-
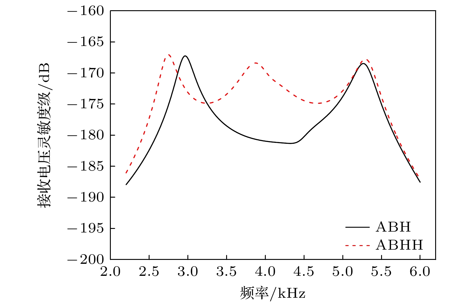
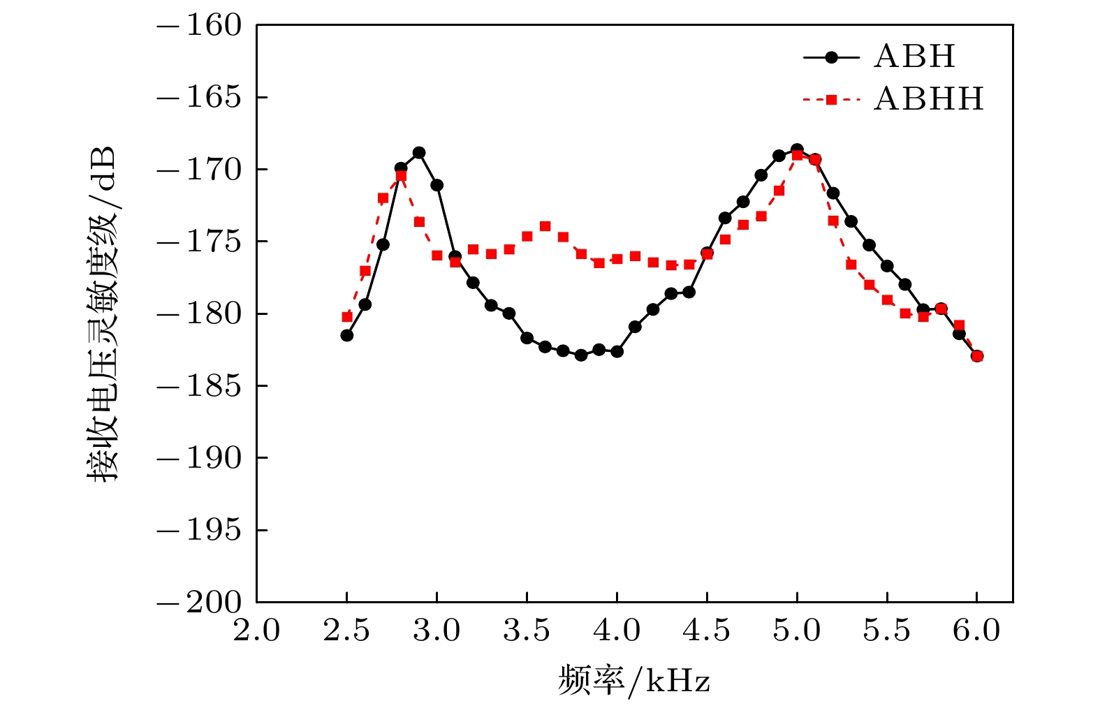
Acoustic black hole (ABH) structures are renowned for their unique wave-focusing ability and have been widely utilized in the fields of acoustics and vibration. Based on this property, a novel high-sensitivity hydrophone design incorporating a two-dimensional (2D) ABH structure is proposed in this work. According to the principles of geometrical acoustics, the wave-converging behavior of bending waves in ABH structures is compared to the bending of acoustic ray in underwater acoustics. A simplified theoretical model describing the relationship between the bending wave trajectory and the wave speed gradient in polar coordinates is established for two-dimensional (2D) ABH configurations and verified through numerical simulations. Based on this mechanism, a 2D ABH hydrophone is developed by integrating the ABH structure into bending-plate hydrophone, enabling vibration energy concentration and significantly enhancing sensitivity. The comparative studies of hydrophones using uniform-thickness plates and linearly tapered thickness plates as receiving surfaces confirm the superior performance of the ABH hydrophone in a frequency range of 1.7–5.8 kHz. To address the significant undulations observed in the sensitivity response, which is attributed to vibration superposition, a liquid cavity of specific length is introduced. This leads to the development of an ABH-Helmholtz-coupled hydrophone (ABHH hydrophone), wherein the first two bending modes of the ABH structure are coupled with the resonant modes of a single-ended open liquid cavity, resulting in broadband reception capability. The prototypes of both hydrophone designs are fabricated and experimentally tested in an anechoic water tank. The results show that both devices achieve peak receiving sensitivities exceeding –169 dB. Notably, the ABHH hydrophone maintains sensitivity fluctuations within 8 dB in a frequency band of 2.6–5.3 kHz. This study confirms that 2D ABH structures can effectively improve hydrophone sensitivity through bending wave convergence, and can achieve broadband acoustic detection when the structure is coupled with liquid cavity resonators. These findings lay a solid foundation for the application of ABH structures in the design of underwater acoustic transducer.
-
Keywords:
- hydrophone /
- two-dimensional acoustic black hole /
- high sensitivity /
- modal coupling
[1] Guang D, Sun X Y, Shi J H, Wu X Q, Zhang G S, Zuo C, Zhu P C, Yu B L 2024 Opt. Express 32 47721
Google Scholar
[2] 杨悦 2022 博士学位论文 (长春: 吉林大学)
Yang Y 2022 Ph. D. Dissertation (Changchun: Jilin University
[3] 周利生, 许欣然 2021 声学学报 46 1250
Google Scholar
Zhou L S, Xu X R 2021 Acta Acust. 46 1250
Google Scholar
[4] 涂馨予, 李俊宝, 刘晓迪, 申健康 2021 压电与声光 43 449
Google Scholar
Tu X Y, Li J B, Liu X D, Shen J K 2021 Piezoelectr. Acoustoopt. 43 449
Google Scholar
[5] 王宏伟, 惠辉, 荣畋 2022 声学学报 47 364
Google Scholar
Wang H W, Hui H, Rong T 2022 Acta Acust. 47 364
Google Scholar
[6] 徐言哲 2020 硕士学位论文 (武汉: 华中科技大学)
Xu Y Z 2020 M. S. Thesis (Wuhan: Huazhong University of Science and Technology
[7] 许延峰, 周天放, 蓝宇 2020 应用科技 47 99
Google Scholar
Xu Y F, Zhou T F, Lan Y 2020 Appl. Sci. Technol. 47 99
Google Scholar
[8] Kim D, Roh Y 2023 Sensors 23 9086
[9] 李世平, 莫喜平, 潘耀宗, 张运强, 崔斌 2017 声学学报 42 729
Google Scholar
Li S P, Mo X P, Pan Y Z, Zhang Y Q, Cui B 2017 Acta Acust. 42 729
Google Scholar
[10] 李世平, 莫喜平, 张运强, 崔斌 2017 应用声学 36 54
Google Scholar
Li S P, Mo X P, Zhang Y Q, Cui B 2017 Appl. Acoust. 36 54
Google Scholar
[11] Mironov M A 1988 Sov. Phys. Acoust. 34 318
[12] Krylov V V 1989 Sov. Phys. Acoust. 35 176
[13] Huang W, Ji H L, Qiu J H, Cheng L 2018 J. Sound Vib. 417 216
Google Scholar
[14] Tang L L, Cheng L, Ji H L, Qiu J H 2016 J. Sound Vib. 374 172
Google Scholar
[15] Deng J, Gao N S, Chen X, Han B, Ji H L 2023 Mech. Syst. Signal Proc. 191 110182
Google Scholar
[16] Zhao L X, Conlon S C, Semperlotti F 2014 Smart Mater. Struct. 23 065021
Google Scholar
[17] 宋婷婷, 郑玲, 邓杰 2022 振动与冲击 41 186
Google Scholar
Song T T, Zheng L, Deng J 2022 J. Vib. Shock 41 186
Google Scholar
[18] 刘洋, 陈诚, 林书玉 2024 物理学报 73 148
Google Scholar
Liu Y, Chen C, Lin S Y 2024 Acta Phys. Sin. 73 148
Google Scholar
[19] Chen C, Tang Y F, Ren W B, Wang Y, Guo J Z, Lin S Y 2024 Ultrasonics 143 107417
Google Scholar
[20] 王怡, 陈诚, 林书玉 2025 物理学报 74 044303
Google Scholar
Wang Y, Chen C, Lin S Y 2025 Acta Phys. Sin. 74 044303
Google Scholar
[21] 黄薇 2019 博士学位论文 (南京: 南京航空航天大学)
Huang W 2019 Ph. D. Dissertation (Nanjing: Nanjing University of Aeronautics and Astronautics
[22] 刘伯胜, 雷家煜 2010 水声学原理 (第2版) (哈尔滨: 哈尔滨工程大学出版社) 第76—82页
Liu B S, Lei J Y 2010 Principles of Underwater Acoustics (2nd Ed.) (Harbin: Harbin Engineering University Press) pp76–82
[23] 杨荣耀, 吴彤, 崔斌 2022 中国声学学会水声学分会2021—2022年学术会议论文集 中国青岛, 2022年8月15日 第393页
Yang R Y, Wu T, Cui B 2022 Proceedings of the Academic Conference of Underwater Acoustic Branch of Acoustics Society of China in 2021—2022 Qingdao, China, August 15, 2022 p393
[24] Butler J L, Sherman C H 2016 Transducers and Arrays for Underwater Sound (2nd Ed.) (Cham: Springer International Publishing) p325
[25] 桑永杰, 蓝宇, 丁玥文 2016 物理学报 65 024301
Google Scholar
Sang Y J, Lan Y, Ding Y W 2016 Acta Phys. Sin. 65 024301
Google Scholar
[26] 滕舵, 杨虎 2020 水声换能器基础 (第2版) (西安: 西北工业大学出版社) 第220—224页
Teng D, Yang H 2020 Fundamentals of Hydroacoustic Transducers (2nd Ed.) (Xi'an: Northwestern Polytechnical University Press) pp220–224
-
图 12 (a) 面激励等效为无数个同心圆周上线激励叠加; (b) 圆周上线激励近似为无数个线段上线激励叠加
Figure 12. (a) Equivalence of a surface excitation to the superposition of an infinite number of line excitations on concentric circumferences; (b) approximation of a line excitation on a circumference as the superposition of an infinite number of line excitations on line segments.
图 13 不同位置不同频率激励信号下的位移响应 (a) 圆周1处施加5.86 kHz信号激励; (b) 圆周2处施加5.86 kHz信号激励; (c) 圆周1和2处共同施加5.86 kHz信号激励; (d) 圆周1处施加6.53 kHz信号激励; (e) 圆周2处施加6.53 kHz信号激励; (f) 圆周1和2处共同施加6.53 kHz信号激励
Figure 13. Displacement responses under excitation at different positions and frequencies: (a) Excitation on circumference 1 with a 5.86 kHz signal; (b) excitation on circumference 2 with a 5.86 kHz signal; (c) simultaneous excitation on circumferences 1 and 2 with a 5.86 kHz signal; (d) excitation on circumference 1 with a 6.53 kHz signal; (e) excitation on circumference 2 with a 6.53 kHz signal; (f) simultaneous excitation on circumferences 1 and 2 with a 6.53 kHz signal.
表 1 4种厚度形式的板作为声波接收面的水听器性能对比
Table 1. Performance comparison of hydrophones with plates of four thickness types as the acoustic wave receiving surface.
水听器接收
面模型接收灵敏度/dB 指向性–3 dB开角/(°) 最大值 最大起伏 2.95 kHz 5.25 kHz 均匀板$ h = {h_1} $ –178.7 21.35 121.6 91.8 均匀板$ h = {h_2} $ –176.3 33.2 144.8 139.2 线性变厚度板 –180.6 23.1 153.7 116.6 ABH板 –167.3 20.7 156.0 99.0 表 2 ABH水听器的仿真与实测性能对比
Table 2. Comparison of simulated and measured performance for the ABH hydrophone.
模态
阶数仿真 实测 频率
/kHz灵敏度
/dB–3 dB开
角/(°)频率
/kHz灵敏度
/dB–3 dB开
角/(°)1阶 2.95 –167.3 156 2.9 –168.8 120 2阶 5.25 –168.5 99 5.0 –168.6 85 表 3 ABHH水听器的仿真与实测性能对比
Table 3. Comparison of simulated and measured performance for the ABHH hydrophone.
模态
阶数仿真 实测 频率
/kHz灵敏度
/dB–3 dB开
角/(°)频率
/kHz灵敏度
/dB–3 dB开
角/(°)1阶 2.75 –167.0 160 2.8 –170.4 135 2阶 3.85 –168.4 96 3.6 –173.9 95 3阶 5.30 –167.8 64 5.0 –169.0 69 -
[1] Guang D, Sun X Y, Shi J H, Wu X Q, Zhang G S, Zuo C, Zhu P C, Yu B L 2024 Opt. Express 32 47721
Google Scholar
[2] 杨悦 2022 博士学位论文 (长春: 吉林大学)
Yang Y 2022 Ph. D. Dissertation (Changchun: Jilin University
[3] 周利生, 许欣然 2021 声学学报 46 1250
Google Scholar
Zhou L S, Xu X R 2021 Acta Acust. 46 1250
Google Scholar
[4] 涂馨予, 李俊宝, 刘晓迪, 申健康 2021 压电与声光 43 449
Google Scholar
Tu X Y, Li J B, Liu X D, Shen J K 2021 Piezoelectr. Acoustoopt. 43 449
Google Scholar
[5] 王宏伟, 惠辉, 荣畋 2022 声学学报 47 364
Google Scholar
Wang H W, Hui H, Rong T 2022 Acta Acust. 47 364
Google Scholar
[6] 徐言哲 2020 硕士学位论文 (武汉: 华中科技大学)
Xu Y Z 2020 M. S. Thesis (Wuhan: Huazhong University of Science and Technology
[7] 许延峰, 周天放, 蓝宇 2020 应用科技 47 99
Google Scholar
Xu Y F, Zhou T F, Lan Y 2020 Appl. Sci. Technol. 47 99
Google Scholar
[8] Kim D, Roh Y 2023 Sensors 23 9086
[9] 李世平, 莫喜平, 潘耀宗, 张运强, 崔斌 2017 声学学报 42 729
Google Scholar
Li S P, Mo X P, Pan Y Z, Zhang Y Q, Cui B 2017 Acta Acust. 42 729
Google Scholar
[10] 李世平, 莫喜平, 张运强, 崔斌 2017 应用声学 36 54
Google Scholar
Li S P, Mo X P, Zhang Y Q, Cui B 2017 Appl. Acoust. 36 54
Google Scholar
[11] Mironov M A 1988 Sov. Phys. Acoust. 34 318
[12] Krylov V V 1989 Sov. Phys. Acoust. 35 176
[13] Huang W, Ji H L, Qiu J H, Cheng L 2018 J. Sound Vib. 417 216
Google Scholar
[14] Tang L L, Cheng L, Ji H L, Qiu J H 2016 J. Sound Vib. 374 172
Google Scholar
[15] Deng J, Gao N S, Chen X, Han B, Ji H L 2023 Mech. Syst. Signal Proc. 191 110182
Google Scholar
[16] Zhao L X, Conlon S C, Semperlotti F 2014 Smart Mater. Struct. 23 065021
Google Scholar
[17] 宋婷婷, 郑玲, 邓杰 2022 振动与冲击 41 186
Google Scholar
Song T T, Zheng L, Deng J 2022 J. Vib. Shock 41 186
Google Scholar
[18] 刘洋, 陈诚, 林书玉 2024 物理学报 73 148
Google Scholar
Liu Y, Chen C, Lin S Y 2024 Acta Phys. Sin. 73 148
Google Scholar
[19] Chen C, Tang Y F, Ren W B, Wang Y, Guo J Z, Lin S Y 2024 Ultrasonics 143 107417
Google Scholar
[20] 王怡, 陈诚, 林书玉 2025 物理学报 74 044303
Google Scholar
Wang Y, Chen C, Lin S Y 2025 Acta Phys. Sin. 74 044303
Google Scholar
[21] 黄薇 2019 博士学位论文 (南京: 南京航空航天大学)
Huang W 2019 Ph. D. Dissertation (Nanjing: Nanjing University of Aeronautics and Astronautics
[22] 刘伯胜, 雷家煜 2010 水声学原理 (第2版) (哈尔滨: 哈尔滨工程大学出版社) 第76—82页
Liu B S, Lei J Y 2010 Principles of Underwater Acoustics (2nd Ed.) (Harbin: Harbin Engineering University Press) pp76–82
[23] 杨荣耀, 吴彤, 崔斌 2022 中国声学学会水声学分会2021—2022年学术会议论文集 中国青岛, 2022年8月15日 第393页
Yang R Y, Wu T, Cui B 2022 Proceedings of the Academic Conference of Underwater Acoustic Branch of Acoustics Society of China in 2021—2022 Qingdao, China, August 15, 2022 p393
[24] Butler J L, Sherman C H 2016 Transducers and Arrays for Underwater Sound (2nd Ed.) (Cham: Springer International Publishing) p325
[25] 桑永杰, 蓝宇, 丁玥文 2016 物理学报 65 024301
Google Scholar
Sang Y J, Lan Y, Ding Y W 2016 Acta Phys. Sin. 65 024301
Google Scholar
[26] 滕舵, 杨虎 2020 水声换能器基础 (第2版) (西安: 西北工业大学出版社) 第220—224页
Teng D, Yang H 2020 Fundamentals of Hydroacoustic Transducers (2nd Ed.) (Xi'an: Northwestern Polytechnical University Press) pp220–224
Catalog
Metrics
- Abstract views: 1503
- PDF Downloads: 45
- Cited By: 0









DownLoad: