fluid mechanics equation. The physical mechanism of how the rotating beam mitigates the atmospheric turbulence and the thermal blooming effect is analyzed in detail, that is, when the rotating speed of laser beam is faster than the airflow, the laser beam can pass through all the inhomogeneous and anisotropic atmosphere in the azimuthal direction within the time interval of airflow. After the laser propagates through the frozen air, the total wavefront distortion in the azimuthal direction becomes centrosymmetric with lower PV value, reducing the beam quality degradation. On the basis, the influence of rotation frequency, power ratio of the sub beams, strength of turbulence and thermal blooming on the propagation characteristics of the rotating beam in atmosphere are analyzed. Within a certain range, as the beam rotation frequency increases, the mitigation effect of the rotating beam on atmospheric turbulence and thermal blooming effects are enhanced. With the increase of turbulence intensity and thermal blooming intensity, the mitigation effect of the rotating beam is weakened but still can maintain well, which can provide reference for the engineering applications of laser beam in atmosphere.
The rotating beam is a beam that is generated by the heterodyne interference of vortex beams with different topological charges, whose intensity and wavefront rotate rapidly with time. Under Taylor’s frozen air hypothesis, such a rotating beam, whose rotating period is much shorter than the characteristic time of atmospheric turbulence and the thermal blooming, can travel through all the inhomogeneities due to its rapid rotation during its propagation in the air. The rotation can contribute to the smooth of the wavefront distortion caused by the atmospheric turbulence and the thermal blooming, and thus improve the beam quality and reduce the centroid drift of the rotating beam in far field. The physical model of rotating beam is established by the heterodyne interference of two vortex beams. Taking the atmospheric turbulence and the thermal blooming effect into consideration, the propagation model of the rotating beam in the air is established by using the split-step Fourier method. For simplicity without loss of generality, the influences of the atmospheric turbulence and the thermal blooming effect on the propagation of rotating beam, are both treated as wavefront screen. The difference is that the wavefront screen of atmospheric turbulence is generated by the Kolmogorov power spectrum, while that of thermal blooming is generated by the fluid mechanics equation. The physical mechanism of how the rotating beam mitigates the atmospheric turbulence and the thermal blooming effect is analyzed in detail, that is, when the rotating speed of laser beam is faster than the airflow, the laser beam can pass through all the inhomogeneous and anisotropic atmosphere in the azimuthal direction within the time interval of airflow. After the laser propagates through the frozen air, the total wavefront distortion in the azimuthal direction becomes centrosymmetric with lower PV value, reducing the beam quality degradation. On the basis, the influence of rotation frequency, power ratio of the sub beams, strength of turbulence and thermal blooming on the propagation characteristics of the rotating beam in atmosphere are analyzed. Within a certain range, as the beam rotation frequency increases, the mitigation effect of the rotating beam on atmospheric turbulence and thermal blooming effects are enhanced. With the increase of turbulence intensity and thermal blooming intensity, the mitigation effect of the rotating beam is weakened but still can maintain well, which can provide reference for the engineering applications of laser beam in atmosphere.
2023, 72(6): 064301.
doi: 10.7498/aps.72.20222186
Abstract:
In this work, a cylindrical four-channel non-uniform labyrinth structure is constructed. The ring shaped metamaterial designed by using the rotational anisotropy of the structure can control sound wave and achieve dynamically adjustable directional sound radiation. The cylindrical non-uniform labyrinth structure comprised of four channels has dipole resonance characteristic. At the dipole resonance frequency, sound waves can radiate from the openings of two sector channels that occupy a large proportion. At this time, the cylindrical non-uniform labyrinth structure can be approximately regarded as a dipole sound source. For the cylindrical uniform labyrinth structure, the sound transmission property will not change as it rotates around its center. However, when the cylindrical non-uniform labyrinth structure rotates around its own center, the position of the dipole sound source and the direction of the radiated sound wave also change. Placing a point sound source in the center of the circular metamaterial composed of 18 non-uniform labyrinth structures, and adjusting the rotation angle of the circular non-uniform labyrinth structure so that each structure lies in the conductive or cut-off state, the propagation of the point sound source in all directions can be controlled. The propagation characteristics of these structures are utilized to achieve dynamically adjustable directional sound radiation. In addition, the influence of the rotation angle of the cylindrical non-uniform labyrinth structure on the transmitted sound wave is studied, and the switching effect of the non-uniform cylindrical labyrinth structure in the constructed sound source system is explored, which provides a new idea for constructing simple directional radiation acoustic equipment.
In this work, a cylindrical four-channel non-uniform labyrinth structure is constructed. The ring shaped metamaterial designed by using the rotational anisotropy of the structure can control sound wave and achieve dynamically adjustable directional sound radiation. The cylindrical non-uniform labyrinth structure comprised of four channels has dipole resonance characteristic. At the dipole resonance frequency, sound waves can radiate from the openings of two sector channels that occupy a large proportion. At this time, the cylindrical non-uniform labyrinth structure can be approximately regarded as a dipole sound source. For the cylindrical uniform labyrinth structure, the sound transmission property will not change as it rotates around its center. However, when the cylindrical non-uniform labyrinth structure rotates around its own center, the position of the dipole sound source and the direction of the radiated sound wave also change. Placing a point sound source in the center of the circular metamaterial composed of 18 non-uniform labyrinth structures, and adjusting the rotation angle of the circular non-uniform labyrinth structure so that each structure lies in the conductive or cut-off state, the propagation of the point sound source in all directions can be controlled. The propagation characteristics of these structures are utilized to achieve dynamically adjustable directional sound radiation. In addition, the influence of the rotation angle of the cylindrical non-uniform labyrinth structure on the transmitted sound wave is studied, and the switching effect of the non-uniform cylindrical labyrinth structure in the constructed sound source system is explored, which provides a new idea for constructing simple directional radiation acoustic equipment.
2023, 72(6): 064302.
doi: 10.7498/aps.72.20221955
Abstract:
In this work, the interaction among multiple bubbles in a cavitation field is investigated by combining the experimental observation of small bubbles hovering around large bubbles. A model composed of three bubbles is developed, and the dynamic behavior of cavitation bubble is analyzed. By considering the time delay effect of the interaction among bubbles and the nonspherical oscillation of large bubbles, the modified bubble dynamic equations are obtained. Numerical results show that the nonspherical effect of large bubbles has little effect on the oscillation of cavitation bubble. The suppressive effect of large bubble on cavitation bubble is closely related to the radius of the large bubble. The larger the size of the large bubble, the stronger the suppression is. When the size of large bubble approaches to the resonant radius, the oscillation of cavitation bubble presents coupled resonance response, and the maximum expansion radius of bubble shows a resonance peak. The distribution of the secondary Bjerknes force versus bubble radius and the separation distance is strongly influenced by driving frequencies or sound pressure. When the large bubble is on the order of submillimeter, the intensity of the secondary Bjerknes force and the acoustic response mode are different due to the different intensity of the nonlinear response of the cavitation bubble. As the distance decreases, when the acoustic pressure increases to a certain value, the secondary Bjerknes force on the cavitation bubble decreases due to abnormal acoustic absorption. The secondary Bjerknes force on cavitation bubble is likely to be repulsive at different separation distances. The theoretical results accord well with experimental phenomenon.
In this work, the interaction among multiple bubbles in a cavitation field is investigated by combining the experimental observation of small bubbles hovering around large bubbles. A model composed of three bubbles is developed, and the dynamic behavior of cavitation bubble is analyzed. By considering the time delay effect of the interaction among bubbles and the nonspherical oscillation of large bubbles, the modified bubble dynamic equations are obtained. Numerical results show that the nonspherical effect of large bubbles has little effect on the oscillation of cavitation bubble. The suppressive effect of large bubble on cavitation bubble is closely related to the radius of the large bubble. The larger the size of the large bubble, the stronger the suppression is. When the size of large bubble approaches to the resonant radius, the oscillation of cavitation bubble presents coupled resonance response, and the maximum expansion radius of bubble shows a resonance peak. The distribution of the secondary Bjerknes force versus bubble radius and the separation distance is strongly influenced by driving frequencies or sound pressure. When the large bubble is on the order of submillimeter, the intensity of the secondary Bjerknes force and the acoustic response mode are different due to the different intensity of the nonlinear response of the cavitation bubble. As the distance decreases, when the acoustic pressure increases to a certain value, the secondary Bjerknes force on the cavitation bubble decreases due to abnormal acoustic absorption. The secondary Bjerknes force on cavitation bubble is likely to be repulsive at different separation distances. The theoretical results accord well with experimental phenomenon.
2023, 72(6): 064303.
doi: 10.7498/aps.72.20222154
Abstract:
\begin{document}${\text{π }}$\end{document} ![]()
![]()
-phase-shifted fiber Bragg grating with a short effective sensing length becomes one of research hotspots in ultrasonic sensing, because light undergoes strong localization centered at its phase shift position. To investigate the directional sensing characteristics of \begin{document}${\text{π }}$\end{document} ![]()
![]()
-phase-shifted fiber Bragg grating as hydrophone, the theory of sound propagation in layered media is used to calculate the strain of fiber core, then the transfer matrix method based on the coupled-mode theory in optics is used to calculate the shift of central wavelength in optical reflection spectrum. Results of strain and wavelength shift under obliquely incident ultrasonic from 1-10 MHz are divided into A area, B area, and C area, and analyzed by numerical calculation and simulation calculation. Axial strain and elasto-optical strain change the grating period and effective refractive index by the mechanical effect and elasto-optical effect, respectively, thereby resulting in wavelength shift. In A area (frequency below 5 MHz, incident angle below \begin{document}$15^\circ $\end{document} ![]()
![]()
), the axial strain nearly equals zero, thus elasto-optical effect plays a predominant role in wavelength shift. The maximal response occurs at vertical incidence, and then obviously declines with angle increasing. The maximum is essentially unchanged with grating length. In B area and C area (angle above \begin{document}$15^\circ $\end{document} ![]()
![]()
), both mechanical effect and elasto-optical effect contribute to wavelength shift. In B area (frequency below 5 MHz), the amplitude of strain is the largest in three areas. A peak of wavelength shift appears at the same angle of the peak of strain, where exists the interference of the guided wave in fiber with the direct ultrasonic wave form water. The peak amplitude of wavelength shift decreases with grating length increasing. In C area (frequency below 5 MHz), the amplitude of strain is larger than in A area, but the wavelength shift is smaller, which is correlated to its higher axial wave number. Comparing the results in three areas, it is clear that the wavelength shift is larger at lower frequency and at vertical incidence. Experiments on 3 MHz and 5 MHz are then performed with a π-phase-shifted fiber Bragg grating. The experimental result accords well with the theoretical result. The research is important in practically using the \begin{document}${\text{π }}$\end{document} ![]()
![]()
-phase-shifted fiber Bragg grating in ultrasonic sensing.
2023, 72(6): 064304.
doi: 10.7498/aps.72.20222151
Abstract:
The active micro-perforated panel absorber has excellent low frequency sound absorption performance, which is expected to realize low-frequency noise reduction in large space of the cabin. Since its active sound absorption performance depends on the incident sound field environment, on the basis of the existing research conclusions in the duct, the active sound absorption performance of the large-sized active micro-perforated panel absorber under the excitation of a normal incident plane wave in typical free field environment is in depth investigated. First, the theoretical model of the active micro-perforated panel absorber is established by using the modal analysis approach, in which a reflection coefficient varying with position is introduced to represent the reflected sound wave on the surface of the active micro-perforated panel absorber in free field. Then, the physical mechanism of active control is thoroughly analyzed and the error sensing strategy is established. Finally, an experiment is carried out to validate the theoretical model and findings. Results obtained demonstrate that the greater the amplitude of the (0, 0, 0) cavity mode excited by the incident plane wave, the stronger the reflection effect on the incident sound wave is, and vice versa. The control source suppresses the (0, 0, 0) mode so that this mode will not reflect and absorb the incident plane wave substantially when its amplitude is reduced to an optimal value. This is main mechanism of the sound absorption improvement in the low frequency range. However, the excited high order cavity modes (except for (0, 0, 0) mode) greatly reflect the incident sound energy in free field and exert a negative effect on sound absorption improvement. Thus, the control performance of the active micro-perforated panel absorber weakens in free field in comparison with that in the duct. The pressure-release and impedance-matching strategies are still applicable to free field as long as such a situation holds, i.e. the (0, 0, 0) cavity mode can be substantially suppressed by the control source and at the same time the high order cavity modes cannot be highly excited.
The active micro-perforated panel absorber has excellent low frequency sound absorption performance, which is expected to realize low-frequency noise reduction in large space of the cabin. Since its active sound absorption performance depends on the incident sound field environment, on the basis of the existing research conclusions in the duct, the active sound absorption performance of the large-sized active micro-perforated panel absorber under the excitation of a normal incident plane wave in typical free field environment is in depth investigated. First, the theoretical model of the active micro-perforated panel absorber is established by using the modal analysis approach, in which a reflection coefficient varying with position is introduced to represent the reflected sound wave on the surface of the active micro-perforated panel absorber in free field. Then, the physical mechanism of active control is thoroughly analyzed and the error sensing strategy is established. Finally, an experiment is carried out to validate the theoretical model and findings. Results obtained demonstrate that the greater the amplitude of the (0, 0, 0) cavity mode excited by the incident plane wave, the stronger the reflection effect on the incident sound wave is, and vice versa. The control source suppresses the (0, 0, 0) mode so that this mode will not reflect and absorb the incident plane wave substantially when its amplitude is reduced to an optimal value. This is main mechanism of the sound absorption improvement in the low frequency range. However, the excited high order cavity modes (except for (0, 0, 0) mode) greatly reflect the incident sound energy in free field and exert a negative effect on sound absorption improvement. Thus, the control performance of the active micro-perforated panel absorber weakens in free field in comparison with that in the duct. The pressure-release and impedance-matching strategies are still applicable to free field as long as such a situation holds, i.e. the (0, 0, 0) cavity mode can be substantially suppressed by the control source and at the same time the high order cavity modes cannot be highly excited.
2023, 72(6): 064701.
doi: 10.7498/aps.72.20222042
Abstract:
A theoretical calculation method for wave structures in the flow resulting from the interaction between the two-dimensional planar shock and the material interface is developed. First, the propagation of the shock wave on either side of the interface is analyzed, and two regular refraction types and three irregular ones are identified. Then, according to the relative speed of the perturbations on either side, three different interaction cases are established. Compared with the existing Catherasoo’s method, this method is improved in the following aspects: 1) the influence of the perturbation in the post-shock flow field on the interaction is taken into account, including its type and whether it can catch up and interact with the shock front; 2) the interactions between different waves are calculated mostly based on the exact solutions of the Euler equations, except those involving post-shock subsonic rarefaction waves. This method has been used to investigate the interaction of a Mach number 1.17 shock with an air/SF6 interface, and give wave structures that accord with numerical results and existing experimental data. The angle between the transmitted shock and the horizontal direction is obtained to be in better agreement with experimental data than Catherasoo’s result, and more parameters are obtained, such as the reflected wave and the interface deflection angle. For cases involving a Mach number 2.00 shock with different material density ratios and interface inclination angles, comparisons between theoretical and numerical results show that our method can obtain the type of wave structure more accurately than Catherasoo’s method, and identify a refraction type in which the post-shock strong perturbation catches up with the shock front and a three-wave structure is formed, whereas Catherasoo’s method cannot handle this case. Thus, the results show that the improved method in this work has better applicability and higher accuracy than the existing method in identifying the type of wave structure, and can also provide more information about the wave structures.
A theoretical calculation method for wave structures in the flow resulting from the interaction between the two-dimensional planar shock and the material interface is developed. First, the propagation of the shock wave on either side of the interface is analyzed, and two regular refraction types and three irregular ones are identified. Then, according to the relative speed of the perturbations on either side, three different interaction cases are established. Compared with the existing Catherasoo’s method, this method is improved in the following aspects: 1) the influence of the perturbation in the post-shock flow field on the interaction is taken into account, including its type and whether it can catch up and interact with the shock front; 2) the interactions between different waves are calculated mostly based on the exact solutions of the Euler equations, except those involving post-shock subsonic rarefaction waves. This method has been used to investigate the interaction of a Mach number 1.17 shock with an air/SF6 interface, and give wave structures that accord with numerical results and existing experimental data. The angle between the transmitted shock and the horizontal direction is obtained to be in better agreement with experimental data than Catherasoo’s result, and more parameters are obtained, such as the reflected wave and the interface deflection angle. For cases involving a Mach number 2.00 shock with different material density ratios and interface inclination angles, comparisons between theoretical and numerical results show that our method can obtain the type of wave structure more accurately than Catherasoo’s method, and identify a refraction type in which the post-shock strong perturbation catches up with the shock front and a three-wave structure is formed, whereas Catherasoo’s method cannot handle this case. Thus, the results show that the improved method in this work has better applicability and higher accuracy than the existing method in identifying the type of wave structure, and can also provide more information about the wave structures.
2023, 72(6): 064702.
doi: 10.7498/aps.72.20221912
Abstract:
Agglomeration of fine solid particles under the excitation of external acoustic field has potential applications in the field of ultra-low emission of combustion pollutants. It is expected that the performance of particle agglomeration can be improved by adding large sized liquid droplets. According to the dynamic process of acoustic agglomeration, including the particle motion, collision, agglomeration and rebound, a model of acoustic agglomeration for gas-liquid-solid three phase system with coexistence of liquid droplets and solid particles in gas phase is developed by using the direct simulation Monte Carlo (DSMC) method. Using this model, numerical simulations are performed to investigate the process and performance of acoustic agglomeration of fine solid particles under the effect of additional droplets. The numerical results are compared with experimental data, and the proposed model is validated. On this basis, the dynamic behaviors of acoustic agglomeration of fine particles in the case with additional droplets are explored. Furthermore, the influences of the diameter and number concentration of additional droplets on the performance of acoustic agglomeration of fine particles are examined. The results show that rapid agglomeration among the solid fine particles and additional droplets can be achieved by adding droplets into the acoustic field, yielding large sized liquid-solid mixed-phase particles. In this process, the agglomeration efficiency of fine particles increases significantly. It is also found that the diameter and number concentration of additional droplets are important factors that affect the acoustic agglomeration of fine particles. The agglomeration efficiency of fine particles rises, while the magnitude of increase tends to decrease with the droplet diameter and number concentration increasing. The research results can provide both theoretical basis for modeling the agglomeration process of complex particle systems and method guidance for achieving the ultra-low emission of fine particles from combustion sources.
Agglomeration of fine solid particles under the excitation of external acoustic field has potential applications in the field of ultra-low emission of combustion pollutants. It is expected that the performance of particle agglomeration can be improved by adding large sized liquid droplets. According to the dynamic process of acoustic agglomeration, including the particle motion, collision, agglomeration and rebound, a model of acoustic agglomeration for gas-liquid-solid three phase system with coexistence of liquid droplets and solid particles in gas phase is developed by using the direct simulation Monte Carlo (DSMC) method. Using this model, numerical simulations are performed to investigate the process and performance of acoustic agglomeration of fine solid particles under the effect of additional droplets. The numerical results are compared with experimental data, and the proposed model is validated. On this basis, the dynamic behaviors of acoustic agglomeration of fine particles in the case with additional droplets are explored. Furthermore, the influences of the diameter and number concentration of additional droplets on the performance of acoustic agglomeration of fine particles are examined. The results show that rapid agglomeration among the solid fine particles and additional droplets can be achieved by adding droplets into the acoustic field, yielding large sized liquid-solid mixed-phase particles. In this process, the agglomeration efficiency of fine particles increases significantly. It is also found that the diameter and number concentration of additional droplets are important factors that affect the acoustic agglomeration of fine particles. The agglomeration efficiency of fine particles rises, while the magnitude of increase tends to decrease with the droplet diameter and number concentration increasing. The research results can provide both theoretical basis for modeling the agglomeration process of complex particle systems and method guidance for achieving the ultra-low emission of fine particles from combustion sources.
2023, 72(6): 065201.
doi: 10.7498/aps.72.20222385
Abstract:
The extreme ultraviolet (EUV) lithography technology required for high-end chip manufacturing is the first of 35 “bottleneck” key technologies that China is facing currently. The high conversion efficiency EUV source and low out-of-band radiation play a significant role in the application of the EUV lithography system. In this work, the EUV source and out-of-band radiation are studied by using laser irradiated solid Sn target and low-density SnO2 target. The result shows that a strong EUV radiation at a wavelength of 13.5 nm is generated when the laser irradiates the two forms of Sn targets. Owing to the self-absorption effect of the solid Sn target plasma, the maximum intensity of the wavelength is not located at the position of 13.5 nm, which is working wavelength of EUV lithography system. However, the peak radiation spectrum is located at the position of 13.5 nm with low-density SnO2 target due to its weaker plasma self-absorption effect. In addition, the satellite lines are weaker in low-density SnO2 target than in the solid Sn target, so that the spectrum efficiency of the EUV at 13.5 nm (2% bandwidth) is increased by about 20%. On the other hand, the experimental study of the out-of-band radiation is carried out. The out-of-band radiation spectral results show that the out-of-band radiation is mainly dominated by the continuum spectrum. Compared with the solid Sn target, the low-density SnO2 target contains a part of the low Z element O (Z = 8), resulting in a low-intensity continuum spectrum. In addition, the collision probability of ion-ion and electron-ion both become low when the laser irradiates the low-density SnO2 target, resulting in a short out-of-band radiation duration time. Therefore, the out-of-band radiation generated by the laser irradiated on the low-density SnO2 target is weak based on the above reasons. The angular distribution of out-of-band radiation measurement results shows that the intensity of out-of-band radiation decreases with the angle increasing. A cosine function\begin{document}$A \cos ^\alpha \theta$\end{document} ![]()
![]()
can fit the angular distribution of the total radiation.
The extreme ultraviolet (EUV) lithography technology required for high-end chip manufacturing is the first of 35 “bottleneck” key technologies that China is facing currently. The high conversion efficiency EUV source and low out-of-band radiation play a significant role in the application of the EUV lithography system. In this work, the EUV source and out-of-band radiation are studied by using laser irradiated solid Sn target and low-density SnO2 target. The result shows that a strong EUV radiation at a wavelength of 13.5 nm is generated when the laser irradiates the two forms of Sn targets. Owing to the self-absorption effect of the solid Sn target plasma, the maximum intensity of the wavelength is not located at the position of 13.5 nm, which is working wavelength of EUV lithography system. However, the peak radiation spectrum is located at the position of 13.5 nm with low-density SnO2 target due to its weaker plasma self-absorption effect. In addition, the satellite lines are weaker in low-density SnO2 target than in the solid Sn target, so that the spectrum efficiency of the EUV at 13.5 nm (2% bandwidth) is increased by about 20%. On the other hand, the experimental study of the out-of-band radiation is carried out. The out-of-band radiation spectral results show that the out-of-band radiation is mainly dominated by the continuum spectrum. Compared with the solid Sn target, the low-density SnO2 target contains a part of the low Z element O (Z = 8), resulting in a low-intensity continuum spectrum. In addition, the collision probability of ion-ion and electron-ion both become low when the laser irradiates the low-density SnO2 target, resulting in a short out-of-band radiation duration time. Therefore, the out-of-band radiation generated by the laser irradiated on the low-density SnO2 target is weak based on the above reasons. The angular distribution of out-of-band radiation measurement results shows that the intensity of out-of-band radiation decreases with the angle increasing. A cosine function
2023, 72(6): 066801.
doi: 10.7498/aps.72.20222197
Abstract:
The interactions between molecules and substrates play an important role in growing organic thin films. The metallic and semimetallic substrates, owing to the different electronic structures, can have distinct interactions with molecular films. Here we make a comparative study on the two-dimensional (2D) self-assemblies of dicyanoanthracene (DCA) molecules on the metallic Cd(0001) and semimetallic Bi(111) surfaces. It is found that the DCA thin film grown on Cd(0001) surface at low temperature exhibits a three-dimensional (3D) growth mode, with the monolayer islands, two-layer islands, and three-layer islands coexisting on the Cd(0001) surface. When deposited at room temperature, the DCA molecules exhibit a 2D growth mode, where the monolayer DCA adopts the 4×\begin{document}$\sqrt {13} $\end{document} ![]()
![]()
reconstruction with respective Cd(0001). The commensurate epitaxy indicates that there is strong interaction between DCA molecules and Cd(0001). In clear contrast, the DCA molecules deposited on the semimetallic Bi(111) surface at low temperature exhibit a 2D growth mode. Furthermore, a moiré pattern with the periodicity of 2.6 nm is observed in the DCA monolayer, indicating the incommensurate epitaxy of DCA monolayer on Bi(111). This can be explained by the weak interaction between DCA and Bi(111) substrate. These results demonstrate that both of the electronic structure of substrates and substrate temperatures can be used to adjust the structures of morphology of DCA films.
The interactions between molecules and substrates play an important role in growing organic thin films. The metallic and semimetallic substrates, owing to the different electronic structures, can have distinct interactions with molecular films. Here we make a comparative study on the two-dimensional (2D) self-assemblies of dicyanoanthracene (DCA) molecules on the metallic Cd(0001) and semimetallic Bi(111) surfaces. It is found that the DCA thin film grown on Cd(0001) surface at low temperature exhibits a three-dimensional (3D) growth mode, with the monolayer islands, two-layer islands, and three-layer islands coexisting on the Cd(0001) surface. When deposited at room temperature, the DCA molecules exhibit a 2D growth mode, where the monolayer DCA adopts the 4×
2023, 72(6): 067301.
doi: 10.7498/aps.72.20222233
Abstract:
The insulation level of power equipment in power system is based on the overvoltage protection level of metal oxide arrester represented by zinc oxide valve blade. Owing to its superior nonlinear voltage current characteristics and surge energy absorption capacity, ZnO varistor is widely used as the core component of power system arrester. The electrical characteristics of ZnO varistors are determined by their complex microstructures and grain boundary characteristics. Therefore, to further improve the insulation level of power grid equipment, doping is required to further improve the grain boundary characteristics of ZnO varistors. In order to obtain more stable ZnO varistors, the stability characteristics of Ga doped ZnO varistors are investigated. The microstructural and electrical characteristics of the obtained experimental samples are tested by scanning electron microscope, voltage current nonlinear characteristics, capacitance voltage characteristics, X-ray diffraction spectrum, energy spectrum scanning, dielectric loss, and AC acceleration aging. The experimental results show that with the further increase of gallium doping, gallium ions occupy the vacancies on the zinc oxide lattice, increasing the interface state density, and improving the Schottky barrier height. On the one hand, the leakage current density of ZnO varistor is reduced, on the other hand, the migration of free electrons in the depletion layer is suppressed, and the stability of ZnO varistor in the high charge rate environment is improved. Aluminum ions are dissolved into the ZnO lattice to generate a large number of free electrons, thereby reducing the resistivity of ZnO grains, which can effectively reduce the residual voltage ratio of ZnO varistor when large current passes through it. When the doping amount of Ga reaches 0.6%, the leakage current is 0.84 μA/cm2, the residual voltage ratio is 1.97, the nonlinear coefficient is 66, and the Schottky barrier height is 1.81 eV. At 115 ℃, AC accelerated aging voltages of 87% E1 mA, 89% E1 mA and 91% E1 mA are applied to the test sample separately. The aging time is 1000 h, and the aging coefficients are 0.394, 0.437 and 0.550 separately. This research will help to further improve the protection level of zinc oxide surge arresters, achieving the deep limitation of grid overvoltage, and improving the security and stability of power systems.
The insulation level of power equipment in power system is based on the overvoltage protection level of metal oxide arrester represented by zinc oxide valve blade. Owing to its superior nonlinear voltage current characteristics and surge energy absorption capacity, ZnO varistor is widely used as the core component of power system arrester. The electrical characteristics of ZnO varistors are determined by their complex microstructures and grain boundary characteristics. Therefore, to further improve the insulation level of power grid equipment, doping is required to further improve the grain boundary characteristics of ZnO varistors. In order to obtain more stable ZnO varistors, the stability characteristics of Ga doped ZnO varistors are investigated. The microstructural and electrical characteristics of the obtained experimental samples are tested by scanning electron microscope, voltage current nonlinear characteristics, capacitance voltage characteristics, X-ray diffraction spectrum, energy spectrum scanning, dielectric loss, and AC acceleration aging. The experimental results show that with the further increase of gallium doping, gallium ions occupy the vacancies on the zinc oxide lattice, increasing the interface state density, and improving the Schottky barrier height. On the one hand, the leakage current density of ZnO varistor is reduced, on the other hand, the migration of free electrons in the depletion layer is suppressed, and the stability of ZnO varistor in the high charge rate environment is improved. Aluminum ions are dissolved into the ZnO lattice to generate a large number of free electrons, thereby reducing the resistivity of ZnO grains, which can effectively reduce the residual voltage ratio of ZnO varistor when large current passes through it. When the doping amount of Ga reaches 0.6%, the leakage current is 0.84 μA/cm2, the residual voltage ratio is 1.97, the nonlinear coefficient is 66, and the Schottky barrier height is 1.81 eV. At 115 ℃, AC accelerated aging voltages of 87% E1 mA, 89% E1 mA and 91% E1 mA are applied to the test sample separately. The aging time is 1000 h, and the aging coefficients are 0.394, 0.437 and 0.550 separately. This research will help to further improve the protection level of zinc oxide surge arresters, achieving the deep limitation of grid overvoltage, and improving the security and stability of power systems.
2023, 72(6): 067501.
doi: 10.7498/aps.72.20222053
Abstract:
BiFeO3 (BFO) is a kind of room temperature multiferroic material with bulk photovoltaic effect, and it has been a research hotspot in the field of multifunctional materials in recent years. The coexistence of the coupling among magnetic, optical, electrical properties brings rich and complex physical connotations. In this work, BiFeO3 thin film is deposited on FTO substrate by pulsed laser deposition, and the solar cell structure with BiFeO3 film used as light absorption layer and Au film serving as electrode is constructed. X-ray diffraction and Raman spectra indicate that the BFO film grown on FTO substrate has a pure phase structure. The experimental results of physical properties indicate that the BFO film possesses good ferromagnetic and ferroelectric properties and obvious photoelectric effect. According to the hysteresis loop, the remanence (Mr) of the sample is 0.8 emu/cm3, and the coercivity (Hc) is 200 Oe at 300 K. In terms of ferroelectricity, the saturation polarization intensity of the sample can reach 0.997 μC/cm2, the residual polarization intensity is 0.337 μC/cm2, and the coercive electric field is 12.45 kV/cm. The above results show that the BFO film has good multiferroic properties. Under solar illumination conditions, the photocurrent density up to 208 mA/cm2 is obtained when a bias voltage 1 V is applied. More importantly, magneto-photocurrent (MPC) effect is found in the BFO film. No matter whether the magnetic field starts to increase from the positive direction or the negative direction, the MPC usually changes with the magnitude of magnetization. When a 1.3 kOe magnetic field is applied, the magneto-photocurrent change rate up to 232.7% is observed under standard solar illumination condition. The results show that the photocurrent of BFO films is greatly improved by a positive magnetic field and negative magnetic field. This magneto-photocurrent effect in BFO thin film comes from the photo-magnetoresistance effect, that is, the photogenerated electrons become spin photoelectrons under the action of an external magnetic field and receive spin-dependent scattering during moving in the conductive band of the material, thus producing the photo-magnetoresistance effect. In addition, the magneto-photocurrent effect is further enhanced by weakening the domain wall scattering of the spin electrons by the magnetic field. This work provides a reference for the modulation effect of magnetic field and light field on the magnetic, optical and electrical properties in multiferroics, and presents a foundation for the research and application of devices in the field of multifunctional optoelectronic materials.
BiFeO3 (BFO) is a kind of room temperature multiferroic material with bulk photovoltaic effect, and it has been a research hotspot in the field of multifunctional materials in recent years. The coexistence of the coupling among magnetic, optical, electrical properties brings rich and complex physical connotations. In this work, BiFeO3 thin film is deposited on FTO substrate by pulsed laser deposition, and the solar cell structure with BiFeO3 film used as light absorption layer and Au film serving as electrode is constructed. X-ray diffraction and Raman spectra indicate that the BFO film grown on FTO substrate has a pure phase structure. The experimental results of physical properties indicate that the BFO film possesses good ferromagnetic and ferroelectric properties and obvious photoelectric effect. According to the hysteresis loop, the remanence (Mr) of the sample is 0.8 emu/cm3, and the coercivity (Hc) is 200 Oe at 300 K. In terms of ferroelectricity, the saturation polarization intensity of the sample can reach 0.997 μC/cm2, the residual polarization intensity is 0.337 μC/cm2, and the coercive electric field is 12.45 kV/cm. The above results show that the BFO film has good multiferroic properties. Under solar illumination conditions, the photocurrent density up to 208 mA/cm2 is obtained when a bias voltage 1 V is applied. More importantly, magneto-photocurrent (MPC) effect is found in the BFO film. No matter whether the magnetic field starts to increase from the positive direction or the negative direction, the MPC usually changes with the magnitude of magnetization. When a 1.3 kOe magnetic field is applied, the magneto-photocurrent change rate up to 232.7% is observed under standard solar illumination condition. The results show that the photocurrent of BFO films is greatly improved by a positive magnetic field and negative magnetic field. This magneto-photocurrent effect in BFO thin film comes from the photo-magnetoresistance effect, that is, the photogenerated electrons become spin photoelectrons under the action of an external magnetic field and receive spin-dependent scattering during moving in the conductive band of the material, thus producing the photo-magnetoresistance effect. In addition, the magneto-photocurrent effect is further enhanced by weakening the domain wall scattering of the spin electrons by the magnetic field. This work provides a reference for the modulation effect of magnetic field and light field on the magnetic, optical and electrical properties in multiferroics, and presents a foundation for the research and application of devices in the field of multifunctional optoelectronic materials.
2023, 72(6): 067502.
doi: 10.7498/aps.72.20221577
Abstract:
Microelectronic devices have a wide range of application prospects. In order to make microelectronic devices that have excellent high-frequency characteristics, developing of soft magnetic films with high saturation magnetization, low coercivity and high resistivity becomes the key to the research. In this work, Fe-Fe3N soft magnetic films with different numbers of N atoms are prepared by radio-frequency atomic source assisted vacuum thermal evaporation. Among them, the RF atom source provides N atoms with higher chemical activity than N molecules, which reduces the formation energy between Fe atoms and N atoms. The vacuum thermal evaporation is beneficial to accurately controlling the growth rate, impurity concentration and composition ratio of multiple compounds of the film at the atomic level. The combination of the two Fe aom and N atom is easier to form nitrides with Fe atoms. Thus in this way the Fe-N films with stable structure are obtained. In the prepared Fe-Fe3N soft magnetic film, the introduction of N atoms makes the surface of the film more uniform, resulting in the increase of density. Compared with Fe, surface roughness is reduced by two times, and the crystallinity is obviously enhanced. Owing to the high saturation magnetization, the content of Fe3N phase is increased by 29% and the (102) orientation of Fe3N increases to 0.64. Therefore the directionality of the magnetic moment arrangement is improved. Comparing with Fe film, the saturation magnetization of the film is increased by 55.2%, reaching 1705.6 emu/cm3. In addition, with the increase of the (102) orientation of Fe3N, a large number of lattice mismatches are produced, which impedes the growth of Fe and Fe3N grains and reduces the grain size and anisotropy of the film. Thus the coercivity of the film decreases. The coercivity (50.3 Oe) is 68.6% lower than that of the Fe film. At the same time, the larger lattice mismatch results in the increase of heterointerface, which promotes the carrier scattering and increases the resistivity of Fe-Fe3N thin film. The resistivity (8.80 μΩ·m) of Fe-Fe3N thin film is 7 times higher than that of Fe thin film. Therefore, this research provides a new method for studying and developing soft magnetic films with high saturation magnetization, low coercivity and high resistivity.
Microelectronic devices have a wide range of application prospects. In order to make microelectronic devices that have excellent high-frequency characteristics, developing of soft magnetic films with high saturation magnetization, low coercivity and high resistivity becomes the key to the research. In this work, Fe-Fe3N soft magnetic films with different numbers of N atoms are prepared by radio-frequency atomic source assisted vacuum thermal evaporation. Among them, the RF atom source provides N atoms with higher chemical activity than N molecules, which reduces the formation energy between Fe atoms and N atoms. The vacuum thermal evaporation is beneficial to accurately controlling the growth rate, impurity concentration and composition ratio of multiple compounds of the film at the atomic level. The combination of the two Fe aom and N atom is easier to form nitrides with Fe atoms. Thus in this way the Fe-N films with stable structure are obtained. In the prepared Fe-Fe3N soft magnetic film, the introduction of N atoms makes the surface of the film more uniform, resulting in the increase of density. Compared with Fe, surface roughness is reduced by two times, and the crystallinity is obviously enhanced. Owing to the high saturation magnetization, the content of Fe3N phase is increased by 29% and the (102) orientation of Fe3N increases to 0.64. Therefore the directionality of the magnetic moment arrangement is improved. Comparing with Fe film, the saturation magnetization of the film is increased by 55.2%, reaching 1705.6 emu/cm3. In addition, with the increase of the (102) orientation of Fe3N, a large number of lattice mismatches are produced, which impedes the growth of Fe and Fe3N grains and reduces the grain size and anisotropy of the film. Thus the coercivity of the film decreases. The coercivity (50.3 Oe) is 68.6% lower than that of the Fe film. At the same time, the larger lattice mismatch results in the increase of heterointerface, which promotes the carrier scattering and increases the resistivity of Fe-Fe3N thin film. The resistivity (8.80 μΩ·m) of Fe-Fe3N thin film is 7 times higher than that of Fe thin film. Therefore, this research provides a new method for studying and developing soft magnetic films with high saturation magnetization, low coercivity and high resistivity.
2023, 72(6): 067701.
doi: 10.7498/aps.72.20222190
Abstract:
In order to continue Moore’s law, the reduction of power consumption has received much attention. It is necessary to develop steep devices that can overcome the “Boltzmann tyranny” and solve the problem of high power consumption of integrated circuits. Negative capacitance field-effect transistors are one of the most promising candidates in numerous steep devices. Strain engineering has been widely studied as an effective means of regulating the properties of ferroelectric thin films. However, the influence of strain on the performance of negative capacitance field-effect transistor has not been clear so far. Therefore, in this work, an analytical model of double gate negative capacitance field-effect transistor (DG-NCFET) regulated by biaxial misfit strain is proposed. Using this model, we investigate the influences of ferroelectric layer thickness and biaxial misfit strain on electrical properties of PbZr0.5Ti0.5O3 (PZT)-based and CuInP2S6 (CIPS)-based negative capacitance field-effect transistors (NCFETs), respectively. The results show that for the negative capacitance field-effect transistor based on PbZr0.5Ti0.5O3, when the ferroelectric layer thickness is increased or the compression strain is applied, the subthreshold swing and conduction current are improved, but the tensile strain has the opposite effect. For the negative capacitance field-effect transistor based on CuInP2S6, its performance is improved when the thickness of the ferroelectric layer is increased or the tensile strain is applied, but the device lags behind under the compressive strain. It is found that the CIPS-based NCFET exhibits better performance than PZT-based NCFET at low gate voltages.
In order to continue Moore’s law, the reduction of power consumption has received much attention. It is necessary to develop steep devices that can overcome the “Boltzmann tyranny” and solve the problem of high power consumption of integrated circuits. Negative capacitance field-effect transistors are one of the most promising candidates in numerous steep devices. Strain engineering has been widely studied as an effective means of regulating the properties of ferroelectric thin films. However, the influence of strain on the performance of negative capacitance field-effect transistor has not been clear so far. Therefore, in this work, an analytical model of double gate negative capacitance field-effect transistor (DG-NCFET) regulated by biaxial misfit strain is proposed. Using this model, we investigate the influences of ferroelectric layer thickness and biaxial misfit strain on electrical properties of PbZr0.5Ti0.5O3 (PZT)-based and CuInP2S6 (CIPS)-based negative capacitance field-effect transistors (NCFETs), respectively. The results show that for the negative capacitance field-effect transistor based on PbZr0.5Ti0.5O3, when the ferroelectric layer thickness is increased or the compression strain is applied, the subthreshold swing and conduction current are improved, but the tensile strain has the opposite effect. For the negative capacitance field-effect transistor based on CuInP2S6, its performance is improved when the thickness of the ferroelectric layer is increased or the tensile strain is applied, but the device lags behind under the compressive strain. It is found that the CIPS-based NCFET exhibits better performance than PZT-based NCFET at low gate voltages.
2023, 72(6): 068201.
doi: 10.7498/aps.72.20222183
Abstract:
Helium (He) is widely used in many scientific and industrial fields, and the shortage of He resources and the growing demand make He separation extremely important. In this work, the He separation performances of a series of graphanes containing crown ether nanopores (crown ether graphane, CG-n, n = 3, 4, 5, 6) are studied by first-principles calculations. At first, the minimum energy paths of He and other 10 gas molecules (Ne, Ar, H2, CO, NO, NO2, N2, CO2, SO2 and CH4) passing through CG-n membranes are calculated, and the factors affecting the energy barriers are also investigated. The calculated results show that He is the easiest to pass through all the four CG-n membranes with energy barriers of 4.55, 1.05, 0.53 and 0.01 eV, respectively. He can be separated by CG-5 and CG-6 with very low energy barriers, and the energy barrier of He passing through CG-6 is the lowest, so far as we know. Moreover, all gas molecules can pass through CG-6 with low energy barriers, including many molecules with large kinetic diameters, such as CO (0.13 eV) and N2 (0.16 eV). Therefore, CG-6 is also expected to be used in the screening field of other gas molecules. In addition, it is found that the energy barriers of gas molecules passing through CG-n are synergistically affected by the size of the crown ether nanopore, the kinetic diameter and the type of the gas molecules. Secondly, the diffusion rates of gas molecules passing through CG-5 and CG-6 and the He selectivity towards other 10 gases of CG-5 and CG-6 at different temperatures are calculated. It is found that CG-5 exhibits extremely high He selectivity in a wide temperature range (0–600 K). In summary, the crown ether graphanes CG-5 and CG-6 can serve as excellent He separation membranes with high He selectivity. This work is expected to inspire one to develop other graphene-based two-dimensional separation membranes for separating He and other gas molecules.
Helium (He) is widely used in many scientific and industrial fields, and the shortage of He resources and the growing demand make He separation extremely important. In this work, the He separation performances of a series of graphanes containing crown ether nanopores (crown ether graphane, CG-n, n = 3, 4, 5, 6) are studied by first-principles calculations. At first, the minimum energy paths of He and other 10 gas molecules (Ne, Ar, H2, CO, NO, NO2, N2, CO2, SO2 and CH4) passing through CG-n membranes are calculated, and the factors affecting the energy barriers are also investigated. The calculated results show that He is the easiest to pass through all the four CG-n membranes with energy barriers of 4.55, 1.05, 0.53 and 0.01 eV, respectively. He can be separated by CG-5 and CG-6 with very low energy barriers, and the energy barrier of He passing through CG-6 is the lowest, so far as we know. Moreover, all gas molecules can pass through CG-6 with low energy barriers, including many molecules with large kinetic diameters, such as CO (0.13 eV) and N2 (0.16 eV). Therefore, CG-6 is also expected to be used in the screening field of other gas molecules. In addition, it is found that the energy barriers of gas molecules passing through CG-n are synergistically affected by the size of the crown ether nanopore, the kinetic diameter and the type of the gas molecules. Secondly, the diffusion rates of gas molecules passing through CG-5 and CG-6 and the He selectivity towards other 10 gases of CG-5 and CG-6 at different temperatures are calculated. It is found that CG-5 exhibits extremely high He selectivity in a wide temperature range (0–600 K). In summary, the crown ether graphanes CG-5 and CG-6 can serve as excellent He separation membranes with high He selectivity. This work is expected to inspire one to develop other graphene-based two-dimensional separation membranes for separating He and other gas molecules.
2023, 72(6): 068202.
doi: 10.7498/aps.72.20221784
Abstract:
In this paper, the process of unpinning spiral waves from obstacles with pulses of radial electrical field (PREF) in excitable medium is studied by using Barkley model. We use a radial electrical field to simulate the field of an needle electrode placed in the middle of a round obstacle. Numerical results show that the PREF can separate spiral waves from obstacles effectively. With a single pulse of radial electrical field (SPREF), spiral waves can be unpinned from an obstacle effectively in a weakly excitable medium, but it cannot be unpinned in a strongly excitable medium. The unpinning parameter space of an SPREF is larger than that of a uniform electric field or anti-tachycardia pacing. Multiple pulses of radial electrical field (MPREF) is effective for unpinning in the entire parameter space where spiral waves exist. Compared with other methods to unpin spiral waves, the PREF method has the advantages of low electric field magnitude, high success rate, and large application range in the parameter space. And unlike other methods, the PREF has a success rate insensitive to the phase of the spiral wave on the obstacle. We hope that this method will provide a new idea for clinical treatment for related cardiac diseases.
In this paper, the process of unpinning spiral waves from obstacles with pulses of radial electrical field (PREF) in excitable medium is studied by using Barkley model. We use a radial electrical field to simulate the field of an needle electrode placed in the middle of a round obstacle. Numerical results show that the PREF can separate spiral waves from obstacles effectively. With a single pulse of radial electrical field (SPREF), spiral waves can be unpinned from an obstacle effectively in a weakly excitable medium, but it cannot be unpinned in a strongly excitable medium. The unpinning parameter space of an SPREF is larger than that of a uniform electric field or anti-tachycardia pacing. Multiple pulses of radial electrical field (MPREF) is effective for unpinning in the entire parameter space where spiral waves exist. Compared with other methods to unpin spiral waves, the PREF method has the advantages of low electric field magnitude, high success rate, and large application range in the parameter space. And unlike other methods, the PREF has a success rate insensitive to the phase of the spiral wave on the obstacle. We hope that this method will provide a new idea for clinical treatment for related cardiac diseases.
2023, 72(6): 068401.
doi: 10.7498/aps.72.20222255
Abstract:
In the study of the physical effects of thermoelectric conversion, the Kelvin relationship is a bridge between the Seebeck coefficient and the Peltier coefficient, which brings the cooling and power generation performance of thermoelectric material into a unified evaluation system and dramatically simplifies the measurement process. However, some theoretical studies have shown that the Kelvin relationship is not satisfied under nonlinear conditions. Meanwhile, the measurement results of some experiments do not conform with this relationship. There have been few studies on accurately measuring the Peltier coefficient that is the basis of validating the Kelvin relation and studying the nonlinear thermoelectric effect. Based on this, a kind of Peltier coefficient measuring device with a cantilever beam structure is proposed in this work. We measure the difference between steady-state temperature and transient-state temperature on the sample surface and obtain the Peltier coefficients by the steady-state method and the transient-state method, respectively. By this measurement, we can obtain not only the Peltier coefficient of the material at low temperatures but also the interface resistance of the material. The Peltier coefficients measured by the steady-state method and the transient-state method are consistent with each other at various temperatures. Both of the variation trends with temperature are consistent with the temperature-dependent theoretical values calculated from the Kelvin relation. Our measured values are about 20% larger than the theoretical values.
In the study of the physical effects of thermoelectric conversion, the Kelvin relationship is a bridge between the Seebeck coefficient and the Peltier coefficient, which brings the cooling and power generation performance of thermoelectric material into a unified evaluation system and dramatically simplifies the measurement process. However, some theoretical studies have shown that the Kelvin relationship is not satisfied under nonlinear conditions. Meanwhile, the measurement results of some experiments do not conform with this relationship. There have been few studies on accurately measuring the Peltier coefficient that is the basis of validating the Kelvin relation and studying the nonlinear thermoelectric effect. Based on this, a kind of Peltier coefficient measuring device with a cantilever beam structure is proposed in this work. We measure the difference between steady-state temperature and transient-state temperature on the sample surface and obtain the Peltier coefficients by the steady-state method and the transient-state method, respectively. By this measurement, we can obtain not only the Peltier coefficient of the material at low temperatures but also the interface resistance of the material. The Peltier coefficients measured by the steady-state method and the transient-state method are consistent with each other at various temperatures. Both of the variation trends with temperature are consistent with the temperature-dependent theoretical values calculated from the Kelvin relation. Our measured values are about 20% larger than the theoretical values.
2023, 72(6): 068701.
doi: 10.7498/aps.72.20222206
Abstract:
Epidemic outbreaks in the real world are often accompanied by rapid information diffusion, which will change individual behavior patterns and affect the spread of epidemics. The community phenomenon in human society will also have an important influence on the spread of epidemics. The above factors to construct a new bilayer network are considered in this work. The activity-driven model is used to generate time-varying online information contact layer network and offline physical contact layer network. The information diffusion of individual online contact layer is used to affect the epidemic spreading dynamics of offline physical contact layer, and the individual mobility factor is used to control the community structure characteristics. In order to obtain the spreading dynamic equation of the whole network and analyze the spreading threshold of the network effectively, the microscopic Markov chain (MMC) approach is improved and extended to time-varying networks. Experimental verification of Monte Carlo simulations shows that the proposed method is highly accurate in predicting epidemic outbreak thresholds. The results show that individual mobility has no effect on the epidemic outbreak threshold, but it will affect the final number of infections in each community. The greater the individual contact capability of the online contact layer, the smaller the individual contact capability of the offline contact layer that can effectively suppress the epidemic spread. The above findings can present an important reference for effectively preventing and controlling the epidemic transmission in the real world.
Epidemic outbreaks in the real world are often accompanied by rapid information diffusion, which will change individual behavior patterns and affect the spread of epidemics. The community phenomenon in human society will also have an important influence on the spread of epidemics. The above factors to construct a new bilayer network are considered in this work. The activity-driven model is used to generate time-varying online information contact layer network and offline physical contact layer network. The information diffusion of individual online contact layer is used to affect the epidemic spreading dynamics of offline physical contact layer, and the individual mobility factor is used to control the community structure characteristics. In order to obtain the spreading dynamic equation of the whole network and analyze the spreading threshold of the network effectively, the microscopic Markov chain (MMC) approach is improved and extended to time-varying networks. Experimental verification of Monte Carlo simulations shows that the proposed method is highly accurate in predicting epidemic outbreak thresholds. The results show that individual mobility has no effect on the epidemic outbreak threshold, but it will affect the final number of infections in each community. The greater the individual contact capability of the online contact layer, the smaller the individual contact capability of the offline contact layer that can effectively suppress the epidemic spread. The above findings can present an important reference for effectively preventing and controlling the epidemic transmission in the real world.
2023, 72(6): 068702.
doi: 10.7498/aps.72.20222441
Abstract:
P53 is well recognized to be a tumor suppressor protein. In response to the external stress or environmental perturbation, p53 can promote the transcription of various target genes downstream, thus regulating the cell cycle, apoptosis, DNA repair, and angiogenesis. However, the activation of p53 is further activated by another protein, MDM2, which negatively regulates the level of p53 inverse and thus reduces the activation of p53. This phenomenon is a novel potential and promising strategy for cancer therapy, i.e. restoring the activity of p53 pathway through the competitive inhibitors that can occupy the p53-binding site of MDM2 and thus inhibit the interaction between p53 and MDM2. Recently, various kinds of the inhibitors have been designed for this purpose. The Nutlin family is a group of well investigated inhibitors, which shows high efficiency for tumor suppression. Nutlin-3a mimics the MDM2-binding site of p53 essentially, and blocks the binding of MDM2 to p53. Once getting free from MDM2, p53 rapidly accumulates in the nuclei of cancer cells, the p53 target genes and the p53 pathway are activated, thereby resulting in cell-cycle arrest and apoptosis. In our previous papers, we investigated the competition mechanism between Nutlin3 and p53 in vitro by using molecular dynamics simulations. We found that Nutlin3 can bind faster than p53 to prevent p53 from binding to MDM2 when Nutlin-3a and p53 have equal distance from MDM2. Nutlin-3a can also bind to the p53-MDM2 complex to disturb and weaken the interactions between p53 and MDM2. However, the underlying mechanisms of p53-MDM2 complex instability in vivo are still unclear. And these inhibitors also have a variety of specificities and biological toxicities in vivo environment. In this study, we go a further step to investigate the effect of Nutlin-3a on the stability of p53-MDM2 complex in physiological environment with the aid of the molecular mechanics/generalized borne surface area (MM/GBSA) method. In our simulations, a group of Nutlin-3a molecules are randomly put around the p53 binding pocket of MDM2 in the initial stages to examine the dynamics among p53, MDM2 and the group of Nutlin-3a molecules and to analyze the underlying competition mechanism between Nutlin3 and p53 binding to pocket of MDM2. We find that Nutlin-3a can induce the centroid distance between p53 and MDM2 to increase. Importantly, we show that Nutlin-3a weakens the binding affinity of p53-MDM2 complex. Consistently, Nutlin-3a breaks a hydrogen bond between Phe19-Gln72 and a salt bridge between Glu17-Lys94, which weakens the interactions between p53 and MDM2. From the systematic biology point of view, the regulation of p53 by MDM2 is extremely sensitive to the strength of the p53-MDM2 interaction. The avianization of the interactions between p53 and MDM2 by Nutlin-3a can promote p53 to restore its suppression functions on tumor development. This study may be helpful in understanding the molecular mechanisms of p53-MDM2 complex instability mediated by Nutlin-3a and also in searching for the effective inhibitors of p53-MDM2 interaction.
2023, 72(6): 068703.
doi: 10.7498/aps.72.20221332
Abstract:
In this paper, molecular dynamics is used to simulate the self-assembly of carbon atoms and the growth of graphene on the surface of cemented carbide, which has some advantages, such as reducing manufacturing costs, shortening the experimental cycle, and optimizing the preparation parameters of graphene. A proper potential function is designed to simulate the formation of graphene on the WC (\begin{document}$10 \bar{1} 0$\end{document} ![]()
![]()
) surface and Co (0001) surface by a single carbon atom. The growth process of graphene, such as the deposition of carbon atoms, the formation of carbon chains with different lengths, the transformation about carbon chains into polygons, and the basic units and natural defects of graphene are investigated in detail. Three processes of self-repair of graphene defects, including carbon chain rotation, splitting and embedding, are described respectively. The effects of temperature and carbon deposition rate on the growth of high-quality graphene are also studied. The simulation results show that at low temperature, the mobility of carbon atoms is low and grown graphene contains a lot of defects, and the coverage of the substrate is low, which leads to low quality graphene to be prepared. High temperature promotes the migration of carbon atoms and helps to grow high quality graphene. However, high temperature can cause damage to the substrate and reduce the flatness of the growing graphene. At a higher deposition rate, the nucleation rate of graphene is higher and the distribution is more uniform. However, due to the different ability of each graphene nucleus to absorb carbon atoms, there are many macrocyclic defects in the graphene. The low deposition rate has a longer annealing time, which excessively stimulates the migration of carbon atoms. It leads to the aggregation of carbon atoms and reduce the quality of graphene. The proper deposition rate can ensure the nucleation density of graphene, and at the same time, it has enough time to form six membered rings and repair defects, which is conducive to the formation of the high quality graphene. Therefore, it is significantly important to design the appropriate deposition temperature and deposition rate for the growth of high-quality graphene. After optimizing the simulation parameters, high-quality graphene is successfully grown at 1300 K deposition temperature and 10 ps/C deposition rate.
In this paper, molecular dynamics is used to simulate the self-assembly of carbon atoms and the growth of graphene on the surface of cemented carbide, which has some advantages, such as reducing manufacturing costs, shortening the experimental cycle, and optimizing the preparation parameters of graphene. A proper potential function is designed to simulate the formation of graphene on the WC (
2023, 72(6): 069101.
doi: 10.7498/aps.72.20222063
Abstract:
Rock pores often contain two-phase or multi-phase fluids, so it is important to understand how the wave-induced fluid pressure diffusion affects dispersion and attenuation of elastic waves for resource exploration. To describe the propagation of elastic wave in a double-porosity medium saturated by two-phase fluids, a wave propagation model, including both global and local flow mechanisms and considering the effect of capillary pressure, is derived. The dispersion and attenuation characteristics of three longitudinal waves (P1, P2, P3) and one transverse wave (S wave) are investigated by analyzing a plane wave, and the effects of physical parameters, such as inclusion radius, water saturation, permeability and porosity, on the propagation characteristics of P1 wave are investigated. Theoretical analysis shows that the model derived in this work can be degenerated into the Biot model under specific conditions. According to the numerical simulation results, due to the coupling of global flow and local flow, the P1 wave velocity may decrease below the Gassmann-Wood limit. The physical explanation of this phenomenon is as follows: when considering the effect of capillary pressure, the coupling effect of global flow and local flow will break the basic assumption that rock is undrained. The relationship between physical parameters of porous medium and the dispersion and attenuation characteristics of elastic wave is complicated and nonlinear. Compared with Santos model, elastic modulus predicted by Santos-Rayleigh model is in good agreement with the experimental data in the low frequency band, which proves that this model has good reliability in modeling the velocity field of seismic exploration.
Rock pores often contain two-phase or multi-phase fluids, so it is important to understand how the wave-induced fluid pressure diffusion affects dispersion and attenuation of elastic waves for resource exploration. To describe the propagation of elastic wave in a double-porosity medium saturated by two-phase fluids, a wave propagation model, including both global and local flow mechanisms and considering the effect of capillary pressure, is derived. The dispersion and attenuation characteristics of three longitudinal waves (P1, P2, P3) and one transverse wave (S wave) are investigated by analyzing a plane wave, and the effects of physical parameters, such as inclusion radius, water saturation, permeability and porosity, on the propagation characteristics of P1 wave are investigated. Theoretical analysis shows that the model derived in this work can be degenerated into the Biot model under specific conditions. According to the numerical simulation results, due to the coupling of global flow and local flow, the P1 wave velocity may decrease below the Gassmann-Wood limit. The physical explanation of this phenomenon is as follows: when considering the effect of capillary pressure, the coupling effect of global flow and local flow will break the basic assumption that rock is undrained. The relationship between physical parameters of porous medium and the dispersion and attenuation characteristics of elastic wave is complicated and nonlinear. Compared with Santos model, elastic modulus predicted by Santos-Rayleigh model is in good agreement with the experimental data in the low frequency band, which proves that this model has good reliability in modeling the velocity field of seismic exploration.
2023, 72(6): 069201.
doi: 10.7498/aps.72.20221985
Abstract:
Owing to the existence of atmospheric turbulence, a series of turbulence effects such as phase fluctuation and light intensity scintillation will occur when the electromagnetic waves propagates through the atmosphere, which seriously affects the performance of the electro-optic system, resulting in the difficulty of astronomical observation. The atmospheric refractive index structure constant (\begin{document}$ C_n^2 $\end{document} ![]()
![]()
) profile is an important parameter to evaluate the turbulence effects. This paper summarizes several representative \begin{document}$ C_n^2 $\end{document} ![]()
![]()
profile models and analyzes the data using balloon-borne microthermal probes at five sites i.e. Gaomeigu, Lhasa, Dachaidan, Maoming, and Rongcheng. The atmospheirc optical parameters are calculated, such as coherence length, seeing, isoplanatie angle, coherence time, equivalent height, equivalent wind speed, drop-off rate and integrated contribution from each atmosphere layer. The formulas of five sites are developed by fitting the arithmetic average of measurements. Several troubling basic problems such as suspicion the H-V (5/7) model, the model developed by arithmetic average or geometric average, the problem whether there is a uniform lapse rate in the low stratosphere, are discussed and solved. The modified CLEAR I night model is given.
Owing to the existence of atmospheric turbulence, a series of turbulence effects such as phase fluctuation and light intensity scintillation will occur when the electromagnetic waves propagates through the atmosphere, which seriously affects the performance of the electro-optic system, resulting in the difficulty of astronomical observation. The atmospheric refractive index structure constant (










