2024 Vol. 73, No. 18
column
- SPECIAL TOPIC—Machine learning in biomolecular modelling
- GENERAL
- THE PHYSICS OF ELEMENTARY PARTICLES AND FIELDS
- ATOMIC AND MOLECULAR PHYSICS
- ELECTROMAGNETISM, OPTICS, ACOUSTICS, HEAT TRANSFER, CLASSICAL MECHANICS, AND FLUID DYNAMICS
- PHYSICS OF GASES, PLASMAS, AND ELECTRIC DISCHARGES
- CONDENSED MATTER: ELECTRONIC STRUCTURE, ELECTRICAL, MAGNETIC, AND OPTICAL PROPERTIES
- INTERDISCIPLINARY PHYSICS AND RELATED AREAS OF SCIENCE AND TECHNOLOGY
- COVER ARTICLE
Display Method:
2024, 73(18): 188701.
doi: 10.7498/aps.73.20240811
Abstract:
The AI revolution, sparked by natural language and image processing, has brought new ideas and research paradigms to the field of protein computing. One significant advancement is the development of pre-training protein language models through self-supervised learning from massive protein sequences. These pre-trained models encode various information about protein sequences, evolution, structures, and even functions, which can be easily transferred to various downstream tasks and demonstrate robust generalization capabilities. Recently, researchers have further developed multimodal pre-trained models that integrate more diverse types of data. The recent studies in this direction are summarized and reviewed from the following aspects in this paper. Firstly, the protein pre-training models that integrate protein structures into language models are reviewed: this is particularly important, for protein structure is the primary determinant of its function. Secondly, the pre-trained models that integrate protein dynamic information are introduced. These models may benefit downstream tasks such as protein-protein interactions, soft docking of ligands, and interactions involving allosteric proteins and intrinsic disordered proteins. Thirdly, the pre-trained models that integrate knowledge such as gene ontology are described. Fourthly, we briefly introduce pre-trained models in RNA fields. Finally, we introduce the most recent developments in protein designs and discuss the relationship of these models with the aforementioned pre-trained models that integrate protein structure information.
The AI revolution, sparked by natural language and image processing, has brought new ideas and research paradigms to the field of protein computing. One significant advancement is the development of pre-training protein language models through self-supervised learning from massive protein sequences. These pre-trained models encode various information about protein sequences, evolution, structures, and even functions, which can be easily transferred to various downstream tasks and demonstrate robust generalization capabilities. Recently, researchers have further developed multimodal pre-trained models that integrate more diverse types of data. The recent studies in this direction are summarized and reviewed from the following aspects in this paper. Firstly, the protein pre-training models that integrate protein structures into language models are reviewed: this is particularly important, for protein structure is the primary determinant of its function. Secondly, the pre-trained models that integrate protein dynamic information are introduced. These models may benefit downstream tasks such as protein-protein interactions, soft docking of ligands, and interactions involving allosteric proteins and intrinsic disordered proteins. Thirdly, the pre-trained models that integrate knowledge such as gene ontology are described. Fourthly, we briefly introduce pre-trained models in RNA fields. Finally, we introduce the most recent developments in protein designs and discuss the relationship of these models with the aforementioned pre-trained models that integrate protein structure information.
2024, 73(18): 180301.
doi: 10.7498/aps.73.20240799
Abstract:
Quantum interfaces that generate entanglement or correlations between a photon and an atomic memory are fundamental building blocks in quantum repeater research. Temporal, spatial, and spectral multiplexed atom–photon entanglement interfaces in cold atomic systems based on spontaneous Raman scattering processes, present an effective technical approach to realizing quantum repeaters. Compared with the other schemes, temporal-multiplexing schemes are particularly attractive since they repeatedly use the same physical process. In these schemes, readout efficiency plays a crucial role. Theoretical models indicate that even if the readout efficiency is increased by 1%, the probability of long-distance entanglement distribution will be increased by 7%–18%. However, current implementation of temporal-multimode quantum memory often suffers low readout efficiency unless an optical cavity or an atomic ensemble with a large optical-depth is adopted. In this study, we solve this challenge by using the expandable pulsed light fabricating technology and carefully selecting energy level transitions, so as to develop an efficient temporal-multiplexed quantum source. Our approach involves applying a train of write laser pulses to an atomic ensemble from different directions, thereby creating spin-wave memories and Stokes-photon emissions. We design an expandable pulsed light fabrication device based on the principle of optical path reversibility, allowing a writing laser beam to pass through an acousto-optic modulator (AOM) network in two different directions. This setup enables precise control over the directions of the write pulse train through real-time manipulation of the field-programmable gate array (FPGA) and the diffraction order of the AOMs. In our experiment, we prepare six pairs of modes. After detecting Stokes photons during the experimental cycle, the FPGA outputs a feedforward signal after a specified storage time, triggering the application of a corresponding reading pulse from the read AOM network to the atomic ensemble, thereby generating an anti-Stokes photon. To enhance readout efficiency, we optimize the energy level structure of the read pulse transitions, \begin{document}$ \left| {{{b}} \to {{{e}}_2}} \right\rangle $\end{document} ![]()
![]()
to \begin{document}$ \left| {{{b}} \to {{{e}}_1}} \right\rangle $\end{document} ![]()
![]()
; specifically, we adjust the transition frequencies of the read pulses by comparing with those used in current temporal-multimode quantum memory schemes. Theoretical calculations show that when the frequencies of the read pulses are tuned to the transitions \begin{document}$ \left| {{{b}} \to {{{e}}_1}} \right\rangle $\end{document} ![]()
![]()
and \begin{document}$ \left| {{{b}} \to {{{e}}_2}} \right\rangle $\end{document} ![]()
![]()
, the readout efficiencies are about 33% and 15%, suggesting that the chosen energy level transitions can double the readout efficiency. Experimental results indicate a readout efficiency of 38% for the multiplexed source and the Bell parameter of 2.35. Additionally, our device has a 5.83-fold higher probability of successfully generating entanglement than a single channel entanglement source. Our method is cost-effective, easy to operate, and highly applicable. For instance, based on our findings, the readout efficiency can be further improved through cavity-enhanced atom–photon coupling, and entanglement fidelity can be increased by suppressing noise in temporal-multimode memory schemes. This work provides a solid foundation and effective methods for realizing the high-efficiency temporal-multimode quantum memory and developing the large-scale quantum networks.
2024, 73(18): 180302.
doi: 10.7498/aps.73.20240191
Abstract:
Currently, quantum secret sharing (QSS) schemes based on entangled states have not yet fully utilized the potential of the probability amplitude of entangled states. However, the probability amplitude is a key characteristic of quantum information science and possesses significant application prospects in the fields of quantum computing and quantum communication. It is worth noting that entangled states can be effectively represented by matrix product states (MPSs). The representation of entangled states using MPS can precisely reveal the entanglement characteristics closely related to the probability amplitude. This study first focuses on the representation of the W state by using MPS, an approach that allows us to determine the key conditions for W state to achieve quantum advantage in QSS. Subsequently, this research demonstrates that by representing entangled states with MPS, a W state can be compressed into a single photon state and a simplified matrix form, presenting an innovative technical path. Moreover, one of the most attractive features of our proposed QSS scheme is its ability to compress multiple different quantum states (represented by photons) into a unified state represented by a single photon. This characteristic endows our scheme with scalability and flexibility, meaning that the group of participants can be easily expanded or reduced according to their specific needs. The addition of new participants is managed by Alice, who is responsible for the distribution of quantum state shares. On the other hand, when a participant leaves the group, their old quantum state share can be simply ignored in the process of recovering the secret's quantum state, thereby simplifying the management process. Through this strategy, we can not only make effective use of entangled resources but also meet the various requirements of the system, including but not limited to communication security, data transfer rates, and system scalability. This research provides new perspectives and possibilities for the field of quantum information science and may have a significant influence on the development of the field.
2024, 73(18): 180501.
doi: 10.7498/aps.73.20240942
Abstract:
In recent years, the use of discrete memristors to enhance chaotic maps has received increasing attention. The introduction of memristors increases the complexity of chaotic maps, making them suitable for engineering applications based on chaotic systems. In this work, a fractional-order discrete memristor exhibiting local activity and controllable asymptotic stability points is constructed by using multiband nonlinear functions. The locally active property of this memristor is demonstrated by using the power-off plot and DC v - i plot. It is then introduced into the Henon map to construct a fractional-order memristive Henon map that can generate any number of coexisting attractors. Simulation results show that the number of fixed points in the system is controlled by the memristor parameters and related to the number of coexisting attractors, thus achieving controllable homogeneous multistability. The complex dynamical behaviors of this map are analyzed by using phase portraits, bifurcation diagrams, maximum Lyapunov exponent (MLE), and attractor basins. Numerical simulations show that the fractional-order map can generate various periodic orbits, chaotic attractors, and period-doubling bifurcations. The system is then implemented on an ARM digital platform. The experimental results are consistent with the simulation results, confirming the accuracy of the theoretical analysis and its physical feasibility. Finally, a parallel video encryption algorithm is designed by using the chaotic sequence iteratively generated by fraction-order memory Henon mapping, which mainly includes frame pixel scrambling and diffusion. Comprehensive security analyses are conducted, proving the robustness and reliability of the proposed encryption scheme. The results show that the encryption algorithm can effectively protect video information. In the future, we will explore other methods of constructing chaotic or hyperchaotic systems with controllable multistability and study their circuit implementation, synchronization control, and chaos-based engineering applications.
In recent years, the use of discrete memristors to enhance chaotic maps has received increasing attention. The introduction of memristors increases the complexity of chaotic maps, making them suitable for engineering applications based on chaotic systems. In this work, a fractional-order discrete memristor exhibiting local activity and controllable asymptotic stability points is constructed by using multiband nonlinear functions. The locally active property of this memristor is demonstrated by using the power-off plot and DC v - i plot. It is then introduced into the Henon map to construct a fractional-order memristive Henon map that can generate any number of coexisting attractors. Simulation results show that the number of fixed points in the system is controlled by the memristor parameters and related to the number of coexisting attractors, thus achieving controllable homogeneous multistability. The complex dynamical behaviors of this map are analyzed by using phase portraits, bifurcation diagrams, maximum Lyapunov exponent (MLE), and attractor basins. Numerical simulations show that the fractional-order map can generate various periodic orbits, chaotic attractors, and period-doubling bifurcations. The system is then implemented on an ARM digital platform. The experimental results are consistent with the simulation results, confirming the accuracy of the theoretical analysis and its physical feasibility. Finally, a parallel video encryption algorithm is designed by using the chaotic sequence iteratively generated by fraction-order memory Henon mapping, which mainly includes frame pixel scrambling and diffusion. Comprehensive security analyses are conducted, proving the robustness and reliability of the proposed encryption scheme. The results show that the encryption algorithm can effectively protect video information. In the future, we will explore other methods of constructing chaotic or hyperchaotic systems with controllable multistability and study their circuit implementation, synchronization control, and chaos-based engineering applications.
2024, 73(18): 180502.
doi: 10.7498/aps.73.20240847
Abstract:
The pre-Bötzinger complex is a crucial region for generating respiratory rhythms in mammals. Peripheral chemoreceptors have a significant influence on respiratory rhythm by monitoring changes in blood oxygen concentration and carbon dioxide concentration. This study introduces a closed-loop respiratory control model, which is driven by electromagnetic induction and based on the activation of pre-Bötzinger complex neurons. The model incorporates various factors including the motor pool, lung volume, lung oxygen, blood oxygen, and chemoreceptors. The response of the system subjected to the same hypoxic perturbation under different electromagnetic induction is studied, and the control effect of magnetic flux feedback coefficient on the recovery of mixed rhythms is investigated. Using bifurcation analysis and numerical simulations, it is found that the magnetic flux feedback coefficient has a significant influence on the ability to recover respiratory rhythm. The dynamic mechanism of the magnetic flux feedback coefficient on different hypoxic responses in closed-loop systems are revealed. Dynamic analysis indicates that under certain electromagnetic induction, the mixed bursting rhythm in the closed-loop system can autoresuscitate if the bifurcation structure before and after applying hypoxia perturbation are completely identical. However, when the bifurcation structure before and after applying hypoxia perturbation are different, the mixed bursting rhythm in the system cannot autoresuscitate. In addition, for the cases where automatic recovery is not achieved under mild electromagnetic induction, increasing the magnetic flux feedback coefficient appropriately can lead the system to autoresuscitate, which is closely related to the Hopf bifurcation and fold bifurcation of limit cycle. This study contributes to understanding the influence of the interaction between the central respiratory and peripheral chemoreceptive feedback on respiratory rhythm, as well as the control effect of external induction on the hypoxic response.
The pre-Bötzinger complex is a crucial region for generating respiratory rhythms in mammals. Peripheral chemoreceptors have a significant influence on respiratory rhythm by monitoring changes in blood oxygen concentration and carbon dioxide concentration. This study introduces a closed-loop respiratory control model, which is driven by electromagnetic induction and based on the activation of pre-Bötzinger complex neurons. The model incorporates various factors including the motor pool, lung volume, lung oxygen, blood oxygen, and chemoreceptors. The response of the system subjected to the same hypoxic perturbation under different electromagnetic induction is studied, and the control effect of magnetic flux feedback coefficient on the recovery of mixed rhythms is investigated. Using bifurcation analysis and numerical simulations, it is found that the magnetic flux feedback coefficient has a significant influence on the ability to recover respiratory rhythm. The dynamic mechanism of the magnetic flux feedback coefficient on different hypoxic responses in closed-loop systems are revealed. Dynamic analysis indicates that under certain electromagnetic induction, the mixed bursting rhythm in the closed-loop system can autoresuscitate if the bifurcation structure before and after applying hypoxia perturbation are completely identical. However, when the bifurcation structure before and after applying hypoxia perturbation are different, the mixed bursting rhythm in the system cannot autoresuscitate. In addition, for the cases where automatic recovery is not achieved under mild electromagnetic induction, increasing the magnetic flux feedback coefficient appropriately can lead the system to autoresuscitate, which is closely related to the Hopf bifurcation and fold bifurcation of limit cycle. This study contributes to understanding the influence of the interaction between the central respiratory and peripheral chemoreceptive feedback on respiratory rhythm, as well as the control effect of external induction on the hypoxic response.
2024, 73(18): 180503.
doi: 10.7498/aps.73.20241013
Abstract:
Two innovative sliding mode control laws based on the convergence principle of reaching law are presented in this work. These control laws are used to achieve both finite-time and fixed-time synchronization for a specific class of memristive chaotic system, which are known for their intricate and complex dynamical behaviors. By utilizing these control strategies, we can effectively manage the synchronization process and ensure rapid convergence. Firstly, for the finite-time synchronization issue, a novel power reaching law is derived. Compared with the conventional reaching law, the reaching law presented in this work has a prominent advantage that the chattering of the sliding mode control is reduced to a lesser extent and the speed of reaching the sliding surface is quicker. An upper bound of the stabilization time, which is dependent on the initial conditions of the system, is obtained and the system is proved stable. For the fixed time synchronization problem, a new double power reaching law is put forward to minimize the chattering and accelerate the convergence. Then, by utilizing the fixed time stability theory, the upper bound of the convergence time that remains invariant with the initial value of the system is derived. Finally, in order to verify the effectiveness and feasibility of the theoretical derivation in this paper, two sets of control experiments are set up and the influences of the two control laws on the system synchronization state are compared. The experimental phenomenon strongly proves the accuracy of the proposed theorem.
Two innovative sliding mode control laws based on the convergence principle of reaching law are presented in this work. These control laws are used to achieve both finite-time and fixed-time synchronization for a specific class of memristive chaotic system, which are known for their intricate and complex dynamical behaviors. By utilizing these control strategies, we can effectively manage the synchronization process and ensure rapid convergence. Firstly, for the finite-time synchronization issue, a novel power reaching law is derived. Compared with the conventional reaching law, the reaching law presented in this work has a prominent advantage that the chattering of the sliding mode control is reduced to a lesser extent and the speed of reaching the sliding surface is quicker. An upper bound of the stabilization time, which is dependent on the initial conditions of the system, is obtained and the system is proved stable. For the fixed time synchronization problem, a new double power reaching law is put forward to minimize the chattering and accelerate the convergence. Then, by utilizing the fixed time stability theory, the upper bound of the convergence time that remains invariant with the initial value of the system is derived. Finally, in order to verify the effectiveness and feasibility of the theoretical derivation in this paper, two sets of control experiments are set up and the influences of the two control laws on the system synchronization state are compared. The experimental phenomenon strongly proves the accuracy of the proposed theorem.
2024, 73(18): 180701.
doi: 10.7498/aps.73.20240909
Abstract:
In order to meet the technical requirements for miniaturization, multi-angle, multi-altitude, and fast simultaneous acquisition of atmospheric pollutants, this study develops an integrated, lightweight, and cost-effective airborne differential optical absorption spectroscopy (DOAS) system. This system is designed in order to be used on a rotorcraft unmanned aerial vehicle (UAV) platform for monitoring atmospheric pollutants. The compositions of the hexacopter UAV platform and the airborne DOAS system are detailed in this work. The system includes a multi axis differential optical absorption spectroscopy (MAX-DOAS) spectral acquisition system, a control system, and a flight environment monitoring system. Commands are sent from a computer via serial communication to drive a gimbal, controlling the azimuth angle and elevation angle of the telescope, with a camera recording the light obstruction. The sunlight scattered by the atmosphere is collected by the telescope and transmitted via fiber optics to the spectrometer, which then transmits the data to the control computer. Additionally, the system captures data of altitude, temperature, humidity, and GPS location during flight, and filters out spectral data obtained under abnormal flight conditions. Stability studies indicate that the mean angular deviations for yaw, roll, and pitch are 0.07°, –0.13°, and –0.12° respectively, which meet the requirements for monitoring stability. Comparative experiments with a commercial ground-based DOAS system show that the correlation coefficients between the monitoring data of both systems are both greater than 0.92, confirming the reliability of the airborne system. In field flight experiments, the airborne DOAS system conducts observations at altitudes of 30 m, 60 m, and 90 m, with the elevation angle set at 0° and the azimuth angle measured every 30° from 0° to 360°. The system successfully obtains the concentration distributions of NO2, SO2, and HCHO at different azimuth angles and altitudes. The results indicate that the concentrations of these three gases decrease with altitude increasing, with higher concentrations observed in the southeast direction, indicating the presence of pollution sources in that direction. Further analysis with considering altitude changes indicates that the rate of decrease in NO2 concentration and SO2 concentration slow down with altitude increasing, while the rate of decrease in HCHO remains relatively constant. These findings indicate that this system effectively meets the technical requirements for simultaneous, rapid, multi-angle, and multi-altitude detection of atmospheric pollutants, providing essential support for the detailed monitoring of complex urban micro-environments.
In order to meet the technical requirements for miniaturization, multi-angle, multi-altitude, and fast simultaneous acquisition of atmospheric pollutants, this study develops an integrated, lightweight, and cost-effective airborne differential optical absorption spectroscopy (DOAS) system. This system is designed in order to be used on a rotorcraft unmanned aerial vehicle (UAV) platform for monitoring atmospheric pollutants. The compositions of the hexacopter UAV platform and the airborne DOAS system are detailed in this work. The system includes a multi axis differential optical absorption spectroscopy (MAX-DOAS) spectral acquisition system, a control system, and a flight environment monitoring system. Commands are sent from a computer via serial communication to drive a gimbal, controlling the azimuth angle and elevation angle of the telescope, with a camera recording the light obstruction. The sunlight scattered by the atmosphere is collected by the telescope and transmitted via fiber optics to the spectrometer, which then transmits the data to the control computer. Additionally, the system captures data of altitude, temperature, humidity, and GPS location during flight, and filters out spectral data obtained under abnormal flight conditions. Stability studies indicate that the mean angular deviations for yaw, roll, and pitch are 0.07°, –0.13°, and –0.12° respectively, which meet the requirements for monitoring stability. Comparative experiments with a commercial ground-based DOAS system show that the correlation coefficients between the monitoring data of both systems are both greater than 0.92, confirming the reliability of the airborne system. In field flight experiments, the airborne DOAS system conducts observations at altitudes of 30 m, 60 m, and 90 m, with the elevation angle set at 0° and the azimuth angle measured every 30° from 0° to 360°. The system successfully obtains the concentration distributions of NO2, SO2, and HCHO at different azimuth angles and altitudes. The results indicate that the concentrations of these three gases decrease with altitude increasing, with higher concentrations observed in the southeast direction, indicating the presence of pollution sources in that direction. Further analysis with considering altitude changes indicates that the rate of decrease in NO2 concentration and SO2 concentration slow down with altitude increasing, while the rate of decrease in HCHO remains relatively constant. These findings indicate that this system effectively meets the technical requirements for simultaneous, rapid, multi-angle, and multi-altitude detection of atmospheric pollutants, providing essential support for the detailed monitoring of complex urban micro-environments.
2024, 73(18): 181101.
doi: 10.7498/aps.73.20240800
Abstract:
Semi-Dirac cones, a type of unique dispersion relation, always exhibit a series of interesting transport properties, such as electromagnetic topological transitions and anisotropic electromagnetic transmission. Recently, dual-band semi-Dirac cones have been found in three-dimensional photonic crystals, presenting great potential in electromagnetic wave regulation. However, to the best of our knowledge, there has been no report on dual-band semi-Dirac cones and their applications in two-dimensional photonic crystals, and most of two-dimensional systems have only realized semi-Dirac cones at a single frequency. Therefore, we are to realize dual-band semi-Dirac cones in two-dimensional photonic crystals. In this work, a type of two-dimensional photonic crystal that comprises a square lattice of elliptical cylinders embedded in air is proposed. By rotating the elliptical cylinders and adjusting their sizes appropriately, accidental degeneracy at two different frequencies is achieved simultaneously in the center of the Brillouin zone. Using \begin{document}${\boldsymbol{k}} \cdot {\boldsymbol{p}}$\end{document} ![]()
![]()
perturbation theory, the dispersion relations near the two degenerate points are proved to be nonlinear in one direction, and linear in other directions. These results indicate that the double accidental degenerate points are two semi-Dirac points with different frequencies, and two different semi-Dirac cones, i.e. dual-band semi-Dirac cones, are realized simultaneously in our designed photonic crystal. More interestingly, the dual-band semi-Dirac cones exhibit opposite linear and nonlinear dispersion relation along the major axis and the minor axis of the ellipse, respectively. And our photonic crystal can be equivalent to an impedance-matched double-zero index material in the direction of linear dispersion and a single-zero index material in the direction of nonlinear dispersion, which is demonstrated by the perfect transmission in the straight waveguide and wavefront shaping capabilities of electromagnetic waves. Based on the different properties of the equivalent zero-refractive-indices near the frequencies of two semi-Dirac point, the designed Y-type waveguide can be used to realize frequency separation by leading out the plane waves of different frequencies along different ports. We believe that our work is meaningful in broadening the exploration of the band structures of two-dimensional photonic crystals and providing greater convenience for regulating electromagnetic waves.
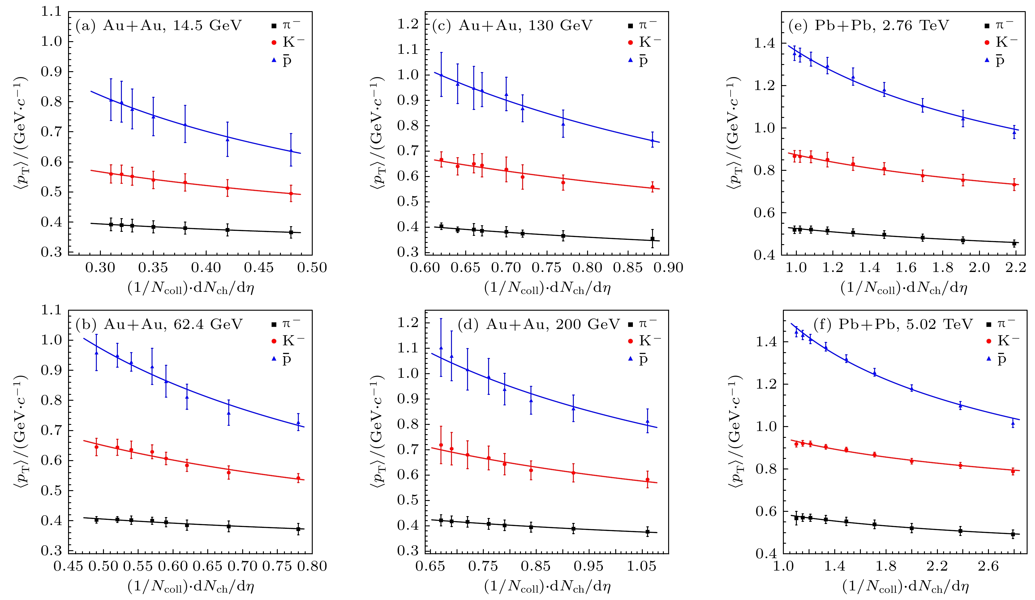
2024, 73(18): 181201.
doi: 10.7498/aps.73.20240905
Abstract:
The average transverse momentum\begin{document}$\left\langle p_{\mathrm{T}} \right\rangle$\end{document} ![]()
![]()
of final particles is an important observable in high-energy heavy-ion collision experiments. It reflects the properties of soft hadrons and thermonuclear matter, and it can also be used to deduce the information about the evolution of collision systems. By using the phenomenological linear and power-law functions, we study the dependence of the average transverse momentum \begin{document}$\langle p_{\mathrm{T}}\rangle$\end{document} ![]()
![]()
at midrapidity in Au + Au and Pb + Pb collisions from the STAR, PHENIX and ALICE Collaborations on four normalized physical quantities, i.e. the collision centrality, the average number of binary collisions per participant pair \begin{document}$\dfrac{2N_{{\mathrm{coll}}}}{N_{{\mathrm{part}}}}$\end{document} ![]()
![]()
, the average pseudorapidity density of charged particles per participant pair \begin{document}$\dfrac{2}{N_{{\mathrm{part}}}}\dfrac{{\mathrm{d}}N_{{\mathrm{ch}}}}{{\mathrm{d}}\eta}$\end{document} ![]()
![]()
and the average pseudorapidity density of charged particles per binary collision \begin{document}$\dfrac{1}{N_{{\mathrm{coll}}}}\dfrac{{\mathrm{d}}N_{{\mathrm{ch}}}}{{\mathrm{d}}\eta} $\end{document} ![]()
![]()
. The results show that the average transverse momentum \begin{document}$\langle p_{\mathrm{T}} \rangle$\end{document} ![]()
![]()
of identified particles exhibits a good linear relationship with collision centrality, and it follows a nice power-law relationship with the average number of binary collisions per participant pair \begin{document}$\dfrac{2N_{{\mathrm{coll}}}}{N_{{\mathrm{part}}}}$\end{document} ![]()
![]()
, the average pseudorapidity density of charged particles per participant pair \begin{document}$\dfrac{2}{N_{{\mathrm{part}}}}\dfrac{{\mathrm{d}}N_{{\mathrm{ch}}}}{{\mathrm{d}}\eta}$\end{document} ![]()
![]()
, and the average pseudorapidity density of charged particles per binary collision \begin{document}$\dfrac{1}{N_{{\mathrm{coll}}}}\dfrac{{\mathrm{d}}N_{{\mathrm{ch}}}}{{\mathrm{d}}\eta}$\end{document} ![]()
![]()
. It is also found that the fitting parameters in the proposed phenomenological functions for the average transverse momentum \begin{document}$\langle p_{\mathrm{T}} \rangle$\end{document} ![]()
![]()
with collision centrality and the average number of binary collisions per participant pair follow a power-law function with collision energy, which endows the phenomenological approach with predictive ability. Therefore, the collision centrality and the average number of binary collisions per participant pair are good physical quantities for studying the average transverse momentum of identified particles in high-energy heavy-ion collisions. The results in this study can be used to predict the average transverse momentum of identified particles at other collision energy of which the experimental data are not available so far. The mass ordering of the average transverse momentum of identified particles, i.e. \begin{document}$\text{π}^{-},\;{\mathrm{K}}^{-} $\end{document} ![]()
![]()
and \begin{document}$\bar{{\mathrm{p}}}$\end{document} ![]()
![]()
, is also discussed and explained by the particle production time related to energy conservation, at a given collision centrality and energy.
The average transverse momentum
2024, 73(18): 183101.
doi: 10.7498/aps.73.20240754
Abstract:
As an important second-generation semiconductor material, indium phosphide (InP) possesses excellent advantages such as a wide bandgap, high electron mobility, high photoelectric conversion efficiency, and strong radiation resistance. It is considered an excellent material for electronic devices in aerospace applications. However, point defects generated by space radiation particles in InP electronic devices can cause their electrical performance to degrade severely. In this study, first-principles calculations are employed to investigate the stable structures of point defects in InP and calculate the migration energy values of nearest-neighbor defects. Four stable structures of In vacancies and three stable structures of P vacancies are identified by constructing the stable structures of point defects in different charge states. The migration process of vacancy defects is studied, revealing that the migration energy of P vacancies is higher than that of In vacancies. Moreover, charged vacancy defects exhibit higher migration energy values than neutral vacancies. Regarding the migration process of interstitial defects, it is found that the migration energy of interstitial defects is smaller than that of vacancy defects. In the calculation of In interstitial migration process with different charge states, two different migration processes are found. Besides, during the migration calculations of P interstitial, a special intermediate state is discovered, resulting in multiple paths migrating to the nearest-neighbor position in the migration energy barrier diagram. The research results are helpful to understand the formation mechanism and migration behavior of defects in InP materials, and are important in designing and manufacturing InP devices with long-term stable operation in space environment.
As an important second-generation semiconductor material, indium phosphide (InP) possesses excellent advantages such as a wide bandgap, high electron mobility, high photoelectric conversion efficiency, and strong radiation resistance. It is considered an excellent material for electronic devices in aerospace applications. However, point defects generated by space radiation particles in InP electronic devices can cause their electrical performance to degrade severely. In this study, first-principles calculations are employed to investigate the stable structures of point defects in InP and calculate the migration energy values of nearest-neighbor defects. Four stable structures of In vacancies and three stable structures of P vacancies are identified by constructing the stable structures of point defects in different charge states. The migration process of vacancy defects is studied, revealing that the migration energy of P vacancies is higher than that of In vacancies. Moreover, charged vacancy defects exhibit higher migration energy values than neutral vacancies. Regarding the migration process of interstitial defects, it is found that the migration energy of interstitial defects is smaller than that of vacancy defects. In the calculation of In interstitial migration process with different charge states, two different migration processes are found. Besides, during the migration calculations of P interstitial, a special intermediate state is discovered, resulting in multiple paths migrating to the nearest-neighbor position in the migration energy barrier diagram. The research results are helpful to understand the formation mechanism and migration behavior of defects in InP materials, and are important in designing and manufacturing InP devices with long-term stable operation in space environment.
2024, 73(18): 183301.
doi: 10.7498/aps.73.20240814
Abstract:
A batch of TiO2 films with different Zn2+ compositions are prepared on a single crystal silicon substrate by using sol-gel method to observe the changes in optical and photocatalytic properties in the alloying process of Zn2+ and TiO2. X-ray diffractometer (XRD) is used to observe the changes in the crystal structures of the films in the alloying process and to track the formation of ZnTiO3 compounds. Scanning electron microscope (SEM) and atomic force microscope (AFM) are used to observe the phenomena of a large number of holes on the surfaces of the films due to the limited solubility of the crystal lattice for Zn2+ in the alloying process. X-ray photoelectron spectroscopy (XPS) and optical bandgap are used to observe the changes at a level of the electronic structure of the films in the alloying process of Zn2+ with TiO2. Finally, by degrading the methylene blue solution, it is shown that a small amount of Zn2+ doping is completely dissolved in TiO2, destroying the TiO2 crystalline quality. As the compositional share of Zn2+ continues to increase to 15%, the limited solubility of TiO2 for Zn2+ is verified in the XPS peak fitting, resulting in a large number of hole structures in the film, and the active specific surface area of the film is enhanced, while Zn2+ effectively traps the photogenerated e–/h+. In order to continue to observe the effect of Zn2+ concentration on TiO2, we increase the concentration of Zn2+ to 40% and observe the phenomenon in the alloying process of Zn2+ with TiO2. It is shown that the appearance of the compound ZnTiO3 can act as a complex center for e–/h+ and a significant decrease in the percentage of TiO2 leads to a gradual decrease in the photocatalytic efficiency of the films after alloying.
A batch of TiO2 films with different Zn2+ compositions are prepared on a single crystal silicon substrate by using sol-gel method to observe the changes in optical and photocatalytic properties in the alloying process of Zn2+ and TiO2. X-ray diffractometer (XRD) is used to observe the changes in the crystal structures of the films in the alloying process and to track the formation of ZnTiO3 compounds. Scanning electron microscope (SEM) and atomic force microscope (AFM) are used to observe the phenomena of a large number of holes on the surfaces of the films due to the limited solubility of the crystal lattice for Zn2+ in the alloying process. X-ray photoelectron spectroscopy (XPS) and optical bandgap are used to observe the changes at a level of the electronic structure of the films in the alloying process of Zn2+ with TiO2. Finally, by degrading the methylene blue solution, it is shown that a small amount of Zn2+ doping is completely dissolved in TiO2, destroying the TiO2 crystalline quality. As the compositional share of Zn2+ continues to increase to 15%, the limited solubility of TiO2 for Zn2+ is verified in the XPS peak fitting, resulting in a large number of hole structures in the film, and the active specific surface area of the film is enhanced, while Zn2+ effectively traps the photogenerated e–/h+. In order to continue to observe the effect of Zn2+ concentration on TiO2, we increase the concentration of Zn2+ to 40% and observe the phenomenon in the alloying process of Zn2+ with TiO2. It is shown that the appearance of the compound ZnTiO3 can act as a complex center for e–/h+ and a significant decrease in the percentage of TiO2 leads to a gradual decrease in the photocatalytic efficiency of the films after alloying.
2024, 73(18): 184101.
doi: 10.7498/aps.73.20240985
Abstract:
Objective The optical information change of beams acting on biological tissue can get an insight into the new optical effects of tissue, and even can provide a theoretical basis for developing biphotonic medical diagnosis and therapy technologies. Polarization technology is also widely used in the field of biological detection due to its advantages of non-contact, rich information and without staining markers. In this work, the polarization behaviors of partially coherent screw-linear edge mixed dislocation beam transmitting in biological tissue are analyzed and explored. Simultaneously, in order to more clearly and more intuitively understand a mixed dislocation beam, both the normalized intensities and phase distributions at source plane for different parameters a and b are also discussed. We hope that the obtained results will provide theoretical and experimental foundation for expanding the application of singularity beams in biological tissue imaging technology. Method By combining the Schell term with the field distribution of the screw-linear edge mixed dislocation beam at the source plane, and based on the generalized Huygens-Fresnel principle, the analytical expressions of the cross-spectral density matrix elements of partially coherent screw-linear edge dislocation beam propagating in biological tissues are derived. Adopting the unified theory of coherence and polarization, the polarization behaviors of the beams can be investigated in detail. Results At the source plane, the intensity has a non axisymmetric distribution, and there exists a coherent vortex with a topological charge size of 1 and a linear edge dislocation. The sign of a is related to the rotation direction of the phase singularity. The larger the value of b, the farther the linear edge dislocation is from the origin. At the source plane, the degree of polarization and ellipticity between the two identical points are independent of the four parameters: dimensionless parameter a, off-axis distance of edge dislocation b, spatial self-correlation length σyy, and spatial mutual-correlation length σxy, the orientation angle is only independent of a and σxy; the polarization of two different points is independent of a and b, but is related to σyy and σxy. In transmission, the polarization degrees and ellipticity of two different points fluctuate greatly and the orientation angle displays less fluctuation. Finally, all the polarization state parameters tend to be their corresponding values, respectively. Conclusions The results show that when b is smaller, the linear edge dislocation is paraxial and plays an important role in the polarization state change; when b is larger, the polarization state changes of the screw-linear edge mixed dislocation beam will tend to be the pattern of spiral beams. The absolute value of the difference between σyy and σxy is also one of main factors influencing the polarization state. The sign of a does not affect the change in polarization state, but its magnitude can influe the change of speed. Due to more complex factors determining the correlation fluctuations between different points in the light field, the changes of two different points are more sensitive than those of the two identical points in shallow biological tissue. Beams with different parameters can be selected for different application requirements.
2024, 73(18): 184201.
doi: 10.7498/aps.73.20240842
Abstract:
Objective With the development of optical technology, the investigation of light-field-particle interactions has gained significant momentum. Such studies find widespread applications in optical manipulation, precision laser ranging, laser gas spectroscopy, and related fields. In optical manipulation techniques, employing two or more laser beams proves more effective for capturing and manipulating particles than using a single beam alone. In addition, with the increasing demand for manipulating particles with complex structures, it is necessary to conduct in-depth research on the radiation force characteristics of double Gaussian beams on non-uniform chiral particles. This research aims to deepen our understanding of how optical fields influence particles, thereby offering fresh perspectives in manipulating and utilizing non-uniform chiral layered particles on both a microscale and a nanoscale. Method Based on the generalized Lorentz-Mie theory (GLMT) and spherical vector wave functions (SVWFs), the total incident field of a double Gaussian beam can be expanded by using the coordinate addition theorem. The incident field coefficient and scattering coefficient of each region of the multilayer chiral sphere are obtained by enforcing boundary continuity and employing multilayer sphere scattering theory. The radiation force acting on non-uniform chiral layered particles within a double Gaussian beam is then derived through application of the electromagnetic momentum conservation theorem. Results and Discussions The theory and programs in this paper is compared with those in existing literature. The influence of various parameters on the radiation force is analyzed in detail, such as the incident angle, polarization angle, beam waist width, beam center position, and internal and external chiral parameters. These results indicate that compared with a single Gaussian beam, counter-propagating Gaussian standing waves exhibit significant advantages in capturing or confining inhomogeneous chiral layered particles, offering enhanced particle manipulation capabilities. Additionally, by selecting an appropriate polarization state of the incident light, a delicate balance can be achieved among these parameters, effectively stabilizing the capture of inhomogeneous chiral particles. Conclusions This study employs the generalized Lorenz-Mie theory and the principle of electromagnetic momentum conservation to derive analytical expressions for the transverse and axial radiation forces exerted by dual Gaussian beams on multi-layered chiral particles propagating in arbitrary directions. The research provides an in-depth analysis of how standing wave beams affect the radiation force behavior of non-uniform chiral particles. Numerical analysis reveals significant influences of beam waist, particle size, chiral parameters, polarization angle and mode, as well as particle refractive index on both transverse and axial radiation forces. This research is important in analyzing and understanding the optical properties of complex-shaped multilayer biological cells and realizing the applications in the micromanipulation of multilayer biological structures.
2024, 73(18): 184202.
doi: 10.7498/aps.73.20241015
Abstract:
The construction of core-shell structures with different structural properties based on the epitaxial growth technique has become an effective technique for regulating the luminescence properties of micro/nanocrystals. In order to obtain richer spectral information, NaYF4:50%Yb3+/2%Tm3+@NaYF4@NaYF4:20%Yb3+/2%Er3+@NaYF4@NaYbF4:2%Er3+ multilayered core-shell microcrystals are prepared by using multiple epitaxial growth through introducing surface modifiers and controlling their reaction conditions. The XRD and SEM results clearly show that the core-shell microcrystals possess a pure hexagonal crystal structure in the form of a disk. The microdesk has a thickness of about 2.32 μm and a diameter of about 28.31 μm. The upconversion luminescence characteristics of different single microcrystal structures are investigated by a confocal microspectroscopy system. In order to realize the selective excitation and emission of a single microcrystal, the spatial distribution of luminescent ions can be controlled through introducing an intermediate isolation layer. Under 980 nm laser excitation, different excitation sites of the single microdisk exhibit different upconversion emission characteristics. The significant blue (450 and 475 nm), red (648 nm) and green (524 and 540 nm) emissions are observed, which mainly originat from Tm3+ and Er3+ radiative transitions. Meanwhile, the red and blue upconversion emission intensities of the microcrystals are improved by using various shell layers. In addition, the luminescence and energy-transfer features of single microcrystals are explored by changing the excitation position. The experimental results demonstrate that the incorporation of NaYF4 inert shells between luminescent layers can regulate luminescence and prevent ions from interacting. By utilizing the spectral fingerprint data of dopant ions in various shell layers, we create customizable micro-nano photonic barcodes and employ them for optical anti-counterfeiting detection. This study explores the use of constructed core-shell structures with luminescent tunable micron core-shell structures to acquire diverse spectral information and maintain stability through their structural properties. Thus, this core-shell structure provides a novel method for using upconversion luminescent microcrystals into micro- and nanophotonics to achieve anti-counterfeiting and display purposes.
The construction of core-shell structures with different structural properties based on the epitaxial growth technique has become an effective technique for regulating the luminescence properties of micro/nanocrystals. In order to obtain richer spectral information, NaYF4:50%Yb3+/2%Tm3+@NaYF4@NaYF4:20%Yb3+/2%Er3+@NaYF4@NaYbF4:2%Er3+ multilayered core-shell microcrystals are prepared by using multiple epitaxial growth through introducing surface modifiers and controlling their reaction conditions. The XRD and SEM results clearly show that the core-shell microcrystals possess a pure hexagonal crystal structure in the form of a disk. The microdesk has a thickness of about 2.32 μm and a diameter of about 28.31 μm. The upconversion luminescence characteristics of different single microcrystal structures are investigated by a confocal microspectroscopy system. In order to realize the selective excitation and emission of a single microcrystal, the spatial distribution of luminescent ions can be controlled through introducing an intermediate isolation layer. Under 980 nm laser excitation, different excitation sites of the single microdisk exhibit different upconversion emission characteristics. The significant blue (450 and 475 nm), red (648 nm) and green (524 and 540 nm) emissions are observed, which mainly originat from Tm3+ and Er3+ radiative transitions. Meanwhile, the red and blue upconversion emission intensities of the microcrystals are improved by using various shell layers. In addition, the luminescence and energy-transfer features of single microcrystals are explored by changing the excitation position. The experimental results demonstrate that the incorporation of NaYF4 inert shells between luminescent layers can regulate luminescence and prevent ions from interacting. By utilizing the spectral fingerprint data of dopant ions in various shell layers, we create customizable micro-nano photonic barcodes and employ them for optical anti-counterfeiting detection. This study explores the use of constructed core-shell structures with luminescent tunable micron core-shell structures to acquire diverse spectral information and maintain stability through their structural properties. Thus, this core-shell structure provides a novel method for using upconversion luminescent microcrystals into micro- and nanophotonics to achieve anti-counterfeiting and display purposes.
2024, 73(18): 184301.
doi: 10.7498/aps.73.20240721
Abstract:
Ultrasound treatment (UST) has been demonstrated to be an effective approach to refining the microstructures of metallic alloys during solidification. The cavitation-induced fragmentation is considered as the major mechanism for grain refinement in the recent study, but the interaction between dynamic bubble motion and dendrite behaviour has been rarely investigated previously. In this work, the dynamic behaviour of cavitation bubbles and their interactions with succinonitrile (SCN)-2% (mole fraction) water organic transparent alloy are systematically investigated by high-speed digital image technique and numerical simulation. It is found that increasing the driving pressure transforms the bubble oscillation mode from volume oscillation to splitting oscillation, which significantly enhances the transient pressure and flow strength in the liquid. When a dendrite exists below the bubble, the fracture mode of the secondary branch undergoes a transition from high peripheral fatigue fracture to low peripheral fatigue fracture and to overload fracture with the increase of the driving acoustic pressure, and the fracture period is shortened in the form of a power function trend. The closer the bubble is to the dendrite, the longeritudinal radius of the bubble is gradually larger than the transverse radius during compression, and with the bubble shrink time increasing, the minimum bubble volume decreases. In addition, the decrease in distance between bubbles and dendrites leads to a significant reduction in the maximum pressure generated by bubble collapse, while the maximum flow rate shows a trend of first increasing and then decreasing. When the root radius of the secondary branch decreases or its length increases, the number of fatigue fracture cycles of the secondary branch decreases significantly. The calculated bubble expansion and contraction and secondary dendrite rupture processes are basically consistent with the experimental results, which indicates that the model constructed in this work can accurately predict the bubble motion and its interaction with dendrite in ultrasonic field.
Ultrasound treatment (UST) has been demonstrated to be an effective approach to refining the microstructures of metallic alloys during solidification. The cavitation-induced fragmentation is considered as the major mechanism for grain refinement in the recent study, but the interaction between dynamic bubble motion and dendrite behaviour has been rarely investigated previously. In this work, the dynamic behaviour of cavitation bubbles and their interactions with succinonitrile (SCN)-2% (mole fraction) water organic transparent alloy are systematically investigated by high-speed digital image technique and numerical simulation. It is found that increasing the driving pressure transforms the bubble oscillation mode from volume oscillation to splitting oscillation, which significantly enhances the transient pressure and flow strength in the liquid. When a dendrite exists below the bubble, the fracture mode of the secondary branch undergoes a transition from high peripheral fatigue fracture to low peripheral fatigue fracture and to overload fracture with the increase of the driving acoustic pressure, and the fracture period is shortened in the form of a power function trend. The closer the bubble is to the dendrite, the longeritudinal radius of the bubble is gradually larger than the transverse radius during compression, and with the bubble shrink time increasing, the minimum bubble volume decreases. In addition, the decrease in distance between bubbles and dendrites leads to a significant reduction in the maximum pressure generated by bubble collapse, while the maximum flow rate shows a trend of first increasing and then decreasing. When the root radius of the secondary branch decreases or its length increases, the number of fatigue fracture cycles of the secondary branch decreases significantly. The calculated bubble expansion and contraction and secondary dendrite rupture processes are basically consistent with the experimental results, which indicates that the model constructed in this work can accurately predict the bubble motion and its interaction with dendrite in ultrasonic field.
2024, 73(18): 184401.
doi: 10.7498/aps.73.20240685
Abstract:
To improve the simulation resolution and accuracy in thermal analysis of spaceborne electronic devices and the temperature control performance of passive thermal control devices, a system multi-scale model is established, thereby obtaining the temperature field and heat flux of electronic devices inside the satellite on different scales as illustrated in the below figure. The temperature fluctuation mechanism inside the satellite is analyzed on different physical scales. The thermal analysis resolution of spaceborne electronic equipment is improved, and a method to reduce the power fluctuation of spaceborne equipment is proposed based on the results of system multi-scale thermal analysis. The results indicate that the accuracy deviation between the multi-scale model of the system and the actual model is less than 9%. However, the system multi-scale model saves 99.67% of the mesh generation time, which greatly improves the computation efficiency. The system multi-scale model can capture the thermal information about device-level chip microstructures at a lower computational cost. The system-level model can evaluate the temperature control and insulation performance of passive thermal control materials on a macroscale. The temperature fluctuation amplitude of the platform compartment is 7.95 K, while the temperature fluctuation amplitude of the load compartment decreases to 2.43 K after the temperature of the composite phase change insulation material has been controlled, which is 69.43% lower than that of the platform compartment. Compared with traditional vacuum insulation panels, the composite phase change materials are very superior in controlling the temperature of the chamber and suppressing temperature fluctuations. The temperature fluctuation signal after being insulated by the composite phase change insulation materials shows a characteristic of shifting to the high-frequency domain. After selecting the cabins that require key insulation and temperature control through multiple regression analysis, a simplified model at device level is employed to obtain temperature fields under different thermal control device layouts as a training dataset. A neural network genetic algorithm is used to predict the optimal installation position of passive thermal control device on the device scale and a thermal control layout scheme is obtained, which reduces the maximum temperature fluctuation of the device by 2.74 K. If the temperature uniformity coefficient is taken as the optimization goal, the temperature of each device on PCB board can be reduced to 14.39% of the average temperature of all devices through optimizations.
2024, 73(18): 184402.
doi: 10.7498/aps.73.20240293
Abstract:
Heat transfer deterioration (HTD) is one of the important issues in the study of supercritical fluid (SCF) heat transfer. However, when the SCF crosses the pseudo-critical point, the none-quilibrium process occurs in liquid, so SCF is very complicated. Recently, the existence of SCF pseudo-boiling on a macro scale has sparked controversy. There is still no unified understanding of the mechanism of gas-like and liquid-like transition affecting heat transfer. In this work, it is assumed that SCF has a macroscopic phenomenon similar to subcritical flow boiling. By analogy with subcritical boiling heat transfer, a boiling critical point model is proposed to describe the HTD in supercritical CO2. Our study reveals that the HTD caused by pseudo-boiling only occurs under large temperature gradient, which makes the superheated liquid-like layer cover the wall, and the gas-like and liquid-like may present different distribution forms, thus changing the heat transfer characteristics. When the wall temperature is higher than the pseudo-critical temperature and the enthalpy of the fluid layer covering the wall exceeds a certain value, the HTD may occur. The proposed theoretical model can explain the experimental results well, and the prediction accuracy of heat transfer correlation considering pseudo-boiling is greatly improved. In this work, the connection between supercritical heat transfer and subcritical heat transfer is established theoretically, which provides a new idea for studying the deterioration of SCF heat transfer, thus enriching the theory of supercritical heat transfer.
Heat transfer deterioration (HTD) is one of the important issues in the study of supercritical fluid (SCF) heat transfer. However, when the SCF crosses the pseudo-critical point, the none-quilibrium process occurs in liquid, so SCF is very complicated. Recently, the existence of SCF pseudo-boiling on a macro scale has sparked controversy. There is still no unified understanding of the mechanism of gas-like and liquid-like transition affecting heat transfer. In this work, it is assumed that SCF has a macroscopic phenomenon similar to subcritical flow boiling. By analogy with subcritical boiling heat transfer, a boiling critical point model is proposed to describe the HTD in supercritical CO2. Our study reveals that the HTD caused by pseudo-boiling only occurs under large temperature gradient, which makes the superheated liquid-like layer cover the wall, and the gas-like and liquid-like may present different distribution forms, thus changing the heat transfer characteristics. When the wall temperature is higher than the pseudo-critical temperature and the enthalpy of the fluid layer covering the wall exceeds a certain value, the HTD may occur. The proposed theoretical model can explain the experimental results well, and the prediction accuracy of heat transfer correlation considering pseudo-boiling is greatly improved. In this work, the connection between supercritical heat transfer and subcritical heat transfer is established theoretically, which provides a new idea for studying the deterioration of SCF heat transfer, thus enriching the theory of supercritical heat transfer.
2024, 73(18): 184701.
doi: 10.7498/aps.73.20232013
Abstract:
There exists a kind of quadratic nonlinear system with specific type of turbulent fluctuation excitation in nature, which belongs to a special non-Gaussian input signal system. Its characteristic is that the input signal spectrum is generated by turbulent fluctuations, and the power spectrum distribution of this turbulence fluctuation signal is close to Gaussian distribution. Starting with the work of Choi et al. (1985 J. Sound Vib. 99 309 ) and Kim et al. [1987 IEEE J. Ocean. Eng. OE-12 568 ), we extend the simulation of a specific turbulent fluctuation excited response-type quadratic nonlinear system represented by the wave excited mooring ship response, and fully develop the internal development of turbulence based on bispectral analysis technology. We also extend the simulation system and conduct systematic modeling analysis. The complete iterative method [2020 Phys. Scr. 95 055202 ] is used to solve the model, and calculate the linear transfer function and quadratic nonlinear transfer function. The comparison of simulation and modeling results with the real systems and their models confirms the correctness of the results from system simulation, system modeling, and model solving. The results obtained are all in line with expectations. The coherence analysis shows that the quadratic coherence of the random wave-ship swaying system is much greater than the linear coherence, but the linear coherence of the fully developed turbulence is greater for the near Gaussian input type. The reverse computation verification or comparison with real systems indicates that the turbulence simulation and system modeling method in this work have good accuracy and high efficiency in solving algorithms, and the research results can be effectively applied to the model description and system analysis of the quadratic nonlinear systems related to specific turbulent fluctuation excitation response.
There exists a kind of quadratic nonlinear system with specific type of turbulent fluctuation excitation in nature, which belongs to a special non-Gaussian input signal system. Its characteristic is that the input signal spectrum is generated by turbulent fluctuations, and the power spectrum distribution of this turbulence fluctuation signal is close to Gaussian distribution. Starting with the work of Choi et al. (
2024, 73(18): 185201.
doi: 10.7498/aps.73.20240730
Abstract:
Recent studies based on the PLT, EAST, WEST, ASDEX-upgrade, JET and other tokamaks have shown that the accumulation of heavy impurities in the core regime is unavoidable, which may lead to the degradation of the plasma confinement and even trigger the major disruptions. The plasma thermal energy loss during the major disruptions mainly occurs during the fast thermal quench (TQ) stage. However, there is no comprehensive physical explanation for the scaling of the timescale of this stage. Tungsten as high Z impurity, which will be used as the wall material in International Thermonuclear Experimental Reactor (ITER), has strong radiation power, and may affect the thermal energy loss during the fast TQ. This work considers both the thermal diffusion induced by the stochastic magnetic fields and the radiation from tungsten impurities as the dominant thermal loss mechanisms in this stage, and construct a one-dimensional model of electron temperature evolution in tokamak plasmas. We numerically calculate and analyze the evolution of the electron temperature in this stage with the typical ITER-like parameters, and here are our main conclusions: 1) The order of magnitude of the fast TQ timescale is mainly determined by the level of thermal diffusion. However, the radiation from tungsten impurities can quantitively influence on the timescale of fast TQ and the electron temperature in the late phase of fast TQ. The higher the tungsten concentration, the shorter the TQ timescale and the lower the electron temperature it will lead to in the late phase. Both the numerical and analytical results show that the timescale is approximately linear with the tungsten impurity concentration. 2) Based on the evolution of the global energy loss and the global power loss during the fast TQ, it can be found that the global thermal energy loss via the radiation from tungsten impurities is much smaller than that via the thermal diffusion induced by the stochastic magnetic fields during the early phase of fast TQ stage. However, in the late phase of fast TQ stage, the global radiation power can be comparable to or even greater than that of the global thermal diffusion power. This is also the reason why the electron temperature in the late phase of fast TQ decreases as the concentration of tungsten impurities increases. Therefore, the contribution of the radiation from tungsten impurities to the thermal loss cannot be ignored in the late phase of fast TQ.
Recent studies based on the PLT, EAST, WEST, ASDEX-upgrade, JET and other tokamaks have shown that the accumulation of heavy impurities in the core regime is unavoidable, which may lead to the degradation of the plasma confinement and even trigger the major disruptions. The plasma thermal energy loss during the major disruptions mainly occurs during the fast thermal quench (TQ) stage. However, there is no comprehensive physical explanation for the scaling of the timescale of this stage. Tungsten as high Z impurity, which will be used as the wall material in International Thermonuclear Experimental Reactor (ITER), has strong radiation power, and may affect the thermal energy loss during the fast TQ. This work considers both the thermal diffusion induced by the stochastic magnetic fields and the radiation from tungsten impurities as the dominant thermal loss mechanisms in this stage, and construct a one-dimensional model of electron temperature evolution in tokamak plasmas. We numerically calculate and analyze the evolution of the electron temperature in this stage with the typical ITER-like parameters, and here are our main conclusions: 1) The order of magnitude of the fast TQ timescale is mainly determined by the level of thermal diffusion. However, the radiation from tungsten impurities can quantitively influence on the timescale of fast TQ and the electron temperature in the late phase of fast TQ. The higher the tungsten concentration, the shorter the TQ timescale and the lower the electron temperature it will lead to in the late phase. Both the numerical and analytical results show that the timescale is approximately linear with the tungsten impurity concentration. 2) Based on the evolution of the global energy loss and the global power loss during the fast TQ, it can be found that the global thermal energy loss via the radiation from tungsten impurities is much smaller than that via the thermal diffusion induced by the stochastic magnetic fields during the early phase of fast TQ stage. However, in the late phase of fast TQ stage, the global radiation power can be comparable to or even greater than that of the global thermal diffusion power. This is also the reason why the electron temperature in the late phase of fast TQ decreases as the concentration of tungsten impurities increases. Therefore, the contribution of the radiation from tungsten impurities to the thermal loss cannot be ignored in the late phase of fast TQ.
2024, 73(18): 185202.
doi: 10.7498/aps.73.20240494
Abstract:
High beam-anode layer ion source can produce high-density ions, and has been widely used in plasma cleaning and assisted deposition. However, when increasing the ion-beams, arcing always occurs inside the ion source and serious etching will take place on the cathode, which results in sample pollution especially in long-time cleaning. In this work, two structures are designed, which are magnetic shielding around the anode and sputtering shielding on the top of the inner cathode and outer cathode, respectively. Based on the particle-in-cell/Monte Carlo collision method and test particle Monte Carlo method, the influence of designed structure on the electromagnetic field and the plasma properties of the ion source are studied through self-established simulation technique. The results show that the magnetic shielding around the anode cuts off the magnetic induction line between the cathode and anode, eliminating the arcing condition in the ion source. The sputtering shielding for the cathode uses alumina ceramic because of its extremely low sputtering yield and high insulation performance. Therefore, the sputtering shields can not only resist the ion sputtering, but also shield the electric field on the outer surface of the cathode. As a result, the plasma discharge region is compressed towards the anode and away from the cathode simultaneously, which provides a stronger electric field force directing to the output region for Ar+ ions, and also results in a suppressed cathode etching behavior but an improved Ar+ ion output efficiency. The optimized calculation shows that the best distance from the sputtering shield to the cathode surface is 9 mm. The discharge experiments reveal that the modified ion source can eliminate the inside arcing and provide a clean and strong ion beam with a high efficiency. At the same discharge current, the output efficiency of the modified ion source is 36% higher than that of the original ion source. When used in the plasma cleaning, the glass substrate remains transparent and keeps the original element composition ratio unchanged. The detected Fe content, coming from the cathode sputtering, is only 0.03% after the one-hour plasma cleaning, which is 2 orders of magnitude smaller than that cleaned by the original ion source. The Fe content of the modified ion source is about 0.6% of the original ion source, which is in good agreement with the result of simulation optimization.
High beam-anode layer ion source can produce high-density ions, and has been widely used in plasma cleaning and assisted deposition. However, when increasing the ion-beams, arcing always occurs inside the ion source and serious etching will take place on the cathode, which results in sample pollution especially in long-time cleaning. In this work, two structures are designed, which are magnetic shielding around the anode and sputtering shielding on the top of the inner cathode and outer cathode, respectively. Based on the particle-in-cell/Monte Carlo collision method and test particle Monte Carlo method, the influence of designed structure on the electromagnetic field and the plasma properties of the ion source are studied through self-established simulation technique. The results show that the magnetic shielding around the anode cuts off the magnetic induction line between the cathode and anode, eliminating the arcing condition in the ion source. The sputtering shielding for the cathode uses alumina ceramic because of its extremely low sputtering yield and high insulation performance. Therefore, the sputtering shields can not only resist the ion sputtering, but also shield the electric field on the outer surface of the cathode. As a result, the plasma discharge region is compressed towards the anode and away from the cathode simultaneously, which provides a stronger electric field force directing to the output region for Ar+ ions, and also results in a suppressed cathode etching behavior but an improved Ar+ ion output efficiency. The optimized calculation shows that the best distance from the sputtering shield to the cathode surface is 9 mm. The discharge experiments reveal that the modified ion source can eliminate the inside arcing and provide a clean and strong ion beam with a high efficiency. At the same discharge current, the output efficiency of the modified ion source is 36% higher than that of the original ion source. When used in the plasma cleaning, the glass substrate remains transparent and keeps the original element composition ratio unchanged. The detected Fe content, coming from the cathode sputtering, is only 0.03% after the one-hour plasma cleaning, which is 2 orders of magnitude smaller than that cleaned by the original ion source. The Fe content of the modified ion source is about 0.6% of the original ion source, which is in good agreement with the result of simulation optimization.
2024, 73(18): 185203.
doi: 10.7498/aps.73.20240760
Abstract:
The coaxial gun discharge can produce plasma jet with high velocity, high density and high energy density, and has extensive applications, such as in plasma space propulsion, simulation of the interaction between edge local mode and wall materials in ITER, fuel injection in magnetic confinement fusion devices, and laboratory astrophysics. In the pre-filled discharge mode or snowplow mode, the plasma current sheet is formed near the insulating layer surface and moves toward the end of the coaxial gun under Lorentz force. Plasma velocity, density and purity characteristics are very important research contents for the actual applications of coaxial gun. Emission spectrometry as a non-interference method can be used to diagnose a variety of plasma physical properties. In this experiment, the effects of different discharge currents and gas pressures on the plasma dynamics, electron density and impurity emission spectra of coaxial gun discharge plasma are studied through the measurement of plasma photocurrent, emission spectra and the shooting of discharge images. The experimental results show that the acceleration time of the plasma in the gun decreases with current increasing in a range of 30–70 kA when the gas pressure is 10 Pa, the spectral intensity of anode and cathode impurities in plasma increase with current amplitude increasing. When the discharge current is 40 kA and the gas pressure is in a range of 10–70 Pa, the acceleration time of plasma increases with gas pressure rising, and the spectral intensity of the cathode impurity in the plasma decreases with the pressure increasing, while the spectral intensity of the anode impurity increases gradually, but its growth rate decreases continuously. The analysis indicates that the presence of metallic impurities originating from the electrode material limits the jet velocity of the plasma and is the main cause of the deviation from theoretical value. The plasma pinch effect at the nozzle of coaxial gun and the acceleration time of high-density arc in the gun are important factors affecting anode ablation. The impurity of cathode material is produced by ion bombardment sputtering, which mainly depends on the energy carried by ions. Therefore, a reasonable choice for discharge parameters is the key factor to obtain optimal plasma characteristics during the discharge of the coaxial gun.
2024, 73(18): 187801.
doi: 10.7498/aps.73.20240901
Abstract:
We need to develop a low energy consumption, green and environmentally friendly process for preparing double perovskite fluorescent powders, and incorporate other metal ions into the matrix to obtain a new type of luminescent material with high quantum efficiency. In this study a microwave solid-state method is used to prepare Bi3+ doped lead-free double perovskite Cs2Ag0.6Na0.4InCl6 fluorescent powders. This method does not require ligand assistance and is environmentally friendly. The crystal structure and morphology are characterized by X-ray diffraction and scanning electron microscopy, and the luminescence performance is studied by excitation spectroscopy, emission spectroscopy, time-resolved spectroscopy, and quantum efficiency. The results are shown below 1) The Cs2Ag0.6Na0.4InCl6 is a cubic crystal belonging to the\begin{document}$ Fm\bar 3 m $\end{document} ![]()
![]()
space group, and its grain morphology is irregular. 2) When the optimal doping concentration of Bi3+ is 0.0013 mmol, the emission center wavelength of Cs2Ag0.6Na0.4InCl6 material is 562 nm, the average fluorescence lifetime reaches 2.60 μs, and the quantum efficiency attains 45.28%. 3) When the concentration of Bi3+ ions exceeds 0.0013 mmol, a significant concentration quenching effect occurs, which is mainly due to the electric quadrupole electric quadrupole (q-q) interaction between Bi3+ ions. 4) The chromaticity coordinates of the Cs2Ag0.6Na0.4InCl6 doped Bi3+phosphor are located in the yellow-light region, making it a potential yellow phosphor for warm white light emitting diode (LED) applications.
We need to develop a low energy consumption, green and environmentally friendly process for preparing double perovskite fluorescent powders, and incorporate other metal ions into the matrix to obtain a new type of luminescent material with high quantum efficiency. In this study a microwave solid-state method is used to prepare Bi3+ doped lead-free double perovskite Cs2Ag0.6Na0.4InCl6 fluorescent powders. This method does not require ligand assistance and is environmentally friendly. The crystal structure and morphology are characterized by X-ray diffraction and scanning electron microscopy, and the luminescence performance is studied by excitation spectroscopy, emission spectroscopy, time-resolved spectroscopy, and quantum efficiency. The results are shown below 1) The Cs2Ag0.6Na0.4InCl6 is a cubic crystal belonging to the
2024, 73(18): 188101.
doi: 10.7498/aps.73.20240632
Abstract:
Owing to the large losses in the conversion process of traditional polarization converters, there is an increasing demand for metasurfaces with excellent transmission performance. In this work, an efficient polarization conversion metasurface is proposed based on electromagnetically induced transparency-like (EIT-like) effect in the terahertz band. The multi-level bright mode paths are excited by an asymmetric structure to obtain orthogonal circular polarization conversion windows. The transmission window is generated by the mutual interference of two sets of bright modes with similar resonant frequencies. Then an asymmetric structure is constructed to achieve transmission window shift under TE polarization and TM polarization, thereby realizing dual-frequency polarization conversion. The metamaterial unit structure consists of four open metal resonant rings and four metal resonant strips. The working mechanism is explored by analyzing the surface current distribution, frequency response, and incident angle characteristics. The results show that electromagnetically induced transparency can be achieved under different polarizations. Furthermore, based on the EIT resonance between the two incident polarizations, the conversion from linear polarization to right-hand circular polarization is achieved at 0.692 THz, and the conversion from linear polarization to left-hand circular polarization is realized at 0.782 THz, transmission coefficients are 0.7 and 0.68 respectively. According to the Stokes parameters, the corresponding ellipticity η values are 96% and 98%, respectively. This EIT-based polarization conversion metasurface with low loss and ultra-thin characteristics has great potential applications in compact antennas, derived radar phased arrays, and military detectors.
Owing to the large losses in the conversion process of traditional polarization converters, there is an increasing demand for metasurfaces with excellent transmission performance. In this work, an efficient polarization conversion metasurface is proposed based on electromagnetically induced transparency-like (EIT-like) effect in the terahertz band. The multi-level bright mode paths are excited by an asymmetric structure to obtain orthogonal circular polarization conversion windows. The transmission window is generated by the mutual interference of two sets of bright modes with similar resonant frequencies. Then an asymmetric structure is constructed to achieve transmission window shift under TE polarization and TM polarization, thereby realizing dual-frequency polarization conversion. The metamaterial unit structure consists of four open metal resonant rings and four metal resonant strips. The working mechanism is explored by analyzing the surface current distribution, frequency response, and incident angle characteristics. The results show that electromagnetically induced transparency can be achieved under different polarizations. Furthermore, based on the EIT resonance between the two incident polarizations, the conversion from linear polarization to right-hand circular polarization is achieved at 0.692 THz, and the conversion from linear polarization to left-hand circular polarization is realized at 0.782 THz, transmission coefficients are 0.7 and 0.68 respectively. According to the Stokes parameters, the corresponding ellipticity η values are 96% and 98%, respectively. This EIT-based polarization conversion metasurface with low loss and ultra-thin characteristics has great potential applications in compact antennas, derived radar phased arrays, and military detectors.
2024, 73(18): 188201.
doi: 10.7498/aps.73.20240533
Abstract:
In the photoelectrochemical water splitting reaction system, bubbles will cover the reaction area on the photoelectrode surface, affecting the reaction impedance and gas-liquid mass transfer. A laser irradiation system is built and it is coupled with an electrochemical workstation and high-speed microscopic imaging system. The evolution behavior and mass transfer characteristics of single O2 bubble on the TiO2 photoelectrode are studied at different electrolyte concentrations (Na2SO4, 0.1–2.0 mol/L). With the increase of electrolyte concentration from 0.1 mol/L to 2.0 mol/L, the solution resistance and bubble additional resistance decrease, and the overpotential in the stable growth stage of bubble decreases from 0.113 V to –0.089 V. The bubble will cause the fluctuation of overpotential in the nucleation, growth and detachment stages, which is consistent with the impedance change caused by the change of dissolved oxygen concentration in the liquid phase. By analyzing the correlation between gas evolution efficiency and bubble coverage, it is found that the increase of electrolyte concentration will lead the bubble coverage and gas evolution efficiency to decrease simultaneously. By calculating the Sherwood dimensionless number, the results show that the total convective mass transfer coefficient increases with the electrolyte concentration increasing. Single-phase natural convection plays a dominant role in the process of gas product transfer, and its mass transfer coefficient is one order of magnitude larger than that of bubble-induced convection. In summary, by adjusting the electrolyte concentration, the bubble on the gas evolution photoelectrode surface can be effectively removed and the mass transfer of the system can be optimized, which is of great significance in improving the efficiency of photoelectrochemical water splitting.
In the photoelectrochemical water splitting reaction system, bubbles will cover the reaction area on the photoelectrode surface, affecting the reaction impedance and gas-liquid mass transfer. A laser irradiation system is built and it is coupled with an electrochemical workstation and high-speed microscopic imaging system. The evolution behavior and mass transfer characteristics of single O2 bubble on the TiO2 photoelectrode are studied at different electrolyte concentrations (Na2SO4, 0.1–2.0 mol/L). With the increase of electrolyte concentration from 0.1 mol/L to 2.0 mol/L, the solution resistance and bubble additional resistance decrease, and the overpotential in the stable growth stage of bubble decreases from 0.113 V to –0.089 V. The bubble will cause the fluctuation of overpotential in the nucleation, growth and detachment stages, which is consistent with the impedance change caused by the change of dissolved oxygen concentration in the liquid phase. By analyzing the correlation between gas evolution efficiency and bubble coverage, it is found that the increase of electrolyte concentration will lead the bubble coverage and gas evolution efficiency to decrease simultaneously. By calculating the Sherwood dimensionless number, the results show that the total convective mass transfer coefficient increases with the electrolyte concentration increasing. Single-phase natural convection plays a dominant role in the process of gas product transfer, and its mass transfer coefficient is one order of magnitude larger than that of bubble-induced convection. In summary, by adjusting the electrolyte concentration, the bubble on the gas evolution photoelectrode surface can be effectively removed and the mass transfer of the system can be optimized, which is of great significance in improving the efficiency of photoelectrochemical water splitting.
2024, 73(18): 188703.
doi: 10.7498/aps.73.20240927
Abstract:
Cold atmospheric plasma (CAP) is considered to be a very promising cancer treatment method due to its “selective” killing effect on cancer cells. The CAP can inhibit tumor inflammatory responses and activate the immune system by reducing the expression of the key inflammatory factor Interleukin-6 (IL-6). However, the influence of the strong alternating electric field induced by CAP on the conformation and function of IL-6 remains unclear. In this study molecular dynamics simulation is used to investigate the effects of alternating electric fields with different frequencies and intensities on the conformation of IL-6. We statistically analyze the root mean square fluctuations, root mean square deviation, secondary structural alterations, and dipole moment changes of IL-6 under different electric field parameters. Furthermore, molecular docking is utilized to assess the influence on the receptor-binding process. The results show that when the electric field frequency is below 30 MHz and the intensity exceeds 0.5 V/nm, the average dipole moment of IL-6 increases, leading to changes in the rigid regions at the C-terminus which maintain structural stability. Specifically, the salt bridges that stabilize the long helices rupture, and the number of α-helices decreases. The docking outcomes reveal that the distance between the key binding residues of the conformationally altered IL-6 and its receptor increases, thereby disrupting the normal binding process and potentially impairing its normal biological functionality. This study explains the internal interaction mechanism of CAP-induced electric fields affecting IL-6-related biological effects at the micro level, and provides important theoretical basis for optimizing parameters in the practical application of CAP in tumor inflammation treatment and the development of effective cancer therapy strategies.
Cold atmospheric plasma (CAP) is considered to be a very promising cancer treatment method due to its “selective” killing effect on cancer cells. The CAP can inhibit tumor inflammatory responses and activate the immune system by reducing the expression of the key inflammatory factor Interleukin-6 (IL-6). However, the influence of the strong alternating electric field induced by CAP on the conformation and function of IL-6 remains unclear. In this study molecular dynamics simulation is used to investigate the effects of alternating electric fields with different frequencies and intensities on the conformation of IL-6. We statistically analyze the root mean square fluctuations, root mean square deviation, secondary structural alterations, and dipole moment changes of IL-6 under different electric field parameters. Furthermore, molecular docking is utilized to assess the influence on the receptor-binding process. The results show that when the electric field frequency is below 30 MHz and the intensity exceeds 0.5 V/nm, the average dipole moment of IL-6 increases, leading to changes in the rigid regions at the C-terminus which maintain structural stability. Specifically, the salt bridges that stabilize the long helices rupture, and the number of α-helices decreases. The docking outcomes reveal that the distance between the key binding residues of the conformationally altered IL-6 and its receptor increases, thereby disrupting the normal binding process and potentially impairing its normal biological functionality. This study explains the internal interaction mechanism of CAP-induced electric fields affecting IL-6-related biological effects at the micro level, and provides important theoretical basis for optimizing parameters in the practical application of CAP in tumor inflammation treatment and the development of effective cancer therapy strategies.
2024, 73(18): 188702.
doi: 10.7498/aps.73.20240915
Abstract:
Single molecular tracking is a valuable approach to investigate the dynamic processes and molecular interactions in soft matter systems, particularly in biological systems. However, understanding the complexity of single molecule motion behaviors in biological systems remains a significant challenge. To address this issue, we propose a two-step classification method based on unsupervised learning to efficiently identify and classify single molecule trajectories. Firstly, we employ an entropy-constrained least square method to distinguish between confined (e.g., immobile) and unconfined diffusion trajectories. Subsequently, statistical tests are utilized to categorize the unconfined trajectories into different diffusion modes such as sub-diffusion, normal diffusion, and super-diffusion. By applying this method, we analyze the diffusion motion of single molecules in both DOPC model cell membranes and living cell membranes while uncovering their distinct responses to cholesterol composition. Our findings demonstrate that both model membranes and living cell membranes exhibit diverse molecular diffusion modes. Specifically, in the DOPC model membrane system, the presence of cholesterol components impedes lipid diffusion within the membrane. The degree of inhibition is positively correlated with the amount of cholesterol present. For instance, as the cholesterol content in the membrane increases from 0 to 20% (DOPC:Chol = 4∶1) and 50% (DOPC:Chol = 1∶1), there is an increase in the proportion of molecules, exhibiting confined diffusion and sub-diffusion (from 55% to 45%), while there is a decrease in the proportion of molecules, displaying normal diffusion and super-diffusion (from 45% to 35%). The ensemble diffusion coefficient of molecules in the membrane significantly decreases, which can be attributed to both a decrease in velocity among fast-moving molecules. Interestingly, after using MeβCD to remove cholesterol, the single-molecule mobility within the DOPC/Chol composite membrane system is restored to a level similar to that of the pure DOPC membrane. Conversely, in the living cell membrane system, the diffusion coefficient values of molecules are significantly lower than those observed in the model membrane system; furthermore, the removal of cholesterol further slows down the molecular diffusion rate. This study contributes to understanding the intricacies of biomolecular motility and its dependence on environmental factors from a perspective of single molecular motion.









