-
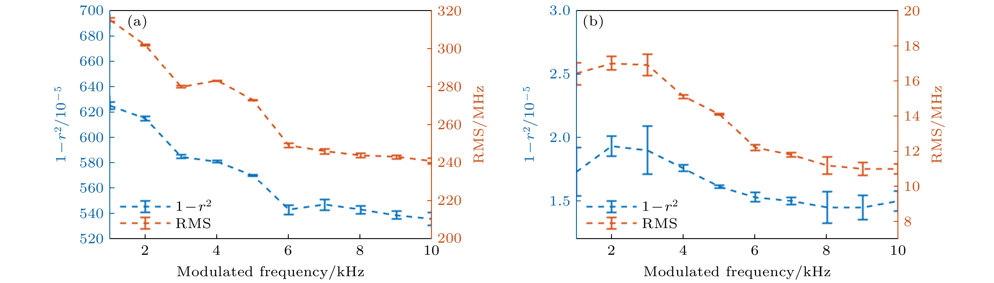
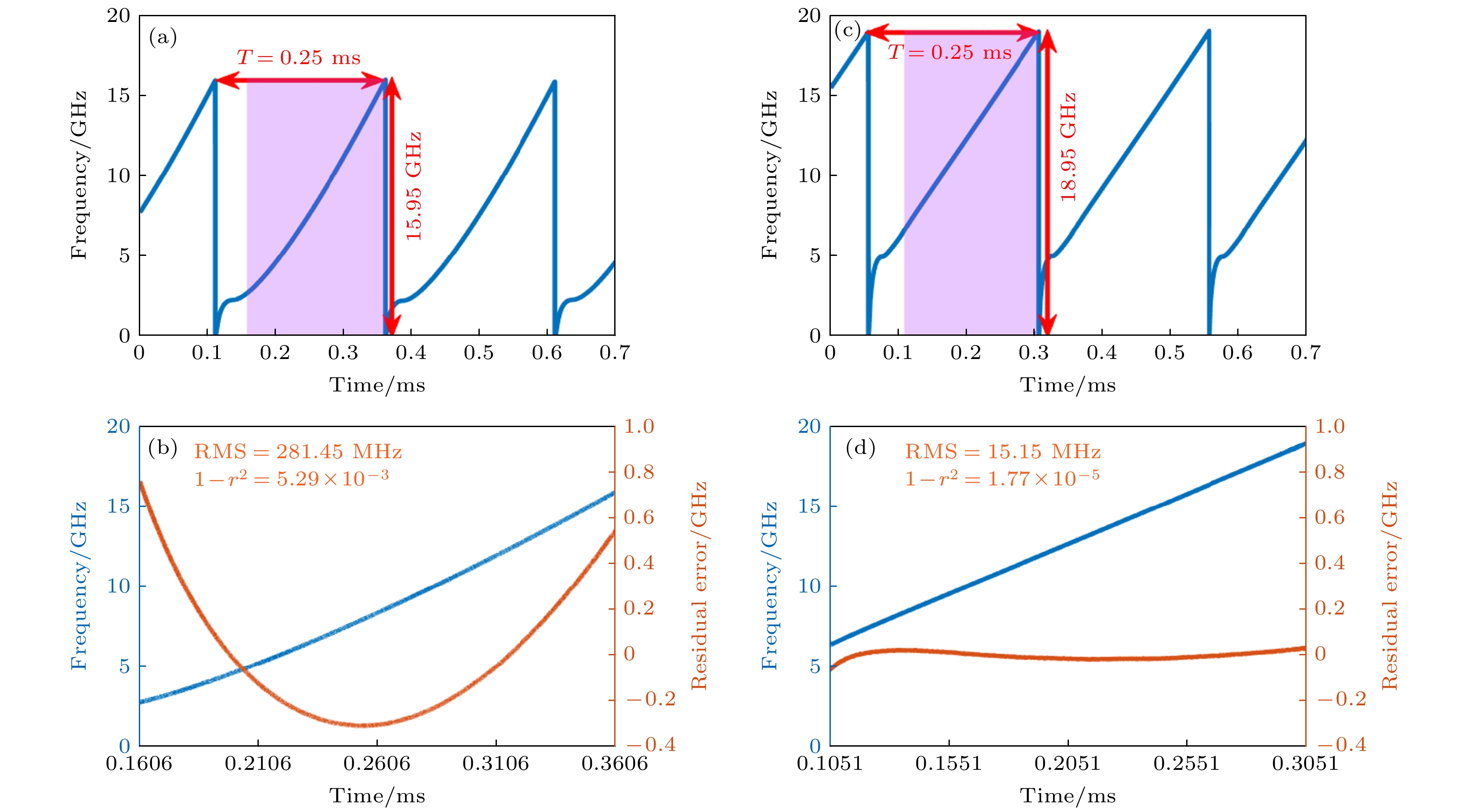
To address the frequency sweeping nonlinearity of frequency-modulated continuous-wave signals generated by a current-modulated distributed feedback laser diode, we propose and experimentally demonstrate a pre-distortion method based on a feedforward neural network. For this method, the beat frequency signals of the distributed feedback laser diode under a sawtooth-waveform current modulation are first experimentally obtained, and then the time-frequency curves of the distributed feedback laser diode output are obtained by performing a Hilbert transform on the beat signals. Subsequently, three-layer feedforward neural networks with 10, 5, and 3 hidden-layer neurons are constructed, respectively. By taking the driving current and the time-frequency curves as the input and output of the feedforward neural network, respectively, the nonlinear mapping relationship between them is established. Finally, a backpropagation algorithm is utilized to obtain the pre-distortion modulation current. Taking this current under the modulation frequency from 1 kHz to 10 kHz to drive the distributed feedback semiconductor laser (DFB-LD), the performance of the generated frequency-modulated continuous-wave (FMCW) signals is analyzed. We use nonlinear regression coefficients and residual root mean square values to characterize the performance. For the modulation frequency set at 4 kHz, the frequency sweeping nonlinearity and the residual root mean square value are reduced from 5.29×10–3 and 281 MHz to 1.77×10–5 and 15.15 MHz, respectively. With the modulation frequency fixed at 6 kHz, the frequency sweeping nonlinearity decreases from 5.58×10–3 to 1.52×10–5 and the residual root mean square declines from 251.98 MHz to 12.17 MHz in the proposed scheme. Across the entire tested frequency range from 1 kHz to 10 kHz, the nonlinearity remains stable at ~10–5 after adopting the pre-distortion scheme, with RMS values consistently below 20 MHz. The proposed method is expected to provide a new scheme for the linearization technology of the sweep signal in high-precision frequency-modulated continuous-wave light detection and ranging systems.
-
Keywords:
- frequency sweeping nonlinearity /
- feedforward neural network /
- pre-distortion /
- backpropagation algorithm
[1] Golconda S 2010 Ph. D. Dissertation (Lafayette: University of Louisiana at Lafayette
[2] Bețco D, Pârvu P V, Ciudin S 2024 Acta Astronaut. 216 55
Google Scholar
[3] Behera L, Agarwal S, Sandhan T, Sharma P, Kumar A, Ranjan A, Watsa S, Singh A, Kasina J S 2025 Int. J. Intell. Unmanne 13 92
Google Scholar
[4] Rablau C 2019 Fifteenth Conference on Education and Training in Optics and Photonics: ETOP 2019 Quebec, Canada, May 21–24, 2019 p11143
[5] Bhardwaj A, Sam L, Bhardwaj A, Martín-Torres F J 2016 Remote Sens. Environ. 177 125
Google Scholar
[6] Wang Q P, Xia G Q, Xie Y K, Ou P, He C T, Hu S, Zhang F L, Zhao M R, Wu Z M 2024 IEEE J. Quant. Elect. 60 2200408
Google Scholar
[7] 梁虹, 应康, 王迪, 魏金金, 李璇, 皮浩洋, 魏芳, 蔡海文 2021 中国激光 48 1606001
Google Scholar
Liang H, Ying K, Wang D Wei J J, Li X, Pi H Y, Wei F, Cai H W 2021 Chin. J. Lasers 48 1606001
Google Scholar
[8] Yang J W, Meng Y, Hu X L, Yang T X, Wang Z Y, Jia D F, Ge C F 2024 J. Lightw. Technol. 42 1870
Google Scholar
[9] Liu C X, Guo Y Y, Xu R Y, Lu L J, Li Y, Chen J P, Zhou L J 2024 Laser Photon. Rev. 18 2300882
Google Scholar
[10] Zhou P, Zhang R H, Li N Q, Jiang Z D, Pan S L 2022 J. Lightw. Technol. 40 2862
Google Scholar
[11] Yao Z Y, Mauldin T, Hefferman G, Wei T 2019 IEEE J. Sel. Top. Quant. Electron. 25 1502605
Google Scholar
[12] Na Q X, Xie Q J, Zhang N, Zhang L X, Li Y Z, Chen B S, Peng T, Zuo G M, Zhuang D W, Song J F 2023 Opt. Laser Eng. 164 107523
Google Scholar
[13] Knipp S 2018 M. S. Thesis (Kingston: University of Rhode Island
[14] Lin C X, Wang Y F, Tan Y D 2023 J. Lightw. Technol. 41 2846
Google Scholar
[15] Baumann E, Giorgetta F R, Coddington I, Sinclair L C, Knabe K, Swann W C, Newbury N R 2013 Opt. Lett. 38 2026
Google Scholar
[16] Xie W L, Meng Y X, Feng Y X, Zhou H J, Zhang L, Wei W, Dong Y 2021 Opt. Express 29 604
Google Scholar
[17] Satyan N, Vasilyev A, Rakuljic G, Leyva V, Yariv A 2009 Opt. Express 17 15991
Google Scholar
[18] Satyan N, Vasilyev A, Rakuljic G, White J O, Yariv A 2012 Opt. Express 20 25213
Google Scholar
[19] Zhang X S, Pouls J, Wu M C 2019 Opt. Express 27 9965
Google Scholar
[20] Cao X Y, Wu K, Li C, Zhang G J, Chen J P 2021 J. Opt. Soc. Am. B 38 D8
Google Scholar
[21] Li P, Zhang Y T, Yao J Q 2022 Remote Sens. 14 3455
Google Scholar
[22] Jiang Y C, Hu M, Xu M M, Li H Z, Zhou X F, Bi M H, Pan S Q, Liu C 2024 IEEE J. Quant. Elect. 60 1400107
Google Scholar
[23] Fang C, Ruan Y X, Guo Q H, Yu Y G 2025 Opt. Laser Technol. 180 111449
Google Scholar
-
图 3 基于FNN的FMCW LiDAR扫频非线性预失真方案 (a) 基于FNN的FMCW LiDAR扫频非线性预失真方案的实验系统; (b) 构建的FNN示意图
Figure 3. FNN-based frequency sweep nonlinearity pre-distortion scheme for FMCW LiDAR: (a) Experimental system of the FNN-based frequency sweep nonlinearity pre-distortion scheme for FMCW LiDAR; (b) schematic diagram of the constructed FNN.
图 6 在4 kHz调制频率下FMCW信号频率随时间的变化曲线(a), (c)和感兴趣区域内频率随时间的变化(蓝色)以及残差随时间的变化(橙色) (b), (d) (a), (b) 预失真前; (c), (d) 预失真后
Figure 6. Time-varying frequency curve of the FMCW signal at a 4 kHz modulation frequency (a), (c) and time-varying frequency (blue) and residual error (orange) within the interested time window(b), (d): (a), (b) Without pre-distortion; (c), (d) with pre-distortion.
图 8 在6 kHz调制频率下FMCW信号频率随时间的变化曲线(a), (c)和感兴趣区域内频率随时间的变化(蓝色)以及残差随时间的变化(橙色)(b), (d) (a), (b) 预失真前; (c), (d) 预失真后
Figure 8. Time-varying frequency curve of the FMCW signal at a 6 kHz modulation frequency (a), (c) and time-varying frequency (blue) and residual error (orange) within the interested time window (b), (d): (a), (b) Without pre-distortion; (c), (d) with pre-distortion.
-
[1] Golconda S 2010 Ph. D. Dissertation (Lafayette: University of Louisiana at Lafayette
[2] Bețco D, Pârvu P V, Ciudin S 2024 Acta Astronaut. 216 55
Google Scholar
[3] Behera L, Agarwal S, Sandhan T, Sharma P, Kumar A, Ranjan A, Watsa S, Singh A, Kasina J S 2025 Int. J. Intell. Unmanne 13 92
Google Scholar
[4] Rablau C 2019 Fifteenth Conference on Education and Training in Optics and Photonics: ETOP 2019 Quebec, Canada, May 21–24, 2019 p11143
[5] Bhardwaj A, Sam L, Bhardwaj A, Martín-Torres F J 2016 Remote Sens. Environ. 177 125
Google Scholar
[6] Wang Q P, Xia G Q, Xie Y K, Ou P, He C T, Hu S, Zhang F L, Zhao M R, Wu Z M 2024 IEEE J. Quant. Elect. 60 2200408
Google Scholar
[7] 梁虹, 应康, 王迪, 魏金金, 李璇, 皮浩洋, 魏芳, 蔡海文 2021 中国激光 48 1606001
Google Scholar
Liang H, Ying K, Wang D Wei J J, Li X, Pi H Y, Wei F, Cai H W 2021 Chin. J. Lasers 48 1606001
Google Scholar
[8] Yang J W, Meng Y, Hu X L, Yang T X, Wang Z Y, Jia D F, Ge C F 2024 J. Lightw. Technol. 42 1870
Google Scholar
[9] Liu C X, Guo Y Y, Xu R Y, Lu L J, Li Y, Chen J P, Zhou L J 2024 Laser Photon. Rev. 18 2300882
Google Scholar
[10] Zhou P, Zhang R H, Li N Q, Jiang Z D, Pan S L 2022 J. Lightw. Technol. 40 2862
Google Scholar
[11] Yao Z Y, Mauldin T, Hefferman G, Wei T 2019 IEEE J. Sel. Top. Quant. Electron. 25 1502605
Google Scholar
[12] Na Q X, Xie Q J, Zhang N, Zhang L X, Li Y Z, Chen B S, Peng T, Zuo G M, Zhuang D W, Song J F 2023 Opt. Laser Eng. 164 107523
Google Scholar
[13] Knipp S 2018 M. S. Thesis (Kingston: University of Rhode Island
[14] Lin C X, Wang Y F, Tan Y D 2023 J. Lightw. Technol. 41 2846
Google Scholar
[15] Baumann E, Giorgetta F R, Coddington I, Sinclair L C, Knabe K, Swann W C, Newbury N R 2013 Opt. Lett. 38 2026
Google Scholar
[16] Xie W L, Meng Y X, Feng Y X, Zhou H J, Zhang L, Wei W, Dong Y 2021 Opt. Express 29 604
Google Scholar
[17] Satyan N, Vasilyev A, Rakuljic G, Leyva V, Yariv A 2009 Opt. Express 17 15991
Google Scholar
[18] Satyan N, Vasilyev A, Rakuljic G, White J O, Yariv A 2012 Opt. Express 20 25213
Google Scholar
[19] Zhang X S, Pouls J, Wu M C 2019 Opt. Express 27 9965
Google Scholar
[20] Cao X Y, Wu K, Li C, Zhang G J, Chen J P 2021 J. Opt. Soc. Am. B 38 D8
Google Scholar
[21] Li P, Zhang Y T, Yao J Q 2022 Remote Sens. 14 3455
Google Scholar
[22] Jiang Y C, Hu M, Xu M M, Li H Z, Zhou X F, Bi M H, Pan S Q, Liu C 2024 IEEE J. Quant. Elect. 60 1400107
Google Scholar
[23] Fang C, Ruan Y X, Guo Q H, Yu Y G 2025 Opt. Laser Technol. 180 111449
Google Scholar
Catalog
Metrics
- Abstract views: 1143
- PDF Downloads: 44
- Cited By: 0









DownLoad: