-
Magnesium and aluminum are abundant metals in the Earth’s crust and widely utilized in industrial engineering. Under high pressure, these elements can form elemental compounds into single substances, resulting in a variety of crystal structures and electronic properties. In this study, the possible structures of magnesium-aluminum alloys are systematically investigated in a pressure range of 0–500 GPa by using the first-principles structure search method, with energy and electronic structure calculations conducted using the VASP package. Bader charge analysis elucidates atomic and interstitial quasi-atom (ISQ) valence states, while lattice dynamics are analyzed using the PHONOPY package via the small-displacement supercell approach. Eight stable phases(MgAl3-Pm${\bar {3}} $m, MgAl3-P63/mmc, MgAl-P4/mmm, MgAl-Pmmb, MgAl-Fd${\bar {3}} $m, Mg2Al-P${\bar {3}} $m1, Mg3Al-P63/mmc, Mg3Al-Fm${\bar {3}} $m) and two metastable phases (Mg4Al-I4/m, Mg5Al-P${\bar {3}} $m1) are identified. The critical pressures and stable intervals for phase transitions are precisely determined. Notably, MgAl-Fd${\bar {3}} $m, Mg2Al-P${\bar {3}} $m1, Mg4Al-I4/m and Mg5Al-P${\bar {3}} $m1 represent newly predicted structures. Analysis of electronic localization characteristics reveals that six stable structures (MgAl3-Pm${\bar {3}} $m, MgAl3-P63/mmc, MgAl-Pmmb, MgAl-Fd${\bar {3}} $m, Mg2Al-P${\bar {3}} $m1 and Mg3Al-P63/mmc) exhibit electronic properties of electrides. The ISQs primarily originate from charge transfer of Mg atoms. In the metastable phase Mg4Al-I4/m, Al atoms are predicted to achieve an Al5–valence state, filling the p shell. This finding demonstrates that by adjusting the Mg/Al ratio and pressure conditions, a transition from traditional electrides to high negative valence states can be realized, offering new insights into the development of novel high-pressure functional materials. Furthermore, all Mg-Al compounds display metallic behaviors, with their stability attributed to Al-p-d orbital hybridization, which significantly contributes to the Al-3p/3d orbitals near the Fermi level. Additionally, LA-TA splitting is observed in MgAl3-Pm${\bar {3}} $m, with a splitting value of 45.49 cm–1, confirming the unique regulatory effect of ISQs on lattice vibrational properties. These results elucidate the rich structural and electronic properties of magnesium-aluminum alloys as electrodes, offering deeper insights into their behavior under high pressure and inspiring further exploration of structural and property changes in high-pressure alloys composed of light metal elements and p-electron metals.
-
Keywords:
- magnesium-aluminum alloys /
- high-pressure structure and phase transition /
- electrides /
- density functional theory
[1] Grochala W, Hoffmann R, Feng J, Ashcroft N W 2007 Angew. Chem. Int. Ed. 46 3620
Google Scholar
[2] Pickard C J, Needs R J 2011 Phys. Rev. Lett. 107 87201
Google Scholar
[3] Dong X, Oganov A R, Goncharov A F, Stavrou E, Lobanov S, Saleh G, Qian G R, Zhu Q, Gatti C, Deringer V L 2017 Nat. Chem. 9 440
Google Scholar
[4] 田城, 蓝剑雄, 王苍龙, 翟鹏飞, 刘杰 2022 物理学报 71 017102
Google Scholar
Tian C, Lan J X, Wang C L, Zhai P F, Liu J 2022 Acta Phys. Sin. 71 017102
Google Scholar
[5] 熊浩智, 王云江 2025 物理学报 74 086101
Google Scholar
Xiong H Z, Wang Y J 2025 Acta Phys. Sin. 74 086101
Google Scholar
[6] Miao M, Hoffmann R 2015 J. Am. Chem. Soc. 137 3631
Google Scholar
[7] Dye J L 1990 Science 247 663
Google Scholar
[8] Dye J L 2003 Science 301 607
Google Scholar
[9] Toda Y, Matsuishi S, Hayashi K, Ueda K, Kamiya T, Hirano M, Hosono H 2004 Adv. Mater. 16 685
Google Scholar
[10] 李凡, 张忻, 张久兴 2019 物理学报 68 206801
Google Scholar
Li F, Zhang X, Zhang J X 2019 Acta Phys. Sin. 68 206801
Google Scholar
[11] Menamparambath M M, Park J H, Yoo H S, Patole S P, Yoo J B, Kim S W, Baik S 2014 Nanoscale 6 8844
Google Scholar
[12] He H M, Li Y, Yang H, Yu D, Li S Y, Wu D, Hou J H, Zhong R L, Zhou Z J, Gu F L 2017 J. Phys. Chem. C 121 958
Google Scholar
[13] Guo Z X, Bergara A, Zhang X H, Li X, Ding S C, Yang G C 2024 Phys. Rev. B 109 134505
Google Scholar
[14] Wei J H, Zhong T, Sun J C, Liu H Y, Zhu L, Zhang S T 2025 Phys. Rev. B 111 184508
Google Scholar
[15] Wang C, Liu P Y, Liu Z, Cui T 2024 Results Phys. 60 107703
Google Scholar
[16] Wang D, Song H X, Hao Q D, Yang G F, Wang H, Zhang L L, Chen Y, Chen X R, Geng H Y 2024 J. Phys. Chem. C 129 689
Google Scholar
[17] Hu J P, Xu B, Yang S Y, Guan S, Ouyang C Y, Yao Y G 2015 ACS Appl. Mater. Interfaces 7 24016
Google Scholar
[18] Chen G H, Bai Y, Li H, Li Y, Wang Z H, Ni Q, Liu L, Wu F, Yao Y G, Wu C 2017 ACS Appl. Mater. Interfaces 9 6666
Google Scholar
[19] Druffel D L, Pawlik J T, Sundberg J D, McRae L M, Lanetti M G, Warren S C 2020 J. Phys. Chem. Lett. 11 9210
Google Scholar
[20] Ye T N, Li J, Kitano M, Hosono H 2017 Green Chem. 19 749
Google Scholar
[21] Toda Y, Hirayama H, Kuganathan N, Torrisi A, Sushko P V, Hosono H 2013 Nat. Commun. 4 2378
Google Scholar
[22] Zhang X H, Yang G C 2020 J. Phys. Chem. Lett. 11 3841
Google Scholar
[23] Zhou J, Feng Y P, Shen L 2020 Phys. Rev. B 102 180407
Google Scholar
[24] Lee S Y, Hwang J Y, Park J, Nandadasa C N, Kim Y, Bang J, Lee K, Lee K H, Zhang Y, Ma Y 2020 Nat. Commun. 11 1526
Google Scholar
[25] Hirayama M, Matsuishi S, Hosono H, Murakami S 2018 Phys. Rev. X 8 031067
Google Scholar
[26] Hosono H, Kitano M 2021 Chem. Rev. 121 3121
Google Scholar
[27] Miao M S, Hoffmann R 2014 Acc. Chem. Res. 47 1311
Google Scholar
[28] Sui X L, Wang J F, Duan W H 2019 J. Phys. Chem. C 123 5003
Google Scholar
[29] Yan J Q, Ochi M, Cao H B, Saparov B, Cheng J G, Uwatoko Y, Arita R, Sales B C, Mandrus D G 2018 J. Phys.: Condens. Matter 30 135801
Google Scholar
[30] Lu Y F, Wang J J, Li J, Wu J Z, Kanno S, Tada T, Hosono H 2018 Phys. Rev. B 98 125128
Google Scholar
[31] Wang X M, Wang Y, Wang J J, Pan S N, Lu Q, Wang H T, Xing D Y, Sun J 2022 Phys. Rev. Lett. 129 246403
Google Scholar
[32] Nakashima P N, Smith A E, Etheridge J, Muddle B C 2011 Science 331 1583
Google Scholar
[33] Liu C, Nikolaev S A, Ren W, Burton L A 2020 J. Mater. Chem. C 8 10551
Google Scholar
[34] Pickard C J, Needs R J 2010 Nat. Mater. 9 624
Google Scholar
[35] Li P F, Gao G Y, Wang Y C, Ma Y M 2010 J. Phys. Chem. C 114 21745
Google Scholar
[36] Zhu Q, Oganov A R, Lyakhov A O 2013 Phys. Chem. Chem. Phys. 15 7696
Google Scholar
[37] Miao M S, Wang X L, Brgoch J, Spera F, Jackson M G, Kresse G, Lin H Q 2015 J. Am. Chem. Soc. 137 14122
Google Scholar
[38] Li C, Yang W G, Sheng H W 2022 Phys. Rev. Mater. 6 033601
Google Scholar
[39] Li C, Li W W, Zhang X L, Du L C, Sheng H W 2022 Phys. Chem. Chem. Phys. 24 12260
Google Scholar
[40] Mao H K, Chen X J, Ding Y, Li B, Wang L 2018 Rev. Mod. Phys. 90 015007
Google Scholar
[41] Polsin D N, Fratanduono D E, Rygg J R, Lazicki A, Smith R F, Eggert J H, Gregor M C, Henderson B H, Delettrez J A, Kraus R G 2017 Phys. Rev. Lett. 119 175702
Google Scholar
[42] Wang Y C, Lv J, Zhu L, Ma Y M 2012 Comput. Phys. Commun. 183 2063
Google Scholar
[43] Wang Y C, Lv J, Zhu L, Ma Y M 2010 Phys. Rev. B 82 094116
Google Scholar
[44] Oganov A R, Glass C W 2006 J. Chem. Phys. 124 244704
Google Scholar
[45] Oganov A R, Lyakhov A O, Valle M 2011 Acc. Chem. Res. 44 227
Google Scholar
[46] Lyakhov A O, Oganov A R, Stokes H T, Zhu Q 2013 Comput. Phys. Commun. 184 1172
Google Scholar
[47] Kohn W, Sham L J 1965 Phys. Rev. 137 A1697
Google Scholar
[48] Hohenberg P, Kohn W 1964 Phys. Rev. 136 B864
Google Scholar
[49] Kresse G, Furthmüller J 1996 Phys. Rev. B 54 11169
Google Scholar
[50] Kresse G, Furthmüller J 1996 Comput. Mater. Sci. 6 15
Google Scholar
[51] Kresse G, Joubert D 1999 Phys. Rev. B 59 1758
Google Scholar
[52] Perdew J P, Burke K, Ernzerhof M 1996 Phys. Rev. Lett. 77 3865
Google Scholar
[53] Yu M, Trinkle D R 2011 J. Chem. Phys. 134 064111
Google Scholar
[54] Togo A, Tanaka I 2015 Scr. Mater. 108 1
Google Scholar
[55] Olijnyk H, Holzapfel W B 1985 Phys. Rev. B 31 4682
Google Scholar
[56] Akahama Y, Nishimura M, Kinoshita K, Kawamura H, Ohishi Y 2006 Phys. Rev. Lett. 96 045505
Google Scholar
[57] Tambe M J, Bonini N, Marzari N 2008 Phys. Rev. B 77 172102
Google Scholar
[58] Owen E A, Liu Y H 1947 Lond. Edinb. Dublin Philos. Mag. J. Sci. 38 354
Google Scholar
[59] Lyubimtsev A L, Baranov A I, Fischer A, Kloo L, Popovkin B A 2002 J. Alloys Compd. 340 167
Google Scholar
[60] Chang L C 1951 Acta Cryst. Sect. A 4 320
Google Scholar
[61] Kuriyama K, Saito S, Iwamura K 1979 J. Phys. Chem. Solids 40 457
Google Scholar
[62] Williams A 1989 J. Phys. : Condens. Matter 1 2569
Google Scholar
[63] Zhang L L, Wu Q, Li S R, Sun Y, Yan X Z, Chen Y, Geng H Y 2021 ACS Appl. Mater. Interfaces 13 6130
Google Scholar
[64] Zhang L L, Geng H Y, Wu Q 2021 Matter Radiat. Extremes 6 038403
Google Scholar
[65] Kang M G, Fang S A, Ye L D, Po H C, Denlinger J, Jozwiak C, Bostwick A, Rotenberg E, Kaxiras E, Checkelsky J G 2020 Nat. Commun. 11 4004
Google Scholar
-
图 3 (a) MgAl3的P63/mmc相对于Pm${\bar {3}} $m相在0—500 GPa范围内的焓差曲线; (b) MgAl的Pmmb相和Fd${\bar {3}} $m相对于P4/mmm相在0—500 GPa范围内的焓差曲线; (c) Mg3Al的Fm${\bar {3}} $m相对于P63/mmc相在0—500 GPa范围内的焓差曲线
Figure 3. (a) Enthalpy difference curve of the P63/mmc phase of MgAl3 relative to the Pm${\bar {3}} $m phase within the range of 0−500 GPa; (b) the enthalpy difference curves of the Pmmb phase and Fd${\bar {3}} $m phase of MgAl relative to the P4/mmm phase within the range of 0−500 GPa; (c) the enthalpy difference curve of the Fm${\bar {3}} $m phase of Mg3Al relative to the P63/mmc phase within the range of 0−500 GPa.
图 4 稳定MgmAln化合物的晶体结构图(橙色和蓝色球分别代表Mg原子和Al原子) (a) MgAl3-Pm${\bar {3}} $m在100 GPa的结构; (b) MgAl3-P63/mmc在200 GPa的结构; (c) MgAl-P4/mmm在40 GPa的结构; (d) MgAl-Pmmb在95 GPa的结构; (e) MgAl-Fd${\bar {3}} $m在350 GPa的结构; (f) Mg2Al-P${\bar {3}} $m1在500 GPa的结构; (g) Mg3Al-P63/mmc在50 GPa的结构; (h) Mg3Al-Fm${\bar {3}} $m在350 GPa的结构
Figure 4. Crystal structure of the predicted stable MgmAln compounds: (a) MgAl3-Pm${\bar {3}} $m at 100 GPa; (b) MgAl3-P63/mmc at 200 GPa; (c) MgAl-P4/mmm at 40 GPa; (d) MgAl-Pmmb at 95 GPa; (e) MgAl-Fd${\bar {3}} $m at 350 GPa; (f) Mg2Al-P${\bar {3}} $m1 at 500 GPa; (g) Mg3Al-P63/mmc at 50 GPa; (h) Mg3Al-Fm${\bar {3}} $m at 350 GPa. Orange and blue spheres represent Mg and Al atoms, respectively.
图 5 高压下MgmAln 结构的声子色散曲线 (a), (b) 在0 GPa和100 GPa下的MgAl3-Pm${\bar {3}} $m结构; (c)—(e) 在100 GPa, 200 GPa 和250 GPa下的MgAl3-P63/mmc结构; (f), (g) 在0 GPa和40 GPa下的MgAl-P4/mmm结构; (h)—(j) 在50 GPa, 95 GPa和150 GPa下的MgAl-Pmmb结构; (k)—(m) 在150 GPa, 350 GPa和500 GPa下的MgAl-Fd${\bar {3}} $m结构; (n), (o) 在55 GPa和500 GPa下的Mg2Al-P${\bar {3}} $m1结构; (p), (q) 在0 GPa和50 GPa下的Mg3Al-P63/mmc结构; (r)—(t) 在60 GPa, 350 GPa和500 GPa下的Mg3Al-Fm${\bar {3}} $m结构; (u), (v) 在0 GPa和500 GPa下的Mg4Al-I4/m结构; (w), (x) 在35 GPa和500 GPa下的Mg5Al-P${\bar {3}} $m1结构
Figure 5. Phonon dispersion curves of the predicted MgmAln structures under high pressure: (a), (b) MgAl3-Pm${\bar {3}} $m at 0 GPa and 100 GPa; (c)–(e) MgAl3-P63/mmc at 100 GPa, 200 GPa and 250 GPa; (f), (g) MgAl-P4/mmm at 0 GPa and 40 GPa; (h)–(j) MgAl-Pmmb at 50 GPa, 95 GPa and 150 GPa; (k)–(m) MgAl-Fd${\bar {3}} $m at 150 GPa, 350 GPa and 500 GPa; (n), (o) Mg2Al-P${\bar {3}} $m1 at 55 GPa and 500 GPa; (p), (q) Mg3Al-P63/mmc at 0 GPa and 50 GPa; (r)–(t) Mg3Al-Fm${\bar {3}} $m at 60 GPa, 350 GPa and 500 GPa; (u), (v) Mg4Al-I4/m at 0 GPa and 500 GPa; (w), (x) Mg5Al-P${\bar {3}} $m1 at 35 GPa and 500 GPa.
图 6 MgmAln化合物的原子间距离直方图 (a) 100 GPa的MgAl3-Pm${\bar {3}} $m结构; (b) 200 GPa的MgAl3-P63/mmc结构; (c) 40 GPa的MgAl-P4/mmm结构; (d) 95 GPa的MgAl-Pmmb结构; (e) 350 GPa的MgAl-Fd${\bar {3}} $m结构; (f) 500 GPa的Mg2Al-P${\bar {3}} $m1结构; (g) 50 GPa的Mg3Al-P63/mmc结构; (h) 350 GPa的Mg3Al-Fm${\bar {3}} $m结构
Figure 6. Histograms of interatomic distances for MgmAln structures: (a) MgAl3-Pm${\bar {3}} $m at 100 GPa; (b) MgAl3-P63/mmc at 200 GPa; (c) MgAl-P4/mmm at 40 GPa; (d) MgAl-Pmmb at 95 GPa; (e) MgAl-Fd${\bar {3}} $m at 350 GPa; (f) Mg2Al-P${\bar {3}} $m1 at 500 GPa; (g) Mg3Al-P63/mmc at 50 GPa; (h) Mg3Al-Fm${\bar {3}} $m at 350 GPa.
图 7 稳定的MgmAln化合物的电子局域化函数(ELF)图 (a) 100 GPa的MgAl3-Pm${\bar {3}} $m结构, ELF等值面为0.65; (b) 200 GPa的MgAl3-P63/mmc结构, 等值面为0.70; (c) 40 GPa的MgAl-P4/mmm结构, 等值面为0.70; (d) 95 GPa的MgAl-Pmmb结构, 等值面为0.70; (e) 350 GPa的MgAl-Fd${\bar {3}} $m结构, 等值面为0.70; (f) 500 GPa的Mg2Al-P${\bar {3}} $m1结构, 等值面为0.70; (g) 50 GPa的Mg3Al-P63/mmc结构, 等值面为0.60; (h) 350 GPa的Mg3Al-Fm${\bar {3}} $m结构, 等值面为0.65. 橙色球和蓝色球分别代表Mg原子和Al原子, 粉色小球代表间隙准原子中心
Figure 7. Electron localization function (ELF) isosurface of stable MgmAln compounds: (a) MgAl3-Pm${\bar {3}} $m structure at 100 GPa, ELF isosurface is 0.65; (b) MgAl3-P63/mmc structure at 200 GPa, isosurface is 0.70; (c) MgAl-P4/mmm structure at 40 GPa, isosurface is 0.70; (d) MgAl-Pmmb structure at 95 GPa, isosurface is 0.70; (e) MgAl-Fd${\bar {3}} $m structure at 350 GPa, isosurface is 0.70; (f) Mg2Al-P${\bar {3}} $m1 structure at 500 GPa, isosurface is 0.70; (g) Mg3Al-P63/mmc structure at 50 GPa, isosurface is 0.60; (h) Mg3Al-Fm${\bar {3}} $m structure at 350 GPa, isosurface is 0.65. Orange and blue spheres represent Mg and Al atoms respectively, and pink small spheres represent the center of interstitial quasiatoms.
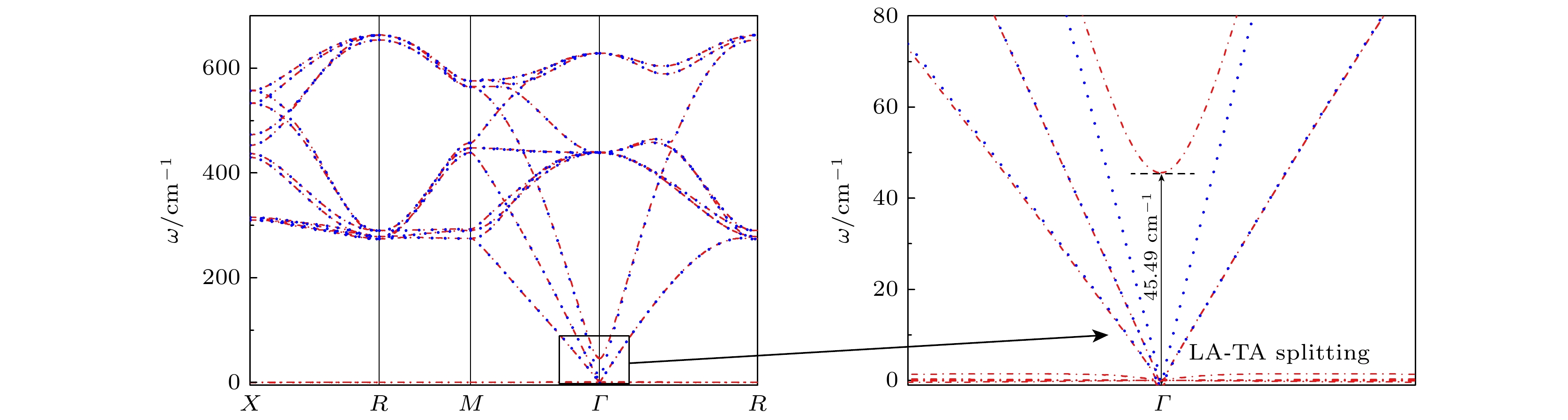
图 8 100 GPa压力下MgAl3-Pm${\bar {3}} $m结构的声子色散曲线, 图中蓝色点线是不考虑间隙电子影响的结果, 红色点划线是考虑了Bader电荷近似作为原子/ISQ有效电荷引起的库仑长程相互作用导致的LA-TA劈裂结果
Figure 8. Phonon dispersion curves of the MgAl3-Pm${\bar {3}} $m structure at 100 GPa. The blue dotted lines in the figure represent the results without considering the influence of interstitial electrons, while the red dashed lines show the LA-TA splitting induced by the long-range interaction of approximating Bader charges of atom/ISQ.
图 9 稳定的MgmAln化合物的电子投影态密度(PDOS)图 (a) 100 GPa的 MgAl3-Pm${\bar {3}} $m结构; (b) 200 GPa的MgAl3-P63/mmc结构; (c) 40 GPa的 MgAl-P4/mmm结构; (d) 95 GPa的 MgAl-Pmmb结构; (e) 350 GPa的MgAl-Fd${\bar {3}} $m结构; (f) 500 GPa的 Mg2Al- P${\bar {3}} $m1结构; (g) 50 GPa的Mg3Al-P63/mmc结构; (h) 350 GPa的 Mg3Al-Fm${\bar {3}} $m结构
Figure 9. Electronic projected density of states (PDOS) diagrams of stable MgmAln compounds: (a) MgAl3-Pm${\bar {3}} $m at 100 GPa; (b) MgAl3-P63/mmc at 200 GPa; (c) MgAl-P4/mmm at 40 GPa; (d) MgAl-Pmmb at 95 GPa; (e) MgAl-Fd${\bar {3}} $m at 350 GPa; (f) Mg2Al-P${\bar {3}} $m1 at 500 GPa; (g) Mg3Al-P63/mmc at 50 GPa; (h) Mg3Al-Fm${\bar {3}} $m at 350 GPa.
图 10 稳定的 MgmAln化合物的能带图 (a) 100 GPa的MgAl3-Pm${\bar {3}} $m结构; (b) 200 GPa的MgAl3-P63/mmc结构; (c) 40 GPa的MgAl-P4/mmm结构; (d) 95 GPa的MgAl-Pmmb结构; (e) 350 GPa的MgAl-Fd${\bar {3}} $m结构; (f) 500 GPa的Mg2Al-P${\bar {3}} $m1结构; (g) 50 GPa的Mg3Al-P63/mmc结构; (h) 350 GPa的Mg3Al-Fm${\bar {3}} $m结构
Figure 10. Band structure of stable MgmAln compounds: (a) MgAl3-Pm${\bar {3}} $m at 100 GPa; (b) MgAl3-P63/mmc at 200 GPa; (c) MgAl-P4/mmm at 40 GPa; (d) MgAl-Pmmb at 95 GPa; (e) MgAl-Fd${\bar {3}} $m at 350 GPa; (f) Mg2Al- P${\bar {3}} $m1 at 500 GPa; (g) Mg3Al-P63/mmc at 50 GPa; (h) Mg3Al-Fm${\bar {3}} $m at 350 GPa.
表 1 给定压强下 MgAl3-Pm${\bar {3}} $m, MgAl3-P63/mmc, MgAl-P4/mmm, MgAl-Pmmb, MgAl-Fd${\bar {3}} $m, Mg2Al-P${\bar {3}} $m1, Mg3Al-P63/mmc和Mg3Al-Fm${\bar {3}} $m中Mg, Al原子的价态、间隙准原子的电荷量(e/site)和总的局域电荷量(e/cell)
Table 1. Valence state of Mg and Al atoms and the charge quantity per site (e/site) of interstitial quasiatom, as well as the total local charge quantity per cell (e/cell) in MgAl3-Pm${\bar {3}} $m, MgAl3-P63/mmc, MgAl-P4/mmm, MgAl-Pmmb, MgAl-Fd${\bar {3}} $m, Mg2Al-P${\bar {3}} $m1, Mg3Al-P63/mmc and Mg3Al-Fm${\bar {3}} $m at given pressure.
Phase Mg/atom Al/atom ISQ/(e·site–1) ISQ/(e·cell–1) Pm${\bar {3}} $m MgAl3 (100 GPa) +1.48 +1.07 0.39 4.68 P63/mmc MgAl3 (200 GPa) +1.45 +1.65 ISQ1: 1.69; ISQ2: 1.57;
ISQ3: 1.60; ISQ4: 1.5612.81 P4/mmm MgAl (40 GPa) +1.47 –1.47 — — Pmmb MgAl (95 GPa) +1.44 –0.40 ISQ1: 0.53; ISQ2: 0.51 2.09 Fd${\bar {3}} $m MgAl (350 GPa) +1.36 +1.53 1.44 23.07 P${\bar {3}} $m1 Mg2Al (500 GPa) +1.32 +0.70 ISQ1: 0.35; ISQ2: 0.26 3.33 P63/mmc Mg3Al (50 GPa) +1.37 –3.96 0.15 0.30 Fm${\bar {3}} $m Mg3Al (350 GPa) +1.31 –3.95 — — I4/m Mg4Al (300 GPa) +1.23 –4.91 — — I4/m Mg4Al (350 GPa) +1.23 –1.76 0.79 6.32 表 A1 MgAl3-Pm${\bar {3}} $m, MgAl3-P63/mmc, MgAl-P4/mmm, MgAl-Pmmb, MgAl-Fd${\bar {3}} $m, Mg2Al-P${\bar {3}} $m1, Mg3Al-P63/mmc, Mg3Al-Fm${\bar {3}} $m, Mg4Al-I4/m和Mg5Al-P${\bar {3}} $m1在给定压强下的晶格参数和原子位置
Table A1. Lattice parameters and atomic coordinates of MgAl3-Pm${\bar {3}} $m, MgAl3-P63/mmc, MgAl-P4/mmm, MgAl-Pmmb, MgAl-Fd${\bar {3}} $m, Mg2Al-P${\bar {3}} $m1, Mg3Al-P63/mmc, Mg3Al-Fm${\bar {3}} $m, Mg4Al-I4/m and Mg5Al-P${\bar {3}} $m1 at given pressure.
Phase Lattice
parameters/ÅAtom Site Atomic coordinates Pm${\bar {3}} $m MgAl3
(100 GPa)a = b = c = 3.4807,
α = β = γ = 90°Mg 1a (0.00000 0.00000 0.00000) Al 3c (0.50000 0.50000 0.00000) P63/mmc MgAl3
(200 GPa)a = b = 4.6192, c = 3.7511,
α = β = 90°, γ = 120°Mg 2d (0.33333 0.66667 0.75000) Al 6h (0.16575 0.33150 0.25000) P4/mmm MgAl
(40 GPa)a = b = 2.6468, c = 3.8386,
α = β = γ = 90°Mg 1d (0.50000 0.50000 0.50000) Al 1a (0.00000 0.00000 0.00000) Pmmb MgAl
(95 GPa)a = 4.0475, b = 2.4798, c = 4.3490,
α = β = γ = 90°Mg 2f (0.25000 0.50000 0.33732) Al 2e (0.25000 0.00000 0.83940) Fd${\bar {3}} $m MgAl
(350 GPa)a = b = c = 4.8837,
α = β = γ = 90°Mg 8a (0.50000 0.50000 0.00000) Al 8b (0.50000 0.00000 0.00000) P${\bar {3}} $m1 Mg2Al
(500 GPa)a = b = 3.3248, c = 2.0093,
α = β = 90°, γ = 120°Mg 2d (0.33333 0.66667 0.49763) Al 1a (0.00000 0.00000 0.00000) P63/mmc Mg3Al
(50 GPa)a = b = 5.3284, c = 4.3022,
α = β = 90°, γ = 120°Mg 6h (0.16784 0.83216 0.25000) Al 2d (0.66667 0.33333 0.25000) Fm${\bar {3}} $m Mg3Al
(350 GPa)a = b = c = 4.8981,
α = β = γ = 90°Mg 4b (0.50000 0.50000 0.50000) 8c (0.75000 0.75000 0.75000) Al 4a (0.00000 0.00000 0.00000) I4/m Mg4Al
(500 GPa)a = b = 4.4643, c = 3.2322,
α = β = γ = 90°Mg 8h (0.09518 0.70193 0.50000) Al 2a (0.00000 0.00000 0.00000) P${\bar {3}} $m1 Mg5Al
(500 GPa)a = b = 3.3132, c = 4.0870,
α = β = 90°, γ = 120°Mg 2d (0.66667 0.33333 0.31434) 2d (0.66667 0.33333 0.81145) 1a (0.00000 0.00000 0.00000) Al 1b (0.00000 0.00000 0.50000) -
[1] Grochala W, Hoffmann R, Feng J, Ashcroft N W 2007 Angew. Chem. Int. Ed. 46 3620
Google Scholar
[2] Pickard C J, Needs R J 2011 Phys. Rev. Lett. 107 87201
Google Scholar
[3] Dong X, Oganov A R, Goncharov A F, Stavrou E, Lobanov S, Saleh G, Qian G R, Zhu Q, Gatti C, Deringer V L 2017 Nat. Chem. 9 440
Google Scholar
[4] 田城, 蓝剑雄, 王苍龙, 翟鹏飞, 刘杰 2022 物理学报 71 017102
Google Scholar
Tian C, Lan J X, Wang C L, Zhai P F, Liu J 2022 Acta Phys. Sin. 71 017102
Google Scholar
[5] 熊浩智, 王云江 2025 物理学报 74 086101
Google Scholar
Xiong H Z, Wang Y J 2025 Acta Phys. Sin. 74 086101
Google Scholar
[6] Miao M, Hoffmann R 2015 J. Am. Chem. Soc. 137 3631
Google Scholar
[7] Dye J L 1990 Science 247 663
Google Scholar
[8] Dye J L 2003 Science 301 607
Google Scholar
[9] Toda Y, Matsuishi S, Hayashi K, Ueda K, Kamiya T, Hirano M, Hosono H 2004 Adv. Mater. 16 685
Google Scholar
[10] 李凡, 张忻, 张久兴 2019 物理学报 68 206801
Google Scholar
Li F, Zhang X, Zhang J X 2019 Acta Phys. Sin. 68 206801
Google Scholar
[11] Menamparambath M M, Park J H, Yoo H S, Patole S P, Yoo J B, Kim S W, Baik S 2014 Nanoscale 6 8844
Google Scholar
[12] He H M, Li Y, Yang H, Yu D, Li S Y, Wu D, Hou J H, Zhong R L, Zhou Z J, Gu F L 2017 J. Phys. Chem. C 121 958
Google Scholar
[13] Guo Z X, Bergara A, Zhang X H, Li X, Ding S C, Yang G C 2024 Phys. Rev. B 109 134505
Google Scholar
[14] Wei J H, Zhong T, Sun J C, Liu H Y, Zhu L, Zhang S T 2025 Phys. Rev. B 111 184508
Google Scholar
[15] Wang C, Liu P Y, Liu Z, Cui T 2024 Results Phys. 60 107703
Google Scholar
[16] Wang D, Song H X, Hao Q D, Yang G F, Wang H, Zhang L L, Chen Y, Chen X R, Geng H Y 2024 J. Phys. Chem. C 129 689
Google Scholar
[17] Hu J P, Xu B, Yang S Y, Guan S, Ouyang C Y, Yao Y G 2015 ACS Appl. Mater. Interfaces 7 24016
Google Scholar
[18] Chen G H, Bai Y, Li H, Li Y, Wang Z H, Ni Q, Liu L, Wu F, Yao Y G, Wu C 2017 ACS Appl. Mater. Interfaces 9 6666
Google Scholar
[19] Druffel D L, Pawlik J T, Sundberg J D, McRae L M, Lanetti M G, Warren S C 2020 J. Phys. Chem. Lett. 11 9210
Google Scholar
[20] Ye T N, Li J, Kitano M, Hosono H 2017 Green Chem. 19 749
Google Scholar
[21] Toda Y, Hirayama H, Kuganathan N, Torrisi A, Sushko P V, Hosono H 2013 Nat. Commun. 4 2378
Google Scholar
[22] Zhang X H, Yang G C 2020 J. Phys. Chem. Lett. 11 3841
Google Scholar
[23] Zhou J, Feng Y P, Shen L 2020 Phys. Rev. B 102 180407
Google Scholar
[24] Lee S Y, Hwang J Y, Park J, Nandadasa C N, Kim Y, Bang J, Lee K, Lee K H, Zhang Y, Ma Y 2020 Nat. Commun. 11 1526
Google Scholar
[25] Hirayama M, Matsuishi S, Hosono H, Murakami S 2018 Phys. Rev. X 8 031067
Google Scholar
[26] Hosono H, Kitano M 2021 Chem. Rev. 121 3121
Google Scholar
[27] Miao M S, Hoffmann R 2014 Acc. Chem. Res. 47 1311
Google Scholar
[28] Sui X L, Wang J F, Duan W H 2019 J. Phys. Chem. C 123 5003
Google Scholar
[29] Yan J Q, Ochi M, Cao H B, Saparov B, Cheng J G, Uwatoko Y, Arita R, Sales B C, Mandrus D G 2018 J. Phys.: Condens. Matter 30 135801
Google Scholar
[30] Lu Y F, Wang J J, Li J, Wu J Z, Kanno S, Tada T, Hosono H 2018 Phys. Rev. B 98 125128
Google Scholar
[31] Wang X M, Wang Y, Wang J J, Pan S N, Lu Q, Wang H T, Xing D Y, Sun J 2022 Phys. Rev. Lett. 129 246403
Google Scholar
[32] Nakashima P N, Smith A E, Etheridge J, Muddle B C 2011 Science 331 1583
Google Scholar
[33] Liu C, Nikolaev S A, Ren W, Burton L A 2020 J. Mater. Chem. C 8 10551
Google Scholar
[34] Pickard C J, Needs R J 2010 Nat. Mater. 9 624
Google Scholar
[35] Li P F, Gao G Y, Wang Y C, Ma Y M 2010 J. Phys. Chem. C 114 21745
Google Scholar
[36] Zhu Q, Oganov A R, Lyakhov A O 2013 Phys. Chem. Chem. Phys. 15 7696
Google Scholar
[37] Miao M S, Wang X L, Brgoch J, Spera F, Jackson M G, Kresse G, Lin H Q 2015 J. Am. Chem. Soc. 137 14122
Google Scholar
[38] Li C, Yang W G, Sheng H W 2022 Phys. Rev. Mater. 6 033601
Google Scholar
[39] Li C, Li W W, Zhang X L, Du L C, Sheng H W 2022 Phys. Chem. Chem. Phys. 24 12260
Google Scholar
[40] Mao H K, Chen X J, Ding Y, Li B, Wang L 2018 Rev. Mod. Phys. 90 015007
Google Scholar
[41] Polsin D N, Fratanduono D E, Rygg J R, Lazicki A, Smith R F, Eggert J H, Gregor M C, Henderson B H, Delettrez J A, Kraus R G 2017 Phys. Rev. Lett. 119 175702
Google Scholar
[42] Wang Y C, Lv J, Zhu L, Ma Y M 2012 Comput. Phys. Commun. 183 2063
Google Scholar
[43] Wang Y C, Lv J, Zhu L, Ma Y M 2010 Phys. Rev. B 82 094116
Google Scholar
[44] Oganov A R, Glass C W 2006 J. Chem. Phys. 124 244704
Google Scholar
[45] Oganov A R, Lyakhov A O, Valle M 2011 Acc. Chem. Res. 44 227
Google Scholar
[46] Lyakhov A O, Oganov A R, Stokes H T, Zhu Q 2013 Comput. Phys. Commun. 184 1172
Google Scholar
[47] Kohn W, Sham L J 1965 Phys. Rev. 137 A1697
Google Scholar
[48] Hohenberg P, Kohn W 1964 Phys. Rev. 136 B864
Google Scholar
[49] Kresse G, Furthmüller J 1996 Phys. Rev. B 54 11169
Google Scholar
[50] Kresse G, Furthmüller J 1996 Comput. Mater. Sci. 6 15
Google Scholar
[51] Kresse G, Joubert D 1999 Phys. Rev. B 59 1758
Google Scholar
[52] Perdew J P, Burke K, Ernzerhof M 1996 Phys. Rev. Lett. 77 3865
Google Scholar
[53] Yu M, Trinkle D R 2011 J. Chem. Phys. 134 064111
Google Scholar
[54] Togo A, Tanaka I 2015 Scr. Mater. 108 1
Google Scholar
[55] Olijnyk H, Holzapfel W B 1985 Phys. Rev. B 31 4682
Google Scholar
[56] Akahama Y, Nishimura M, Kinoshita K, Kawamura H, Ohishi Y 2006 Phys. Rev. Lett. 96 045505
Google Scholar
[57] Tambe M J, Bonini N, Marzari N 2008 Phys. Rev. B 77 172102
Google Scholar
[58] Owen E A, Liu Y H 1947 Lond. Edinb. Dublin Philos. Mag. J. Sci. 38 354
Google Scholar
[59] Lyubimtsev A L, Baranov A I, Fischer A, Kloo L, Popovkin B A 2002 J. Alloys Compd. 340 167
Google Scholar
[60] Chang L C 1951 Acta Cryst. Sect. A 4 320
Google Scholar
[61] Kuriyama K, Saito S, Iwamura K 1979 J. Phys. Chem. Solids 40 457
Google Scholar
[62] Williams A 1989 J. Phys. : Condens. Matter 1 2569
Google Scholar
[63] Zhang L L, Wu Q, Li S R, Sun Y, Yan X Z, Chen Y, Geng H Y 2021 ACS Appl. Mater. Interfaces 13 6130
Google Scholar
[64] Zhang L L, Geng H Y, Wu Q 2021 Matter Radiat. Extremes 6 038403
Google Scholar
[65] Kang M G, Fang S A, Ye L D, Po H C, Denlinger J, Jozwiak C, Bostwick A, Rotenberg E, Kaxiras E, Checkelsky J G 2020 Nat. Commun. 11 4004
Google Scholar
Catalog
Metrics
- Abstract views: 543
- PDF Downloads: 12
- Cited By: 0









DownLoad: