-
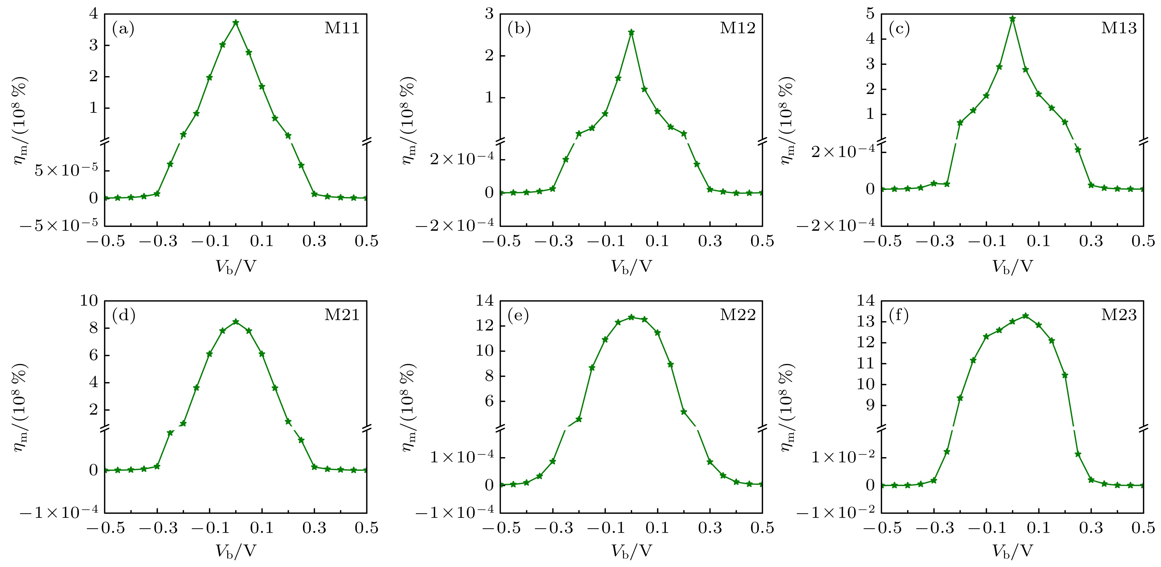
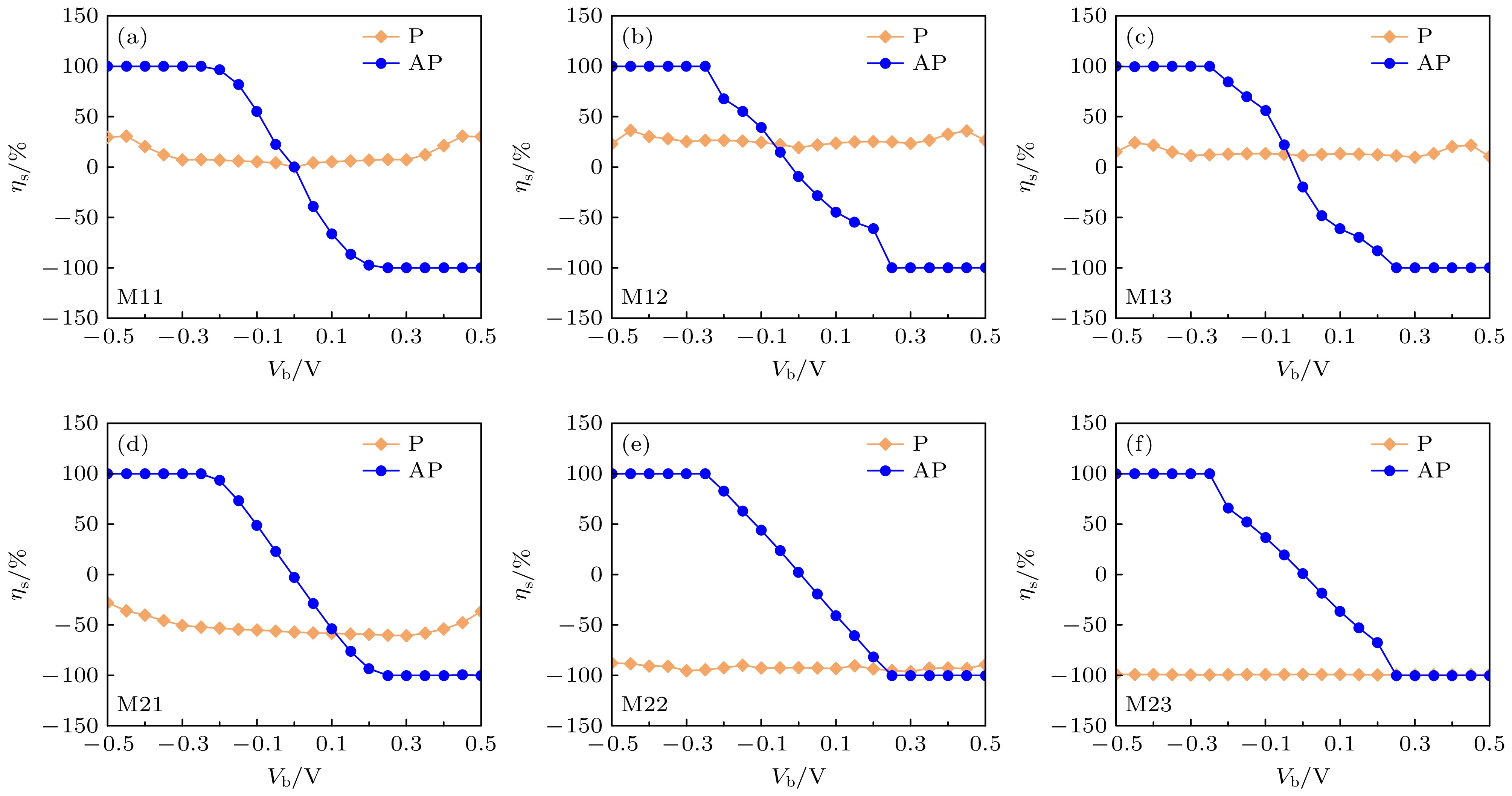
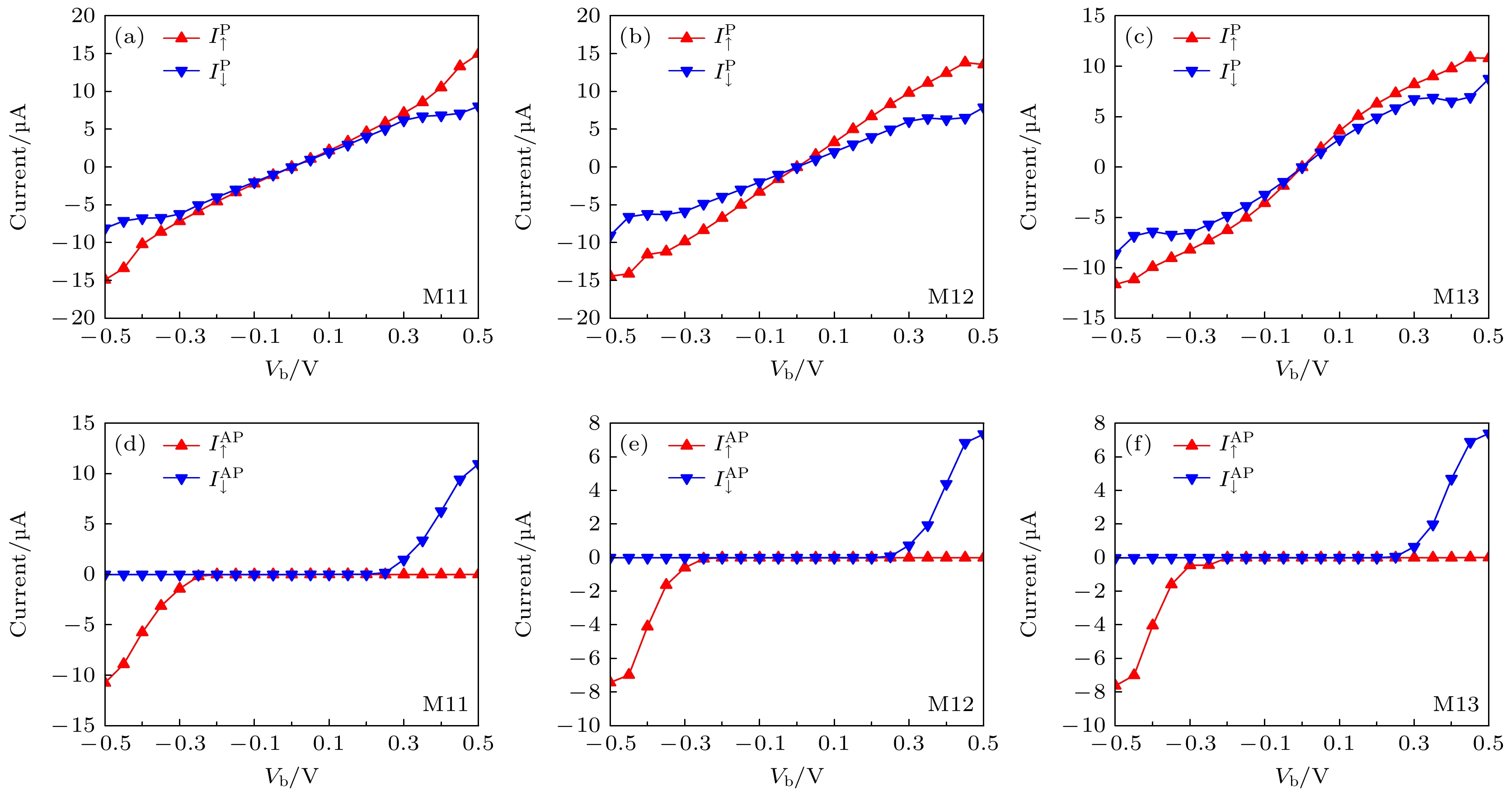
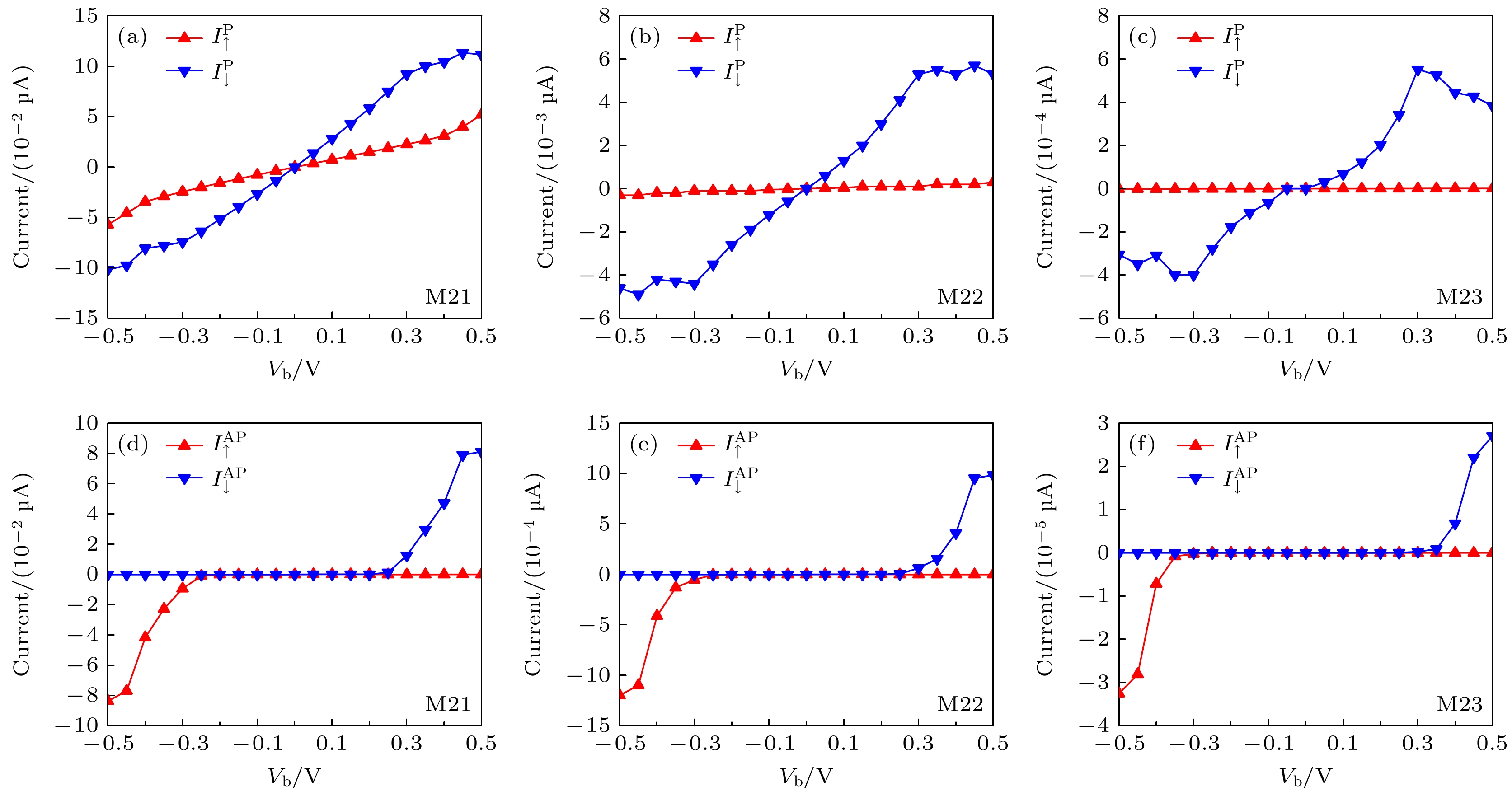
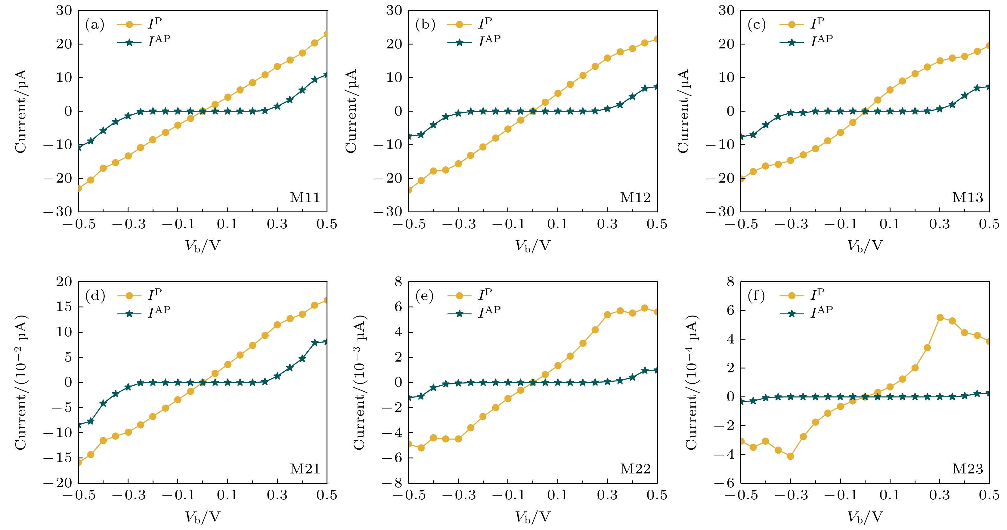
Spintronics holds profound significance for the development of future electronic devices, among which magnetic tunnel junctions (MTJs) represent a crucial spintronic device. In order to achieve excellent performance, such as higher tunnel magnetoresistance (TMR) and spin filtering effects, the molecular MTJs (MMTJs) have been investigated. Here, we adopt 6,6,12-graphyne (6,6,12-GY) nanodots as the barrier material in the central scattering region, while zigzag-edged graphene nanoribbons (ZGNRs) are adopted as electrode materials. Two kinds of devices, denoted as M1n and M2n, are constructed, which differ in the termination of the nanodots in the central scattering region. Due to the fact that the magnetization directions of the two ZGNRs electrodes can be set to be parallel (P) or antiparallel (AP), both M1n and M2n devices exhibit two different magnetic configurations. In this work, the structures are optimized using first-principles calculations based on density functional theory (DFT), as implemented in the Vienna ab-initio simulation package (VASP). By combining DFT with the nonequilibrium Green’s function (NEGF) method, the spin transport properties of MMTJs are studied. The calculated results show that all devices achieve high TMR effects, with their values reaching up to 108% in M1n and 109% in M2n. The total current calculations indicate that a distinct difference emerges between the P and AP configurations after applying a bias voltage, which leads to a superior TMR. These findings offer valuable insights into the future development of highly sensitive spintronic devices. From the perspective of spin current, it can be observed that for both M1n and M2n devices with AP configuration, opposite-direction spin currents can be obtained by applying positive or negative bias voltage. Namely, in the AP configuration, both devices achieve the ±100% spin polarization (SP), indicating a dual spin filtering effect. In the P configuration, the spin-up and spin-down currents in M1n exhibit similar trends with the bias increasing, while M2n can produce a pure spin-down current with the number of nanodots increasing. The 100% spin filtering efficiency achieved in these carbon-based devices is of great significance for increasing the storage density and operation speed of future spintronic devices. Notably, apart from the bias voltage, the spin current of M2n can also be controlled by switching the magnetization direction of the electrodes. In addition, the current in M2n is much smaller than that in M1n, which implies low power consumption in device applications. Our investigation on the spin-dependent transport properties of 6,6,12-GY-based MMTJs paves the way for promising spintronic applications of carbon-based materials. -
Keywords:
- 6,6,12-graphyne nanodots /
- zigzag graphene nanoribbons /
- tunneling magnetoresistance effect /
- spin filtering effect
[1] Wolf S A, Awschalom D D, Buhrman R A, Daughton J M, von Molnár S, Roukes M L, Chtchelkanova A Y, Treger D M 2001 Science 294 1488
Google Scholar
[2] Cheng H, Liu Z, Yao K 2011 Appl. Phys. Lett. 98 172107
Google Scholar
[3] Wang D, Zhang Z H, Deng X Q, Fan Z Q, Tang G P 2016 Carbon 98 204
Google Scholar
[4] Zatko V, Dubois S M M, Godel F, Galbiati M, Peiro J, Sander A, Carretero C, Vecchiola A, Collin S, Bouzehouane K, Servet B, Petroff F, Charlier J C, Martin M B, Dlubak B, Seneor P 2022 ACS Nano 16 14007
Google Scholar
[5] Han Z, Hao H, Zheng X, Zeng Z 2023 Phys. Chem. Chem. Phys. 25 6461
Google Scholar
[6] Yuasa S, Nagahama T, Fukushima A, Suzuki Y, Ando K 2004 Nat. Mater. 3 868
Google Scholar
[7] Dai J Q 2016 J. Appl. Phys. 120 074102
Google Scholar
[8] Hu L, Wu X, Feng Y, Liu Y, Xu Z, Gao G 2022 Nanoscale 14 7891
Google Scholar
[9] Li J, Xu L C, Yang Y, Liu X, Yang Z 2018 Carbon 132 632
Google Scholar
[10] Novoselov K S, Geim A K, Morozov S V, Jiang D, Zhang Y, Dubonos S V, Grigorieva I V, Firsov A A 2004 Science 306 666
Google Scholar
[11] Xu X, Liu C, Sun Z, Cao T, Zhang Z, Wang E, Liu Z, Liu K 2018 Chem. Soc. Rev. 47 3059
Google Scholar
[12] Tombros N, Jozsa C, Popinciuc M, Jonkman H T, van Wees B J 2007 Nature 448 571
Google Scholar
[13] Son Y W, Cohen M L, Louie S G 2006 Nature 444 347
Google Scholar
[14] Rao S S, Jammalamadaka S N, Stesmans A, Moshchalkov V V, van Tol J, Kosynkin D V, Higginbotham-Duque A, Tour J M 2012 Nano Lett. 12 1210
Google Scholar
[15] Baughman R H, Eckhardt H, Kertesz M 1987 J. Chem. Phys. 87 6687
Google Scholar
[16] Malko D, Neiss C, Viñes F, Görling A 2012 Phys. Rev. Lett. 108 086804
Google Scholar
[17] 王天会, 李昂, 韩柏 2019 物理学报 68 187102
Google Scholar
Wang T H, Li A, Han B 2019 Acta Phys. Sin. 68 187102
Google Scholar
[18] Cao L, Li X, Jia C, Liu G, Liu Z, Zhou G 2018 Carbon 127 519
Google Scholar
[19] Li J, Yang Z, Xu L, Yang Y, Liu X 2019 J. Mater. Chem. C 7 1359
Google Scholar
[20] Kresse G, Joubert D 1999 Phys. Rev. B 59 1758
Google Scholar
[21] Perdew J P, Burke K, Ernzerhof M 1996 Phys. Rev. Lett. 77 3865
Google Scholar
[22] Büttiker M, Imry Y, Landauer R, Pinhas S 1985 Phys. Rev. B 31 6207
Google Scholar
[23] Zheng X, Chen M, Xie Y 2022 Phys. Chem. Chem. Phys. 24 24328
Google Scholar
[24] Yang W, Cao Y, Han J, Lin X, Wang X, Wei G, Lü C, Bournel A, Zhao W 2021 Nanoscale 13 862
Google Scholar
[25] Iqbal M Z, Hussain G, Siddique S, Iqbal M W 2017 J. Magn. Magn. Mater. 441 39
Google Scholar
[26] Yamaguchi D, Kitaori A, Nagaosa N, Tokura Y 2025 Adv. Mater. 37 2420614
Google Scholar
[27] Ishizuka H, Nagaosa N 2020 Nat. Commun. 11 2986
Google Scholar
[28] Feng Y, Liu N, Gao G 2021 Appl. Phys. Lett. 118 112407
Google Scholar
[29] Li Y, Ma Z, Song X, Yang Z, Xu L C, Liu R, Li X, Liu X, Hu D 2017 Comput. Mater. Sci. 136 1
Google Scholar
[30] Gao Y, Xu L, Li A, Ouyang F 2023 Results Phys. 46 106315
Google Scholar
[31] Ozaki T, Nishio K, Weng H, Kino H 2010 Phys. Rev. B 81 075422
Google Scholar
[32] Zhao P, Wu Q H, Liu H Y, Liu D S, Chen G 2014 J Mater. Chem. C 2 6648
Google Scholar
-
图 1 器件各组分和器件整体的结构图 (a) 6,6,12-GY的结构图, 紫色和绿色碳原子表示裁剪的两种不同纳米点类型; (b) ZGNRs的自旋差分电荷和能带结构图, 红色和蓝色表示净自旋向上或自旋向下; (c) 设计的两种类型的MMTJs
Figure 1. Structure of MMTJs and its isolated components: (a) The structure of 6,6,12-GY, and purple and green atoms show two kinds of nanodots; (b) the spin difference densities and band structures of ZGNRs, where the red (blue) regions and the corresponding lines represent the spin-up (down) components; (c) the schematic diagrams of two kinds of MMTJs.
图 2 P和AP构型下的自旋差分密度 (a) 器件M11; (b) 器件M21. 红色和蓝色表示净的自旋向上和自旋向下分量. 等值面设置为±0.008 e/Å3
Figure 2. Spin difference densities $\Delta \rho $ of the P and AP spin configurations: (a) M11 device; (b) M21 device. The red and blue colors represent the spin-up and spin-down components. The isosurface values are taken as ±0.008 e/Å3.
图 8 器件M1n在P和AP构型下的自旋相关透射谱, 虚线表示偏压窗 (a) M11, (c) M12和 (e) M13在P构型下的透射谱; (b) M11, (d) M12和 (f) M13在AP构型下的透射谱
Figure 8. Spin-resolved transmission spectra of M1n devices in P and AP spin configurations, the black dash lines indicate the bias window. The P configurations of (a) M11, (c) M12 and (e) M13; AP configurations of (b) M11, (d) M12 and (f) M13.
图 9 器件M2n在P和AP构型下的自旋相关透射谱, 虚线表示偏压窗 (a) M11, (c) M12和 (e) M13在P构型下的透射谱; (b) M11, (d) M12和 (f) M13在AP构型下的透射谱
Figure 9. Spin-resolved transmission spectra of M2n devices in P and AP spin configurations, the black dash lines indicate the bias window. The P configurations of (a) M21, (c) M22 and (e) M23; AP configurations of (b) M21, (d) M22 and (f) M23.
-
[1] Wolf S A, Awschalom D D, Buhrman R A, Daughton J M, von Molnár S, Roukes M L, Chtchelkanova A Y, Treger D M 2001 Science 294 1488
Google Scholar
[2] Cheng H, Liu Z, Yao K 2011 Appl. Phys. Lett. 98 172107
Google Scholar
[3] Wang D, Zhang Z H, Deng X Q, Fan Z Q, Tang G P 2016 Carbon 98 204
Google Scholar
[4] Zatko V, Dubois S M M, Godel F, Galbiati M, Peiro J, Sander A, Carretero C, Vecchiola A, Collin S, Bouzehouane K, Servet B, Petroff F, Charlier J C, Martin M B, Dlubak B, Seneor P 2022 ACS Nano 16 14007
Google Scholar
[5] Han Z, Hao H, Zheng X, Zeng Z 2023 Phys. Chem. Chem. Phys. 25 6461
Google Scholar
[6] Yuasa S, Nagahama T, Fukushima A, Suzuki Y, Ando K 2004 Nat. Mater. 3 868
Google Scholar
[7] Dai J Q 2016 J. Appl. Phys. 120 074102
Google Scholar
[8] Hu L, Wu X, Feng Y, Liu Y, Xu Z, Gao G 2022 Nanoscale 14 7891
Google Scholar
[9] Li J, Xu L C, Yang Y, Liu X, Yang Z 2018 Carbon 132 632
Google Scholar
[10] Novoselov K S, Geim A K, Morozov S V, Jiang D, Zhang Y, Dubonos S V, Grigorieva I V, Firsov A A 2004 Science 306 666
Google Scholar
[11] Xu X, Liu C, Sun Z, Cao T, Zhang Z, Wang E, Liu Z, Liu K 2018 Chem. Soc. Rev. 47 3059
Google Scholar
[12] Tombros N, Jozsa C, Popinciuc M, Jonkman H T, van Wees B J 2007 Nature 448 571
Google Scholar
[13] Son Y W, Cohen M L, Louie S G 2006 Nature 444 347
Google Scholar
[14] Rao S S, Jammalamadaka S N, Stesmans A, Moshchalkov V V, van Tol J, Kosynkin D V, Higginbotham-Duque A, Tour J M 2012 Nano Lett. 12 1210
Google Scholar
[15] Baughman R H, Eckhardt H, Kertesz M 1987 J. Chem. Phys. 87 6687
Google Scholar
[16] Malko D, Neiss C, Viñes F, Görling A 2012 Phys. Rev. Lett. 108 086804
Google Scholar
[17] 王天会, 李昂, 韩柏 2019 物理学报 68 187102
Google Scholar
Wang T H, Li A, Han B 2019 Acta Phys. Sin. 68 187102
Google Scholar
[18] Cao L, Li X, Jia C, Liu G, Liu Z, Zhou G 2018 Carbon 127 519
Google Scholar
[19] Li J, Yang Z, Xu L, Yang Y, Liu X 2019 J. Mater. Chem. C 7 1359
Google Scholar
[20] Kresse G, Joubert D 1999 Phys. Rev. B 59 1758
Google Scholar
[21] Perdew J P, Burke K, Ernzerhof M 1996 Phys. Rev. Lett. 77 3865
Google Scholar
[22] Büttiker M, Imry Y, Landauer R, Pinhas S 1985 Phys. Rev. B 31 6207
Google Scholar
[23] Zheng X, Chen M, Xie Y 2022 Phys. Chem. Chem. Phys. 24 24328
Google Scholar
[24] Yang W, Cao Y, Han J, Lin X, Wang X, Wei G, Lü C, Bournel A, Zhao W 2021 Nanoscale 13 862
Google Scholar
[25] Iqbal M Z, Hussain G, Siddique S, Iqbal M W 2017 J. Magn. Magn. Mater. 441 39
Google Scholar
[26] Yamaguchi D, Kitaori A, Nagaosa N, Tokura Y 2025 Adv. Mater. 37 2420614
Google Scholar
[27] Ishizuka H, Nagaosa N 2020 Nat. Commun. 11 2986
Google Scholar
[28] Feng Y, Liu N, Gao G 2021 Appl. Phys. Lett. 118 112407
Google Scholar
[29] Li Y, Ma Z, Song X, Yang Z, Xu L C, Liu R, Li X, Liu X, Hu D 2017 Comput. Mater. Sci. 136 1
Google Scholar
[30] Gao Y, Xu L, Li A, Ouyang F 2023 Results Phys. 46 106315
Google Scholar
[31] Ozaki T, Nishio K, Weng H, Kino H 2010 Phys. Rev. B 81 075422
Google Scholar
[32] Zhao P, Wu Q H, Liu H Y, Liu D S, Chen G 2014 J Mater. Chem. C 2 6648
Google Scholar
Catalog
Metrics
- Abstract views: 584
- PDF Downloads: 9
- Cited By: 0









DownLoad: