2024 Vol. 73, No. 15
column
- VIEWS AND PERSPECTIVES
- INVITED REVIEW
- SPECIAL TOPIC—Precision spectroscopy of few-electron atoms and molecules
- REVIEW
- GENERAL
- ELECTROMAGNETISM, OPTICS, ACOUSTICS, HEAT TRANSFER, CLASSICAL MECHANICS, AND FLUID DYNAMICS
- PHYSICS OF GASES, PLASMAS, AND ELECTRIC DISCHARGES
- CONDENSED MATTER: STRUCTURAL, MECHANICAL, AND THERMAL PROPERTIES
- CONDENSED MATTER: ELECTRONIC STRUCTURE, ELECTRICAL, MAGNETIC, AND OPTICAL PROPERTIES
- INTERDISCIPLINARY PHYSICS AND RELATED AREAS OF SCIENCE AND TECHNOLOGY
Display Method:
2024, 73(15): 150301.
doi: 10.7498/aps.73.20240917
Abstract:
Recent studies have found that all three materials within the vanadium-based Kagome superconductors (AV3Sb5, A = K, Cs, Rb) exhibit time-reversal symmetry-breaking behaviors in the superconducting states. Among the three, the Josephson junctions structured Nb/K1–xV3Sb5/Nb and RbV3Sb5 show magnetic hysteresis below the superconducting transition temperature. In CsV3Sb5, there exists a zero-field superconducting diode effect, meaning the magnitude of the positive and negative superconducting critical current are different. We first discuss the similarities and differences among the three above-mentioned experiments. Then, we discuss the possible mechanisms responsible for the unconventional superconducting transport phenomena: such as chiral superconducting order parameter (d+id or p+ip), and chiral pair density waves arising from the coupling of the charge density waves and conventional superconducting states.
Recent studies have found that all three materials within the vanadium-based Kagome superconductors (AV3Sb5, A = K, Cs, Rb) exhibit time-reversal symmetry-breaking behaviors in the superconducting states. Among the three, the Josephson junctions structured Nb/K1–xV3Sb5/Nb and RbV3Sb5 show magnetic hysteresis below the superconducting transition temperature. In CsV3Sb5, there exists a zero-field superconducting diode effect, meaning the magnitude of the positive and negative superconducting critical current are different. We first discuss the similarities and differences among the three above-mentioned experiments. Then, we discuss the possible mechanisms responsible for the unconventional superconducting transport phenomena: such as chiral superconducting order parameter (d+id or p+ip), and chiral pair density waves arising from the coupling of the charge density waves and conventional superconducting states.
2024, 73(15): 157401.
doi: 10.7498/aps.73.20240807
Abstract:
In his seminal work published in Acta Physica Sinica in 1965, Yu Lu pointed out that the superconducting gap exhibits weak modulations near the pair-breaking magnetic impurity in a superconductor. In the past ten year, a series high-resolution scanning tunneling microscopy works reported weak superconducting gap modulations in certain superconductors and explained these phenomena as pair density waves. In line with Yu Lu’s discovery, Lee D H et al. pointed out that in many cases, the interference effect of pair-breaking scattering can also lead to superconducting gap modulations in space. We will discuss the distinction and unification of these two kinds of mechanisms, as well as their relevance to recent experimental observations.
In his seminal work published in Acta Physica Sinica in 1965, Yu Lu pointed out that the superconducting gap exhibits weak modulations near the pair-breaking magnetic impurity in a superconductor. In the past ten year, a series high-resolution scanning tunneling microscopy works reported weak superconducting gap modulations in certain superconductors and explained these phenomena as pair density waves. In line with Yu Lu’s discovery, Lee D H et al. pointed out that in many cases, the interference effect of pair-breaking scattering can also lead to superconducting gap modulations in space. We will discuss the distinction and unification of these two kinds of mechanisms, as well as their relevance to recent experimental observations.
2024, 73(15): 157501.
doi: 10.7498/aps.73.20240646
Abstract:
Ultrafast spin dynamics is the study of the evolution of spin degrees of freedom on a time scale from picoseconds to attoseconds after being excited by an external field. With the development of laser technology, ultrafast spin dynamics has presented new opportunities for realizing ultrafast spintronic devices since 1996. However, despite decades of development, many aspects of femtosecond magnetism remain unclear. Understanding the parameters of these ultrafast spin dynamics processes requires experiments on an even faster timescale. Attosecond magnetism and the interaction of attosecond laser pulses with magnetic materials can reveal spin dynamics on a sub-femtosecond to attosecond time scale. In this review, we first introduce the significant research progress, including the mechanisms of ultrafast demagnetization, all-optical switching, ultrafast spin currents, and terahertz waves. Secondly, we analyze the problems in ultrafast spin dynamics, such as the unclear physical mechanisms of ultrafast demagnetization, the uncertain relationship between magnetic damping and ultrafast demagnetization time, and the unexplored anisotropic ultrafast demagnetization. Thirdly, we discuss the opportunities and challenges in attosecond magnetism. Finally, we analyze and discuss the future development and prospects of ultrafast spin dynamics.
Ultrafast spin dynamics is the study of the evolution of spin degrees of freedom on a time scale from picoseconds to attoseconds after being excited by an external field. With the development of laser technology, ultrafast spin dynamics has presented new opportunities for realizing ultrafast spintronic devices since 1996. However, despite decades of development, many aspects of femtosecond magnetism remain unclear. Understanding the parameters of these ultrafast spin dynamics processes requires experiments on an even faster timescale. Attosecond magnetism and the interaction of attosecond laser pulses with magnetic materials can reveal spin dynamics on a sub-femtosecond to attosecond time scale. In this review, we first introduce the significant research progress, including the mechanisms of ultrafast demagnetization, all-optical switching, ultrafast spin currents, and terahertz waves. Secondly, we analyze the problems in ultrafast spin dynamics, such as the unclear physical mechanisms of ultrafast demagnetization, the uncertain relationship between magnetic damping and ultrafast demagnetization time, and the unexplored anisotropic ultrafast demagnetization. Thirdly, we discuss the opportunities and challenges in attosecond magnetism. Finally, we analyze and discuss the future development and prospects of ultrafast spin dynamics.
2024, 73(15): 150201.
doi: 10.7498/aps.73.20240554
Abstract:
In the precision spectroscopy of few-electron atoms, the generation of high-intensity metastable helium atoms and helium-like ions is crucial for implementing experimental studies as well as a critical factor for improving the signal-to-noise ratio of experimental measurements. With the rapid development of free-electron laser (FEL) and technology, FEL wavelengths extend from hard X-rays to soft X-rays and even vacuum ultraviolet bands. Meanwhile, laser pulses with ultra-fast, ultra-intense and high repetition frequencies are realized, thus making it possible for FEL to prepare single-quantum state atoms/ions with high efficiency. In this work, we propose an experimental method for obtaining high-intensity single-quantum state helium atoms and helium-like ions by using FEL. The preparation efficiency can be calculated by solving the master equation of light-atom interaction. Considering the experimental parameters involved in this work, we predict that the efficiencies of preparing metastable 23S He, Li+ and Be2+ are about 3%, 6% and 2%, respectively. Compared with the common preparation methods such as gas discharge and electron bombardment, a state-of-the-art laser excitation method can not only increase the preparation efficiency, but also reduce the effects of high-energy stray particles such as electrons, ions, and photons generated during discharge. Furthermore, combined with the laser preparation technique, the sophisticated ion confinement technique, which can ensure a long interaction time between the ions and laser, increases the efficiency of metastable Li+ and Be2+ by several orders of magnitude. Therefore, the preparation of high-intensity metastable helium and helium-like ions can improve the measurement accuracy of precision spectroscopy of atoms and ions. A new experimental method, based on FEL, to study the fine structure energy levels 23P of helium, has the potential to obtain the results with an accuracy exceeding the sub-kHz level. Thus, the high-precision fine structure constants can be determined with the development of high-order quantum electrodynamics theory. In order to measure energy levels with higher accuracy, a new detection technique, which can reduce or even avoid more systematic effects, must be developed. For example, the quantum interference effect, which has been proposed in recent years, seriously affects the accuracy of fine-structure energy levels. If the interference phenomenon of spontaneous radiation between different excited states can be avoided in the detection process, the measurement accuracy will not be affected by this quantum interference effect. High-intensity metastable atoms or ions in chemical reaction dynamics studies also have better chances to investigate reaction mechanisms. In summary, the FEL preparation of high-intensity metastable helium atoms and helium-like ions proposed in this work will lay an important foundation for developing cold atom physics and chemical reaction dynamics.
In the precision spectroscopy of few-electron atoms, the generation of high-intensity metastable helium atoms and helium-like ions is crucial for implementing experimental studies as well as a critical factor for improving the signal-to-noise ratio of experimental measurements. With the rapid development of free-electron laser (FEL) and technology, FEL wavelengths extend from hard X-rays to soft X-rays and even vacuum ultraviolet bands. Meanwhile, laser pulses with ultra-fast, ultra-intense and high repetition frequencies are realized, thus making it possible for FEL to prepare single-quantum state atoms/ions with high efficiency. In this work, we propose an experimental method for obtaining high-intensity single-quantum state helium atoms and helium-like ions by using FEL. The preparation efficiency can be calculated by solving the master equation of light-atom interaction. Considering the experimental parameters involved in this work, we predict that the efficiencies of preparing metastable 23S He, Li+ and Be2+ are about 3%, 6% and 2%, respectively. Compared with the common preparation methods such as gas discharge and electron bombardment, a state-of-the-art laser excitation method can not only increase the preparation efficiency, but also reduce the effects of high-energy stray particles such as electrons, ions, and photons generated during discharge. Furthermore, combined with the laser preparation technique, the sophisticated ion confinement technique, which can ensure a long interaction time between the ions and laser, increases the efficiency of metastable Li+ and Be2+ by several orders of magnitude. Therefore, the preparation of high-intensity metastable helium and helium-like ions can improve the measurement accuracy of precision spectroscopy of atoms and ions. A new experimental method, based on FEL, to study the fine structure energy levels 23P of helium, has the potential to obtain the results with an accuracy exceeding the sub-kHz level. Thus, the high-precision fine structure constants can be determined with the development of high-order quantum electrodynamics theory. In order to measure energy levels with higher accuracy, a new detection technique, which can reduce or even avoid more systematic effects, must be developed. For example, the quantum interference effect, which has been proposed in recent years, seriously affects the accuracy of fine-structure energy levels. If the interference phenomenon of spontaneous radiation between different excited states can be avoided in the detection process, the measurement accuracy will not be affected by this quantum interference effect. High-intensity metastable atoms or ions in chemical reaction dynamics studies also have better chances to investigate reaction mechanisms. In summary, the FEL preparation of high-intensity metastable helium atoms and helium-like ions proposed in this work will lay an important foundation for developing cold atom physics and chemical reaction dynamics.
2024, 73(15): 158501.
doi: 10.7498/aps.73.20240462
Abstract:
Surface acoustic wave (SAW) is a new means of exciting and controlling spin wave (SW), which has not only high excitation efficiency, but also long transmission length up to millimeter order. Based on the SAW-SW coupling (phonon-magnon coupling), a wide variety of new devices and applications such as high-sensitivity weak magnetic field sensors, energy-efficient spintronic devices, solid-state acoustic isolators, and nonreciprocal phase shifters, have been realized. Therefore, it is of great value to study the physical mechanism of magneto-acoustic coupling, develop new magneto-acoustic coupling effects, and improve the efficiency of magneto-acoustic coupling. In this work, different types of physical mechanisms of magneto-acoustic coupling are reviewed. The effective driven magnetic fields of magnetoelastic coupling, spin-vorticity coupling (including injection of alternating spin current from a non-magnetic layer and Barnett effect inside magnetic material itself), and magneto-rotation coupling under different modes of SAW excitation are compared. The angular dependence of these driven fields and the frequency dependence of the corresponding power absorption are discussed, which provides theoretical support for distinguishing and utilizing various magneto-acoustic coupling in practical applications. In addition, we also introduce two methods to realize nonreciprocal SAW transmission by magneto-acoustic coupling, including the helicity mismatch effect and nonreciprocal spin-wave dispersion magnetic structures, and discuss their physical mechanisms as well as advantages and disadvantages. For such magneto-acoustic nonreciprocal devices, the properties of higher isolation, lower insertion loss and wider bandwidth are always desired. In order to improve the properties of the devices, it is important to find magnetic structures with stronger SW nonreciprocity, reduce the insertion loss introduced by magnetic structure, and fully consider the effective driven field characteristics of different modes of SAW. We hope that this review can serve as a guide for future design and development of solid acoustic isolators and circulators in the RF and microwave frequency bands.
Surface acoustic wave (SAW) is a new means of exciting and controlling spin wave (SW), which has not only high excitation efficiency, but also long transmission length up to millimeter order. Based on the SAW-SW coupling (phonon-magnon coupling), a wide variety of new devices and applications such as high-sensitivity weak magnetic field sensors, energy-efficient spintronic devices, solid-state acoustic isolators, and nonreciprocal phase shifters, have been realized. Therefore, it is of great value to study the physical mechanism of magneto-acoustic coupling, develop new magneto-acoustic coupling effects, and improve the efficiency of magneto-acoustic coupling. In this work, different types of physical mechanisms of magneto-acoustic coupling are reviewed. The effective driven magnetic fields of magnetoelastic coupling, spin-vorticity coupling (including injection of alternating spin current from a non-magnetic layer and Barnett effect inside magnetic material itself), and magneto-rotation coupling under different modes of SAW excitation are compared. The angular dependence of these driven fields and the frequency dependence of the corresponding power absorption are discussed, which provides theoretical support for distinguishing and utilizing various magneto-acoustic coupling in practical applications. In addition, we also introduce two methods to realize nonreciprocal SAW transmission by magneto-acoustic coupling, including the helicity mismatch effect and nonreciprocal spin-wave dispersion magnetic structures, and discuss their physical mechanisms as well as advantages and disadvantages. For such magneto-acoustic nonreciprocal devices, the properties of higher isolation, lower insertion loss and wider bandwidth are always desired. In order to improve the properties of the devices, it is important to find magnetic structures with stronger SW nonreciprocity, reduce the insertion loss introduced by magnetic structure, and fully consider the effective driven field characteristics of different modes of SAW. We hope that this review can serve as a guide for future design and development of solid acoustic isolators and circulators in the RF and microwave frequency bands.
2024, 73(15): 150202.
doi: 10.7498/aps.73.20240515
Abstract:
Gallium nitride chips are widely used in high-frequency and high-power devices. However, thermal management is a serious challenge for gallium nitride devices. To improve thermal dissipation of gallium nitride devices, the nonequilibrium molecular dynamics method is employed to investigate the effects of operating temperature, interface size, defect density and defect types on the interfacial thermal conductance of gallium nitride/graphene/diamond heterostructure. Furthermore, the phonon state densities and phonon participation ratios under various conditions are calculated to analyze the interface thermal conduction mechanism. The results indicate that interfacial thermal conductance increases with temperatures rising, highlighting the inherent self-regulating heat dissipation capabilities of heterogeneous. The interfacial thermal conductance of monolayer graphene structures is increased by 2.1 times as the temperature increases from 100 to 500 K. This is attributed to the overlap factor increasing with temperature rising, which enhances the phonon coupling between interfaces, leading the interfacial thermal conductance to increase. Additionally, in the study it is found that increasing the number of layers of both gallium nitride and graphene leads the interfacial thermal conductance to decrease. When the number of gallium nitride layers increases from 10 to 26, the interfacial thermal conductance decreases by 75%. The overlap factor diminishing with the layer number increasing is ascribed to the decreased match of phonon vibrations between interfaces, resulting in lower thermal transfer efficiency. Similarly, when the number of graphene layers increases from 1 to 5, the interfacial thermal conductance decreases by 74%. The increase in graphene layers leads the low-frequency phonons to decrease, consequently lowering the interfacial thermal conductance. Moreover, multilayer graphene enhances phonon localization, exacerbates the reduction in interfacial thermal conductance. It is found that introducing four types of vacancy defects can affect the interfacial thermal conductance. Diamond carbon atom defects lead its interfacial thermal conductance to increase, whereas defects in gallium, nitrogen, and graphene carbon atoms cause their interfacial thermal conductance to decrease. As the defect concentration increases from 0 to 10%, diamond carbon atom defects increase the interfacial thermal conductance by 40% due to defect scattering, which increases the number of low-frequency phonon modes and expands the channels for interfacial heat transfer, thus improving the interfacial thermal conductance. Defects in graphene intensify the degree of graphene phonon localization, consequently leading the interfacial thermal conductance to decrease. Gallium and nitrogen defects both intensify the phonon localization of gallium nitride, impeding phonon transport channels. Moreover, gallium defects induce more severe phonon localization than nitrogen defects, consequently leading to lower interfacial thermal conductance. This research provides the references for manufacturing highly reliable gallium nitride devices and the widespread use of gallium nitride heterostructures.
2024, 73(15): 154101.
doi: 10.7498/aps.73.20240644
Abstract:
When using a fly’s eye lens system to homogenize highly coherent light sources, the interference effect between the sub-beams can cause a periodic speckle distribution of illumination intensity, thereby disrupting illumination uniformity. It has been shown that using a rotating optical phase-shift plate behind the fly’s eye lens can eliminate interference patterns, but it only demonstrates engineering realizations. And the theoretical analysis and technical guidance on the phase modulation method and statistical averaging method for fly’s eye lens homogenization systems are still lacking. In this work, a simulation model of fly’s eye random phase modulation homogenization system is developed and studied in detail. Each sub-beam of the fly’s eye lens is randomly phase-modulated to break the coherence condition, and the illumination intensity of multiple independent modulations is accumulated to eliminate the interference pattern. The more times the intensity is accumulated, the better the homogenization is. Meanwhile, studied in this paper are the influence of the diffraction effect on homogenization, and the influence of the sub-lens size and focal length on the homogenization, which result in the diffracting-type system and the imaging-type system respectively. For an imaging type system, it is necessary to ensure that the first fly’s eye lens is in the front focal plane of the second fly’s eye lens. By optimizing the parameters of the fly’s eye lens and using an imaging-type system with p = 1.8 mm and fA = 9 mm, a Gaussian beam with the non-uniformity of 117% is homogenized into a flat-topped beam with the non-uniformity of 1.2% in a square illumination area of 100 mm2. This fly’s eye lens random phase modulation homogenization system has a simple structure, low energy loss, and good illumination uniformity, and can be used in systems that require high coherent laser input and high resolution. This technology can be used in the field of deep-ultraviolet mask defect detection.
When using a fly’s eye lens system to homogenize highly coherent light sources, the interference effect between the sub-beams can cause a periodic speckle distribution of illumination intensity, thereby disrupting illumination uniformity. It has been shown that using a rotating optical phase-shift plate behind the fly’s eye lens can eliminate interference patterns, but it only demonstrates engineering realizations. And the theoretical analysis and technical guidance on the phase modulation method and statistical averaging method for fly’s eye lens homogenization systems are still lacking. In this work, a simulation model of fly’s eye random phase modulation homogenization system is developed and studied in detail. Each sub-beam of the fly’s eye lens is randomly phase-modulated to break the coherence condition, and the illumination intensity of multiple independent modulations is accumulated to eliminate the interference pattern. The more times the intensity is accumulated, the better the homogenization is. Meanwhile, studied in this paper are the influence of the diffraction effect on homogenization, and the influence of the sub-lens size and focal length on the homogenization, which result in the diffracting-type system and the imaging-type system respectively. For an imaging type system, it is necessary to ensure that the first fly’s eye lens is in the front focal plane of the second fly’s eye lens. By optimizing the parameters of the fly’s eye lens and using an imaging-type system with p = 1.8 mm and fA = 9 mm, a Gaussian beam with the non-uniformity of 117% is homogenized into a flat-topped beam with the non-uniformity of 1.2% in a square illumination area of 100 mm2. This fly’s eye lens random phase modulation homogenization system has a simple structure, low energy loss, and good illumination uniformity, and can be used in systems that require high coherent laser input and high resolution. This technology can be used in the field of deep-ultraviolet mask defect detection.
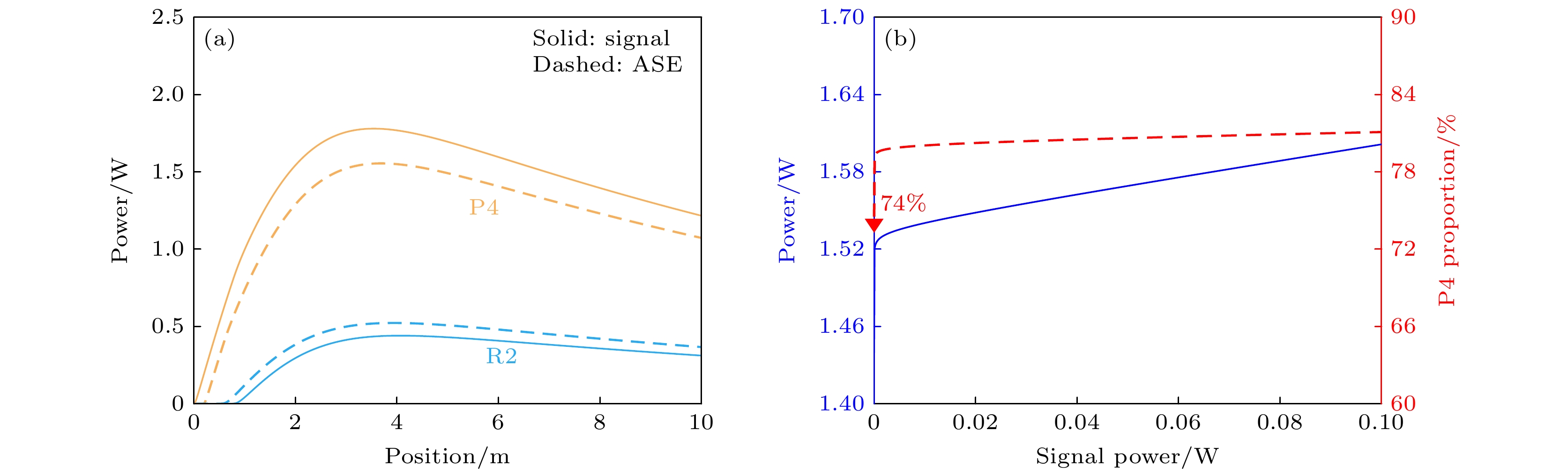
2024, 73(15): 154201.
doi: 10.7498/aps.73.20240428
Abstract:
The hollow-core fiber gas laser (HCFGL) has developed into a significant mid-infrared laser source, but the development of theoretical model still lags behind experimental progress. In this work, we propose a multi-level vibrational thermal pool (VTP) model of HBr-filled HCFs, which comprehensively considers the rovibrational relaxation effects on laser gain in reasonable approximations of transition coefficients, and studies the laser characteristics on multi-line lasing, bottleneck effect, line competition, etc. The VTP model shows more precise results of laser slope efficiency, and threshold than previous models while fitting the experimental data very well, and successfully predicts an output bottleneck at 1 W pump. The P-branch laser is relatively advantageous over the R-branch laser for its larger Einstein\begin{document}$A$\end{document} ![]()
![]()
coefficient and emission cross section, and the seed injection can intensify the line competition and reach the highest P4 power proportion of 80%. The VTP model reveals that the output of various pump lines has a pattern similar to the Boltzmann distribution, suggesting that the distribution of ground rotational levels limits the laser gain of pump lines. Moreover, we discuss the photon leakage in high-energy pulsed pumping conditions. With the introduction of the leaking coefficient, this model shows relaxation oscillations and laser slope efficiencies close to experimental values and greater than the results in the CW condition, and solves the overpump problem in pulsed pump simulation. Finally, we confirm that the photon leakage is intensified at high repetition rate and the leaking coefficient should relate to the pulse repetition rate. This work develops a comprehensive modeling method for MIR laser simulation and this model is also applicable to various gas-filled HCFGLs.
The hollow-core fiber gas laser (HCFGL) has developed into a significant mid-infrared laser source, but the development of theoretical model still lags behind experimental progress. In this work, we propose a multi-level vibrational thermal pool (VTP) model of HBr-filled HCFs, which comprehensively considers the rovibrational relaxation effects on laser gain in reasonable approximations of transition coefficients, and studies the laser characteristics on multi-line lasing, bottleneck effect, line competition, etc. The VTP model shows more precise results of laser slope efficiency, and threshold than previous models while fitting the experimental data very well, and successfully predicts an output bottleneck at 1 W pump. The P-branch laser is relatively advantageous over the R-branch laser for its larger Einstein
2024, 73(15): 154202.
doi: 10.7498/aps.73.20240455
Abstract:
How to characterize thermodynamic non-equilibrium characteristics of flow field accurately and reliably is the key to solving the thermal and chemical non-equilibrium problem, which is one of the most basic scientific problems in hypersonic aerodynamcis. Based on the principles of coherent anti-Stokes Raman scattering (CARS) and modified exponential gap (MEG) Raman linewidth model, a CARS spectral computation and vib-rotational temperature inversion program is proposed for characterizing the thermodynamic non-equilibrium properties of high-temperature gas flow field. The influence of vibrational temperature and rotational temperature on Raman linewidth and CARS spectral characteristics are studied theoretically. A CARS system is built and the corresponding accuracy in a wide temperature range is verified in a static environment that is established by using a high-temperature tube furnace and a McKenna burner. The results show that the average relative deviation of the vibration temperature Tv and rotational temperature Tr from the equilibrium temperature Teq are 4.28% and 3.34% respectively in a range of 1000 to 2300 K, and the corresponding average repeatability is 1.95% and 3.03% respectively. These results indicate that the vibrational temperature and rotational temperature obtained by the non-equilibrium program are in good agreement with those obtained from the thermal equilibrium program. Finally, a non-equilibrium microwave plasma flow is built and its vibrational temperature and rotational temperature are obtained by using the developed program. The results show that the microwave plasma is in thermodynamic non-equilibrium, and the vibrational temperature and rotational temperature are proportional to microwave power, while the thermodynamic non-equilibrium degree exhibits an opposite trend. With microwave power increasing from 80 to 180 W, the vibrational temperature of plasma increases from (2201 ± 43) K to (2452 ± 56) K, the rotational temperature increases from (382 ± 20) K to (535 ± 49) K, for which the principal reasons are that the increase in microwave power leads to an increase in electron number density, and neutral particles obtain energy through collision with electrons, resulting in the increase of vibrational temperature, rotational temperature, and translational temperature. The thermodynamic non-equilibrium degree decreases from 0.83 to 0.78 with the microwave power increasing, which is due to the V-T relaxation rate increasing. The molecules in the excited vibrational states lose energy through collision with ground state molecules (i.e. V-T relaxation process), leading the vibrational energy to be converted into translational energy. For N2 molecules, the V-T relaxation rate is directly proportional to the temperature, which causes the difference between vibrational temperature and rotational temperature to decrease with microwave power increasing, and non-equilibrium degree to decrease with microwave power increasing as well.
How to characterize thermodynamic non-equilibrium characteristics of flow field accurately and reliably is the key to solving the thermal and chemical non-equilibrium problem, which is one of the most basic scientific problems in hypersonic aerodynamcis. Based on the principles of coherent anti-Stokes Raman scattering (CARS) and modified exponential gap (MEG) Raman linewidth model, a CARS spectral computation and vib-rotational temperature inversion program is proposed for characterizing the thermodynamic non-equilibrium properties of high-temperature gas flow field. The influence of vibrational temperature and rotational temperature on Raman linewidth and CARS spectral characteristics are studied theoretically. A CARS system is built and the corresponding accuracy in a wide temperature range is verified in a static environment that is established by using a high-temperature tube furnace and a McKenna burner. The results show that the average relative deviation of the vibration temperature Tv and rotational temperature Tr from the equilibrium temperature Teq are 4.28% and 3.34% respectively in a range of 1000 to 2300 K, and the corresponding average repeatability is 1.95% and 3.03% respectively. These results indicate that the vibrational temperature and rotational temperature obtained by the non-equilibrium program are in good agreement with those obtained from the thermal equilibrium program. Finally, a non-equilibrium microwave plasma flow is built and its vibrational temperature and rotational temperature are obtained by using the developed program. The results show that the microwave plasma is in thermodynamic non-equilibrium, and the vibrational temperature and rotational temperature are proportional to microwave power, while the thermodynamic non-equilibrium degree exhibits an opposite trend. With microwave power increasing from 80 to 180 W, the vibrational temperature of plasma increases from (2201 ± 43) K to (2452 ± 56) K, the rotational temperature increases from (382 ± 20) K to (535 ± 49) K, for which the principal reasons are that the increase in microwave power leads to an increase in electron number density, and neutral particles obtain energy through collision with electrons, resulting in the increase of vibrational temperature, rotational temperature, and translational temperature. The thermodynamic non-equilibrium degree decreases from 0.83 to 0.78 with the microwave power increasing, which is due to the V-T relaxation rate increasing. The molecules in the excited vibrational states lose energy through collision with ground state molecules (i.e. V-T relaxation process), leading the vibrational energy to be converted into translational energy. For N2 molecules, the V-T relaxation rate is directly proportional to the temperature, which causes the difference between vibrational temperature and rotational temperature to decrease with microwave power increasing, and non-equilibrium degree to decrease with microwave power increasing as well.
2024, 73(15): 154301.
doi: 10.7498/aps.73.20240606
Abstract:
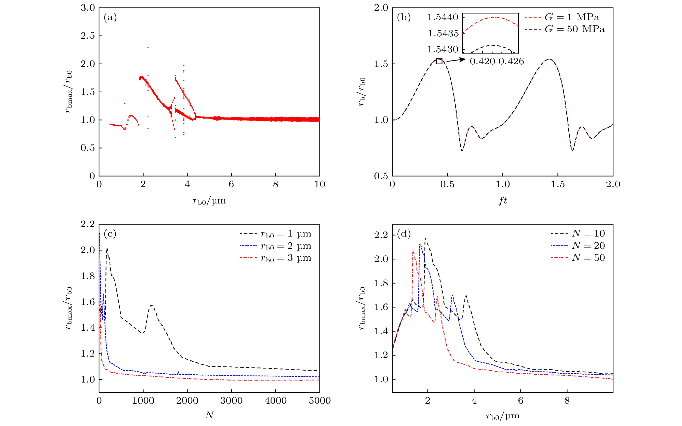
Considering the interactions between bubbles in a multi-bubble system in a liquid micro-cavity, a spherical bubble cluster in a liquid cavity is modeled in order to describe the dynamical effect of the viscoelastic medium outside the liquid cavity on the oscillation of bubbles, and the coupled equations of bubbles are obtained. Subsequently, the acoustic response characteristics of bubbles are investigated by analyzing the radial oscillation, the stability of the non-spherical shape of bubbles and the threshold of inertial cavitation. The results show that the confinement of the cavity and the bubble cluster facilitates the suppression of bubble oscillation, however, it might enhance the nonlinear properties of bubbles to a certain extent. From the acoustic response curve at 1 MHz, it is found that the main resonance peaks shift leftward with the increase of the bubble number, which means a minor resonant radius can be obtained. The nonlinear stability of bubbles in a confined environment is mainly determined by acoustic pressure amplitude and frequency, the initial bubble radius, and bubble number density, while the effect of the cavity radius is enhanced with the increase of the driving pressure. There is a minimum unstable driving acoustic pressure threshold, depending on the initial bubble radius, and the unstable regions are mainly located in a range of less than 4 μm. With the increase in bubble number density, the strip-type stable region scattered of the unstable region in the map is gradually transformed into a random patch-like distribution, which indicates that the bubble oscillation under high acoustic pressure is more sensitive to the parameters, and it is very susceptible to interference, produces unstable oscillation and then collapses. When the bubble equilibrium radius is in a range greater than 4 μm, the influences of frequency and bubble number density on the inertial thresholds are particularly significant.
Considering the interactions between bubbles in a multi-bubble system in a liquid micro-cavity, a spherical bubble cluster in a liquid cavity is modeled in order to describe the dynamical effect of the viscoelastic medium outside the liquid cavity on the oscillation of bubbles, and the coupled equations of bubbles are obtained. Subsequently, the acoustic response characteristics of bubbles are investigated by analyzing the radial oscillation, the stability of the non-spherical shape of bubbles and the threshold of inertial cavitation. The results show that the confinement of the cavity and the bubble cluster facilitates the suppression of bubble oscillation, however, it might enhance the nonlinear properties of bubbles to a certain extent. From the acoustic response curve at 1 MHz, it is found that the main resonance peaks shift leftward with the increase of the bubble number, which means a minor resonant radius can be obtained. The nonlinear stability of bubbles in a confined environment is mainly determined by acoustic pressure amplitude and frequency, the initial bubble radius, and bubble number density, while the effect of the cavity radius is enhanced with the increase of the driving pressure. There is a minimum unstable driving acoustic pressure threshold, depending on the initial bubble radius, and the unstable regions are mainly located in a range of less than 4 μm. With the increase in bubble number density, the strip-type stable region scattered of the unstable region in the map is gradually transformed into a random patch-like distribution, which indicates that the bubble oscillation under high acoustic pressure is more sensitive to the parameters, and it is very susceptible to interference, produces unstable oscillation and then collapses. When the bubble equilibrium radius is in a range greater than 4 μm, the influences of frequency and bubble number density on the inertial thresholds are particularly significant.
2024, 73(15): 154302.
doi: 10.7498/aps.73.20240640
Abstract:
Quadrupole topological insulator (QTI) is the first proposed higher-order topological phase of matter with quantized quadrupole moment but zero dipole moment. The QTI has expanded widely the traditional bulk-boundary correspondence, thereby the lower-dimensional topological boundary state can be observed. The recent interest has turned to the bulk-dislocation correspondence, which dominates the topological states localized to disclinations, and links the reciprocal-space topology of lattices with the appearance of dislocation states. Recently, many research groups have turned the studies of dislocation defects to classical wave systems. In these researches, the method of inducing dislocation defects is to remove a portion of the lattices of topological insulator and then rearrange the remaining lattices of the topological insulator. Through such a method, the micro structure of the lattices is changed, but it is difficult to realize in the actual operation. In this work, we study the dislocation defect states in acoustic QTIs. The acoustic QTI is designed by reversing the magnitude of the intracellular and extracellular coupling in the system, and the bulk energy bands and topological corner states are studied. Subsequently, by introducing partial trivial lattices into acoustic QTI structure, the dislocation bound states are generated in the corner formed by two different topological phases, which can be characterized by a 1/2 quantized fractional charge. The robustness of the topological dislocation states is verified by introducing the imperfection inside the system. Further, it is demonstrated that the dislocation positions can be designed at will. Without changing the microstructure of the lattice, we successfully modulate the line dislocation states and bulk dislocation states. The topological dislocation states studied in this work broaden the types of higher-order topological states in artificial structures, and provide new insights into the acoustic applications of higher-order topological insulators, such as sensing and high-performance energy harvesting.
Quadrupole topological insulator (QTI) is the first proposed higher-order topological phase of matter with quantized quadrupole moment but zero dipole moment. The QTI has expanded widely the traditional bulk-boundary correspondence, thereby the lower-dimensional topological boundary state can be observed. The recent interest has turned to the bulk-dislocation correspondence, which dominates the topological states localized to disclinations, and links the reciprocal-space topology of lattices with the appearance of dislocation states. Recently, many research groups have turned the studies of dislocation defects to classical wave systems. In these researches, the method of inducing dislocation defects is to remove a portion of the lattices of topological insulator and then rearrange the remaining lattices of the topological insulator. Through such a method, the micro structure of the lattices is changed, but it is difficult to realize in the actual operation. In this work, we study the dislocation defect states in acoustic QTIs. The acoustic QTI is designed by reversing the magnitude of the intracellular and extracellular coupling in the system, and the bulk energy bands and topological corner states are studied. Subsequently, by introducing partial trivial lattices into acoustic QTI structure, the dislocation bound states are generated in the corner formed by two different topological phases, which can be characterized by a 1/2 quantized fractional charge. The robustness of the topological dislocation states is verified by introducing the imperfection inside the system. Further, it is demonstrated that the dislocation positions can be designed at will. Without changing the microstructure of the lattice, we successfully modulate the line dislocation states and bulk dislocation states. The topological dislocation states studied in this work broaden the types of higher-order topological states in artificial structures, and provide new insights into the acoustic applications of higher-order topological insulators, such as sensing and high-performance energy harvesting.
2024, 73(15): 154601.
doi: 10.7498/aps.73.20240689
Abstract:
Local-resonance bandgap and Bragg bandgap can coexist in a metamaterial beam, and their coupling effect can be used to realize ultra-wide bandgap, which has great potential applications in the field of wide-band vibration reduction. Previous studies usually considered the single-order coupling between the local-resonance bandgap and Bragg bandgap in metamaterial beams with a single array of local resonators, which can only achieve the single-order ultra-wide coupling bandgap and cannot meet the wide-band vibration reduction requirements of double/multiple target frequency bands. In this paper, metamaterial beams with double arrays of local resonators are considered, and the regulation design and analysis of double-order coupling of local-resonance and Bragg bandgaps are carried out based on an analytical model of bending wave dispersion relation. Moreover, the vibration reduction characteristics of the double-frequency-resonator metamaterial beams with double-order coupling bandgaps are studied by using spectral element method and the finite element method. The main conclusions are as follows. 1) A design method is proposed for realizing double-order coupling wide bandgap in a metamaterial beam with double arrays of local resonators. By using this method, the resonance frequencies of the local resonators can be quickly designed on conditions that host beam parameters, lattice constant and added mass ratio of the local resonators are given. 2) The double-order coupling bandgaps in a metamaterial beam carrying double arrays of local resonators are compared with the single-order coupling bandgaps in metamaterial beams with a single array of local resonators. It is found that through proper design, the total normalized width of the double-order coupling bandgap can be much broader than that of the single-order coupling bandgap, so the double-order coupling bandgap is more beneficial to wide-band vibration reduction. 3) It is found that for a given total added mass ratio of the double arrays of local resonators, it is necessary to optimize the mass distribution ratio of the double resonators to maximize the total normalized width of double-order coupling bandgap. An approximate formula for designing the optimal mass distribution ratio of the double resonators is further established. 4) The spectral element method is used to study the vibration reduction characteristics of the metamaterial beams carrying double arrays of local resonators designed based on double-order bandgap coupling. The accuracy of the spectral element method is verified by comparing with the finite element method. The results show that significant vibration reduction can be achieved in two wide frequency bands corresponding to the double-order coupling bandgaps. The influences of number of unit cells and resonator damping on the vibration reduction characteristics of the metamaterial beam are further analyzed. It is shown that the increase of number of unit cells can enhance the vibration reduction performance in the bandgap, and the increase of resonator damping can effectively broaden the vibration reduction frequency band.
2024, 73(15): 154701.
doi: 10.7498/aps.73.20240474
Abstract:
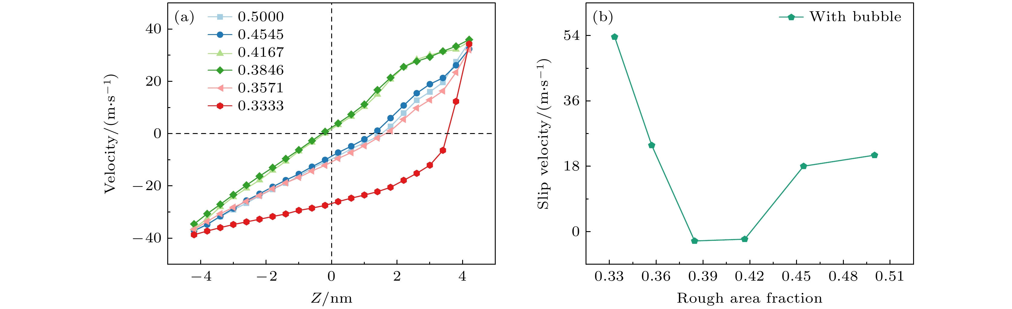
Bubble drag reduction technology is of great significance in improving the propulsion efficiency of underwater vehicle and reducing the comprehensive energy consumption during navigation. Bubble drag reduction is a highly effective method of reducing the frictional resistance encountered by large ships and underwater vehicles during navigation. It exhibits excellent stability in drag reduction, and has advantages such as environmental friendliness, adaptability to various flow environments, and suitability for all underwater components of ships. Therefore, it is greatly significant to conduct in-depth research on bubble drag reduction and its underlying mechanism. In this work, the flow characteristics and the boundary bubble drag reduction mechanism of gas-liquid Couette flow in parallel wall nanochannels are studied by molecular dynamics method, and the influences of surface wettability, wall roughness, and gas concentration on boundary slip velocity and bubble drag reduction effect are analyzed. The results indicate that the bubble drag reduction effect is enhanced with the increase of boundary slip velocity. In the gas-liquid two-phase flow region, with the increase of shear velocity, the lateral deformation of boundary adsorbed bubble and boundary slip velocity increase, thus enhancing the bubble drag reduction effect. The increase of solid-gas interaction strength and gas concentration can lead to the enrichment of gas atoms near the wall, improve the bubble spreading characteristics on the wall, and thus increase the slip velocity of the solid-liquid interface. The wall roughness can change the spreading characteristics of bubble, affect the boundary slip velocity, and then change the drag reduction effect of the fluid-solid interface. As the rib height increases, gas atoms accumulate in the grooves between ribs and the adsorption quantity of gas atoms on the upper surface of the rib decreases, which leads to the decrease of the boundary slip velocity of the solid-liquid interface and ultimately reduces the drag reduction effect. The research results will provide important theoretical guidance for implementing the boundary drag reduction technology in large ships and underwater vehicles.
Bubble drag reduction technology is of great significance in improving the propulsion efficiency of underwater vehicle and reducing the comprehensive energy consumption during navigation. Bubble drag reduction is a highly effective method of reducing the frictional resistance encountered by large ships and underwater vehicles during navigation. It exhibits excellent stability in drag reduction, and has advantages such as environmental friendliness, adaptability to various flow environments, and suitability for all underwater components of ships. Therefore, it is greatly significant to conduct in-depth research on bubble drag reduction and its underlying mechanism. In this work, the flow characteristics and the boundary bubble drag reduction mechanism of gas-liquid Couette flow in parallel wall nanochannels are studied by molecular dynamics method, and the influences of surface wettability, wall roughness, and gas concentration on boundary slip velocity and bubble drag reduction effect are analyzed. The results indicate that the bubble drag reduction effect is enhanced with the increase of boundary slip velocity. In the gas-liquid two-phase flow region, with the increase of shear velocity, the lateral deformation of boundary adsorbed bubble and boundary slip velocity increase, thus enhancing the bubble drag reduction effect. The increase of solid-gas interaction strength and gas concentration can lead to the enrichment of gas atoms near the wall, improve the bubble spreading characteristics on the wall, and thus increase the slip velocity of the solid-liquid interface. The wall roughness can change the spreading characteristics of bubble, affect the boundary slip velocity, and then change the drag reduction effect of the fluid-solid interface. As the rib height increases, gas atoms accumulate in the grooves between ribs and the adsorption quantity of gas atoms on the upper surface of the rib decreases, which leads to the decrease of the boundary slip velocity of the solid-liquid interface and ultimately reduces the drag reduction effect. The research results will provide important theoretical guidance for implementing the boundary drag reduction technology in large ships and underwater vehicles.
2024, 73(15): 155201.
doi: 10.7498/aps.73.20240599
Abstract:
Unlike the Earth, the Moon lacks is not protected from the atmosphere and global magnetic field, and will be directly exposed to complex radiation environments such as high-energy cosmic rays, solar wind, and the Earth’s magnetotail plasma. The surface of the Moon is covered with a thick layer of lunar soil, and the particles in the soil with a diameter between 30 nm–20 μm are called lunar dust. In the complex environments such as solar wind or magnetotail plasma, lunar dust carries an electric charge and becomes charged lunar dust. Charged lunar dust is prone to migration under the action of the electric field on the lunar surface. Charged migrated lunar dust is easy to adhere to the surface of instruments and equipment, resulting in visual impairment, astronauts’ movement disorders, equipment mechanical blockage, sealing failure, and material wear, which affects the lunar exploration mission. As an important lunar exploration landing site, the lunar south pole receives special solar radiation and produces a special dust plasma environment due to its special location. In order to provide an environmental reference for lunar south pole exploration, it is necessary to explore the characteristics of the dust plasma environment in the lunar south pole and its impact. In view of the lunar south pole environment, The Spacecraft Plasma Interactions Software (SPIS) software developed by the European Space Agency is used to carry out modelling and simulation in this work. Through the simulation, the logarithmic distribution of the lunar dust space density in a range of 0–200 m at the lunar south pole, the potential distribution near the lunar surface, and the spatial distribution characteristics of plasma electrons and ions are obtained. The obtained lunar dust space density and lunar surface potential are similar to the previous theoretical derivation and field detection data, so the simulation results have high reliability. The spatial potential distribution and the spatial density distribution of electrons and ions in the lunar environment with and without lunar dust are compared. Finally, the conclusions can be drawn as follows. The space potential increases with altitude increasing. The potential at 0–10 m near the lunar south pole is about –40 V, and the space potential at 100 m is about –20 V. The density of lunar dust in an altitude range below 10 m is 107.22 m–3–104.66 m–3. The electron density in the dust plasma near the lunar surface is 105.47 m–3, and the ion density is 106.07 m–3, and both increase with altitude increasing. Charged lunar dust affects the spatial distribution of lunar dust, mainly through affecting the distribution of the space electric field, which leads to difference in electron distribution, but has little effect on ions.
Unlike the Earth, the Moon lacks is not protected from the atmosphere and global magnetic field, and will be directly exposed to complex radiation environments such as high-energy cosmic rays, solar wind, and the Earth’s magnetotail plasma. The surface of the Moon is covered with a thick layer of lunar soil, and the particles in the soil with a diameter between 30 nm–20 μm are called lunar dust. In the complex environments such as solar wind or magnetotail plasma, lunar dust carries an electric charge and becomes charged lunar dust. Charged lunar dust is prone to migration under the action of the electric field on the lunar surface. Charged migrated lunar dust is easy to adhere to the surface of instruments and equipment, resulting in visual impairment, astronauts’ movement disorders, equipment mechanical blockage, sealing failure, and material wear, which affects the lunar exploration mission. As an important lunar exploration landing site, the lunar south pole receives special solar radiation and produces a special dust plasma environment due to its special location. In order to provide an environmental reference for lunar south pole exploration, it is necessary to explore the characteristics of the dust plasma environment in the lunar south pole and its impact. In view of the lunar south pole environment, The Spacecraft Plasma Interactions Software (SPIS) software developed by the European Space Agency is used to carry out modelling and simulation in this work. Through the simulation, the logarithmic distribution of the lunar dust space density in a range of 0–200 m at the lunar south pole, the potential distribution near the lunar surface, and the spatial distribution characteristics of plasma electrons and ions are obtained. The obtained lunar dust space density and lunar surface potential are similar to the previous theoretical derivation and field detection data, so the simulation results have high reliability. The spatial potential distribution and the spatial density distribution of electrons and ions in the lunar environment with and without lunar dust are compared. Finally, the conclusions can be drawn as follows. The space potential increases with altitude increasing. The potential at 0–10 m near the lunar south pole is about –40 V, and the space potential at 100 m is about –20 V. The density of lunar dust in an altitude range below 10 m is 107.22 m–3–104.66 m–3. The electron density in the dust plasma near the lunar surface is 105.47 m–3, and the ion density is 106.07 m–3, and both increase with altitude increasing. Charged lunar dust affects the spatial distribution of lunar dust, mainly through affecting the distribution of the space electric field, which leads to difference in electron distribution, but has little effect on ions.
2024, 73(15): 156201.
doi: 10.7498/aps.73.20231701
Abstract:
Friction occurs in various systems from the nanoscale to the geophysical scale and plays a crucial role. The microscopic mechanism of friction and the origin of the dynamic ordering in interacting particle systems are still controversial. Using Langevin simulations, we study the friction of two-dimensional colloids on the substrate with randomly distributed point-like pinning centers. We consider three different model colloidal systems, and in each system the colloidal particles interact with each other through repulsive interactions that have two different force ranges. We find two maximum static friction forces (the first maximum static friction\begin{document}$ f_{{\text{c}}1}^{\text{d}} $\end{document} ![]()
![]()
and the second maximum static friction \begin{document}$ f_{{\text{c2}}}^{\text{d}} $\end{document} ![]()
![]()
). The interference between short-range repulsive interactions with similar force ranges in model-3 colloidal system can lead the repulsion between particles near pinning centers to significantly increase, resulting in a decrease in \begin{document}$ f_{{\text{c}}1}^{\text{d}} $\end{document} ![]()
![]()
and an enhanced orderly movement along the direction of external driving forces above \begin{document}$ f_{{\text{c2}}}^{\text{d}} $\end{document} ![]()
![]()
. The results provide guidance for revealing the friction mechanism in the colloidal particles with interactions that have different force ranges.
Friction occurs in various systems from the nanoscale to the geophysical scale and plays a crucial role. The microscopic mechanism of friction and the origin of the dynamic ordering in interacting particle systems are still controversial. Using Langevin simulations, we study the friction of two-dimensional colloids on the substrate with randomly distributed point-like pinning centers. We consider three different model colloidal systems, and in each system the colloidal particles interact with each other through repulsive interactions that have two different force ranges. We find two maximum static friction forces (the first maximum static friction
2024, 73(15): 156401.
doi: 10.7498/aps.73.20240717
Abstract:
When an incident high-energy heavy ion beam enters into solid material, the energy deposition density along the ion flight path can change the temperature and pressure of macroscopic target, and new material defects can be created under the high-pressure and high-density conditions. To accurately control the extreme state in material generated by heavy ion beam, it is necessary to conduct in-depth research on the energy deposition density of ions and ascertain the new potential defects in matter. Reported in this work is the new experiment conducted on the HIRFL-CSR at Lanzhou, with the extracted 264 MeV/u Xe36+ ion beams irradiating an LiF crystal target. The emission spectrum of the LiF is measured in-situ. Moreover, the crystal color is observed to vary along the ion path, and X-ray diffraction (XRD) and X-ray photoelectron spectroscopy (XPS) are used to observe the potential new phases at different positions of crystal through the target dissociation method. It is apparent that in No. 3-front a new phase around 52.6° is found in XRD result, which is believed to be LiF3 (LiF+F2) structural phase and appears in the Bragg peak region of Xe ions in LiF. Furthermore, to verify this result, a similar experiment is done by using a 430 MeV/u 84Kr26+ ion beam, and the stacked layered LiF target is analyzed after the irradiation. The XPS result shows more complex defects aggregating in the Bragg peak region of Kr ions in LiF at room temperature. In previous study, such complex defects were all created under high temperature conditions. We find that these complex defects can be produced around the Bragg peak region of ions in LiF at room temperature, resulting in a temporally high temperature and high pressure condition. This paper can provide some experimental evidences and references for the target material modification in heavy ion beam driven high-energy density physics research.
2024, 73(15): 156801.
doi: 10.7498/aps.73.20240698
Abstract:
With the size of high-performance electronic device decreasing (down to nanoscale), and the accompanying heat dissipation becomes a big problem due to its extremely high heat generation density. To tackle the ever-demanding heat dissipation requirement, intensive work has been done to develop techniques for chip-level cooling. Among the techniques reported in the literature, liquid cooling appears to be a good candidate for cooling high-performance electronic devices. However, when the device size is reduced to the sub-micro or nanometer level, the thermal resistance on the solid-liquid interface cannot be ignored in the heat transfer process. Usually, the interfacial thermal transport can be enhanced by using nanostructures on the solid surface because of the confinement effect of the fluid molecules filling up the nano-grooves and the increase of the solid-liquid interfacial contact area. However, in the case of weak interfacial couplings, the fluid molecules cannot enter into the nano-grooves and the interfacial thermal transport is suppressed. In the present work, the heat transfer system between two parallel metal plates filled with deionized water is investigated by molecular dynamics simulation. Electronic charges are applied to the upper plate and lower plate to create a uniform electric field that is perpendicular to the surface, and three types of nanostructures with varying size are arranged on the lower plate. It is found that the wetting state at the solid-liquid interface can change from Cassie state into Wenzel state with strength of the electric field increasing. Owing to the transition from the dewetting state to wetting state (from Wenzel to Cassie wetting state), the Kapitza length can be degraded and the solid-liquid interfacial heat transfer can be enhanced. The mechanism of the enhancing hart transfer is discussed based on the calculation of the number density distribution of the water molecules between the two plates. When the charge is further increased, electrofreezing appears, and a solid hydrogen bonding network is formed in the system, resulting in the thermal conductivity increasing to 1.2 W/(m·K) while the thermal conductivity remains almost constant when the electric charge continues to increase.
With the size of high-performance electronic device decreasing (down to nanoscale), and the accompanying heat dissipation becomes a big problem due to its extremely high heat generation density. To tackle the ever-demanding heat dissipation requirement, intensive work has been done to develop techniques for chip-level cooling. Among the techniques reported in the literature, liquid cooling appears to be a good candidate for cooling high-performance electronic devices. However, when the device size is reduced to the sub-micro or nanometer level, the thermal resistance on the solid-liquid interface cannot be ignored in the heat transfer process. Usually, the interfacial thermal transport can be enhanced by using nanostructures on the solid surface because of the confinement effect of the fluid molecules filling up the nano-grooves and the increase of the solid-liquid interfacial contact area. However, in the case of weak interfacial couplings, the fluid molecules cannot enter into the nano-grooves and the interfacial thermal transport is suppressed. In the present work, the heat transfer system between two parallel metal plates filled with deionized water is investigated by molecular dynamics simulation. Electronic charges are applied to the upper plate and lower plate to create a uniform electric field that is perpendicular to the surface, and three types of nanostructures with varying size are arranged on the lower plate. It is found that the wetting state at the solid-liquid interface can change from Cassie state into Wenzel state with strength of the electric field increasing. Owing to the transition from the dewetting state to wetting state (from Wenzel to Cassie wetting state), the Kapitza length can be degraded and the solid-liquid interfacial heat transfer can be enhanced. The mechanism of the enhancing hart transfer is discussed based on the calculation of the number density distribution of the water molecules between the two plates. When the charge is further increased, electrofreezing appears, and a solid hydrogen bonding network is formed in the system, resulting in the thermal conductivity increasing to 1.2 W/(m·K) while the thermal conductivity remains almost constant when the electric charge continues to increase.
2024, 73(15): 157101.
doi: 10.7498/aps.73.20240602
Abstract:
Water-side oxidative corrosion of zirconium alloy is a key problem in the design of nuclear fuel rods cladding materials in pressurised water reactors (PWRs), and its corrosion resistance is one of the main factors limiting service life. At present, Zr-Sn-Nb system alloys are still the main development direction of advanced zirconium alloys. Sn and Nb can exhibit a variety of valence states in the oxide film of the cladding and significantly affect the stability of ZrO2. However, the influence mechanism of Sn and Nb on the fraction of t-ZrO2 and the t-m phase transition is unclear. In this work, the lattice properties, formation enthalpies, and oxygen vacancy formation energy of ZrO2 under the doping conditions of Sn and Nb with different valence states are calculated based on the first-principles, and the influence mechanism of Sn and Nb on the stability of ZrO2 is revealed at an atomic scale. The results show that there is a significant difference between the effects of Sn and Nb, as well as between low-valent and high-valent elements. Sn2+ and Nb3+ cause lattice swelling to be significantly distorted , Nb5+ causes lattice to shrink, which contributes to reducing the stresses within the film, and Sn4+ leads the lattice to slightly swell. The low-valent elements all make ZrO2 less stable and are unfavourable for the stability of t-ZrO2 relative to m-ZrO2. The high-valent Nb5+and Sn4+ promote the relative stability of t-ZrO2, thus inhibiting the t-m phase transition, with Nb5+ having a significant effect and Sn4+ having a weak effect. The relative stability of t-ZrO2 increases with pressure rising in a range of 0–3.5 GPa. Compared with high-valent elements, the low-valent elements are favourable for introduing oxygen vacancies into t-ZrO2, thus stabilising the interfacial t-ZrO2 and enhancing the corrosion resistance of the cladding. By investigating the electronic structure, it is found that the oxygen vacancy formation energy is positively correlated with the magnitude of charge transfer (or degree of electron localisation) between the alloying element ion and the oxygen vacancy. These results contribute to optimizing the composition and designing the structure for corrosion resistance of zirconium alloys.
Water-side oxidative corrosion of zirconium alloy is a key problem in the design of nuclear fuel rods cladding materials in pressurised water reactors (PWRs), and its corrosion resistance is one of the main factors limiting service life. At present, Zr-Sn-Nb system alloys are still the main development direction of advanced zirconium alloys. Sn and Nb can exhibit a variety of valence states in the oxide film of the cladding and significantly affect the stability of ZrO2. However, the influence mechanism of Sn and Nb on the fraction of t-ZrO2 and the t-m phase transition is unclear. In this work, the lattice properties, formation enthalpies, and oxygen vacancy formation energy of ZrO2 under the doping conditions of Sn and Nb with different valence states are calculated based on the first-principles, and the influence mechanism of Sn and Nb on the stability of ZrO2 is revealed at an atomic scale. The results show that there is a significant difference between the effects of Sn and Nb, as well as between low-valent and high-valent elements. Sn2+ and Nb3+ cause lattice swelling to be significantly distorted , Nb5+ causes lattice to shrink, which contributes to reducing the stresses within the film, and Sn4+ leads the lattice to slightly swell. The low-valent elements all make ZrO2 less stable and are unfavourable for the stability of t-ZrO2 relative to m-ZrO2. The high-valent Nb5+and Sn4+ promote the relative stability of t-ZrO2, thus inhibiting the t-m phase transition, with Nb5+ having a significant effect and Sn4+ having a weak effect. The relative stability of t-ZrO2 increases with pressure rising in a range of 0–3.5 GPa. Compared with high-valent elements, the low-valent elements are favourable for introduing oxygen vacancies into t-ZrO2, thus stabilising the interfacial t-ZrO2 and enhancing the corrosion resistance of the cladding. By investigating the electronic structure, it is found that the oxygen vacancy formation energy is positively correlated with the magnitude of charge transfer (or degree of electron localisation) between the alloying element ion and the oxygen vacancy. These results contribute to optimizing the composition and designing the structure for corrosion resistance of zirconium alloys.
2024, 73(15): 157102.
doi: 10.7498/aps.73.20240630
Abstract:
Ultrawide-bandgap (4.9 eV) β-Ga2O3 material possesses exceptional properties such as a high critical-breakdown field (~8 MV/cm) and robust chemical and thermal stability. However, due to the challenges in the growth of p-type β-Ga2O3, the preparation of homojunction devices is difficult. Therefore, the utilization of heterojunctions based on β-Ga2O3 provides a viable approach for fabricating ultraviolet photodetectors. Poly (3,4-ethylenedioxythiophene)-poly (styrenesulfonate) (PEDOT:PSS), a p-type organic polymer material, exhibits high transparency in a 250–700 nm wavelength range. Additionally, its remarkable conductivity (>1000 S/cm), high hole mobility (1.7 cm2·V–1·s–1), and excellent chemical stability make it an outstanding candidate for serving as a hole transport layer. Consequently, the combination of p-type PEDOT:PSS with n-type β-Ga2O3 in a heterojunction configuration provides a promising way for developing PN junction optoelectronic devices. In this study, a β-Ga2O3 microsheet with dimensions: 4 mm in length, 500 μm in width, and 57 μm in thickness, is successfully exfoliated from a β-Ga2O3 single crystal substrate by using a mechanical exfoliation technique. Subsequently, a PEDOT:PSS/β-Ga2O3 organic/inorganic p-n heterojunction UV photodetector is fabricated by depositing the PEDOT:PSS organic material onto a side of the β-Ga2O3 microsheet. The obtained device exhibits typical rectification characteristics, sensitivity to 254 nm ultraviolet light, and impressive self-powering performance. Furthermore, the heterojunction photodetector demonstrates exceptional photosensitive properties, achieving a responsivity of 7.13 A/W and an external quantum efficiency of 3484% under 254 nm UV light illumination (16 μW/cm2) at 0 V. Additionally, the device exhibits a rapid photoresponse time of 0.25 s/0.20 s and maintains good stability and repeatability over time. Notably, after a three-month duration, the photodetection performance for 254 nm UV light detection remained unchanged, without any significant degradation. This in-depth research provides a novel perspective and theoretical foundation for developing innovative UV detectors and paving the way for future advancements in the field of optoelectronics.
2024, 73(15): 157301.
doi: 10.7498/aps.73.20240572
Abstract:
Reverse-conducting lateral insulated gate bipolar transistor (RC-LIGBT) with freewheeling diode integrated in the body by introducing n+ anode can realize the reverse conduction and optimize the turn-off characteristics of the device, which is a promising device in a power integrated circuit. In this work, a novel RC-LIGBT with electron-controlled gate (EG) and separated short-anode (SSA) is proposed and investigated by TCAD simulation, which can achieve low on-state voltage drop (Von) and low turn-off loss (Eoff) at the same time. The EG structure of p-n-n+-p (p+ region/n-type silicon region/n-type barrier layer/p+ region) is adopted, the gate electrode and anode electrode are connected by the EG structure. In the forward conduction state, a high-density electron accumulation layer is formed on the surface of the drift region by EG structure, which greatly reduces the Von of the device. At the same time, the use of the SSA structure can also optimize the Eoff of the device by forming an additional electron extraction channel. In addition, based on the EG structure, a low-doping p-drift can be combined with the SSA structure to simply achieve reverse-conduction and snapback-free characteristics. Furthermore, the EG structure and the SSA structure can complement each other. On the one hand, the high-density electron accumulation layer formed by EG structure compensates for the weakened conductance modulation effect caused by the SSA structure. On the other hand, the electron extraction channel of the SSA structure enables a large number of accumulated electrons to be removed quickly. The simulation results show that the proposed device has an excellent trade-off relationship between Von and Eoff, specifically, Von is 1.16V, which is 55% lower than that of SSA LIGBT, and Eoff is 0.099 mJ/cm2, which is 38.5% and 94.7% lower than that of SSA LIGBT and conventional LIGBT, respectively.
Reverse-conducting lateral insulated gate bipolar transistor (RC-LIGBT) with freewheeling diode integrated in the body by introducing n+ anode can realize the reverse conduction and optimize the turn-off characteristics of the device, which is a promising device in a power integrated circuit. In this work, a novel RC-LIGBT with electron-controlled gate (EG) and separated short-anode (SSA) is proposed and investigated by TCAD simulation, which can achieve low on-state voltage drop (Von) and low turn-off loss (Eoff) at the same time. The EG structure of p-n-n+-p (p+ region/n-type silicon region/n-type barrier layer/p+ region) is adopted, the gate electrode and anode electrode are connected by the EG structure. In the forward conduction state, a high-density electron accumulation layer is formed on the surface of the drift region by EG structure, which greatly reduces the Von of the device. At the same time, the use of the SSA structure can also optimize the Eoff of the device by forming an additional electron extraction channel. In addition, based on the EG structure, a low-doping p-drift can be combined with the SSA structure to simply achieve reverse-conduction and snapback-free characteristics. Furthermore, the EG structure and the SSA structure can complement each other. On the one hand, the high-density electron accumulation layer formed by EG structure compensates for the weakened conductance modulation effect caused by the SSA structure. On the other hand, the electron extraction channel of the SSA structure enables a large number of accumulated electrons to be removed quickly. The simulation results show that the proposed device has an excellent trade-off relationship between Von and Eoff, specifically, Von is 1.16V, which is 55% lower than that of SSA LIGBT, and Eoff is 0.099 mJ/cm2, which is 38.5% and 94.7% lower than that of SSA LIGBT and conventional LIGBT, respectively.
2024, 73(15): 157801.
doi: 10.7498/aps.73.20240688
Abstract:
Since the discovery of monolayer graphene, the novel physical properties of two-dimensional (2D) materials, particularly those with fewer layers that often exhibit unique properties different from bulk materials, have received significant attention. Therefore, accurately determining the layer number or obtaining the microscopic surface morphology is crucial in the laboratory fabrication and during device manufacturing. However, traditional detection methods have numerous drawbacks. There is an urgent need for a convenient, accurate, and non-destructive scientific method to characterize the layer number and surface microstructure of 2D materials. By combining the experimental setup of laser scanning photocurrent spectroscopy, we develop a polarization-modulated scanning optical microscope based on the principle of reflectance difference spectroscopy. By monitoring the reflectivity of the samples, we can observe changes in the reflection signal strength of MoS2 with different layer numbers. The intensity of the reflectance differential spectral signal reflects changes in the layer count within the sample. We can characterize the changes in the number of layers of 2D materials in a non-contact manner by using polarization-modulated scanning optical microscopy. Through the study of the reflectance differential spectra of two typical 2D layered materials, MoS2 and ReSe2, we find that our polarization-modulated scanning optical microscope system is also more sensitive to the characteristics of the stacking anisotropy of the 2D materials than the conventional reflection microscope. This indicates that our research contributes to a better understanding of the layer number characteristics and anisotropic properties of layered 2D materials. Furthermore, our research also provides a non-contact optical method to characterize the number of layers and optical anisotropy of two-dimensional layered material.
Since the discovery of monolayer graphene, the novel physical properties of two-dimensional (2D) materials, particularly those with fewer layers that often exhibit unique properties different from bulk materials, have received significant attention. Therefore, accurately determining the layer number or obtaining the microscopic surface morphology is crucial in the laboratory fabrication and during device manufacturing. However, traditional detection methods have numerous drawbacks. There is an urgent need for a convenient, accurate, and non-destructive scientific method to characterize the layer number and surface microstructure of 2D materials. By combining the experimental setup of laser scanning photocurrent spectroscopy, we develop a polarization-modulated scanning optical microscope based on the principle of reflectance difference spectroscopy. By monitoring the reflectivity of the samples, we can observe changes in the reflection signal strength of MoS2 with different layer numbers. The intensity of the reflectance differential spectral signal reflects changes in the layer count within the sample. We can characterize the changes in the number of layers of 2D materials in a non-contact manner by using polarization-modulated scanning optical microscopy. Through the study of the reflectance differential spectra of two typical 2D layered materials, MoS2 and ReSe2, we find that our polarization-modulated scanning optical microscope system is also more sensitive to the characteristics of the stacking anisotropy of the 2D materials than the conventional reflection microscope. This indicates that our research contributes to a better understanding of the layer number characteristics and anisotropic properties of layered 2D materials. Furthermore, our research also provides a non-contact optical method to characterize the number of layers and optical anisotropy of two-dimensional layered material.
2024, 73(15): 157802.
doi: 10.7498/aps.73.20240668
Abstract:
In this work, Ansys FDTD is used to design and simulate a terahertz metamaterial structure based on periodic continuous pattern graphene monolayer, and the high-quality PIT phenomena are obtained by continuously adjusting structural parameters. To validate the designed structure, the simulated transmission curve (reflection curve) obtained is compared with the theoretical transmission curve (reflection curve) derived from coupled-mode theory. It is observed that these two results exhibit a remarkably high degree of overlap. The resonant frequency and Fermi energy reveals a perfect linear correlation between them with the resonant frequency increasing proportionally with Fermi energy increasing. Dynamic tuning of PIT can be realized by adjusting the Fermi energy of graphene. For a more in-depth study of its sensing characteristics, the structure is placed in different environments. As the refractive index of the detection medium increases, the resonant frequency gradually decreases, demonstrating a redshift phenomenon. By manipulating the resonant frequency of the PIT sensor, the selective detection of specific target can berealized. After analyzing the sensitivity and FOM values of the structure, it is found that the maximum sensitivity is 1.457 THz/RIU. At a resonant frequency of 6.8174 THz, FOM reaches 30.5652. In summary, the sensor structure designed in this work has dual frequency sensing characteristics and can be used for dual frequency detection. Moreover, compared with other sensor structures, it demonstrates superior sensing performance. Additionally, in studying the slow light effect of the structure, it is found that as the Fermi energy increases, the group index and phase shift at the transparency window continue to increase. At the Fermi energy of 1.2 eV, the group index reaches a high value of 584. This is because in the PIT phenomenon, transparent peaks are formed due to multimodal coupling. This coupling will significantly improve the dispersion characteristics near the transparent peak, resulting in a large group index near the transparent peak. Furthermore, with the increase of carrier mobility, the group index and phase shift of the structure also gradually increase. At a carrier mobility of 0.75 m²/(V·s), the group refractive index is 456, and reaches 1010 at 2.0 m²/(V·s). In this study, the slow-light performance of graphene structure can be optimized through jointly adjusting the Fermi energy and carrier mobility. This research provides theoretical support and methods for designing advanced graphene-based sensors and devices for slow-light applications.
In this work, Ansys FDTD is used to design and simulate a terahertz metamaterial structure based on periodic continuous pattern graphene monolayer, and the high-quality PIT phenomena are obtained by continuously adjusting structural parameters. To validate the designed structure, the simulated transmission curve (reflection curve) obtained is compared with the theoretical transmission curve (reflection curve) derived from coupled-mode theory. It is observed that these two results exhibit a remarkably high degree of overlap. The resonant frequency and Fermi energy reveals a perfect linear correlation between them with the resonant frequency increasing proportionally with Fermi energy increasing. Dynamic tuning of PIT can be realized by adjusting the Fermi energy of graphene. For a more in-depth study of its sensing characteristics, the structure is placed in different environments. As the refractive index of the detection medium increases, the resonant frequency gradually decreases, demonstrating a redshift phenomenon. By manipulating the resonant frequency of the PIT sensor, the selective detection of specific target can berealized. After analyzing the sensitivity and FOM values of the structure, it is found that the maximum sensitivity is 1.457 THz/RIU. At a resonant frequency of 6.8174 THz, FOM reaches 30.5652. In summary, the sensor structure designed in this work has dual frequency sensing characteristics and can be used for dual frequency detection. Moreover, compared with other sensor structures, it demonstrates superior sensing performance. Additionally, in studying the slow light effect of the structure, it is found that as the Fermi energy increases, the group index and phase shift at the transparency window continue to increase. At the Fermi energy of 1.2 eV, the group index reaches a high value of 584. This is because in the PIT phenomenon, transparent peaks are formed due to multimodal coupling. This coupling will significantly improve the dispersion characteristics near the transparent peak, resulting in a large group index near the transparent peak. Furthermore, with the increase of carrier mobility, the group index and phase shift of the structure also gradually increase. At a carrier mobility of 0.75 m²/(V·s), the group refractive index is 456, and reaches 1010 at 2.0 m²/(V·s). In this study, the slow-light performance of graphene structure can be optimized through jointly adjusting the Fermi energy and carrier mobility. This research provides theoretical support and methods for designing advanced graphene-based sensors and devices for slow-light applications.
2024, 73(15): 157803.
doi: 10.7498/aps.73.20240663
Abstract:
Phosphors-converted near-infrared LED (pc-NIR LED) possesses applications in various fields including food quality analysis, night vision, biomedical imaging, and biomedicine. The design and development of broadband near-infrared (NIR) phosphors with the required properties are of decisive significance for pc-NIR LED devices. The Cr3+ doped phosphors are considered to be most promising near-infrared materials for commercialization. Broadband NIR luminescent materials doped with Cr3+ have attracted more and more attention due to their potential applications in NIR light sources. However, the emission wavelength of Cr3+ doped phosphor is generally located in the NIR I region of less than 850 nm, and realizing the NIR II region emission is still a challenge. In this work, a series of Cr3+ doped Na3YSi3O9 new silicate phosphors is prepared by solid-state method in N2 atmosphere at 1150 ℃ for 8 h. We take advantages of the silicate nature and the multi octahedral sites suitable for Cr3+ in the studied Na3YSi3O9 materials to redshift and broaden the spectrum. The phase, crystal structure, microstructure, photoluminescence, main emission peak decay and thermal stability of the samples are systematically studied. The results show that the prepared samples are pure phases, with uneven morphology, slight agglomeration, and the sizes in the micrometer range. The Cr3+ is located in the weak crystal field environment of Na3YSi3O9 lattice, with a Dq/B value of 2.29. Under the excitation of blue light at a wavelength of 485 nm, the strongest emission peaks of Na3Y1–x Si3O9:x Cr3+ phosphors are located at 984 nm (NIR II region), which is longer than those of most Cr3+ activated phosphors. Due to the multi-site occupation of Cr3+ in the lattice, the full width at half maximum (FWHM) of the emission spectrum is as high as 183 nm. The optimal doping concentration of Na3Y1–x Si3O9:x Cr3+ is 3%, and the quenching mechanism is the dipole-dipole interaction between Cr3+ ions. Fluorescence decay curves show that the luminescence lifetime of Na3Y0.97Si3O9:0.03Cr3+ sample gradually decreases with the increase of doping concentration and temperature. The results of the temperature-dependent spectra show that the emission intensity decreases in a temperature range from 298 K to 423 K, and the activation energy ΔE of Cr3+ is 0.157 eV.
Phosphors-converted near-infrared LED (pc-NIR LED) possesses applications in various fields including food quality analysis, night vision, biomedical imaging, and biomedicine. The design and development of broadband near-infrared (NIR) phosphors with the required properties are of decisive significance for pc-NIR LED devices. The Cr3+ doped phosphors are considered to be most promising near-infrared materials for commercialization. Broadband NIR luminescent materials doped with Cr3+ have attracted more and more attention due to their potential applications in NIR light sources. However, the emission wavelength of Cr3+ doped phosphor is generally located in the NIR I region of less than 850 nm, and realizing the NIR II region emission is still a challenge. In this work, a series of Cr3+ doped Na3YSi3O9 new silicate phosphors is prepared by solid-state method in N2 atmosphere at 1150 ℃ for 8 h. We take advantages of the silicate nature and the multi octahedral sites suitable for Cr3+ in the studied Na3YSi3O9 materials to redshift and broaden the spectrum. The phase, crystal structure, microstructure, photoluminescence, main emission peak decay and thermal stability of the samples are systematically studied. The results show that the prepared samples are pure phases, with uneven morphology, slight agglomeration, and the sizes in the micrometer range. The Cr3+ is located in the weak crystal field environment of Na3YSi3O9 lattice, with a Dq/B value of 2.29. Under the excitation of blue light at a wavelength of 485 nm, the strongest emission peaks of Na3Y1–x Si3O9:x Cr3+ phosphors are located at 984 nm (NIR II region), which is longer than those of most Cr3+ activated phosphors. Due to the multi-site occupation of Cr3+ in the lattice, the full width at half maximum (FWHM) of the emission spectrum is as high as 183 nm. The optimal doping concentration of Na3Y1–x Si3O9:x Cr3+ is 3%, and the quenching mechanism is the dipole-dipole interaction between Cr3+ ions. Fluorescence decay curves show that the luminescence lifetime of Na3Y0.97Si3O9:0.03Cr3+ sample gradually decreases with the increase of doping concentration and temperature. The results of the temperature-dependent spectra show that the emission intensity decreases in a temperature range from 298 K to 423 K, and the activation energy ΔE of Cr3+ is 0.157 eV.
2024, 73(15): 157902.
doi: 10.7498/aps.73.20240577
Abstract:
Based on the combination of the first-principles and Monte Carlo method, the effect of vacancy defect on secondary electron characteristic of Al2O3 is studied in this work. The density functional theory (DFT) calculation results show that the band structure changes when the vacancy defects exist. The existence of Al vacancy defects results in a decrease in band gap from 5.88 to 5.28 eV, and in Fermi level below the energy of the valence band maximum as well. Besides, the elastic mean free paths and inelastic mean free paths of electrons in different crystal structures are also obtained. The comparison shows that the inelastic mean free path of electrons in Al2O3 with O vacancy defects is much larger than those of Al2O3 without defects and Al2O3 with Al vacancy defects. When the energy of electrons is smaller than 50 eV, the inelastic mean free path of electrons in Al2O3 without defects is longer than that in Al2O3 with Al vacancy defects. The elastic mean free path of electrons slightly increases when the vacancy defects exist, and the elastic mean free path of electrons in Al2O3 with Al vacancy defects is the largest. In order to investigate the secondary electron emission characteristics under different vacancy defect ratios, an optimized Monte Carlo algorithm is proposed. When the ratio between O vacancy defect and Al vacancy defect increases, the simulation results show that the maximum value of secondary electron yield decreases with the ratio of vacancy defect increasing. The existence of O vacancy defects increases the probability of inelastic scattering of electrons, so electrons are difficult to emit from the surface. As a result, comparing with Al vacancy defect, the SEY of Al2O3 decreases greatly under the same ratio of O vacancy defect.
Based on the combination of the first-principles and Monte Carlo method, the effect of vacancy defect on secondary electron characteristic of Al2O3 is studied in this work. The density functional theory (DFT) calculation results show that the band structure changes when the vacancy defects exist. The existence of Al vacancy defects results in a decrease in band gap from 5.88 to 5.28 eV, and in Fermi level below the energy of the valence band maximum as well. Besides, the elastic mean free paths and inelastic mean free paths of electrons in different crystal structures are also obtained. The comparison shows that the inelastic mean free path of electrons in Al2O3 with O vacancy defects is much larger than those of Al2O3 without defects and Al2O3 with Al vacancy defects. When the energy of electrons is smaller than 50 eV, the inelastic mean free path of electrons in Al2O3 without defects is longer than that in Al2O3 with Al vacancy defects. The elastic mean free path of electrons slightly increases when the vacancy defects exist, and the elastic mean free path of electrons in Al2O3 with Al vacancy defects is the largest. In order to investigate the secondary electron emission characteristics under different vacancy defect ratios, an optimized Monte Carlo algorithm is proposed. When the ratio between O vacancy defect and Al vacancy defect increases, the simulation results show that the maximum value of secondary electron yield decreases with the ratio of vacancy defect increasing. The existence of O vacancy defects increases the probability of inelastic scattering of electrons, so electrons are difficult to emit from the surface. As a result, comparing with Al vacancy defect, the SEY of Al2O3 decreases greatly under the same ratio of O vacancy defect.
2024, 73(15): 158201.
doi: 10.7498/aps.73.20231753
Abstract:
A cylindrical electrode is approximated as a long cylinder in most of existing models in which a generalized plane strain condition/plane strain is used. Based on the theory of elasticity, analytical expressions are derived for concentration distribution and stress component in a finite-length cylindrical electrode under galvanostatic operation. Using the superposition theorem, the Li-concentration is a sum of the concentration due to axial diffusion and the concentration due to lateral diffusion, and the separation of variable method is used to solve diffusion equations. By using the Boussinesq-Papkovich function, the generalized stress component distribution of a linearly combined product of the exponential-type Fourier-Bessel series is derived. The spatiotemporal distribution of concentration and diffusion-induced stresses are calculated in a cylindrical electrode with traction-free condition. The results are compared with the simulation results from a finite element software. For the concentration distribution, the numerical result and simulation result are almost the same. For the stress component, no significant difference exists between the two results, the largest relative difference for radial stress in the center is found to be about 4% and state of charge (SOC) = 17.9%. The radial stress decreases with radial position increasing, and decreases to zero at the surface, which is consistent with the results under the boundary condition. The hoop stress is tensile stress around the center of electrode, and becomes a compressive stress near the surface. Owing to the fact that the tensile hoop stress is attributed to the crack initiation, this implies that when plastic deformation is negligible, cracks first form in the center. The stress components with different length-to-radius ratios are calculated. It is found that the stress caused by lateral diffusion increases with length-to-radius ratio increasing, while the stress induced by axial diffusion decreases with length-to-radius ratio increasing. This is because the lateral diffusion has a greater influence on Li-concentration distribution in a cylinder electrode with length-to-radius ratio increasing.
A cylindrical electrode is approximated as a long cylinder in most of existing models in which a generalized plane strain condition/plane strain is used. Based on the theory of elasticity, analytical expressions are derived for concentration distribution and stress component in a finite-length cylindrical electrode under galvanostatic operation. Using the superposition theorem, the Li-concentration is a sum of the concentration due to axial diffusion and the concentration due to lateral diffusion, and the separation of variable method is used to solve diffusion equations. By using the Boussinesq-Papkovich function, the generalized stress component distribution of a linearly combined product of the exponential-type Fourier-Bessel series is derived. The spatiotemporal distribution of concentration and diffusion-induced stresses are calculated in a cylindrical electrode with traction-free condition. The results are compared with the simulation results from a finite element software. For the concentration distribution, the numerical result and simulation result are almost the same. For the stress component, no significant difference exists between the two results, the largest relative difference for radial stress in the center is found to be about 4% and state of charge (SOC) = 17.9%. The radial stress decreases with radial position increasing, and decreases to zero at the surface, which is consistent with the results under the boundary condition. The hoop stress is tensile stress around the center of electrode, and becomes a compressive stress near the surface. Owing to the fact that the tensile hoop stress is attributed to the crack initiation, this implies that when plastic deformation is negligible, cracks first form in the center. The stress components with different length-to-radius ratios are calculated. It is found that the stress caused by lateral diffusion increases with length-to-radius ratio increasing, while the stress induced by axial diffusion decreases with length-to-radius ratio increasing. This is because the lateral diffusion has a greater influence on Li-concentration distribution in a cylinder electrode with length-to-radius ratio increasing.
2024, 73(15): 158202.
doi: 10.7498/aps.73.20240650
Abstract:
In active matter, the effective force between passive objects is crucial for their structure and dynamics, which is the basis for understanding the complex behaviors within active systems. Unlike equilibrium states, the factors such as the surface configuration, size, and confinement strength significantly influence the effective forces between passive particles. Previous studies have shown that the shapes of passive particles affect the aggregation of active particles, leading to different forces experienced by passive particles with different shapes. However, recently, a long-range attractive force between passive platelike particles, caused by the bacterial flow field instead of the direct bacterium-plate collisions in active bacterial suspensions, has been found. This raises an intriguing question: how does hydrodynamics affect the forces on passive particles of different shapes in different ways? In this work, we investigate the effective forces exerted on passive spherical and plate-like particles immersed in bacterial suspensions by optical-tweezers experiments. The effective force between passive particles can be calculated from the formula, \begin{document}$ {F_{{\text{eff}}}} = {\text{ }}k\left\langle {\Delta d} \right\rangle /2 $\end{document} ![]()
![]()
, where \begin{document}$ \left\langle {\Delta d} \right\rangle $\end{document} ![]()
![]()
represents the difference in distance between the passive particles in the bacterial bath and those in the solution without bacteria, \begin{document}$ k $\end{document} ![]()
![]()
is the effective stiffness of optical traps. The \begin{document}$ {{{F}}}_{{\mathrm{e}}{\mathrm{f}}{\mathrm{f}}} > 0 $\end{document} ![]()
![]()
indicates a repulsive force between passive particles, and the \begin{document}$ {F_{{\text{eff}}}} \lt {\text{ }}0 $\end{document} ![]()
![]()
represents an effective attractive force between passive particles. Our results demonstrate that the passive spherical particles experience short-range repulsion, while plate-like particles are subjected to long-range attraction. This highlights the substantial effect of particle shape on their effective forces. The forces on passive particles are mainly attributed to two factors: direct bacterium-particle collisions and the bacterial flow field. The analysis of the bacterial concentration and orientation distribution around passive particles reveals that for spherical particles, the concentration of bacteria between particles is higher than that outside the particles, but there is almost no difference in the orientation order between bacteria inside and outside the particles. This suggests that the effective repulsion between spherical particles is mainly due to the direct bacterial collisions. Conversely, for plate-like particles, the long-range attraction is primarily influenced by the bacterial flow field rather than their direct collisions, which is evidenced by the higher bacterial density and orientation order inside the two plates compared with those outside the two plates. This study provides strong evidence that the effective force between passive particles is shape dependent in active bath, and offers new insights into controlling active-directed assembly.
2024, 73(15): 158401.
doi: 10.7498/aps.73.20240561
Abstract:
Perovskite is a material with excellent photovoltaic properties, and the efficiency of perovskite solar cells has increased rapidly in recent years. By utilizing the adjustable bandgap characteristics of perovskite materials, wide-bandgap perovskite solar cells can be combined with narrow-bandgap solar cells to make tandem solar cells. Tandem devices can improve the utilization of the solar spectra and achieve higher power conversion efficiency. An important prerequisite for preparing efficient photovoltaic devices is to fabricate high-quality perovskite active layers. Antisolvent-assisted spin-coating is currently a commonly used method for preparing high-quality perovskite films in the laboratory. However, the low solubility of inorganic cesium and bromine salts in the preparation of wide-bandgap perovskite thin films leads to a fast crystallization rate, poor crystallization quality and a large number of defects, seriously reducing the photovoltaic performance of the devices. In addition, the antisolvent has a narrow working window, which is not conducive to the preparation of large-area perovskite films. In this work, a mild gas quenching process is used to assist the spin-coating method in preparing wide-bandgap perovskite films, and propylamine hydrochloride is introduced as an additive to improve the crystallization quality and uniformity of large-area preparation of perovskite film. The interaction between the propylamine cation and the perovskite component produces a two-dimensional perovskite phase. Two-dimensional phase is used as the growth template for perovskite composition in order to reduce the formation energy of α-phase perovskite, which is beneficial to uniform nucleation and preferential orientation growth of perovskite, the increase of grain size and the decrease of grain boundaries within the film. The improvement of the crystalline quality of the perovskite film can reduce the defect density inside the film and suppress the non-radiative recombination of the photogenerated carriers. The perovskite solar cell with a bandgap of 1.68 eV, prepared by using this strategy, achieves a power conversion efficiency of 21.48%. In addition, the 8 cm×8 cm wide-bandgap perovskite films prepared by this method exhibit good uniformity. This work provides a strategy for developing the process of efficient and large-area perovskite photovoltaic devices.
Perovskite is a material with excellent photovoltaic properties, and the efficiency of perovskite solar cells has increased rapidly in recent years. By utilizing the adjustable bandgap characteristics of perovskite materials, wide-bandgap perovskite solar cells can be combined with narrow-bandgap solar cells to make tandem solar cells. Tandem devices can improve the utilization of the solar spectra and achieve higher power conversion efficiency. An important prerequisite for preparing efficient photovoltaic devices is to fabricate high-quality perovskite active layers. Antisolvent-assisted spin-coating is currently a commonly used method for preparing high-quality perovskite films in the laboratory. However, the low solubility of inorganic cesium and bromine salts in the preparation of wide-bandgap perovskite thin films leads to a fast crystallization rate, poor crystallization quality and a large number of defects, seriously reducing the photovoltaic performance of the devices. In addition, the antisolvent has a narrow working window, which is not conducive to the preparation of large-area perovskite films. In this work, a mild gas quenching process is used to assist the spin-coating method in preparing wide-bandgap perovskite films, and propylamine hydrochloride is introduced as an additive to improve the crystallization quality and uniformity of large-area preparation of perovskite film. The interaction between the propylamine cation and the perovskite component produces a two-dimensional perovskite phase. Two-dimensional phase is used as the growth template for perovskite composition in order to reduce the formation energy of α-phase perovskite, which is beneficial to uniform nucleation and preferential orientation growth of perovskite, the increase of grain size and the decrease of grain boundaries within the film. The improvement of the crystalline quality of the perovskite film can reduce the defect density inside the film and suppress the non-radiative recombination of the photogenerated carriers. The perovskite solar cell with a bandgap of 1.68 eV, prepared by using this strategy, achieves a power conversion efficiency of 21.48%. In addition, the 8 cm×8 cm wide-bandgap perovskite films prepared by this method exhibit good uniformity. This work provides a strategy for developing the process of efficient and large-area perovskite photovoltaic devices.









