-
Introducing nano heterogeneous phases into YBa2Cu3O7–δ (YBCO) superconducting films is a common way to improve its flux pinning properties and in-field performances. The heterogeneous phases generated through traditional element doping strategies is highly sensitive to the sintering conditions, making the growth of the nano inclusions difficult to control under high-temperature environments. Unintended large-scale growth and aggregation of the doped phases can significantly reduce the efficiency of flux pinning of YBCO superconducting films, thereby limiting the overall enhancement of pinning performance in superconducting thin films. This occurs because the size of the vortex core (≈2ξ) cannot be effectively matched with excessively large defects. To address this challenge, the incorporation of monodisperse, small-sized prefabricated nanocrystals into YBCO superconducting coated conductors fabricated by the metal organic deposition (MOD) method offers an effective solution. This method can significantly improve the uniformity of heterogeneous phase size and spatial distribution, enabling the formation of dispersed and size-controllable artificial flux pinning centers. Such a strategy represents one of the most promising methods of enhancing magnetic flux pinning and increasing the critical current density under applied magnetic fields through MOD route. In this study, the prefabricated nanocrystals addition technology is adopted to introduce the mono-dispersed small-sized BaZrO3 (BZO) nanocrystals as flux pinning centers in YBCO high-temperature superconducting tapes, resulting in the significant enhancement of the in-field performance of YBCO films at low temperatures. This study systematically examines the effects of adding BZO nanocrystals with an initial size of approximately 8 nm at various mol concentrations from 4% to 10%. The results indicate that the optimal mole concentration for improving both self-field and field properties of YBCO is 8% BZO under temperature conditions of 4.2, 30, and 77 K. At 30 K and 3 T, the Fp value for the sample with a mole concentration of 8% BZO is approximately 92.06 GN/m3, which is 1.54 times higher than that of the mole concentration of 4% BZO sample and 2.3 times higher than that of the original sample.
-
Keywords:
- YBa2Cu3O7–δ /
- flux pinning /
- BaZrO3 addition /
- critical current
[1] Obradors X, Puig T 2014 Supercond. Sci. Technol. 27 044003
Google Scholar
[2] Kwok W K, Welp U, Glatz A, Koshelev A E, Kihlstrom K J, Crabtree G W 2016 Rep. Prog. Phys. 79 116501
Google Scholar
[3] MacManus-Driscoll J L, Foltyn S R, Jia Q X, et al. 2004 Nat. Mater. 3 439
Google Scholar
[4] Foltyn S R, Civale L, MacManus-Driscoll J L, Jia Q X, Maiorov B, Wang H, Maley M 2007 Nat. Mater. 6 631
Google Scholar
[5] Maiorov B, Baily S A, Zhou H, et al. 2009 Nat. Mater. 8 398
Google Scholar
[6] Zhang S, Xu S, Fan Z, Jiang P, Han Z, Yang G, Chen Y 2018 Supercond. Sci. Technol. 31 125002
Google Scholar
[7] Araki T, Hirabayashi I 2003 Supercond. Sci. Technol. 16 R71
Google Scholar
[8] Matias V, Rowley E J, Coulter Y, Maiorov B, Holesinger T, Yung C, Glyantsev V, Moeckly B 2010 Supercond. Sci. Technol. 23 014018
Google Scholar
[9] Li Z, Coll M, Mundet B, et al. 2019 Sci. Rep. 9 5828
Google Scholar
[10] Miura M, Yoshizumi M, Izumi T, Shiohara Y 2010 Supercond. Sci. Technol. 23 014013
Google Scholar
[11] Miura M, Maiorov B, Balakirev F F, Kato T, Sato M, Takagi Y, Izumi T, Civale L 2016 Sci. Rep. 6 20436
Google Scholar
[12] Tinkham M, Emery V 1996 Phys. Today 49 74
Google Scholar
[13] Rijckaert H, Pollefeyt G, Sieger M, et al. 2017 Chem. Mater. 29 6104
Google Scholar
[14] Díez-Sierra J, López-Domínguez P, Rijckaert H, et al. 2020 ACS Appl. Nano Mater. 3 5542
Google Scholar
[15] Huang R, Chen J, Liu Z, Dou W, Zhang N, Cai C 2023 Supercond. Sci. Technol. 36 125002
Google Scholar
[16] Yang L, Huang R, Zhou X, Chen J, Liu Z, Li M, Wang G, Cai C 2024 Supercond. Sci. Technol. 37 065017
Google Scholar
[17] Obradors X, Puig T, Li Z, et al. 2018 Supercond. Sci. Technol. 31 044001
Google Scholar
[18] Fan F, Lu Y, Liu Z, Zhou D, Guo Y, Bai C, Li M, Cai C 2020 Supercond. Sci. Technol. 33 055003
Google Scholar
[19] Chen J, Huang R, Zhou D, Li M, Bai C, Liu Z, Cai C 2022 J. Eur. Ceram. Soc. 42 6542
Google Scholar
[20] Chen J, Zhou X, Huang R, Li M, Liu Z, Cai C 2024 Thin Solid Films 804 140502
Google Scholar
-
图 1 (a) BZO纳米晶的TEM图像; (b) XRD图谱; (c) 平均粒径为(8 ± 2) nm的粒径分布曲线; (d) BZO纳米晶在乙醇和YBCO前驱体溶液中的动态光散射(DLS)粒径分布曲线
Figure 1. (a) TEM image of BZO nanocrystals; (b) XRD pattern; (c) size distribution profile indicating an average particle size of (8 ± 2) nm; (d) dynamic light scattering (DLS) particle size distribution curves of BZO nanocrystals in ethanol and YBCO precursor solutions.
图 2 (a) 不同BZO浓度下BZO-YBCO膜的XRD谱图; (b) 添加摩尔百分比浓度为10% BZO纳米晶的YBCO膜的(005)-ω扫描图和(c) (103)-φ扫描图; (d) 添加不同BZO浓度下面外ω-(005)扫描图和面内φ-(103) YBCO膜的FWHM图
Figure 2. (a) The XRD patterns of the BZO-YBCO films with different BZO concentrations and (b) the (005)-ω scan and (c) (103)-φ scan of the BZO nanocrystal added YBCO film with 0.10 mol/mol; (d) FWHM of out-of-plane ω-(005) scan and in-plane φ-(103) YBCO films added with different BZO concentrations.
图 3 YBCO纳米复合膜的组成与微观结构 (a) TEM横截面图; (b), (c) 高分辨率TEM图像(显示YBCO基体内孤立的、随机取向的BZO颗粒); (d) 粗化前后BZO纳米晶的粒径分布
Figure 3. Composition and microstructure of the YBCO nanocomposite film: (a) TEM cross-sectional image; (b), (c) high-resolution TEM image showing isolated, randomly oriented BaZrO3 particles within the YBCO matrix; (d) particle size distribution comparison of BZO nanocrystals before and after coarsening.
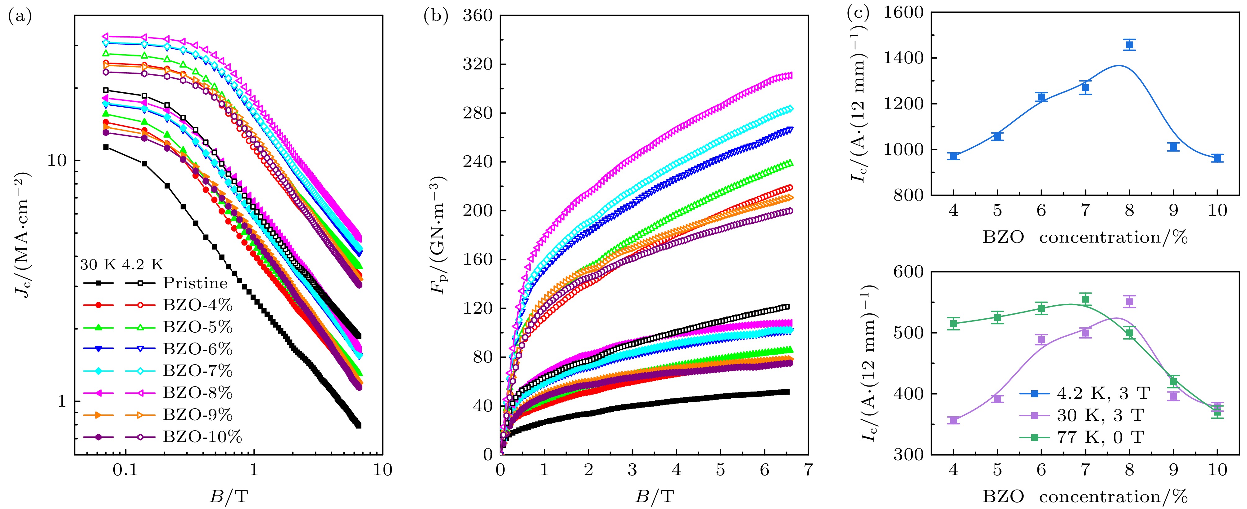
图 5 不同温度下添加不同浓度BZO纳米晶的YBCO薄膜的临界电流密度(Jc)和钉扎力(Fp)随磁场的变化 (a) 4.2 K; (b) 30 K. (c) 不同温度和磁场条件下加入不同浓度BZO的YBCO薄膜的临界电流(Ic)的变化趋势
Figure 5. Variation of critical current density (Jc) and pinning force (Fp) with magnetic field for YBCO films with different concentrations of BZO nanocrystals at various temperatures: (a) 4.2 K; (b) 30 K. (c) Variation trend of critical current (Ic) for YBCO films with different concentrations of BZO addition under various temperatures and magnetic field conditions.
-
[1] Obradors X, Puig T 2014 Supercond. Sci. Technol. 27 044003
Google Scholar
[2] Kwok W K, Welp U, Glatz A, Koshelev A E, Kihlstrom K J, Crabtree G W 2016 Rep. Prog. Phys. 79 116501
Google Scholar
[3] MacManus-Driscoll J L, Foltyn S R, Jia Q X, et al. 2004 Nat. Mater. 3 439
Google Scholar
[4] Foltyn S R, Civale L, MacManus-Driscoll J L, Jia Q X, Maiorov B, Wang H, Maley M 2007 Nat. Mater. 6 631
Google Scholar
[5] Maiorov B, Baily S A, Zhou H, et al. 2009 Nat. Mater. 8 398
Google Scholar
[6] Zhang S, Xu S, Fan Z, Jiang P, Han Z, Yang G, Chen Y 2018 Supercond. Sci. Technol. 31 125002
Google Scholar
[7] Araki T, Hirabayashi I 2003 Supercond. Sci. Technol. 16 R71
Google Scholar
[8] Matias V, Rowley E J, Coulter Y, Maiorov B, Holesinger T, Yung C, Glyantsev V, Moeckly B 2010 Supercond. Sci. Technol. 23 014018
Google Scholar
[9] Li Z, Coll M, Mundet B, et al. 2019 Sci. Rep. 9 5828
Google Scholar
[10] Miura M, Yoshizumi M, Izumi T, Shiohara Y 2010 Supercond. Sci. Technol. 23 014013
Google Scholar
[11] Miura M, Maiorov B, Balakirev F F, Kato T, Sato M, Takagi Y, Izumi T, Civale L 2016 Sci. Rep. 6 20436
Google Scholar
[12] Tinkham M, Emery V 1996 Phys. Today 49 74
Google Scholar
[13] Rijckaert H, Pollefeyt G, Sieger M, et al. 2017 Chem. Mater. 29 6104
Google Scholar
[14] Díez-Sierra J, López-Domínguez P, Rijckaert H, et al. 2020 ACS Appl. Nano Mater. 3 5542
Google Scholar
[15] Huang R, Chen J, Liu Z, Dou W, Zhang N, Cai C 2023 Supercond. Sci. Technol. 36 125002
Google Scholar
[16] Yang L, Huang R, Zhou X, Chen J, Liu Z, Li M, Wang G, Cai C 2024 Supercond. Sci. Technol. 37 065017
Google Scholar
[17] Obradors X, Puig T, Li Z, et al. 2018 Supercond. Sci. Technol. 31 044001
Google Scholar
[18] Fan F, Lu Y, Liu Z, Zhou D, Guo Y, Bai C, Li M, Cai C 2020 Supercond. Sci. Technol. 33 055003
Google Scholar
[19] Chen J, Huang R, Zhou D, Li M, Bai C, Liu Z, Cai C 2022 J. Eur. Ceram. Soc. 42 6542
Google Scholar
[20] Chen J, Zhou X, Huang R, Li M, Liu Z, Cai C 2024 Thin Solid Films 804 140502
Google Scholar
Catalog
Metrics
- Abstract views: 1628
- PDF Downloads: 47
- Cited By: 0









DownLoad:
