-
Hydrogen energy, as one of the most promising clean and renewable energy sources, has received much attention due to its green production technology. Electrolytic water splitting is regarded as a critical pathway for large-scale green hydrogen production due to its environmentally friendly reaction process, high product purity, and operational simplicity, However, electrocatalysts for water electrolysis commonly face challenges such as high costs and complex synthesis processes, thereby severely hindering the industrial application. Low-temperature plasma (LTP) technology, with its advantages of mild processing conditions, high reactivity, and unique electromagnetic field effects, has demonstrated remarkable potential in the surface modification of materials. This review systematically summarizes the applications of LTP in the preparation and modification of electrocatalytic materials for water splitting, focusing on the mechanism of plasma-induced enhancement in electrocatalytic efficiency. First, the physical characteristics and fundamental principle of typical non-equilibrium low-temperature plasma are elucidated. Subsequently, recent advances in plasma-assisted modification strategies for catalytic materials are categorized and critically discussed, including surface microstructure modulation, surface property regulation and interface optimization. Finally, based on the current limitations in mechanistic understanding and practical applications, future research directions for LTP technology in catalyst design are proposed.
-
Keywords:
- plasma /
- material preparation /
- material modification /
- electrocatalysis
[1] 陈晶亮, 熊源泉 2013 物理化学学报 29 205
Google Scholar
Tao J L, Xiong Y Q 2013 Acta Phy. Chim. Sin. 29 205
Google Scholar
[2] Ma Y B, Wang J, Yu J L, Zhou J W, Zhou X C, Li H X, He Z, Long H W, Wang Y H, Lu P Y, Yin J W, Sun H Y, Zhang Z C, Fan Z X 2021 Matter 4 888
Google Scholar
[3] Long S, Zhu J, Jing Y W, He S, Cheng L J, Shi Z 2023 Coatings 13 1917
Google Scholar
[4] Qiu C J, Jiang L L, Gao Y G, Sheng L Z 2023 Mater. Design 230 111952
Google Scholar
[5] Rosa V, Cameli F, Stefanidis G D, Van Geem K M 2024 Acc. Mater. Res. 5 1024
Google Scholar
[6] 张海宝, 陈强 2021 物理学报 70 095203
Google Scholar
Zhang H B, Chen Q 2021 Acta Phys. Sin. 70 095203
Google Scholar
[7] Yu F, Liu M C, Ma C H, Di L B, Dai B, Zhang L L 2019 Nanomaterials 9 1436
Google Scholar
[8] Tang J, Su C, Shao Z 2022 Energy Tech. 10 2200235
Google Scholar
[9] Luo Y, Wu Y H, Huang C, Menon C, Feng S P, Chu P K 2022 EcoMat 4 e12197
Google Scholar
[10] Ochkin V N 2009 Spectroscopy of Low Temperature Plasma (1st Ed.) (Hoboken: Wiley
[11] Laroussi M, Akan T 2007 Plasma Process. Polym. 4 777
Google Scholar
[12] Taccogna F, Dilecce G 2016 Eur. Phys. J. D 70 251
Google Scholar
[13] Arumugam S, Alex P, Sinha S K 2017 Physics of Plasmas 24 112106
Google Scholar
[14] Zhu X M, Chen W C, Zhang S, Guo Z G, Hu D W, Pu Y K 2007 J. Phys. D: Appl. Phys. 40 7019
Google Scholar
[15] 李和平, 聂秋月, 张晓菲, 包成玉 2014 中国科学: 物理学 力学 天文学 44 1157
Google Scholar
Li H P, Nie Q Y, Zhang X F, Bao C Y 2014 Sci. Sin. -Phys. Mech. Astron. 44 1157
Google Scholar
[16] 董丽芳, 杨玉杰, 范伟丽, 岳晗, 肖红 2010 物理学报 59 1917
Google Scholar
Dong L F, Yang Y J, Fan W L, Yu H, Wang S, Xiao H 2010 Acta Phys. Sin. 59 1917
Google Scholar
[17] 张晓星, 王宇非, 崔兆仑, 田远, 王浩 2021 电工技术学报 36 175
Zhang X X, Wang Y F, Cui H L, Tian Y, Wang H 2021 Trans. China Electrotech. Soc. 36 175
[18] Tran T N, Oanthavinsak B, Kado S, Matsuura H 2020 Plasma Sci. Technol. 22 115401
Google Scholar
[19] Kawamura E, Vahedi V, Lieberman M A, Birdsall C K 1999 Plasma Sources Sci. Technol. 8 R45
Google Scholar
[20] Hori M 2022 Rev. Mod. Plasma Phys. 6 36
Google Scholar
[21] Neyts E C 2016 Plasma Chem. Plasma Process 36 185
Google Scholar
[22] Fridman A 2008 Plasma Chemistry (Online-Ausg) (Cambridge: Cambridge University Press
[23] Galaly A R, Dawood N 2024 Heliyon 10 e24490
Google Scholar
[24] Seong I, Kim S, Lee Y, Cho C, Jeong W, You Y, Choi M, Choi B, You S 2023 Materials 16 3219
Google Scholar
[25] Li J, Ma C H, Zhu S J, Yu F, Dai B, Yang D Z 2019 Nanomaterials 9 1428
Google Scholar
[26] Lim J S, Kim R H, Hong Y J, Lamichhane P, Adhikari B C, Choi J, Choi E H 2020 Res. Phys. 19 103569
[27] Peter S, Pintaske R, Hecht G, Richter F 1993 J. Nucl. Mater. 200 412
Google Scholar
[28] Jiménez-Redondo M, Carrasco E, Herrero V J, Tanarro I 2015 Plasma Sources Sci. Technol. 24 015029
Google Scholar
[29] Park H, Choe W 2010 Current Appl. Phys. 10 1456
Google Scholar
[30] Wang C, Srivastava N 2010 Eur. Phys. J. D 60 465
Google Scholar
[31] Wei G, Li D Y, Zhao J R 2025 J. Vac. Sci. Technol. A 43 043001
[32] Ghimire B, Khanal R, Subedi D P 2014 Kathmandu Univ. J Sci. Eng. Technol. 10 20
Google Scholar
[33] Gillman E D, Tejero E, Blackwell D, Amatucci W E 2018 Rev. Sci. Instrum. 89 113505
Google Scholar
[34] Li G C, Li Y L, Dong J, Sun B X, Liu Z L, Zheng J, Li G L 2025 Adv. Funct. Mater. e15680
[35] Wang W B, Cao H J, Li G L 2023 Inorg. Chem. 62 10241
Google Scholar
[36] Xu S Y, Kang L, Cai J S, Tang S J 2018 AIP Adv. 8 115033
Google Scholar
[37] Sun W P, Xu Y, Yang L, Wen W D, Zhang H B, Yu X Y 2025 Small 21 2411215
Google Scholar
[38] Zhang J S, Zhang X L, Shi C, Yu X Y, Zhou Y T, Di L B 2024 Small 20 2406767
Google Scholar
[39] Chen H L, Zhao Q D, Gao L G, Ran J W, Hou Y 2019 ACS Sustainable Chem. Eng. 7 4247
Google Scholar
[40] Qi Q, Shao D, Zhou Y T, Wang Q, Yu X Y 2023 J. Mater. Chem. A 11 15663
Google Scholar
[41] Li G L, Wu X Q, Guo H, Guo Y R, Chen H, Wu Y, Zheng J, Li X G 2020 ACS Appl. Mater. Interfaces 12 5951
Google Scholar
[42] Ai R Q, Boukouvala C, Lewis G, Wang H, Zhang H, Lai Y H, Huang H, Ringe E, Shao L, Wang J F 2021 ACS Nano 15 9860
Google Scholar
[43] Meng L X, Zhou X L, Wang S Y, Zhou Y, Tian W, Kidkhunthod P, Tunmee S, Tang Y, Long R, Xin Y, Li L 2019 Angew. Chem. Int. Ed. 58 16668
Google Scholar
[44] Li G C, Niu M, An R Z, Zhang H Y, Sun B X, Li G L 2024 Inorg. Chem. 63 20792
Google Scholar
[45] Chen W X, Wei W, Wang K F, Zhang N, Chen G L, Hu Y J, Ostrikov K 2021 Nanoscale 13 6201
Google Scholar
[46] Zhang B A, Jiang Z Q, Shang X N, Li S S, Jiang Z J 2021 J. Mater. Chem. A 9 25934
Google Scholar
[47] Zheng J G, Xu A N, Wu A J, Li X D 2021 ACS Appl. Mater. Interfaces 13 21231
Google Scholar
[48] Liu Y L, Nan H Y, Wu X, Pan W, Wang W H, Bai J, Zhao W W, Sun L T, Wang X R, Ni Z H 2013 ACS Nano 7 4202
Google Scholar
[49] Pham P V, Mai T H, Do H B, Vasundhara M, Nguyen V H, Nguyen T, Bui H V, Dao V D, Gupta R K, Ponnusamy V K, Park J H 2024 Chem. Soc. Rev. 53 5190
Google Scholar
[50] Liu Y Q, Zhang M, Hu D, Li R Q, Hu K, Yan K 2019 ACS Appl. Energy Mater. 2 1162
Google Scholar
[51] Yan P, Yang T, Lin M X, Guo Y N, Qi Z P, Luo Q Q, Yu X Y 2023 Adv. Funct. Mater. 33 2301343
Google Scholar
[52] Wang K L, Zheng B C, Mackinder M, Baule N, Qiao H, Jin H, Schuelke T, Fan Q H 2019 Energy Storage Mater. 20 299
Google Scholar
[53] Zhang H Y, Ding H R, Wang W B, Zhao J M, Sun B X, Xia Y J, Li G L, Chang X H 2024 Mater. Today Energy 44 101623
Google Scholar
[54] Yan D F, Chen R, Xiao Z H, Wang S Y 2019 Electrochim. Acta 303 316
Google Scholar
[55] Dou S, Tao L, Wang R L, El Hankari S, Chen R, Wang S Y 2018 Adv. Mater. 30 1705850
Google Scholar
[56] Liang H F, Ming F W, Alshareef H N 2018 Adv. Energy Mater. 8 1801804
Google Scholar
[57] Zhu C Q, Li C L, Zheng M J, Delaunay J J 2015 ACS Appl. Mater. Interfaces 7 22355
Google Scholar
[58] Boruah P J, Khanikar R R, Bailung H 2020 Plasma Chem. Plasma Process. 40 1019
Google Scholar
[59] Liu X S, Liu P, Wang F F, Lv X B, Yang T, Tian W, Wang C H, Tan S, Ji J Y 2021 ACS Appl. Mater. Interfaces 13 41545
Google Scholar
[60] Yang T T, Zhang Z, Tan F, Liu H Y, Li X Y, Wang H Q, Yang Q 2024 Materials 18 121
Google Scholar
[61] Nunomura S 2023 J. Phys. D: Appl. Phys. 56 363002
Google Scholar
[62] Feng Y E, Chen W H, Zhao L, Jiang Z J, Tian X N, Jiang Z Q 2024 Small Methods 8 2400565
Google Scholar
[63] Ye L J, Chen W H, Jiang Z J, Jiang Z Q 2024 Carbon Energy 6 e457
Google Scholar
[64] Hu T T, Chen W H, Liu Y B, Gong L X, Jiang Z Q, Bhalothia D, Maiyalagan T, Jiang Z J 2023 Small 19 2304076
Google Scholar
[65] Van Helden J H, Van Den Oever P J, Kessels W M M, Van De Sanden M C M, Schram D C, Engeln R 2007 J. Phys. Chem. A 111 11460
Google Scholar
[66] Wu X Q, Guo Y R, Wang T, Sun B X, Liu Z L, Wu Y, Zhang S J, Zheng J, Li X G 2019 Chem. Commun. 55 4202
Google Scholar
[67] Lan X Z, Li G L, Jin R M, Li X Y, Zheng J 2022 Chemical Engineering Journal 450 138225
Google Scholar
[68] Dong L, Chang G R, Feng Y, Yao X Z, Yu X Y 2022 Rare Met. 41 1583
Google Scholar
[69] Chen G L, Xiang H Y, Guo Y C, Huang J, Chen W, Chen Z Y, Li T T, Ostrikov K (Ken) 2024 Carbon Energy 6 e522
Google Scholar
[70] Xie Y, Qiu J F, Chen G L, Guo Y C, Tang P S, He B 2024 Inorg. Chem. 63 15467
Google Scholar
[71] Fu Z, Jiang Z Q, Hu T T, Jiang Z J 2022 Electrochim. Acta 419 140392
Google Scholar
-
图 2 (a) 双朗缪尔探针的I-V曲线[32]; (b) 朗缪尔探针与非侵入式阻抗等离子体密度测量结果对比图[33]; (c) P-Ar-H2等离子体和Ar-CH4等离子体的光学发光光谱[34]; (d) 氧气气氛的光学发光光谱[35]; (e) 不同压力下介质阻挡放电等离子体放电图像[36]; (f) 不同压力下氮气的发射强度[36]
Figure 2. (a) I-V curve of double Langmuir probe[32]; (b) comparison of Langmuir probe non-invasive impedance plasma density[33]; (c) in suit optical emission spectra of plasma of P-Ar-H2 and Ar-CH4[34]; (d) optical emission spectroscopy of O2 atmosphere[35]; (e) discharge images of DBD at different pressures[36]; (f) emission intensities of N2 at different pressures[36].
图 3 (a), (b) L-Co纳米结构形成示意图和扫描电子显微镜图像[37]; (c) Co2P-Ni2P/CC扫描电子显微镜图像[38]; (d) 富氧NiFe-LDH的透射电子显微镜图像[39]; (e) 富氧NiFe-LDH纳米片的比表面积和孔径分布[39]; (f) P-Ni MOF/POM制备流程图[40]; (g) Ni MOF/POM扫描电子显微镜图像[40]; (h) 多孔P-Ni MOF/POM扫描电子显微镜图像[40]; (i) Ni3N/NF的扫描电子显微镜图像[41]; (j) N2-H2等离子体下Ni3N/NF合成示意图[41]
Figure 3. (a), (b) Schematic illustration for the formation and SEM images of L-Co NSs[37]; (c) SEM images of Co2P-Ni2P/CC[38]; (d) TEM images of oxygen-enriched NiFe-LDH[39]; (e) BET and pore diameter distribution of oxygen-enriched NiFe-LDH nanosheets[39]; (f) schematic illustration of the fabrication process of porous P-Ni MOF/ POM[40]; (g) SEM image of Ni MOF/POM[40]; (h) SEM images of P-Ni MOF/ POM[40]; (i) SEM image of Ni3N/NF[41]; (j) schematic illustration of the synthesis of Ni3N/NF under N2-H2 plasma[41].
图 4 (a)—(c) NiFeP/NF合成示意图, NiFe/NF和NiFeP/NF的扫描电子显微镜图像[44]; (d) CoPO合成示意图[45]; (e), (f) ZIF-67和CoPO的扫描电子显微镜图像[45]; (g), (h) 磷化前后的T-NiMoP电子显微镜图像[46]; (i) Co2N的扫描电子显微镜图像[47]
Figure 4. (a)–(c) Synthesis process of NiFeP/NF and SEM images of NiFeMOF/NF and NiFeP/NF[44]; (d) synthesis process of CoPO[45]; (e), (f) SEM image of ZIF-67 and CoPO[45]; (g), (h) SEM image of P-NiMoP and T-NiMoP[46]; (i) SEM image of Co2N[47].
图 5 (a), (b) NiCo-LDHs和NiCo-LDHs/Ar的扫描电子显微镜图像[50]; (c), (d) 等离子体处理前后的氢氧化镍纳米片的扫描电子显微镜图像[51]; (e) 等离子体处理前后MoS2的透射电子显微镜图像[48]; (f), (g) 等离子体剥离前后的MXene材料的扫描电子显微镜图像[52]; (h), (i) MXene和MXene-DBD的扫描电子显微镜图像[53]
Figure 5. (a), (b) SEM images of NiCo-LDHs and NiCo-LDHs/Ar[50]; (c), (d) SEM images of m-Ni(OH)2NASs and β-Ni(OH)2/Ni NSAs[51]; (e) TEM images of MoS2 after plasma treatment[48]; (f), (g) SEM images of MXene@GO and MXene@rGO[52]; (h), (i) SEM images of MXene and MXene-DBD[53].
图 6 (a)—(c) 纳米颗粒晶格间距的高分辨透射电子显微镜、O 1s轨道的X射线光电子能谱、纳米颗粒的带隙测定[58]; (d)—(f) N2等离子体处理不同时间的电子顺磁共振光谱、O 1s轨道的X射线光电子能谱、N2等离子体处理后的NiMoO4的高分辨率透射电镜图像[59]; (g) 不同条件等离子体处理的傅里叶转换光谱; (h) PBA-raw和PBA-3h-A的电子自旋共振光谱; (i) 等离子体处理后的PBA的水接触角[35]
Figure 6. (a)–(c) HRTEM image showing lattice spacing of the nanoparticle, XPS spectra of the O 1s, bandgap determination of the nanoparticles[58]; (d)–(f) EPR spectra by N2 plasma for different periods, XPS spectra of the O 1s and HRTEM image of NiMoO4 under N2 plasma treated[59]; (g) Fourier transform infrared spectra of plasma treated under different conditions; (h) solid electron spin resonance spectra of PBA-raw and PBA-3h-A; (i) water contact angle (WCA) of plasma treated PBA[35].
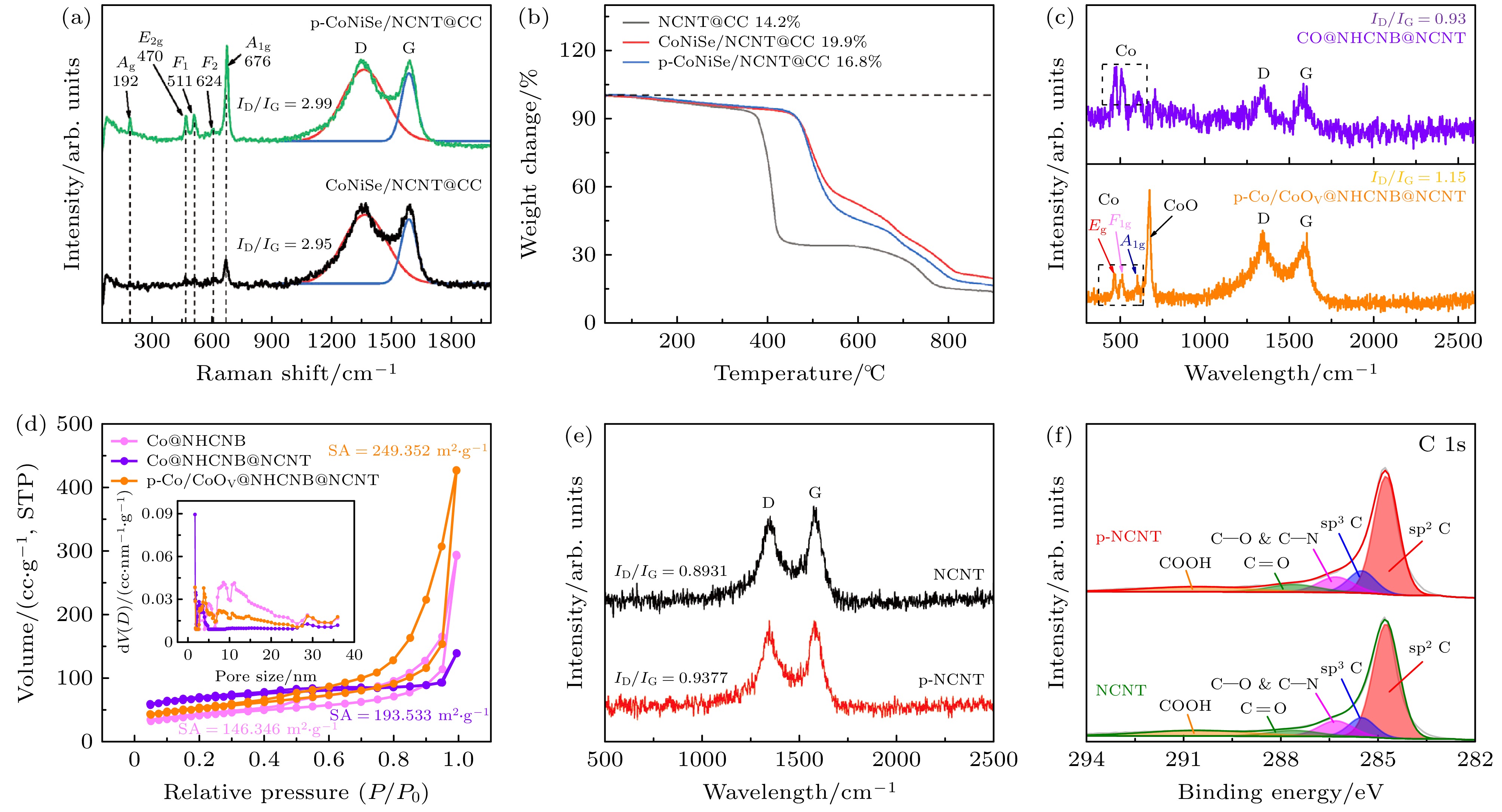
图 7 (a), (b) Ar/NH3等离子体处理前后的拉曼光谱和热重曲线[62]; (c), (d) 氧化钴异质结经氧等离子体处理前后的拉曼光谱和N2吸附-脱附等温曲线[63]; (e), (f) 氮掺杂纳米管经Ar等离子体处理前后的拉曼光谱和C 1s轨道的X射线光电子能谱[64]
Figure 7. (a), (b) Raman spectra and Thermogravimetry (TGA) curves before and after Plasma treatment[62]; (c), (d) Raman spectra and N2 adsorption-desorptionisotherms of cobalt oxide heterojunctions before and after oxygen plasma treatment[63]; (e), (f) Raman spectra and XPS spectra of the C 1s of nitrogen-doped nanotubes before and after Ar plasma treatment[64].
图 8 (a) NiFeP/NF, NiFe MOF/NF和NiFe LDH/NF的X射线衍射[44]; (b) NiFeP/NF的高分辨率透射电镜图像[44]; (c) CoNiP@C/NF的X射线衍射[67]; (d) CoNiP@C和CoNiP的P 2p轨道的X射线光电子能谱[67]; (e)—(g) N2-H2和纯N2的光发射光谱、不同等离子体处理后氢氧化镍的X射线衍射、N2-H2等离子体处理后Ni 2p的XPS光谱[41]; (h), (i) N2-H2等离子体处理NiV LDH的X射线衍射和Ni 1s轨道的X射线光电子能谱[68]
Figure 8. (a) X-ray diffraction (XRD) of NiFeP/NF, NiFeMOF/NF, and NiFeLDH/NF[44]; (b) HR-TEM images of NiFeP/NF[44]; (c) XRD patterns of CoNiP@C/NF[49]; (d) XPS spectra of P 2p of CoNiP@C and CoNiP[67]; (e)–(g) optical emission spectra of N2-H2 and N2, XRD of Ni(OH)2 after different plasma treatment and XPS spectra of Ni 2p after N2-H2 plasma treatments[41]; (h), (i) XRD pattern and Ni 1s XPS spectra of the NiV LDH after N2-H2 plasma treatment[68].
图 9 (a) Co2P和Ni2P的高分辨率透射电子显微图像[38]; (b) 基于Co2P-Ni2P/CC中生物电化学体系(BEF)的电子转移示意图[38]; (c) 等离子体进行磷氮掺杂的NiCo泡沫高分辨率透射电子显微镜图像[69]; (d) CoO/Co的高分辨率透射电子显微镜图像[63]; (e) v-CoO/Co(111), Co(111)和v-CoO的态密度和d带中心[63]; (f) IrO2/CoCH异质结构透射电子显微镜图像[70]; (g) CoCH, IrO2和IrO2/CoCH的电子态密度[70]; (h) Ni12P5/ZnP2异质结构的透射电子显微镜图像[71]; (i) N2吸附-脱附等温线(孔径分布曲线)[71]
Figure 9. (a) High-resolution transmission electron microscopy images of Co2P and Ni2P[38]; (b) schematic diagram of electron transfer based on BEF in Co2P-Ni2P/CC[38]; (c) high-resolution transmission electron microscopy images of plasma phosphorus-nitrogen doped NiCo foam[69]; (d) the HRTEM of CoO/Co [63]; (e) DOS and d-band centers of -CoO/Co(111), Co(111), v-CoO[63]; (f) the HRTEM images of heterostructure of IrO2/CoCH[70]; (g) the DOS of CoCH, IrO2 and IrO2/CoCH[70]; (h) the TEM images of the heterostructure of Ni12P5/ZnP2[71]; (i) N2 adsorption–desorption isotherms (BJH)[71].
表 1 不同低温非平衡等离子体的典型参数
Table 1. Typical plasma parameters in different low temperature non-equilibrium plasma.
-
[1] 陈晶亮, 熊源泉 2013 物理化学学报 29 205
Google Scholar
Tao J L, Xiong Y Q 2013 Acta Phy. Chim. Sin. 29 205
Google Scholar
[2] Ma Y B, Wang J, Yu J L, Zhou J W, Zhou X C, Li H X, He Z, Long H W, Wang Y H, Lu P Y, Yin J W, Sun H Y, Zhang Z C, Fan Z X 2021 Matter 4 888
Google Scholar
[3] Long S, Zhu J, Jing Y W, He S, Cheng L J, Shi Z 2023 Coatings 13 1917
Google Scholar
[4] Qiu C J, Jiang L L, Gao Y G, Sheng L Z 2023 Mater. Design 230 111952
Google Scholar
[5] Rosa V, Cameli F, Stefanidis G D, Van Geem K M 2024 Acc. Mater. Res. 5 1024
Google Scholar
[6] 张海宝, 陈强 2021 物理学报 70 095203
Google Scholar
Zhang H B, Chen Q 2021 Acta Phys. Sin. 70 095203
Google Scholar
[7] Yu F, Liu M C, Ma C H, Di L B, Dai B, Zhang L L 2019 Nanomaterials 9 1436
Google Scholar
[8] Tang J, Su C, Shao Z 2022 Energy Tech. 10 2200235
Google Scholar
[9] Luo Y, Wu Y H, Huang C, Menon C, Feng S P, Chu P K 2022 EcoMat 4 e12197
Google Scholar
[10] Ochkin V N 2009 Spectroscopy of Low Temperature Plasma (1st Ed.) (Hoboken: Wiley
[11] Laroussi M, Akan T 2007 Plasma Process. Polym. 4 777
Google Scholar
[12] Taccogna F, Dilecce G 2016 Eur. Phys. J. D 70 251
Google Scholar
[13] Arumugam S, Alex P, Sinha S K 2017 Physics of Plasmas 24 112106
Google Scholar
[14] Zhu X M, Chen W C, Zhang S, Guo Z G, Hu D W, Pu Y K 2007 J. Phys. D: Appl. Phys. 40 7019
Google Scholar
[15] 李和平, 聂秋月, 张晓菲, 包成玉 2014 中国科学: 物理学 力学 天文学 44 1157
Google Scholar
Li H P, Nie Q Y, Zhang X F, Bao C Y 2014 Sci. Sin. -Phys. Mech. Astron. 44 1157
Google Scholar
[16] 董丽芳, 杨玉杰, 范伟丽, 岳晗, 肖红 2010 物理学报 59 1917
Google Scholar
Dong L F, Yang Y J, Fan W L, Yu H, Wang S, Xiao H 2010 Acta Phys. Sin. 59 1917
Google Scholar
[17] 张晓星, 王宇非, 崔兆仑, 田远, 王浩 2021 电工技术学报 36 175
Zhang X X, Wang Y F, Cui H L, Tian Y, Wang H 2021 Trans. China Electrotech. Soc. 36 175
[18] Tran T N, Oanthavinsak B, Kado S, Matsuura H 2020 Plasma Sci. Technol. 22 115401
Google Scholar
[19] Kawamura E, Vahedi V, Lieberman M A, Birdsall C K 1999 Plasma Sources Sci. Technol. 8 R45
Google Scholar
[20] Hori M 2022 Rev. Mod. Plasma Phys. 6 36
Google Scholar
[21] Neyts E C 2016 Plasma Chem. Plasma Process 36 185
Google Scholar
[22] Fridman A 2008 Plasma Chemistry (Online-Ausg) (Cambridge: Cambridge University Press
[23] Galaly A R, Dawood N 2024 Heliyon 10 e24490
Google Scholar
[24] Seong I, Kim S, Lee Y, Cho C, Jeong W, You Y, Choi M, Choi B, You S 2023 Materials 16 3219
Google Scholar
[25] Li J, Ma C H, Zhu S J, Yu F, Dai B, Yang D Z 2019 Nanomaterials 9 1428
Google Scholar
[26] Lim J S, Kim R H, Hong Y J, Lamichhane P, Adhikari B C, Choi J, Choi E H 2020 Res. Phys. 19 103569
[27] Peter S, Pintaske R, Hecht G, Richter F 1993 J. Nucl. Mater. 200 412
Google Scholar
[28] Jiménez-Redondo M, Carrasco E, Herrero V J, Tanarro I 2015 Plasma Sources Sci. Technol. 24 015029
Google Scholar
[29] Park H, Choe W 2010 Current Appl. Phys. 10 1456
Google Scholar
[30] Wang C, Srivastava N 2010 Eur. Phys. J. D 60 465
Google Scholar
[31] Wei G, Li D Y, Zhao J R 2025 J. Vac. Sci. Technol. A 43 043001
[32] Ghimire B, Khanal R, Subedi D P 2014 Kathmandu Univ. J Sci. Eng. Technol. 10 20
Google Scholar
[33] Gillman E D, Tejero E, Blackwell D, Amatucci W E 2018 Rev. Sci. Instrum. 89 113505
Google Scholar
[34] Li G C, Li Y L, Dong J, Sun B X, Liu Z L, Zheng J, Li G L 2025 Adv. Funct. Mater. e15680
[35] Wang W B, Cao H J, Li G L 2023 Inorg. Chem. 62 10241
Google Scholar
[36] Xu S Y, Kang L, Cai J S, Tang S J 2018 AIP Adv. 8 115033
Google Scholar
[37] Sun W P, Xu Y, Yang L, Wen W D, Zhang H B, Yu X Y 2025 Small 21 2411215
Google Scholar
[38] Zhang J S, Zhang X L, Shi C, Yu X Y, Zhou Y T, Di L B 2024 Small 20 2406767
Google Scholar
[39] Chen H L, Zhao Q D, Gao L G, Ran J W, Hou Y 2019 ACS Sustainable Chem. Eng. 7 4247
Google Scholar
[40] Qi Q, Shao D, Zhou Y T, Wang Q, Yu X Y 2023 J. Mater. Chem. A 11 15663
Google Scholar
[41] Li G L, Wu X Q, Guo H, Guo Y R, Chen H, Wu Y, Zheng J, Li X G 2020 ACS Appl. Mater. Interfaces 12 5951
Google Scholar
[42] Ai R Q, Boukouvala C, Lewis G, Wang H, Zhang H, Lai Y H, Huang H, Ringe E, Shao L, Wang J F 2021 ACS Nano 15 9860
Google Scholar
[43] Meng L X, Zhou X L, Wang S Y, Zhou Y, Tian W, Kidkhunthod P, Tunmee S, Tang Y, Long R, Xin Y, Li L 2019 Angew. Chem. Int. Ed. 58 16668
Google Scholar
[44] Li G C, Niu M, An R Z, Zhang H Y, Sun B X, Li G L 2024 Inorg. Chem. 63 20792
Google Scholar
[45] Chen W X, Wei W, Wang K F, Zhang N, Chen G L, Hu Y J, Ostrikov K 2021 Nanoscale 13 6201
Google Scholar
[46] Zhang B A, Jiang Z Q, Shang X N, Li S S, Jiang Z J 2021 J. Mater. Chem. A 9 25934
Google Scholar
[47] Zheng J G, Xu A N, Wu A J, Li X D 2021 ACS Appl. Mater. Interfaces 13 21231
Google Scholar
[48] Liu Y L, Nan H Y, Wu X, Pan W, Wang W H, Bai J, Zhao W W, Sun L T, Wang X R, Ni Z H 2013 ACS Nano 7 4202
Google Scholar
[49] Pham P V, Mai T H, Do H B, Vasundhara M, Nguyen V H, Nguyen T, Bui H V, Dao V D, Gupta R K, Ponnusamy V K, Park J H 2024 Chem. Soc. Rev. 53 5190
Google Scholar
[50] Liu Y Q, Zhang M, Hu D, Li R Q, Hu K, Yan K 2019 ACS Appl. Energy Mater. 2 1162
Google Scholar
[51] Yan P, Yang T, Lin M X, Guo Y N, Qi Z P, Luo Q Q, Yu X Y 2023 Adv. Funct. Mater. 33 2301343
Google Scholar
[52] Wang K L, Zheng B C, Mackinder M, Baule N, Qiao H, Jin H, Schuelke T, Fan Q H 2019 Energy Storage Mater. 20 299
Google Scholar
[53] Zhang H Y, Ding H R, Wang W B, Zhao J M, Sun B X, Xia Y J, Li G L, Chang X H 2024 Mater. Today Energy 44 101623
Google Scholar
[54] Yan D F, Chen R, Xiao Z H, Wang S Y 2019 Electrochim. Acta 303 316
Google Scholar
[55] Dou S, Tao L, Wang R L, El Hankari S, Chen R, Wang S Y 2018 Adv. Mater. 30 1705850
Google Scholar
[56] Liang H F, Ming F W, Alshareef H N 2018 Adv. Energy Mater. 8 1801804
Google Scholar
[57] Zhu C Q, Li C L, Zheng M J, Delaunay J J 2015 ACS Appl. Mater. Interfaces 7 22355
Google Scholar
[58] Boruah P J, Khanikar R R, Bailung H 2020 Plasma Chem. Plasma Process. 40 1019
Google Scholar
[59] Liu X S, Liu P, Wang F F, Lv X B, Yang T, Tian W, Wang C H, Tan S, Ji J Y 2021 ACS Appl. Mater. Interfaces 13 41545
Google Scholar
[60] Yang T T, Zhang Z, Tan F, Liu H Y, Li X Y, Wang H Q, Yang Q 2024 Materials 18 121
Google Scholar
[61] Nunomura S 2023 J. Phys. D: Appl. Phys. 56 363002
Google Scholar
[62] Feng Y E, Chen W H, Zhao L, Jiang Z J, Tian X N, Jiang Z Q 2024 Small Methods 8 2400565
Google Scholar
[63] Ye L J, Chen W H, Jiang Z J, Jiang Z Q 2024 Carbon Energy 6 e457
Google Scholar
[64] Hu T T, Chen W H, Liu Y B, Gong L X, Jiang Z Q, Bhalothia D, Maiyalagan T, Jiang Z J 2023 Small 19 2304076
Google Scholar
[65] Van Helden J H, Van Den Oever P J, Kessels W M M, Van De Sanden M C M, Schram D C, Engeln R 2007 J. Phys. Chem. A 111 11460
Google Scholar
[66] Wu X Q, Guo Y R, Wang T, Sun B X, Liu Z L, Wu Y, Zhang S J, Zheng J, Li X G 2019 Chem. Commun. 55 4202
Google Scholar
[67] Lan X Z, Li G L, Jin R M, Li X Y, Zheng J 2022 Chemical Engineering Journal 450 138225
Google Scholar
[68] Dong L, Chang G R, Feng Y, Yao X Z, Yu X Y 2022 Rare Met. 41 1583
Google Scholar
[69] Chen G L, Xiang H Y, Guo Y C, Huang J, Chen W, Chen Z Y, Li T T, Ostrikov K (Ken) 2024 Carbon Energy 6 e522
Google Scholar
[70] Xie Y, Qiu J F, Chen G L, Guo Y C, Tang P S, He B 2024 Inorg. Chem. 63 15467
Google Scholar
[71] Fu Z, Jiang Z Q, Hu T T, Jiang Z J 2022 Electrochim. Acta 419 140392
Google Scholar
Catalog
Metrics
- Abstract views: 208
- PDF Downloads: 6
- Cited By: 0









DownLoad: