-
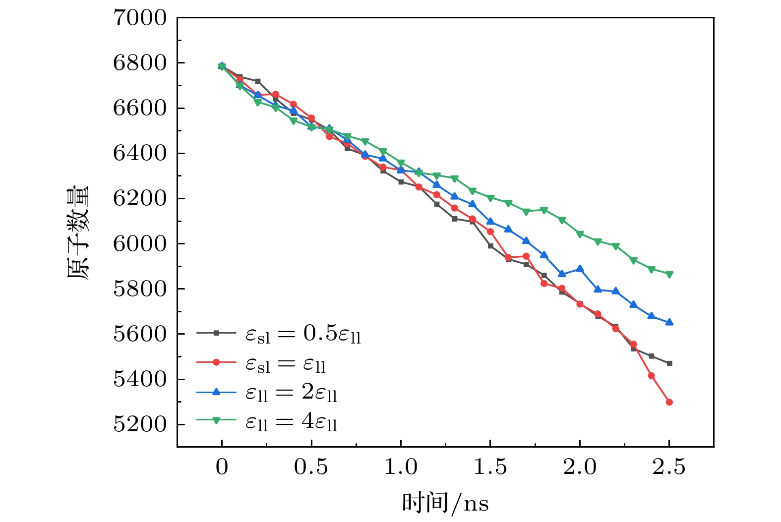
Liquid evaporation on a nanoscale is significantly strengthened by microscopic effects, with its rate even exceeding the predicted upper limit of the classical Hertz-Knudsen equation. This property makes nanoscale liquid evaporation highly valuable for applications in solar-driven interfacial evaporation, electronics cooling, and microfluidics. However, existing research predominantly focuses on the influence of individual microscopic effects, leaving the synergistic mechanisms of multiple effects to be poorly understood. To deeply reveal the microscopic mechanism of liquid phase change on a nanoscale, this study employs liquid argon as a model system to systematically investigate the synergistic effect of potential energy and cavitation on its evaporation. Using molecular dynamics simulations, we study the evaporation process of liquid argon within nanochannels characterized by different solid-liquid interaction strengths under identical temperature and time frame. The results indicate that an increase in the solid-liquid interaction strength reduces the average potential energy of liquid argon and increases the evaporation energy barrier, which theoretically should suppress the evaporation. Nevertheless, the capillary pressure induced by the increased meniscus curvature leads to negative pressure within the liquid argon, triggering a cavitation effect. This cavitation generates bubbles inside the liquid argon, which significantly increases the evaporation surface area and consequently promotes evaporation. Furthermore, the meniscus-dominated evaporation mode is gradually weakened, while the contribution from cavitation bubbles becomes increasingly pronounced. This study demonstrates that the evaporation rates of liquid argon in the four nanochannels with different interaction strengths are 3.49 × 10–14, 3.95 × 10–14, 3.02 × 10–14, and 2.44 × 10–14 kg/s, respectively. Therefore, it can be concluded that the evaporation rate does not vary linearly with the increase of solid-liquid interaction strength. On the contrary, under moderate interaction intensity, the optimal synergistic state between potential energy and the cavitation effect is achieved, thereby obtaining a maximum evaporation rate.
-
Keywords:
- molecular dynamics /
- nanoscale evaporation /
- liquid argon potential energy /
- cavitation effect /
- synergistic interaction
[1] Cheng H F, Hu Y A, Zhao J F 2009 Environ. Sci. Technol. 43 240
Google Scholar
[2] Lu W Q, Xie S H, Zhou W S, Zhang S H, Liu A L 2008 Open Environ. Sci. 2 1
Google Scholar
[3] Huang J C, Zhang Y J, Bing H J, Peng J, Dong F F, Gao J F, Arhonditsis G B 2021 Water Res. 201 117309
Google Scholar
[4] Tao P, Ni G, Song C Y, Shang W, Wu J B, Zhu J, Deng T 2018 Nat. Energy 31 1031
Google Scholar
[5] Vélez-Cordero J R, Hernandez-Cordero J 2015 Int. J. Therm. Sci. 96 12
Google Scholar
[6] Kashyap V, Ghasemi H 2020 J. Mater. Chem. A 8 7035
Google Scholar
[7] Ni G, Li G, Boriskina S V, Li H X, Yang W L, Zhang T J, Chen G 2016 Nat. Energy 1 16126
Google Scholar
[8] Ghasemi H, Ni G, Marconnet A M, Loomis J, Yerci S, Miljkovic N, Chen G 2014 Nat. Commun. 5 4449
Google Scholar
[9] Neumann O, Urban A S, Day J, Lal S, Nordlander P, Halas N J 2013 ACS nano 7 42
Google Scholar
[10] Dai X, Yang F, Yang R, Lee Y C, Li C 2013 Int. J. Heat Mass Transf. 64 1101
Google Scholar
[11] Dai X M, Yang F H, Yang R G, Huang X Y, Rigdon WA, Li X D, Li C 2014 Appl. Phys. Lett. 105 191611
Google Scholar
[12] Huang Z, Chen B, Mo X B, Yang X L, Yu L Y, Hu X J, Liu K 2021 Adv. Mater. Interfaces 8 2100660
Google Scholar
[13] Lee W C, Ronghe A, Villalobos L F, Huang S, Dakhchoune M, Mensi M, Agrawal K V 2022 ACS Nano 16 15382
Google Scholar
[14] Lee P S, Garimella S V 2008 Int. J. Heat Mass Transf. 51 789
Google Scholar
[15] Steinke M E, Kandlikar S G 2004 J. Heat Transf. 126 518
Google Scholar
[16] Bar-Cohen A, Sheehan J R, Rahim E 2012 Microgravity Sci. Technol. 24 1
Google Scholar
[17] Lee J, Mudawar I 2005 Int. J. Heat Mass Transf. 48 941
Google Scholar
[18] Li Y X, Alibakhshi M A, Zhao Y H, Duan C H 2017 Nano Lett. 17 4813
Google Scholar
[19] Fan J C, Wu H A, Wang F C 2020 Phys. Fluids 32 12001
Google Scholar
[20] Maroo S C, Chung J N 2011 Nanoscale Res. Lett. 6 72
Google Scholar
[21] Sharma S, Debenedetti P G 2012 J. Phys. Chem. B 116 13282
Google Scholar
[22] Pati S, Som S K, Chakraborty S 2013 Int. J. Heat Mass Transf. 64 304
Google Scholar
[23] Duan C H, Karnik R, Lu M C, Majumdar A 2012 Proc. Natl. Acad. Sci. U. S. A. 109 3688
Google Scholar
[24] Barati Farimani A, Aluru N R 2016 J. Phys. Chem. C 120 23763
Google Scholar
[25] Chandra A, Keblinski P 2020 J. Chem. Phys. 153 124505
Google Scholar
[26] Plimpton S 1995 J. Comput. Phys. 117 1
Google Scholar
[27] Foiles S M, Baskes M I, Daw M S 1986 Phys. Rev. B 33 7983
Google Scholar
[28] Ohtomo N, Tanaka Y 1987 J. Phys. Soc. Jpn. 56 2801
Google Scholar
[29] 梅涛, 陈占秀, 杨历, 朱洪漫, 苗瑞灿 2020 物理学报 69 224701
Google Scholar
Mei T, Chen Z X, Yang L, Zhu H M, Miao R C 2020 Acta Phys. Sin. 69 224701
Google Scholar
[30] Xie H, Xu Y Q, Zhong C 2022 Chin. Phys. B 31 114701
Google Scholar
[31] Doebele V, Benoit-Gonin A, Souris F 2020 Phys. Rev. Lett. 125 255701
Google Scholar
[32] 叶学民, 张湘珊, 李明兰, 李春曦 2018 物理学报 67 114702
Google Scholar
Ye X M, Zhang X S, Li M L, Li C X 2018 Acta Phys. Sin. 67 114702
Google Scholar
[33] Maroo S C, Chung J N 2010 Int. J. Heat Mass Transf. 53 3335
Google Scholar
-
图 8 固-液相互作用强度为$ {\varepsilon }_{\mathrm{s}\mathrm{l}}=0.5{\varepsilon }_{\mathrm{l}\mathrm{l}} $时, 对应时刻(a)通道内液氩的状态, 以及(b)通道内液氩压力沿通道长度方向的分布
Figure 8. (a) Snapshots of liquid argon configuration within the channel and (b) corresponding pressure profile along the channel’s longitudinal (y) axis under solid-liquid interaction $ {\varepsilon }_{\mathrm{s}\mathrm{l}}=0.5{\varepsilon }_{\mathrm{l}\mathrm{l}} $.
图 9 固-液相互作用强度为$ {\varepsilon }_{\mathrm{s}\mathrm{l}}={\varepsilon }_{\mathrm{l}\mathrm{l}} $时, 对应时刻(a)通道内液氩的状态, 以及(b)通道内液氩压力沿通道长度方向的分布
Figure 9. (a) Snapshots of liquid argon configuration within the channel and (b) corresponding pressure profile along the channel’s longitudinal (y) axis under solid-liquid interaction $ {\varepsilon }_{\mathrm{s}\mathrm{l}}={\varepsilon }_{\mathrm{l}\mathrm{l}} $.
图 10 固-液相互作用强度为$ {\varepsilon }_{\mathrm{s}\mathrm{l}}={2\varepsilon }_{\mathrm{l}\mathrm{l}} $ 时, 对应时刻(a)通道内液氩的形态, 以及(b)通道内液氩压力沿通道长度方向的分布
Figure 10. (a) Snapshots of liquid argon configuration within the channel and (b) corresponding pressure profile along the channel’s longitudinal (y) axis under solid-liquid interaction $ {\varepsilon }_{\mathrm{s}\mathrm{l}}={2\varepsilon }_{\mathrm{l}\mathrm{l}} $.
图 11 固-液相互作用强度为$ {\varepsilon }_{\mathrm{s}\mathrm{l}}={4\varepsilon }_{\mathrm{l}\mathrm{l}} $时, 对应时刻(a)通道内液氩的形态, 以及(b)通道内液氩压力沿通道长度方向的分布
Figure 11. (a) Snapshots of liquid argon configuration within the channel and (b) corresponding pressure profile along the channel’s longitudinal (y) axis under solid-liquid interaction $ {\varepsilon }_{\mathrm{s}\mathrm{l}}={4\varepsilon }_{\mathrm{l}\mathrm{l}} $.
图 12 不同固-液相互作用强度条件下空化气泡溃灭前气泡内的蒸汽原子 (a) $ {\varepsilon }_{\mathrm{s}\mathrm{l}}={\varepsilon }_{\mathrm{l}\mathrm{l}} $; (b) $ {\varepsilon }_{\mathrm{s}\mathrm{l}}={2\varepsilon }_{\mathrm{l}\mathrm{l}} $; (c) $ {\varepsilon }_{\mathrm{s}\mathrm{l}}={4\varepsilon }_{\mathrm{l}\mathrm{l}} $
Figure 12. Vapor atoms within cavitation bubbles immediately before collapse under different solid-liquid interaction strengths: (a) $ {\varepsilon }_{\mathrm{s}\mathrm{l}}={\varepsilon }_{\mathrm{l}\mathrm{l}} $; (b) $ {\varepsilon }_{\mathrm{s}\mathrm{l}}={2\varepsilon }_{\mathrm{l}\mathrm{l}} $; (c) $ {\varepsilon }_{\mathrm{s}\mathrm{l}}={4\varepsilon }_{\mathrm{l}\mathrm{l}} $.
图 16 不同固-液相互作用强度下弯液面的几何轮廓及其曲率半径 (a) $ {\varepsilon }_{\mathrm{s}\mathrm{l}}={\varepsilon }_{\mathrm{l}\mathrm{l}} $; (b) $ {\varepsilon }_{\mathrm{s}\mathrm{l}}={2\varepsilon }_{\mathrm{l}\mathrm{l}} $; (c) $ {\varepsilon }_{\mathrm{s}\mathrm{l}}=4{\varepsilon }_{\mathrm{l}\mathrm{l}} $
Figure 16. Geometric profile of the meniscus and its radius of curvature under different solid-liquid interaction strengths: (a) $ {\varepsilon }_{\mathrm{s}\mathrm{l}}={\varepsilon }_{\mathrm{l}\mathrm{l}} $; (b) $ {\varepsilon }_{\mathrm{s}\mathrm{l}}={2\varepsilon }_{\mathrm{l}\mathrm{l}} $; (c) $ {\varepsilon }_{\mathrm{s}\mathrm{l}}={4\varepsilon }_{\mathrm{l}\mathrm{l}} $.
表 1 不同固-液相互作用强度下液氩的理论物理性质
Table 1. Theoretical physical properties of liquid argon under different solid-liquid interaction intensities.
固-液势能
强度$ {\varepsilon }_{\mathrm{s}\mathrm{l}} $R/nm $ \gamma $/(mN·m–1) $ {P}_{\mathrm{c}} $/bar $ {P}_{\mathrm{v}} $/bar $ {P}_{\mathrm{l}} $/bar $ {\varepsilon }_{\mathrm{l}\mathrm{l}} $ 1.25 9.15 73.20 3.22 –69.98 2$ {\varepsilon }_{\mathrm{l}\mathrm{l}} $ 1.23 9.3 75.61 2.82 –72.79 4$ {\varepsilon }_{\mathrm{l}\mathrm{l}} $ 1.24 9.24 74.52 2.99 –71.53 -
[1] Cheng H F, Hu Y A, Zhao J F 2009 Environ. Sci. Technol. 43 240
Google Scholar
[2] Lu W Q, Xie S H, Zhou W S, Zhang S H, Liu A L 2008 Open Environ. Sci. 2 1
Google Scholar
[3] Huang J C, Zhang Y J, Bing H J, Peng J, Dong F F, Gao J F, Arhonditsis G B 2021 Water Res. 201 117309
Google Scholar
[4] Tao P, Ni G, Song C Y, Shang W, Wu J B, Zhu J, Deng T 2018 Nat. Energy 31 1031
Google Scholar
[5] Vélez-Cordero J R, Hernandez-Cordero J 2015 Int. J. Therm. Sci. 96 12
Google Scholar
[6] Kashyap V, Ghasemi H 2020 J. Mater. Chem. A 8 7035
Google Scholar
[7] Ni G, Li G, Boriskina S V, Li H X, Yang W L, Zhang T J, Chen G 2016 Nat. Energy 1 16126
Google Scholar
[8] Ghasemi H, Ni G, Marconnet A M, Loomis J, Yerci S, Miljkovic N, Chen G 2014 Nat. Commun. 5 4449
Google Scholar
[9] Neumann O, Urban A S, Day J, Lal S, Nordlander P, Halas N J 2013 ACS nano 7 42
Google Scholar
[10] Dai X, Yang F, Yang R, Lee Y C, Li C 2013 Int. J. Heat Mass Transf. 64 1101
Google Scholar
[11] Dai X M, Yang F H, Yang R G, Huang X Y, Rigdon WA, Li X D, Li C 2014 Appl. Phys. Lett. 105 191611
Google Scholar
[12] Huang Z, Chen B, Mo X B, Yang X L, Yu L Y, Hu X J, Liu K 2021 Adv. Mater. Interfaces 8 2100660
Google Scholar
[13] Lee W C, Ronghe A, Villalobos L F, Huang S, Dakhchoune M, Mensi M, Agrawal K V 2022 ACS Nano 16 15382
Google Scholar
[14] Lee P S, Garimella S V 2008 Int. J. Heat Mass Transf. 51 789
Google Scholar
[15] Steinke M E, Kandlikar S G 2004 J. Heat Transf. 126 518
Google Scholar
[16] Bar-Cohen A, Sheehan J R, Rahim E 2012 Microgravity Sci. Technol. 24 1
Google Scholar
[17] Lee J, Mudawar I 2005 Int. J. Heat Mass Transf. 48 941
Google Scholar
[18] Li Y X, Alibakhshi M A, Zhao Y H, Duan C H 2017 Nano Lett. 17 4813
Google Scholar
[19] Fan J C, Wu H A, Wang F C 2020 Phys. Fluids 32 12001
Google Scholar
[20] Maroo S C, Chung J N 2011 Nanoscale Res. Lett. 6 72
Google Scholar
[21] Sharma S, Debenedetti P G 2012 J. Phys. Chem. B 116 13282
Google Scholar
[22] Pati S, Som S K, Chakraborty S 2013 Int. J. Heat Mass Transf. 64 304
Google Scholar
[23] Duan C H, Karnik R, Lu M C, Majumdar A 2012 Proc. Natl. Acad. Sci. U. S. A. 109 3688
Google Scholar
[24] Barati Farimani A, Aluru N R 2016 J. Phys. Chem. C 120 23763
Google Scholar
[25] Chandra A, Keblinski P 2020 J. Chem. Phys. 153 124505
Google Scholar
[26] Plimpton S 1995 J. Comput. Phys. 117 1
Google Scholar
[27] Foiles S M, Baskes M I, Daw M S 1986 Phys. Rev. B 33 7983
Google Scholar
[28] Ohtomo N, Tanaka Y 1987 J. Phys. Soc. Jpn. 56 2801
Google Scholar
[29] 梅涛, 陈占秀, 杨历, 朱洪漫, 苗瑞灿 2020 物理学报 69 224701
Google Scholar
Mei T, Chen Z X, Yang L, Zhu H M, Miao R C 2020 Acta Phys. Sin. 69 224701
Google Scholar
[30] Xie H, Xu Y Q, Zhong C 2022 Chin. Phys. B 31 114701
Google Scholar
[31] Doebele V, Benoit-Gonin A, Souris F 2020 Phys. Rev. Lett. 125 255701
Google Scholar
[32] 叶学民, 张湘珊, 李明兰, 李春曦 2018 物理学报 67 114702
Google Scholar
Ye X M, Zhang X S, Li M L, Li C X 2018 Acta Phys. Sin. 67 114702
Google Scholar
[33] Maroo S C, Chung J N 2010 Int. J. Heat Mass Transf. 53 3335
Google Scholar
Catalog
Metrics
- Abstract views: 493
- PDF Downloads: 9
- Cited By: 0









DownLoad: