-
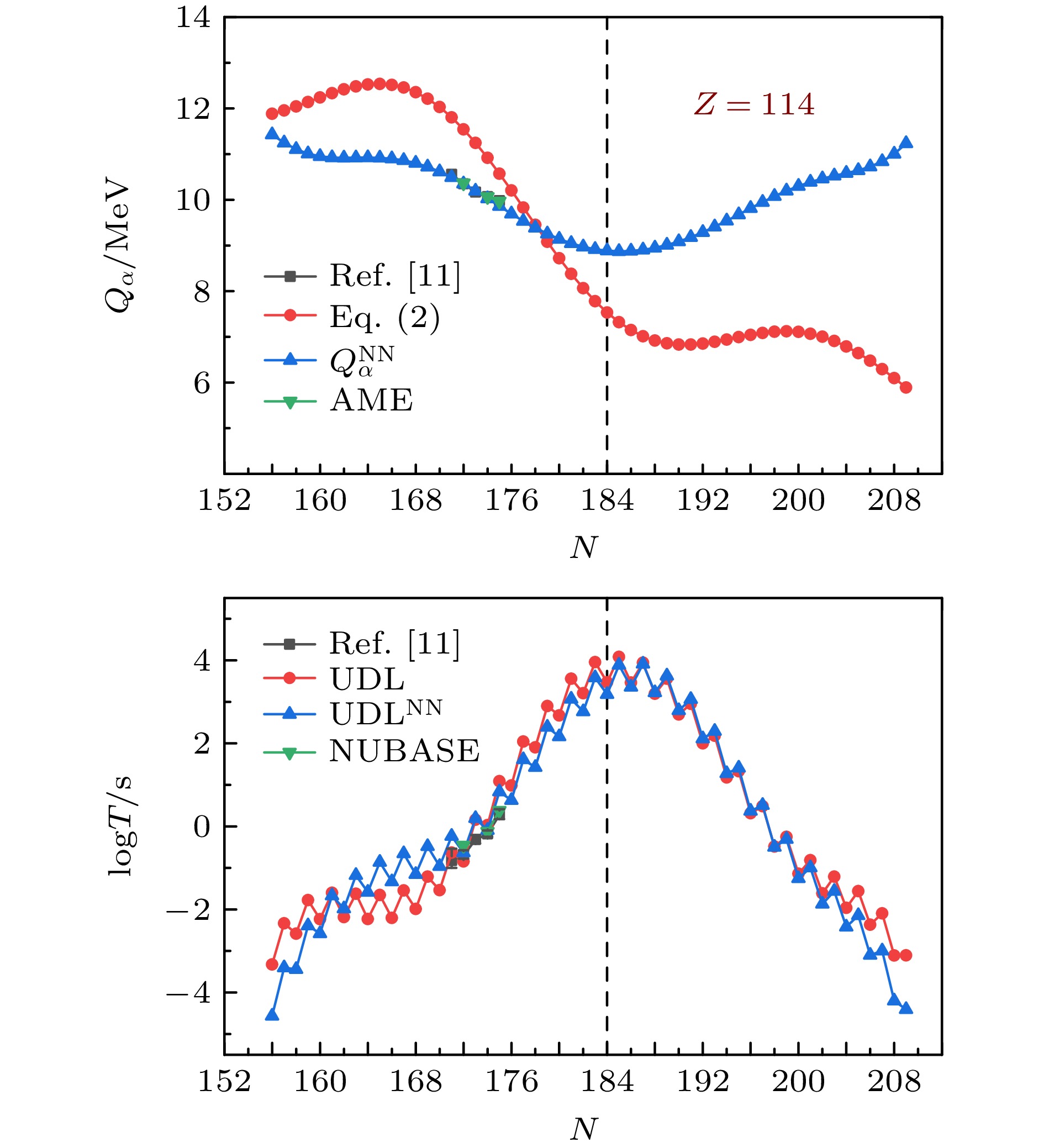
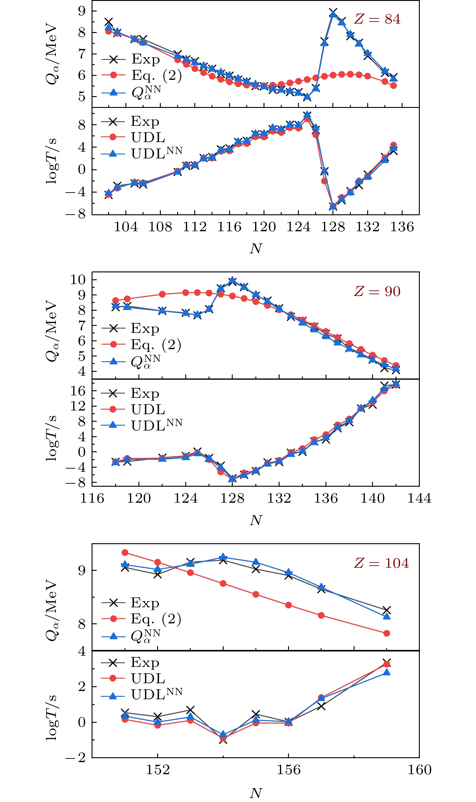
This study aims to develop a highly accurate method of predicting α-decay energy (Qα) of superheavy nuclei (SHN) and to identify the region of enhanced stability (the “island of stability”) based on α-decay properties. Improving the accuracy of Qα calculations is crucial for reliably predicting α-decay half-lives, which are essential for identifying newly synthesized superheavy elements. A modified liquid-drop model (LDM) formula for calculating Qα is proposed, eliminating explicit dependence on magic numbers to improve universality. However, the initial LDM formula alone yields a high root-mean-square deviation (RMSD) of 663.5 keV compared with experimental Qα values from the AME2016 database for 369 nuclei with Z ≥ 82. In order to significantly improve accuracy, a neural network (NN) method is combined with the LDM formula. For a feedforward backpropagation (BP) neural network with a 2-21-1 architecture (2 input neurons: proton number Z and mass number A; 21 hidden neurons; 1 output neuron), the correction term $ \text{δ}{{Q}}_{\text{α}} $ is developed. The network is trained using the Levenberg-Marquardt algorithm on a dataset of 369 nuclei (319 training, 50 validation). The final Qα prediction is given by $ Q_{\text{α}} ^{{\text{NN}}} = Q_{\text{α}} ^{{\text{Eq}}{\text{. (2)}}} + \delta Q_{\text{α}} ^{} $. The unified decay law (UDL) formula is then used to calculate α-decay half-lives (T1/2), with and without NN correction (denoted as UDL and UDLNN). The main results obtained are listed below. 1) Improved Qα accuracy: The NN correction dramatically reduces the RMSD between calculated and experimental Qα values from 663.5 keV (LDM alone) to 89.2 keV. 2) Capturing shell effects: Remarkably, although there is no explicit input of nuclear shell information, the NN-corrected Qα predictions clearly reproduce known shell structures, including the expected shell closure near N = 184 for superheavy nuclei. This is evident in the systematic lowering of predicted Qα values (implying increased stability) around the predicted doubly magic nucleus 298Fl (Z = 114, N = 184) and other known shell closures (e.g., N = 152, N = 162). 3) Half-life predictions: Using the NN-corrected Qα in the UDL formula (UDLNN) further refines T1/2 predictions, reducing the RMSD from 0.631 (UDL alone) to 0.423. The method reliably reproduces experimental half-lives and shell-related features, such as a significant increase in T1/2 near shell closure (e.g. N = 126) and odd-A/odd-odd nuclei due to blocking effects. 4) Validation: Predictions for recently synthesized neutron-deficient uranium isotopes 214,216,218U agree well with new experimental data of Qα and T1/2. Predictions for Fl isotopic chains also show good agreement with experimental trends. 5) Stability island prediction: Maps of predicted Qα and T1/2 in the superheavy region consistently identify minimum value (indicating maximum stability) near the theoretically predicted doube magic nucleus 298Fl. A potential secondary stability center near Z = 126 and N = 228 is suggested, but further verification is needed. The longest predicted region of T1/2 coincides with the N = 184 shell closure. The conclusions drawn from the above findings are as follows. Integrating a neural network with a modified liquid-drop model formula provides a powerful and accurate method for predicting α-decay energies (Qα) of heavy and superheavy nuclei. The NN successfully learns and corrects complex shell effects implicitly, significantly improving prediction accuracy (RMSD reduced by ~85%). By combining the UDL formula, this method yields reliable α-decay half-lives. The results strongly confirm the existence and location of the predicted “island of stability” centered on the double magic nucleus 298Fl, providing valuable theoretical guidance for future experiments on the synthesis and identification of superheavy elements. -
Keywords:
- superheavy nuclei /
- neural network /
- nuclear masses /
- α decay
[1] Akrawy D T, Poenaru D N 2017 J. Phys. G: Nucl. Part. Phys. 44 105105
Google Scholar
[2] Pahlavani M R, Joharifard M 2019 Phys. Rev. C 99 044601
Google Scholar
[3] Deng J G, Zhang H F 2020 Phys. Rev. C 102 044314
Google Scholar
[4] Khuyagbaatar J, Heßberger F P, Hofmann S, Ackermann D, Burkhard H G, Heinz S, Kindler B, Kojouharov I, Lommel B, Mann R, Maurer J, Nishio K 2020 Phys. Rev. C 102 044312
Google Scholar
[5] Olesen E, Nazarewicz W 2019 Phys. Rev. C 99 014317
Google Scholar
[6] Zhao T L, Bao X J 2018 Phys. Rev. C 98 064307
Google Scholar
[7] Oganessian Y T, Utyonkov V K, Lobanov Yu V, Abdullin F Sh, Polyakov A N, Sagaidak R N, Shirokovsky I V, Tsyganov Yu S, Voinov A A, Gulbekian G G, Bogomolov S L, Gikal B N, Mezentsev A N, Iliev S, Subbotin V G, Sukhov A M, Subotic K, Zagrebaev V I, Vostokin G K, Itkis M G 2006 Phys. Rev. C 74 044602
Google Scholar
[8] Inauguration of the factory of superheavy elements, http://www.jinr.ru/posts/inauguration-of-the-factory-of-superheavy-elements/, accessed: 2019-05-25.
[9] Hofmann S, Mnzenberg G 2000 Rev. Mod. Phys. 72 733
Google Scholar
[10] Sobiczewski A, Pomorski K 2007 Prog. Part. Nucl. Phys. 58 292
Google Scholar
[11] Oganessian Y T, Sobiczewski A, Ter-Akopian G M 2017 Phys. Scr. 92 023003
Google Scholar
[12] Oganessian Y T, Utyonkov V K 2015 Nucl. Phys. A 944 62
Google Scholar
[13] M oller P, Nix J R, Kartz K L 1997 At. Data Nucl. Data Tables 66 131
Google Scholar
[14] Chasman R. R, Ahmad I, Friedman A M, Erskine J R 1977 Rev. Mod. Phys. 49 833
Google Scholar
[15] Mayer M G 1948 Phys. Rev. 74 235
Google Scholar
[16] Haxel O, Jensen J H D, Suess H E 1949 Phys. Rev. 75 1766
Google Scholar
[17] Mayer M G 1949 Phys. Rev. 75 1969
Google Scholar
[18] Koura H, Tachibana T, Uno M, Yamada M 2005 Prog. Theor. Phys 113 305
Google Scholar
[19] Wang N, Liu M 2010 Phys. Rev. C 81 044322
Google Scholar
[20] Möller P, Sierk A J, Ichikawa T, Sagawa H 2016 At. Data Nucl. Data Tables 109 1
Google Scholar
[21] Goriely S, Chamel N, Pearson J M 2009 Phys. Rev. Lett. 102 152503
Google Scholar
[22] Goriely S, Hilaire S, Girod M, Péru S 2009 Phys. Rev. Lett. 102 242501
Google Scholar
[23] Zhao P W, Li Z P, Yao J M, Meng J 2010 Phys. Rev. C 82 054319.
Google Scholar
[24] Dong T, Ren Z 2010 Phys. Rev. C 82 034320
Google Scholar
[25] Wang M, Audi G, Kondev F G, Huang W J, Naimi S, Xu X 2017 Chin. Phys. C 41 030003
Google Scholar
[26] Geiger H, Nuttall J 1911 London Edinburgh Dublin Philos. Mag. J. Sci. 22 613
Google Scholar
[27] Wang Y Z, Wang S J, Hou Z Y, Gu J Z 2015 Phys. Rev. C 92 064301
Google Scholar
[28] Gazula S, Clark J, Bohr H 1992 Nucl. Phys. A 540 1
Google Scholar
[29] Gernoth K, Clark J, Prater J, Bohr H 1993 Phys. Lett. B 300 1
Google Scholar
[30] Gernoth K Clark J 1995 Neural Netw. 8 291
Google Scholar
[31] Athanassopoulos S, Mavrommatis E, Gernoth K A, Clark J W 2004 Nucl. Phys. A 743 222
Google Scholar
[32] Bayram T, Akkoyun S, Kara S O 2014 Ann. Nucl. Energy 63 172
Google Scholar
[33] Utama R, Piekarewicz J 2017 Phys. Rev. C 96 044308
Google Scholar
[34] Utama R, Piekarewicz J, Prosper H B 2016 Phys. Rev. C 93 014311
Google Scholar
[35] Zhang H F, Wang L H, Yin J P, Chen P H, Zhang H F 2017 J. Phys. G 44 045110
Google Scholar
[36] Niu Z M, Liang H Z 2018 Phys. Lett. B 778 48
Google Scholar
[37] Levenberg K 1944 Quart. Appl. Math 2 164
Google Scholar
[38] Marquardt D 1963 SIAM J. Appl. Math 11 431
Google Scholar
[39] Press W, Teukolsky S, Vetterling W, Flannery B 1992 Numerical Recipes in Fortran 77 (2nd Ed.) (Cambridge: Cambridge University Press) p678
[40] Xu C, Ren Z Z 2006 Phy. Rev. C 74 014304
Google Scholar
[41] Bao X J, Zhang H F, Zhang H F, Royer G, Li J Q 2014 Nucl. Phys. A 921 85
Google Scholar
[42] Long W H, Meng J, Zhou S G 2002 Phys. Rev. C 65 047306
Google Scholar
[43] Qi C, Xu F R, Liotta R J, Wyss R 2009 Phys. Rev. Lett. 103 072501
Google Scholar
[44] Qi C, Xu F R, Liotta R J, Wyss R, Zhang M Y, Asawatangtrakuldee C, Hu D 2009 Phys. Rev. C 80 044326
Google Scholar
[45] Ni D D, Ren Z Z, Dong T K, Xu C 2008 Phys. Rev. C 78 044310
Google Scholar
[46] Parkhomenko A, Sobiczewski A 2005 Acta Phys. Pol. B 36 1363
[47] Royer G 2000 J. Phys. G 26 1149
Google Scholar
[48] Zhao T L, Bao X J, Guo S Q 2018 J. Phys. G 45 025106
Google Scholar
[49] Zhang Z Y, Yang H B, Huang M H, Gan Z G, Yuan C X, Qi C, Andreyev A N, Liu M L, Ma L, Zhang M M, Tian Y L, Wang Y S, Wang J G, Yang C L, Li G S, Qiang Y H, Yang W Q, Chen R F, Zhang H B, Lu Z W, Xu X X, Duan L M, Yang H R, Huang W X, Liu Z, Zhou X H, Zhang Y H, Xu H S, Wang N, Zhou H B, Wen X J, Huang S, Hua W, Zhu L, Wang X, Mao Y C, He X T, Wang S Y, Xu W Z, Li H W, Ren Z Z, Zhou S G 2021 Phys. Rev. Lett. 126 152502
Google Scholar
[50] Wang N, Liu M, Wu X Z, Meng J 2014 Phys. Lett. B 734 215
Google Scholar
[51] Ma N N, Zhang H F, Bao X J, Zhang H F 2019 Chin. Phys. C 43 044105
Google Scholar
[52] Audi G, Kondev F G, Wang M, Huang W J, Naimi S 2017 Chin Phys. C 41 030001
Google Scholar
-
表 1 其他文献${\text{α}} $衰变能和半衰期与本文工作的计算结果进行了比较
Table 1. The ${\text{α}} $ decay energy and half-life of other reference are compared with the calculation results of the work in this paper.
表 2 母核质子数为Z = 120的同位素${\text{α}} $衰变链的预测. 第1列为母核, 第2列为文献[52]计算的${\text{α}} $衰变能量, 第3列为(2)式计算的${\text{α}} $衰变能量, 第4列为神经网络学习后的衰变能量, 第5列为使用(8)式计算的${\text{α}} $衰变半衰期, 第6列为使用神经网络学习后的${\text{α}} $衰变半衰期
Table 2. Prediction of the ${\text{α}} $ decay chains of isotopes with proton number Z = 120 in the parent nucleus. The first column in the table shows the parent nucleus, the second column shows the ${\text{α}} $ decay energy calculated in Ref. [52], the third column shows the decay energy calculated in Eq. (2), the fourth column shows the decay energy after neural network learning, the fifth column shows the ${\text{α}} $ decay half-life calculated using the Eq. (8), and the sixth column shows the ${\text{α}} $ decay half-life after learning using the neural network.
核素 $ Q_{\text{α}}^{\mathrm{L}\mathrm{Z}\mathrm{U}} $ $ Q_{\text{α}}^{\mathrm{E}\mathrm{q}. \left(2\right)} $ $ Q_{\text{α}}^{\mathrm{N}\mathrm{N}} $ UDL $ {\mathrm{U}\mathrm{D}\mathrm{L}}^{\mathrm{N}\mathrm{N}} $ 300120 13.05 9.83 13.03 –5.45 –5.59 296118 11.89 9.85 11.75 –3.21 –3.35 292116 10.64 10.34 10.08 –1.44 –1.57 288114 9.82 10.92 10.03 0.03 –0.09 284112 10.18 11.14 9.61 0.59 0.47 280110 10.04 10.74 10.63 –2.88 –3.19 302120 12.81 9.63 13.31 –6.05 –6.43 298118 11.86 9.34 11.85 –3.48 –3.86 294116 10.59 9.62 10.66 –1.12 –1.49 290114 9.56 10.20 9.69 0.99 0.63 286112 9.23 10.64 9.01 2.45 2.10 282110 9.52 10.56 10.34 –2.16 –2.74 304120 12.66 9.57 13.64 –6.73 –7.25 300118 11.75 8.97 12.04 –3.94 –4.46 296116 10.56 8.98 10.62 –1.03 –1.54 292114 9.18 9.45 9.39 1.91 1.43 288112 8.95 10.01 8.43 4.43 3.99 284110 8.48 10.21 9.94 –1.09 –1.84 306120 13.29 9.61 13.99 –7.41 –8.01 302118 11.65 8.76 12.29 –4.54 –5.13 298116 10.63 8.45 10.66 –1.17 –1.74 294114 8.85 8.72 9.14 2.67 2.16 290112 8.49 9.28 7.91 6.41 6.00 286110 8.12 9.71 9.43 0.35 –0.51 308120 13.07 9.73 14.32 –8.05 –8.68 304118 12.36 8.69 12.59 –5.20 –5.82 300116 10.57 8.08 10.77 –1.49 –2.06 296114 8.53 8.07 8.97 3.21 2.77 292112 8.30 8.52 7.49 8.17 7.87 288110 7.68 9.06 8.86 2.16 1.12 310120 11.61 9.85 14.60 –8.57 –9.21 306118 12.61 8.73 12.89 –5.86 –6.46 302116 11.37 7.85 10.93 –1.94 –2.44 298114 8.32 7.53 8.89 3.47 3.18 294112 7.96 7.78 7.20 9.44 9.26 290110 7.56 8.33 8.26 4.24 2.91 -
[1] Akrawy D T, Poenaru D N 2017 J. Phys. G: Nucl. Part. Phys. 44 105105
Google Scholar
[2] Pahlavani M R, Joharifard M 2019 Phys. Rev. C 99 044601
Google Scholar
[3] Deng J G, Zhang H F 2020 Phys. Rev. C 102 044314
Google Scholar
[4] Khuyagbaatar J, Heßberger F P, Hofmann S, Ackermann D, Burkhard H G, Heinz S, Kindler B, Kojouharov I, Lommel B, Mann R, Maurer J, Nishio K 2020 Phys. Rev. C 102 044312
Google Scholar
[5] Olesen E, Nazarewicz W 2019 Phys. Rev. C 99 014317
Google Scholar
[6] Zhao T L, Bao X J 2018 Phys. Rev. C 98 064307
Google Scholar
[7] Oganessian Y T, Utyonkov V K, Lobanov Yu V, Abdullin F Sh, Polyakov A N, Sagaidak R N, Shirokovsky I V, Tsyganov Yu S, Voinov A A, Gulbekian G G, Bogomolov S L, Gikal B N, Mezentsev A N, Iliev S, Subbotin V G, Sukhov A M, Subotic K, Zagrebaev V I, Vostokin G K, Itkis M G 2006 Phys. Rev. C 74 044602
Google Scholar
[8] Inauguration of the factory of superheavy elements, http://www.jinr.ru/posts/inauguration-of-the-factory-of-superheavy-elements/, accessed: 2019-05-25.
[9] Hofmann S, Mnzenberg G 2000 Rev. Mod. Phys. 72 733
Google Scholar
[10] Sobiczewski A, Pomorski K 2007 Prog. Part. Nucl. Phys. 58 292
Google Scholar
[11] Oganessian Y T, Sobiczewski A, Ter-Akopian G M 2017 Phys. Scr. 92 023003
Google Scholar
[12] Oganessian Y T, Utyonkov V K 2015 Nucl. Phys. A 944 62
Google Scholar
[13] M oller P, Nix J R, Kartz K L 1997 At. Data Nucl. Data Tables 66 131
Google Scholar
[14] Chasman R. R, Ahmad I, Friedman A M, Erskine J R 1977 Rev. Mod. Phys. 49 833
Google Scholar
[15] Mayer M G 1948 Phys. Rev. 74 235
Google Scholar
[16] Haxel O, Jensen J H D, Suess H E 1949 Phys. Rev. 75 1766
Google Scholar
[17] Mayer M G 1949 Phys. Rev. 75 1969
Google Scholar
[18] Koura H, Tachibana T, Uno M, Yamada M 2005 Prog. Theor. Phys 113 305
Google Scholar
[19] Wang N, Liu M 2010 Phys. Rev. C 81 044322
Google Scholar
[20] Möller P, Sierk A J, Ichikawa T, Sagawa H 2016 At. Data Nucl. Data Tables 109 1
Google Scholar
[21] Goriely S, Chamel N, Pearson J M 2009 Phys. Rev. Lett. 102 152503
Google Scholar
[22] Goriely S, Hilaire S, Girod M, Péru S 2009 Phys. Rev. Lett. 102 242501
Google Scholar
[23] Zhao P W, Li Z P, Yao J M, Meng J 2010 Phys. Rev. C 82 054319.
Google Scholar
[24] Dong T, Ren Z 2010 Phys. Rev. C 82 034320
Google Scholar
[25] Wang M, Audi G, Kondev F G, Huang W J, Naimi S, Xu X 2017 Chin. Phys. C 41 030003
Google Scholar
[26] Geiger H, Nuttall J 1911 London Edinburgh Dublin Philos. Mag. J. Sci. 22 613
Google Scholar
[27] Wang Y Z, Wang S J, Hou Z Y, Gu J Z 2015 Phys. Rev. C 92 064301
Google Scholar
[28] Gazula S, Clark J, Bohr H 1992 Nucl. Phys. A 540 1
Google Scholar
[29] Gernoth K, Clark J, Prater J, Bohr H 1993 Phys. Lett. B 300 1
Google Scholar
[30] Gernoth K Clark J 1995 Neural Netw. 8 291
Google Scholar
[31] Athanassopoulos S, Mavrommatis E, Gernoth K A, Clark J W 2004 Nucl. Phys. A 743 222
Google Scholar
[32] Bayram T, Akkoyun S, Kara S O 2014 Ann. Nucl. Energy 63 172
Google Scholar
[33] Utama R, Piekarewicz J 2017 Phys. Rev. C 96 044308
Google Scholar
[34] Utama R, Piekarewicz J, Prosper H B 2016 Phys. Rev. C 93 014311
Google Scholar
[35] Zhang H F, Wang L H, Yin J P, Chen P H, Zhang H F 2017 J. Phys. G 44 045110
Google Scholar
[36] Niu Z M, Liang H Z 2018 Phys. Lett. B 778 48
Google Scholar
[37] Levenberg K 1944 Quart. Appl. Math 2 164
Google Scholar
[38] Marquardt D 1963 SIAM J. Appl. Math 11 431
Google Scholar
[39] Press W, Teukolsky S, Vetterling W, Flannery B 1992 Numerical Recipes in Fortran 77 (2nd Ed.) (Cambridge: Cambridge University Press) p678
[40] Xu C, Ren Z Z 2006 Phy. Rev. C 74 014304
Google Scholar
[41] Bao X J, Zhang H F, Zhang H F, Royer G, Li J Q 2014 Nucl. Phys. A 921 85
Google Scholar
[42] Long W H, Meng J, Zhou S G 2002 Phys. Rev. C 65 047306
Google Scholar
[43] Qi C, Xu F R, Liotta R J, Wyss R 2009 Phys. Rev. Lett. 103 072501
Google Scholar
[44] Qi C, Xu F R, Liotta R J, Wyss R, Zhang M Y, Asawatangtrakuldee C, Hu D 2009 Phys. Rev. C 80 044326
Google Scholar
[45] Ni D D, Ren Z Z, Dong T K, Xu C 2008 Phys. Rev. C 78 044310
Google Scholar
[46] Parkhomenko A, Sobiczewski A 2005 Acta Phys. Pol. B 36 1363
[47] Royer G 2000 J. Phys. G 26 1149
Google Scholar
[48] Zhao T L, Bao X J, Guo S Q 2018 J. Phys. G 45 025106
Google Scholar
[49] Zhang Z Y, Yang H B, Huang M H, Gan Z G, Yuan C X, Qi C, Andreyev A N, Liu M L, Ma L, Zhang M M, Tian Y L, Wang Y S, Wang J G, Yang C L, Li G S, Qiang Y H, Yang W Q, Chen R F, Zhang H B, Lu Z W, Xu X X, Duan L M, Yang H R, Huang W X, Liu Z, Zhou X H, Zhang Y H, Xu H S, Wang N, Zhou H B, Wen X J, Huang S, Hua W, Zhu L, Wang X, Mao Y C, He X T, Wang S Y, Xu W Z, Li H W, Ren Z Z, Zhou S G 2021 Phys. Rev. Lett. 126 152502
Google Scholar
[50] Wang N, Liu M, Wu X Z, Meng J 2014 Phys. Lett. B 734 215
Google Scholar
[51] Ma N N, Zhang H F, Bao X J, Zhang H F 2019 Chin. Phys. C 43 044105
Google Scholar
[52] Audi G, Kondev F G, Wang M, Huang W J, Naimi S 2017 Chin Phys. C 41 030001
Google Scholar
-
19-20250720Suppl.pdf
Catalog
Metrics
- Abstract views: 1321
- PDF Downloads: 55
- Cited By: 0









DownLoad: