-
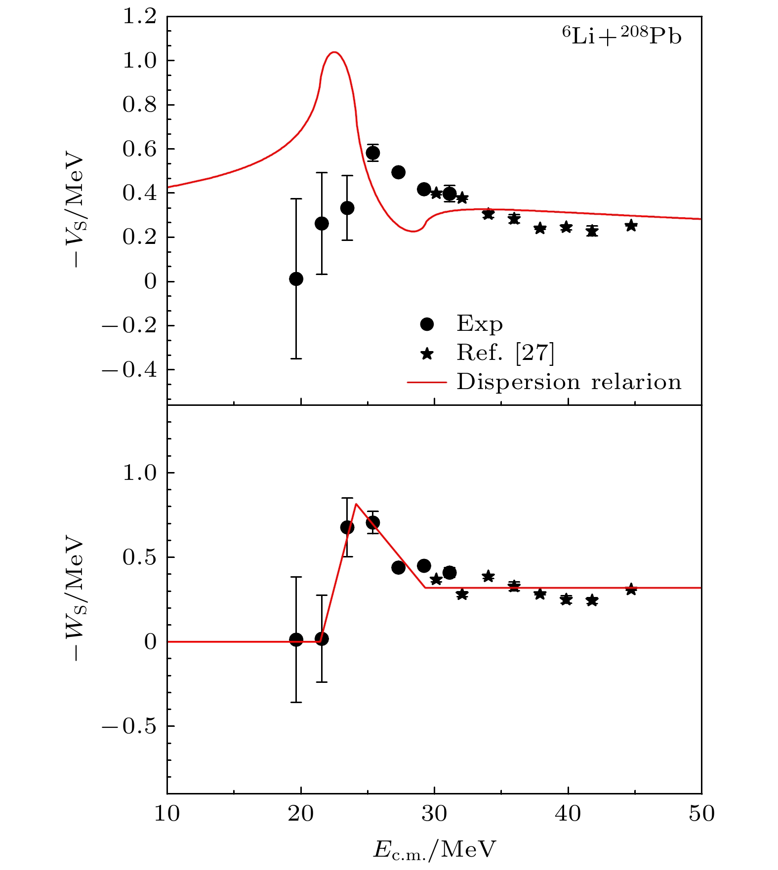
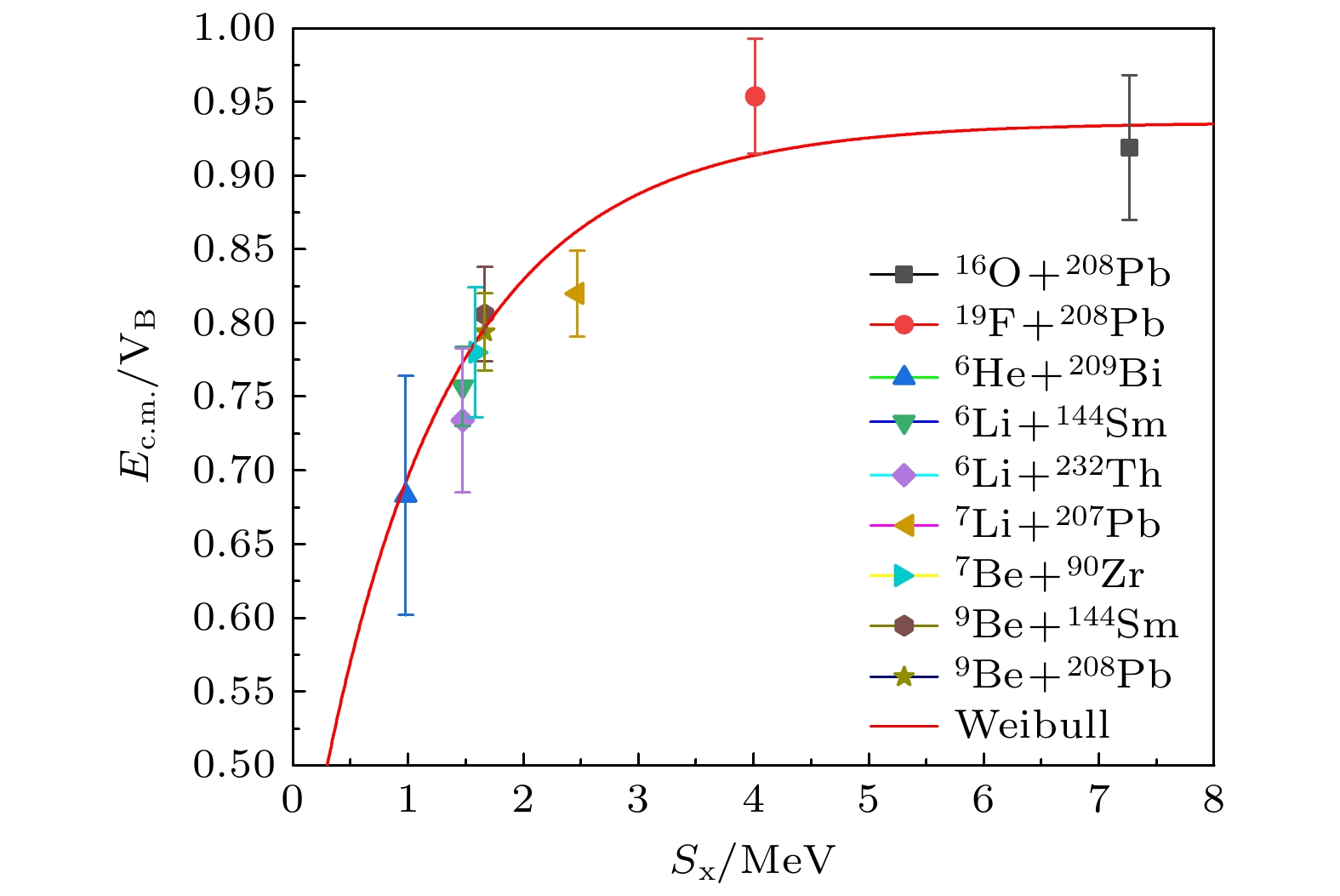
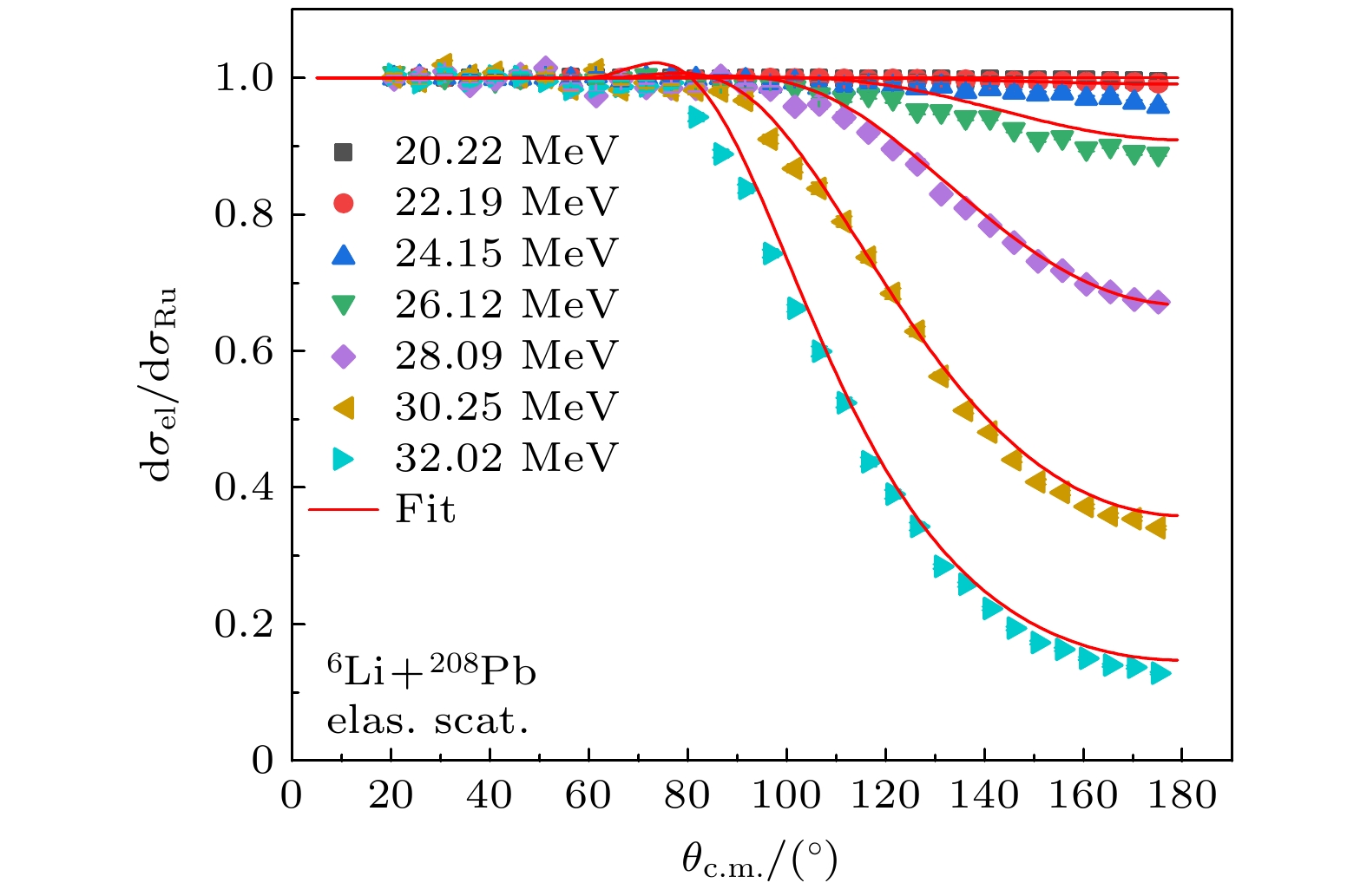
The optical potential is a key tool for describing interactions in nuclear collisions and is widely used in studies of nuclear reaction mechanisms. It is highly sensitive to nuclear structure, leading to distinct characteristics between weakly bound and tightly bound nuclear systems.For weakly bound nuclei such as 6Li, 9Be and 6He, the behavior of the optical potential remains controversial due to insuffcient experimental data at near-barrier and deep-barrier energies.In this work, elastic scattering angular distributions for the 6Li+208Pb system were measured at near-barrier and deep-barrier energies. Optical model fitting was employed to extract the optical potential parameters. The results indicate an anomalous threshold anomaly in the optical potential of this system, and the dispersion relation is not applicable.Furthermore, the reaction threshold for the 6Li+208Pb system was determined to be approximately 0.73VB based on deep-barrier data. A systematic analysis was also performed on the reaction thresholds and breakup thresholds of different nuclear systems.This work measured the optical potential of the 6Li+208Pb system at near-barrier and deep sub-barrier energies, providing data support for further investigation of the anomalous threshold anomaly.The datasets presented in this paper are openly available at https://www.doi.org/10.57760/sciencedb.j00213.00218 (Please use the private access link https://www.scidb.cn/s/URZNbe to access the dataset during the peer review process)
-
[1] Shen Q B, Han Y L, Guo H R 2009 Phys. Rev. C 80 024604
[2] Guo H R, Xu Y L, Liang H Y, Han Y L, Shen Q B 2014 Nucl. Phys. A 922 84
[3] Guo H R, Xu Y L, Han Y l, Shen Q B 2010 Phys. Rev. C 81 044617
[4] Guo H R, Zhang Y, Han Y L, Shen Q B 2009 Phys. Rev. C 79 064601
[5] Ma Y Q, Ma Z Y 2008 Acta Phys. Sin. 57 74(in Chinses)[马引群,马中玉2008物理学报57 74]
[6] Baeza A, Bilwes B, Bilwes R, Díaz J, Ferrero J 1984 Nucl. Phys. A 419 412
[7] Lilley J, Fulton B, Nagarajan M, Thompson I, Banes D 1985 Phys. Lett. B 151 181
[8] Nagarajan M A, Mahaux C C, Satchler G R 1985 Phys. Rev. Lett. 54 1136
[9] Passatore G 1967 Nucl. Phys. A 95 694
[10] Carlson B V, Frederico T, Hussein M S, Esbensen H, Landowne S 1990 Phys. Rev. C 41 933
[11] Nussenzveig H 1972 In Causality and Dispersion Relations (New York:Academic Press), pp 3-53
[12] Fukuda M, Ichihara T, Inabe N, Kubo T, Kumagai H, Nakagawa T, Yano Y, Tanihata I, Adachi M, Asahi K, Kouguchi M, Ishihara M, Sagawa H, Shimoura S 1991 Phys. Lett. B 268 339
[13] Tanihata I, Kobayashi T, Suzuki T, Yoshida K, Shimoura S, Sugimoto K, Matsuta K, Minamisono T, Christie W, Olson D, Wieman H 1992 Phys. Lett. B 287 307
[14] Suzuki T, Kanungo R, Bochkarev O, Chulkov L, Cortina D, Fukuda M, Geissel H, Hellström M, Ivanov M, Janik R, Kimura K, Kobayashi T, Korsheninnikov A, Münzenberg G, Nickel F, Ogloblin A, Ozawa A, Pfützner M, Pribora V, Simon H, Sitár B, Strmeň P, Sumiyoshi K, Sümmerer K, Tanihata I, Winkler M, Yoshida K 1999 Nucl. Phys. A 658 313
[15] Smedberg M, Baumann T, Aumann T, Axelsson L, Bergmann U, Borge M, Cortina-Gil D, Fraile L, Geissel H, Grigorenko L, Hellström M, Ivanov M, Iwasa N, Janik R, Jonson B, Lenske H, Markenroth K, Münzenberg G, Nilsson T, Richter A, Riisager K, Scheidenberger C, Schrieder G, Schwab W, Simon H, Sitar B, Strmen P, Sümmerer K, Winkler M, Zhukov M 1999 Phys. Lett. B 452 1
[16] Keeley N, Bennett S, Clarke N, Fulton B, Tungate G, Drumm P, Nagarajan M, Lilley J 1994 Nucl. Phys. A 571 326
[17] Figueira J M, Niello J O F, Arazi A, Capurro O A, Carnelli P, Fimiani L, Martí G V, Heimann D M, Negri A E, Pacheco A J, Lubian J, Monteiro D S, Gomes P R S 2010 Phys. Rev. C 81 024613
[18] Hussein M S, Gomes P R S, Lubian J, Chamon L C 2007 Phys. Rev. C 76 019902
[19] Yang L, Lin C J, Jia H M, Wang D X, Ma N R, Sun L J, Yang F, Xu X X, Wu Z D, Zhang H Q, Liu Z H 2017 Phys. Rev. Lett. 119 042503
[20] Fimiani L, Figueira J M, Martí G V, Testoni J E, Pacheco A J, Cárdenas W H Z, Arazi A, Capurro O A, Cardona M A, Carnelli P, de Barbará E, Hojman D, Martinez Heimann D, Negri A E 2012 Phys. Rev. C 86 044607
[21] Gómez Camacho A, Gomes P R S, Lubian J 2010 Phys. Rev. C 82 067601
[22] Thompson I J 1988 Comput. Phys. Rep. 7 167
[23] Igo G 1958 Phys. Rev. Lett. 1 72
[24] Cramer J G, DeVries R M 1980 Phys. Rev. C 22 91
[25] Roubos D, Pakou A, Alamanos N, Rusek K 2006 Phys. Rev. C 73 051603
[26] Michel F, Albinski J, Belery P, Delbar T, Grégoire G, Tasiaux B, Reidemeister G 1983 Phys. Rev. C 28 1904
[27] Zhang C L, Zhang H Q, Lin C J, Ruan M, Liu Z H, Yang F, Wu X K, Zhou P, An G P, Jia H M, Wu Z D, Xu X X, Bai C L 2006 Chin. Phys. Lett. 23 1146
[28] Mahaux C, Ngô H, Satchler G 1986 Nucl. Phys. A 449 354
[29] Lipperheide R, Schmidt A 1968 Nucl. Phys. A 112 65
[30] Pakou A, Alamanos N, Doukelis G, Gillibert A, Kalyva G, Kokkoris M, Kossionides S, Lagoyannis A, Musumarra A, Papachristodoulou C, Patronis N, Perdikakis G, Pierroutsakou D, Pollacco E C, Rusek K 2004 Phys. Rev. C 69 054602
[31] Szabó Z 2017 IEEE Trans. Microwave Theory Techn. 65 1150
[32] Yan C S 2019 Chin. Opt. 12 179(in Chinses)[阎春生2019中国光学12 179]
[33] Lin C J, Xu J C, Zhang H Q, Liu Z H, Yang F, Lu L X 2001 Phys. Rev. C 63 064606
[34] Dubey S, Mukherjee S, Biswas D C, Nayak B K, Patel D, Prajapati G K, Gupta Y K, Joshi B N, Danu L S, Mukhopadhyay S, John B V, Desai V V, Suryanarayana S V, Vind R P, Deshmukh N N, Appnnababu S, Prajapati P M 2014 Phys. Rev. C 89 014610
[35] Palli K, Pakou A, Moro A M, O'Malley P D, Acosta L, Sánchez-Benítez A M, Souliotis G, Aguilera E F, Andrade E, Godos D, Sgouros O, Soukeras V, Agodi C, Bailey T L, Bardayan D W, Boomershine C, Brodeur M, Cappuzzello F, Carmichael S, Cavallaro M, Dede S, Dueñas J A, Henning J, Lee K, Porter W S, Rivero F, von Seeger W 2023 Phys. Rev. C 107 064613
[36] So W Y, Udagawa T, Kim K S, Hong S W, Kim B T 2010 Phys. Rev. C 81 047604
[37] Huang Z J, Lin C J, Yang L, Jia H M, Ma N R, Wen P W, Yang F, Wang D Y, Luo T P, Chang C, Duan H R, Zhu S X, Yin C, Yang J H, Wang H R, Fan Z R, Fu L Y, Li H Y 2024 At. Energy Sci. Technol. 58 2255(in Chinses)[黄志杰,林承键,杨磊,贾会明,马南茹,温培威,杨峰,王丹英,骆天鹏, 常昶,段海锐,祝颂娴,尹诚,杨炅和,王浩睿,范泽睿,傅凌逸,李慧艳2024原子能科学技术58 2255]
Metrics
- Abstract views: 143
- PDF Downloads: 1
- Cited By: 0









下载: