-
Multiferroic tunnel junctions (MFTJs), characterized by a ferroelectric barrier encapsulated between two ferromagnetic electrodes, represent a highly promising platform for next-generation nonvolatile memory applications. The recent discovery of intrinsic ferromagnetism and ferroelectricity in van der Waals (vdW) materials further provides a compelling material foundation for constructing multifunctional MFTJs based on vdW heterostructures. In this paper, aiming at high-performance and multifunctional van der Waals multiferroic tunnel junctions (vdW-MFTJs) devices, we investigate the spin-dependent transport properties of vdW-MFTJs with a bilayer VTe2 sliding ferroelectric barrier and Fe3GaTe2/Fe3GeTe2 magnetic electrodes by using first-principles calculations based on density functional theory (DFT). Our results reveal that multiple non-volatile resistance states can be achieved by controlling the polarization direction of the ferroelectric barrier and the magnetization configuration of the ferromagnetic electrodes in the Fe3GaTe2/bilayer VTe2/Fe3GeTe2 MFTJs. Specifically, when the double-layer ferroelectric material VTe2 undergoes relative interlayer slippage, the polarization of the ferroelectric barrier switches from a left-oriented state (P←) to a right-oriented state (P→). Consequently, the tunneling magnetoresistance (TMR) ratio at the Fermi level increases from 7.27×105% to 1.01×106%. Moreover, switching the magnetization configuration of the ferromagnetic electrodes from parallel alignment (M↑↑) to antiparallel alignment (M↑↓) leads to an almost twofold increase in the tunneling electroresistance (TER) ratio. Furthermore, nearly 100% spin filtering efficiency is observed in all four non-volatile resistance states of the MFTJs. These findings demonstrate that the engineered Fe3GaTe2/bilayer VTe2/Fe3GeTe2 MFTJs hold promising potential applications in multi-state non-volatile memory and spin filters, providing a versatile platform for developing multifunctional electronic devices.
-
Keywords:
- multi-ferroiron tunnel junctions /
- quantum transport /
- spin filtration /
- non-volatile resistors
[1] Theis T N, Wong H S P 2017 Comput. Sci. Eng. 19 41
Google Scholar
[2] Lundstrom M S, Alam M A 2022 Science 378 722
Google Scholar
[3] Wong H S P, Salahuddin S 2015 Nat. Nanotechnol. 10 191
Google Scholar
[4] Lanigan-Atkins T, He X, Krogstad M, et al. 2021 Nat. Mater. 20 977
Google Scholar
[5] Behin-Aein B, Datta D, Salahuddin S, Datta S 2010 Nat. Nanotechnol. 5 266
Google Scholar
[6] Apalkov D, Khvalkovskiy A, Watts S, et al. 2013 JETC 9 1
[7] Wadley P, Howells B, Železnỳ J, et al. 2016 Science 351 587
Google Scholar
[8] Manchon A, Železnỳ J, Miron I M, Jungwirth T, Sinova J, Thiaville A, Garello K, Gambardella P 2019 Rev. Mod. Phys. 91 035004
Google Scholar
[9] Dieny B, Prejbeanu I L, Garello K, et al. 2020 Nat. Electron. 3 446
Google Scholar
[10] 张明媚, 郭亚涛, 付旭日, 李梦蕾, 任宝藏, 郑军, 袁瑞玚 2023 物理学报 72 157202
Google Scholar
Zhang M M, Guo Y T, Fu X R, Li M L, Ren B C, Jun Z, Yuan R Y 2023 Acta Phys. Sin. 72 157202
Google Scholar
[11] Velev J P, Duan C G, Burton J, Smogunov A, Niranjan M K, Tosatti E, Jaswal S, Tsymbal E Y 2009 Nano Lett. 9 427
Google Scholar
[12] Barrionuevo D, Zhang L, Ortega N, Sokolov A, Kumar A, Misra P, Scott J, Katiyar R 2014 Nano Nanotechnol. 25 495203
[13] Merodio P, Kalitsov A, Chshiev M, Velev J 2016 Phys. Rev. Appl. 5 064006
Google Scholar
[14] Manipatruni S, Nikonov D E, Lin C C, Gosavi T A, Liu H, Prasad B, Huang Y L, Bonturim E, Ramesh R, Young I A 2019 Nature 565 35
Google Scholar
[15] Guo X H, Zhu L, Cao Z L, Yao K L 2024 PCCP 26 3531
Google Scholar
[16] Ruixia Y, Xujin Z, Jianhua X, Zhi Y, Fang W, Xiaohong X 2025 Chin. Phys. Lett. 42 070705
Google Scholar
[17] Zhang J, Yu P 2013 J. Chin. Ceram. Soc. 41 905
[18] Yin Y, Li Q 2017 J. Materiomics 3 245
Google Scholar
[19] Zhang Y, Li X, Sheng J, Yu S, Zhang J, Su Y 2023 Appl. Phys. Lett. 123 192402
[20] Lei Y, Xu Y, Wang M, Zhu G, Jin Z 2021 Small 17 2005495
Google Scholar
[21] 吴燕飞, 朱梦媛, 赵瑞杰, 刘心洁, 赵云驰, 魏红祥, 张静言, 郑新奇, 申见昕, 黄河, 王守国 2022 物理学报 71 048502
Google Scholar
Wu Y F, Zhu M Y, Zhao R J, Liu X J, Zhao Y C, Wei H X, Zhang J Y, Zheng X Q, Shen J X, Huang H, Wang S G 2022 Acta. Phys. Sin. 71 048502
Google Scholar
[22] Zheng C, Yu L, Zhu L, et al. 2018 Sci. Adv 4 eaar7720
Google Scholar
[23] Liu F, You L, Seyler K L, et al. 2016 Nat. Commun. 7 1
[24] Feng Y, Han J, Zhang K, Lin X, Gao G, Yang Q, Meng S 2024 Phys. Rev. B 109 085433
Google Scholar
[25] Deng Y, Yu Y, Song Y, et al. 2018 Nature 563 94
Google Scholar
[26] Ke J, Yang M, Xia W, et al. 2020 JPCM 32 405805
[27] Huang M, Ma Z, Wang S, et al. 2021 2D Mater. 8 031003
[28] Jiang P, Wang C, Chen D, Zhong Z, Yuan Z, Lu Z Y, Ji W 2019 Phys. Rev. B 99 144401
Google Scholar
[29] Su Y, Li X, Zhu M, Zhang J, You L, Tsymbal E Y 2020 Nano Lett. 21 175
[30] Yan Z, Li Z, Han Y, Qiao Z, Xu X 2022 Phys. Rev. B 105 075423
Google Scholar
[31] Chen Y, Tang Z, Dai M, Luo X, Zheng Y 2022 Nanoscale 14 8849
Google Scholar
[32] Wu M 2021 Nat. Rev. Phys. 3 726
Google Scholar
[33] 钟婷婷, 吴梦昊 2020 物理学报 69 217707
Google Scholar
Zhong T T, Wu M H 2020 Acta Phys. Sin. 69 217707
Google Scholar
[34] Liu Y, Liu G, Xi X 2025 Chin. Phys. B 34 017701
Google Scholar
[35] Wan Y, Hu T, Mao X, et al. 2022 Phys. Rev. Lett. 128 067601
Google Scholar
[36] Yasuda K, Wang X, Watanabe K, Taniguchi T, Jarillo-Herrero P 2021 Science 372 1458
Google Scholar
[37] Wang C, An Y 2021 Appl. Surf. Sci. 538 148098
Google Scholar
[38] Fuh H R, Chang C R, Wang Y K, Evans R F, Chantrell R W, Jeng H T 2016 Sci. Rep. 6 32625
Google Scholar
[39] Garcia V, Bibes M 2014 Nat. Commun. 5 4289
Google Scholar
[40] Zhang R, Jiao R, Fu Z, Yuan H, He J, Shen L, Liao X, Zhou Y, Yuan J 2025 Phys. Rev. B 111 155414
Google Scholar
[41] Yan Z, Yang R, Fang C, Lu W, Xu X 2024 Phys. Rev. B 109 205409
Google Scholar
[42] Fei Z, Huang B, Malinowski P, et al. 2018 Nat. Mater. 17 778
Google Scholar
[43] Taylor J, Guo H, Wang J 2001 Phys. Rev. B 63 245407
Google Scholar
[44] Blöchl P E 1994 Phys. Rev. B 50 17953
Google Scholar
[45] Perdew J P, Chevary J A, Vosko S H, Jackson K A, Pederson M R, Singh D J, Fiolhais C 1992 Phys. Rev. B 46 6671
Google Scholar
[46] Johnson E R, Becke A D 2005 J. Chem. Phys. 123 024101
[47] Monkhorst H J, Pack J D 1976 Phys. Rev. B 13 5188
Google Scholar
[48] Yuasa S, Nagahama T, Fukushima A, Suzuki Y, Ando K 2004 Nat. Mater. 3 868
Google Scholar
[49] Tao L, Wang J 2016 Appl. Phys. Lett. 108 062903
Google Scholar
[50] Ma J, Luo X, Zheng Y 2024 Npj Comput. Mater. 10 102
Google Scholar
-
图 1 双层VTe2两种不同构型顶视图和侧视图 (a) P↑; (b) P↓. P↑和P↓分别表示极化向上和极化向下. 橙色和白色球体分别代表Te原子和V原子
Figure 1. Top and side views of the bilayer VTe2 with two different configurations: (a) P↑; (b) P↓. P↑ and P↓ denote polarization up and polarization down, respectively. Orange and white spheres represent Te and V atoms.
图 2 (a) 极化为P↑和(b) P↓的双层VTe2结构沿z方向的电荷密度差(左)和平面平均电荷密度差(右). 紫色和蓝色分别代表电子耗尽和积累. 等值面值设定为0.00024e/Å3
Figure 2. The charge density difference along the z direction (left panels) and plane-averaged charge density difference (right panels) for the bilayer VTe2 structure with (a) polarization P↑ and (b) polarization P↓. Purple and blue colors represent electron depletion and accumulation, respectively. The isosurface value is set to 0.00024e/Å3.
图 3 Fe3GaTe2 (a)和Fe3GeTe2 (b) 的结构示意图. (c), (d)为(a), (b)对应的能带图, 自旋向上(spin up)和自旋向下(spin down)分别用红线和蓝线表示. 图中橙色、粉色、绿色、黄色球体分别代表Fe, Ga, Ge, Te原子
Figure 3. Structural diagrams of Fe3GaTe2 (a) and Fe3GeTe2 (b). (c) and (d) show the corresponding band structures for (a) and (b), with spin up and spin down represented by red and blue lines, respectively. Orange, pink, green, and yellow spheres correspond to Fe, Ga, Ge, and Te atoms, respectively.
图 4 (a), (b)考虑了中间铁电层(VTe2)与左右两边铁磁层(Fe3GaTe2, Fe3GeTe2)的三种高对齐方式(左V-Te, V-Fe和V-Ga; 右V-Te, V-Fe和V-Ge)以及计算的相应不同对齐情况下的总能量. 虚线表示原子对齐, 这里仅给出所考虑的三种对齐中的一种作为示例. (c)堆叠出的最稳定的器件示意图, 中间红色箭头P的方向表示VTe2对应极化方向, 磁化强度M定义为磁矩矢量, 其中向右(+z)和向左(–z)的取向分别用黑色和蓝色箭头表示. 左右电极延伸至无穷远, 器件在xy平面内具有周期性, 且电流沿z方向流动
Figure 4. (a), (b) Three high alignments of the intermediate ferroelectric layer (VTe2) and the left and right ferromagnetic layers (Fe3GaTe2, Fe3GeTe2) are considered (left V-Te, V-Fe, and V-Ga; right, V-Te, V-Fe, and V-Ge) and the calculated total energy for the corresponding different alignments. The dotted line represents the atomic alignment, and only one of the three alignments considered is given here as an example. (c) Schematic diagram of the most stable device stacked, the direction of red arrow P denotes polarization of VTe2. Magnetization M is defined as magnetic moment vector, with right (+z) and left (–z) orientations shown by black/blue arrows. Electrodes extend to infinity, device is periodic in xy-plane, and current flows along z-direction.
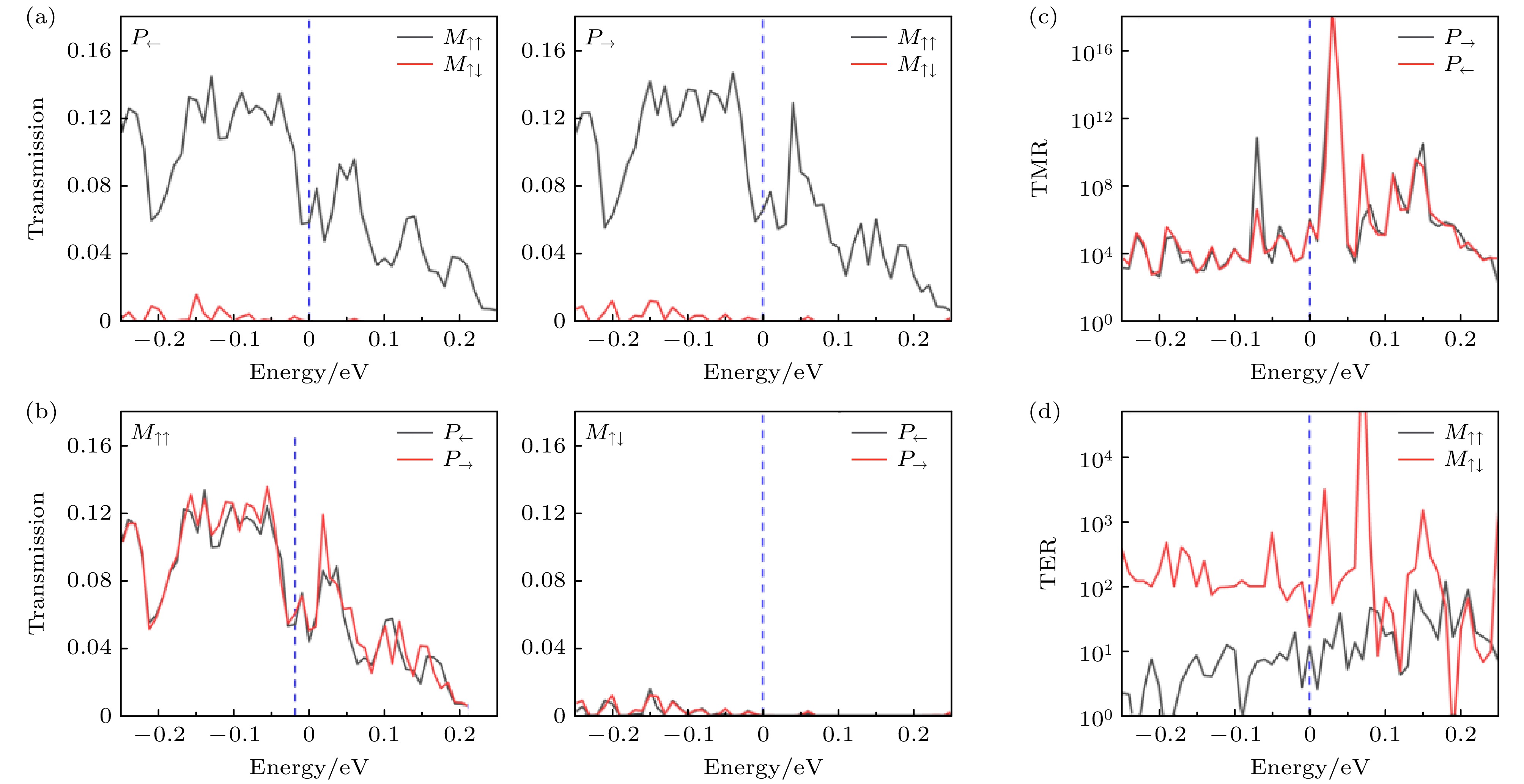
图 7 (a) 处于P←(左)和P→(右)状态的MFTJs的透射谱(自旋向上和自旋向下透射的总和), 黑线和红线分别代表M↑↑和M↑↓态的透射光谱; (b) MFTJs在M↑↑(左)和M↑↓(右)状态下的电子透射谱, 黑线和红线分别代表P→和P←的电子透射光谱; (c) P→和P←状态下MFTJs的TMR, 黑线和红线分别代表P→和P←的TMR; (d) MFTJs在M↑↑和M↑↓状态下的TER, 黑线和红线分别代表M↑↑和M↑↓的TER
Figure 7. (a) Transmission spectra of MFTJs in the P← (left) and P→ (right) states (sum of spin-up and spin-down transmissions). The black and red lines represent the transmission spectra of the M↑↑ and M↑↓ states, respectively. (b) Electron transmission spectra of MFTJs in M↑↑ (left) and M↑↓ (right). The black and red lines represent the electron transmission spectra of P→ and P←, respectively. (c) TMR of MFTJs in P→ and P← states. The black and red lines represent the TMRs of P→ and P←, respectively. (d) MFTJs in M↑↑ and M↑↓ TER. The black and red lines represent M↑↑ and M↑↓, respectively.
表 1 Fe3GaTe2/VTe2双层膜/Fe3GeTe2的自旋相关电子透射T↑、T↓和$ T_{\rm{tot}} $、自旋过滤效率$ \eta{\text{%}} $、TMR和TER. 这里$ T_{\rm{tot}} $ = T↑ + T↓
Table 1. The spin-dependent electron transmission parameters of the Fe3GaTe2/VTe2 bilayer/Fe3GeTe2 system include T↑, T↓, $ T_{\rm{tot}} $ (where $ T_{\rm{tot}} $ = T↑ + T↓), spin filtering efficiency $ \eta{\text{%}} $, TMR, and TER.
M↑↑ M↑↓ TMR/% T↑ T↓ $ T_{\rm{tot}} $ $ \eta $/% T↑ T↓ $ T_{\rm{tot}} $ $ \eta $/% P← 0.058 0 0.058 100 8.05×10–6 0 8.05×10–6 100 7.27×105 P→ 0.065 0 0.065 100 6.51×10–6 0 6.51×10–6 100 1.01×106 TER 12.07% 23.66% -
[1] Theis T N, Wong H S P 2017 Comput. Sci. Eng. 19 41
Google Scholar
[2] Lundstrom M S, Alam M A 2022 Science 378 722
Google Scholar
[3] Wong H S P, Salahuddin S 2015 Nat. Nanotechnol. 10 191
Google Scholar
[4] Lanigan-Atkins T, He X, Krogstad M, et al. 2021 Nat. Mater. 20 977
Google Scholar
[5] Behin-Aein B, Datta D, Salahuddin S, Datta S 2010 Nat. Nanotechnol. 5 266
Google Scholar
[6] Apalkov D, Khvalkovskiy A, Watts S, et al. 2013 JETC 9 1
[7] Wadley P, Howells B, Železnỳ J, et al. 2016 Science 351 587
Google Scholar
[8] Manchon A, Železnỳ J, Miron I M, Jungwirth T, Sinova J, Thiaville A, Garello K, Gambardella P 2019 Rev. Mod. Phys. 91 035004
Google Scholar
[9] Dieny B, Prejbeanu I L, Garello K, et al. 2020 Nat. Electron. 3 446
Google Scholar
[10] 张明媚, 郭亚涛, 付旭日, 李梦蕾, 任宝藏, 郑军, 袁瑞玚 2023 物理学报 72 157202
Google Scholar
Zhang M M, Guo Y T, Fu X R, Li M L, Ren B C, Jun Z, Yuan R Y 2023 Acta Phys. Sin. 72 157202
Google Scholar
[11] Velev J P, Duan C G, Burton J, Smogunov A, Niranjan M K, Tosatti E, Jaswal S, Tsymbal E Y 2009 Nano Lett. 9 427
Google Scholar
[12] Barrionuevo D, Zhang L, Ortega N, Sokolov A, Kumar A, Misra P, Scott J, Katiyar R 2014 Nano Nanotechnol. 25 495203
[13] Merodio P, Kalitsov A, Chshiev M, Velev J 2016 Phys. Rev. Appl. 5 064006
Google Scholar
[14] Manipatruni S, Nikonov D E, Lin C C, Gosavi T A, Liu H, Prasad B, Huang Y L, Bonturim E, Ramesh R, Young I A 2019 Nature 565 35
Google Scholar
[15] Guo X H, Zhu L, Cao Z L, Yao K L 2024 PCCP 26 3531
Google Scholar
[16] Ruixia Y, Xujin Z, Jianhua X, Zhi Y, Fang W, Xiaohong X 2025 Chin. Phys. Lett. 42 070705
Google Scholar
[17] Zhang J, Yu P 2013 J. Chin. Ceram. Soc. 41 905
[18] Yin Y, Li Q 2017 J. Materiomics 3 245
Google Scholar
[19] Zhang Y, Li X, Sheng J, Yu S, Zhang J, Su Y 2023 Appl. Phys. Lett. 123 192402
[20] Lei Y, Xu Y, Wang M, Zhu G, Jin Z 2021 Small 17 2005495
Google Scholar
[21] 吴燕飞, 朱梦媛, 赵瑞杰, 刘心洁, 赵云驰, 魏红祥, 张静言, 郑新奇, 申见昕, 黄河, 王守国 2022 物理学报 71 048502
Google Scholar
Wu Y F, Zhu M Y, Zhao R J, Liu X J, Zhao Y C, Wei H X, Zhang J Y, Zheng X Q, Shen J X, Huang H, Wang S G 2022 Acta. Phys. Sin. 71 048502
Google Scholar
[22] Zheng C, Yu L, Zhu L, et al. 2018 Sci. Adv 4 eaar7720
Google Scholar
[23] Liu F, You L, Seyler K L, et al. 2016 Nat. Commun. 7 1
[24] Feng Y, Han J, Zhang K, Lin X, Gao G, Yang Q, Meng S 2024 Phys. Rev. B 109 085433
Google Scholar
[25] Deng Y, Yu Y, Song Y, et al. 2018 Nature 563 94
Google Scholar
[26] Ke J, Yang M, Xia W, et al. 2020 JPCM 32 405805
[27] Huang M, Ma Z, Wang S, et al. 2021 2D Mater. 8 031003
[28] Jiang P, Wang C, Chen D, Zhong Z, Yuan Z, Lu Z Y, Ji W 2019 Phys. Rev. B 99 144401
Google Scholar
[29] Su Y, Li X, Zhu M, Zhang J, You L, Tsymbal E Y 2020 Nano Lett. 21 175
[30] Yan Z, Li Z, Han Y, Qiao Z, Xu X 2022 Phys. Rev. B 105 075423
Google Scholar
[31] Chen Y, Tang Z, Dai M, Luo X, Zheng Y 2022 Nanoscale 14 8849
Google Scholar
[32] Wu M 2021 Nat. Rev. Phys. 3 726
Google Scholar
[33] 钟婷婷, 吴梦昊 2020 物理学报 69 217707
Google Scholar
Zhong T T, Wu M H 2020 Acta Phys. Sin. 69 217707
Google Scholar
[34] Liu Y, Liu G, Xi X 2025 Chin. Phys. B 34 017701
Google Scholar
[35] Wan Y, Hu T, Mao X, et al. 2022 Phys. Rev. Lett. 128 067601
Google Scholar
[36] Yasuda K, Wang X, Watanabe K, Taniguchi T, Jarillo-Herrero P 2021 Science 372 1458
Google Scholar
[37] Wang C, An Y 2021 Appl. Surf. Sci. 538 148098
Google Scholar
[38] Fuh H R, Chang C R, Wang Y K, Evans R F, Chantrell R W, Jeng H T 2016 Sci. Rep. 6 32625
Google Scholar
[39] Garcia V, Bibes M 2014 Nat. Commun. 5 4289
Google Scholar
[40] Zhang R, Jiao R, Fu Z, Yuan H, He J, Shen L, Liao X, Zhou Y, Yuan J 2025 Phys. Rev. B 111 155414
Google Scholar
[41] Yan Z, Yang R, Fang C, Lu W, Xu X 2024 Phys. Rev. B 109 205409
Google Scholar
[42] Fei Z, Huang B, Malinowski P, et al. 2018 Nat. Mater. 17 778
Google Scholar
[43] Taylor J, Guo H, Wang J 2001 Phys. Rev. B 63 245407
Google Scholar
[44] Blöchl P E 1994 Phys. Rev. B 50 17953
Google Scholar
[45] Perdew J P, Chevary J A, Vosko S H, Jackson K A, Pederson M R, Singh D J, Fiolhais C 1992 Phys. Rev. B 46 6671
Google Scholar
[46] Johnson E R, Becke A D 2005 J. Chem. Phys. 123 024101
[47] Monkhorst H J, Pack J D 1976 Phys. Rev. B 13 5188
Google Scholar
[48] Yuasa S, Nagahama T, Fukushima A, Suzuki Y, Ando K 2004 Nat. Mater. 3 868
Google Scholar
[49] Tao L, Wang J 2016 Appl. Phys. Lett. 108 062903
Google Scholar
[50] Ma J, Luo X, Zheng Y 2024 Npj Comput. Mater. 10 102
Google Scholar
Catalog
Metrics
- Abstract views: 994
- PDF Downloads: 29
- Cited By: 0









DownLoad: