-
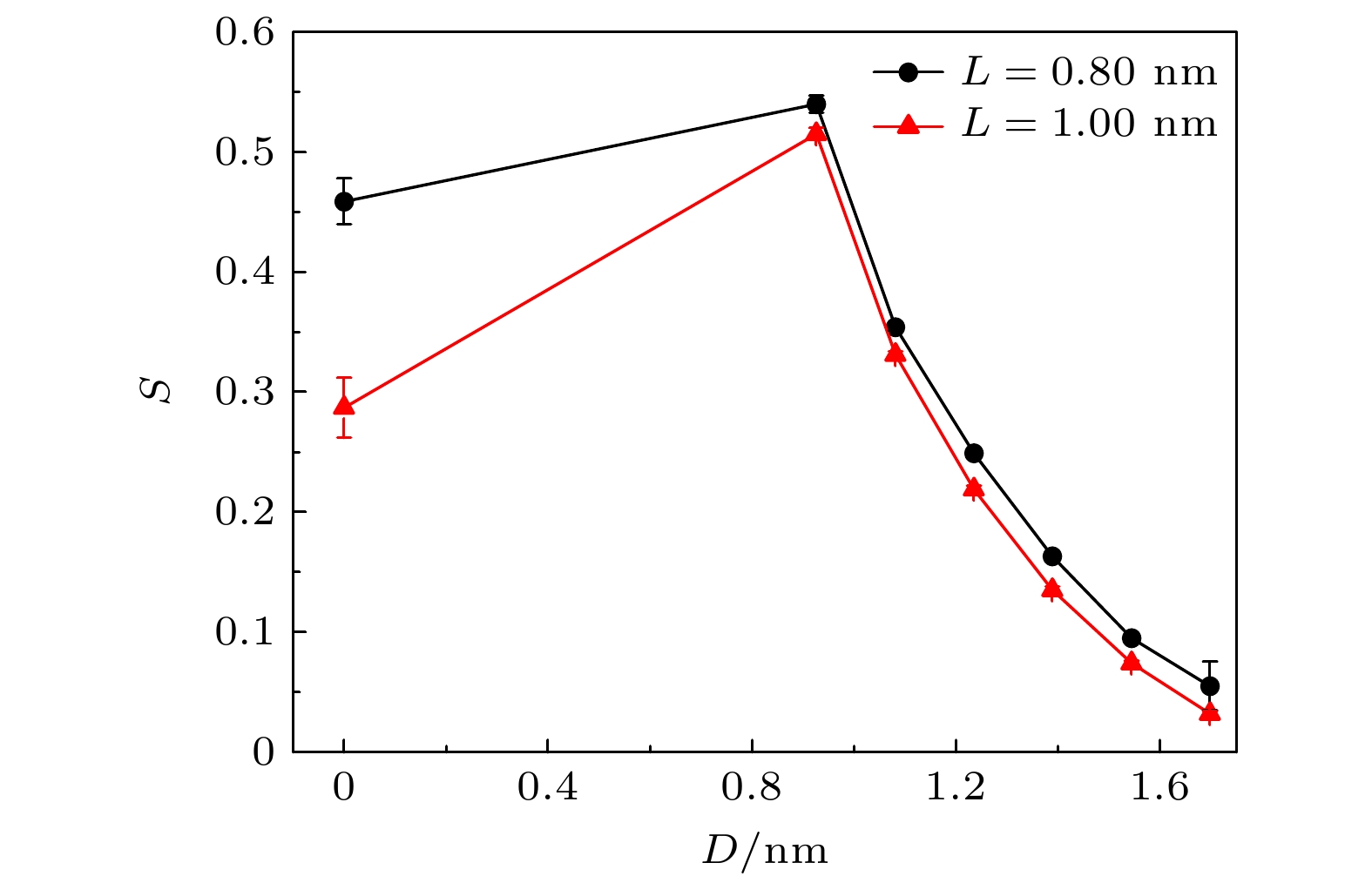
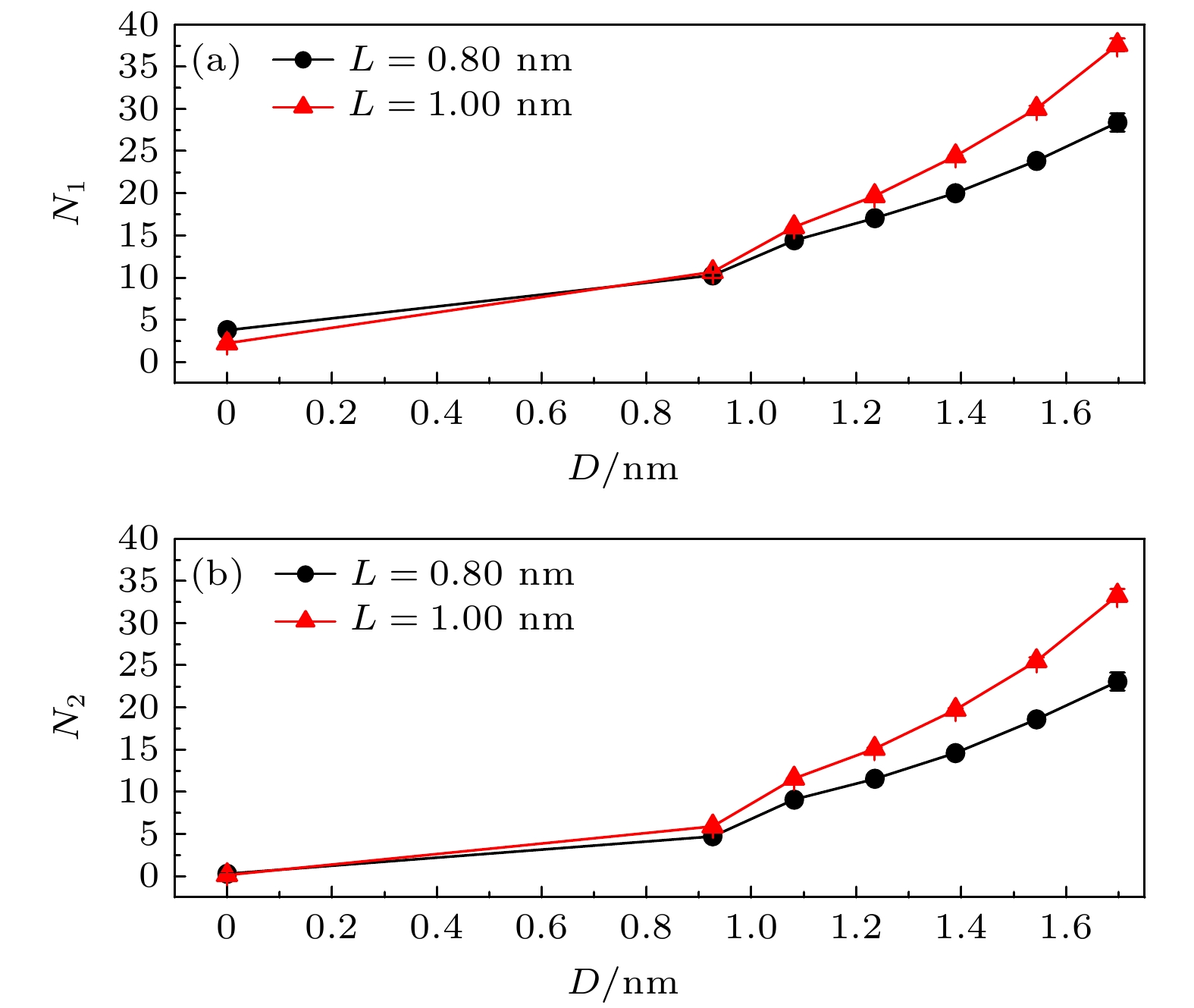
The challenge in transporting water molecules through one-dimensional, large, disjoint nanochannels arises from the breaking of the water bridge. Even under significant pressure differences, water molecules are difficult to transport through these large disjoint nanochannels. Restoring the broken water bridge is crucial for maintaining continuous water transport through disjoint nanochannels. Current repairing methods, including the application of uniform or terahertz electric fields, are passive solutions. Once the electric fields are removed, it will stop working, causing the bridge to break again. In this study, molecular dynamics simulations are employed to investigate water transport through disjoint nanochannels with large nanogaps mediated by the coverage of coaxial nanochannels. The results reveal that as the diameter of the covered nanochannel decreases, the peak interaction between water molecules and the nanochannel decreases, which facilitates the reformation of the water bridge within the nanogap region. The water transfer rate through the disjoint nanochannel exhibits a non-monotonic dependence on the covered nanochannel diameter: it increases rapidly initially, then decreases with further increase in diameter, eventually reaching a relatively stable flow rate. Increasing the diameter of the covered nanochannel enhances water occupancy within the disjoint nanochannel, while the velocity and order parameter of water molecules display an initial increase followed by a decrease with further increase in diameter. These results offer significant insights into understanding the influence of covered nanochannels on water transport through disjoint nanochannels andproviding novel approaches for repairing broken water bridges in disjoint nanochannel systems.
-
Keywords:
- water molecules /
- disjoint nanochannels /
- repair
[1] 孙志伟, 何燕, 唐元政 2021 物理学报 70 060201
Google Scholar
Sun Z W, He Y, Tang Y Z 2021 Acta Phys. Sin. 70 060201
Google Scholar
[2] 章其林, 王瑞丰, 周同, 王允杰, 刘琪 2023 物理学报 72 084207
Google Scholar
Zhang Q L, Wang R F, Zhou T, Wang Y J, Liu Q 2023 Acta Phys. Sin. 72 084207
Google Scholar
[3] Lau A W C, Sokoloff J B 2024 Phys. Rev. Lett. 132 194001
Google Scholar
[4] Wang Z H, Liu Y, Li Y Q, Qu Y Y, Zhou R H, Zhao M W, Li W F 2025 Nano Lett. 25 8458
Google Scholar
[5] Sahimi M, Ebrahimi F 2019 Phys. Rev. Lett. 122 214506
Google Scholar
[6] Tao J B, Song X Y, Bao B, Zhao S L, Liu H L 2020 Chem. Eng. Sci. 219 115602
Google Scholar
[7] 李伟健, 周晓艳, 陆杭军 2024 物理学报 73 094702
Google Scholar
Li W J, Zhou X Y, Lu H J 2024 Acta Phys. Sin. 73 094702
Google Scholar
[8] Liu Y, Zhu W D, Jiang J, Zhu C Q, Liu C, Slater B, Ojamae L, Francisco J S, Zeng X C 2021 P. Natl. Acad. Sci. USA 118 e2104442118
Google Scholar
[9] Camargo A P, Jusufi A, Lee A G, Koplik J, Morris J F, Giovambattista N 2024 Langmuir 40 18439
Google Scholar
[10] Liu Y, Jiang J, Pu Y Y, Francisco J S, Zeng X C 2023 ACS Nano 17 6922
Google Scholar
[11] Du W, Wang Y J, Yang J W, Chen J G 2024 Phys. Rev. E 109 L062103
Google Scholar
[12] Kohler M H, da Silva L B 2016 Chem. Phys. Lett. 645 38
Google Scholar
[13] Zhao K W, Wu H Y, Han B S 2017 J. Chem. Phys. 147 164705
Google Scholar
[14] Lipomi D J, Vosgueritchian M, Tee B C K, Hellstrom S L, Lee J A, Fox C H F, Bao Z N 2011 Nat. Nanotechnol. 6 788
Google Scholar
[15] Tunuguntla R H, Henley R Y, Yao Y C, Pham T A, Wanunu M, Noy A 2017 Science 357 792
Google Scholar
[16] Martincic M, Tobias G 2015 Expert Opin. Drug Del. 12 563
Google Scholar
[17] Mun T J, Kim S H, Park J W, Moon J H, Jang Y, Huynh C, Baughman R H, Kim S J 2020 Adv. Funct. Mater. 30 2000411
Google Scholar
[18] Li J Y, Yang Z X, Fang H P, Zhou R H, Tang X W 2007 Chin. Phys. Lett. 24 2710
Google Scholar
[19] Liu Y C, Wang Q 2005 Phys. Rev. B 72 085420
Google Scholar
[20] Sam A, Prasad K V, Sathian S P 2019 Phys. Chem. Chem. Phys. 21 6566
Google Scholar
[21] Qiu T, Meng X W, Huang J P 2015 J. Phys. Chem. B 119 1496
Google Scholar
[22] Meng X W, Wang L Y 2023 Chem. Phys. Lett. 829 140765
Google Scholar
[23] Meng X W, Wang L Y 2024 Chem. Phys. Lett. 849 141424
Google Scholar
[24] Meng X W, Shen L 2020 Chem. Phys. Lett. 739 137029
Google Scholar
[25] Ebrahimi F, Maktabdaran G R, Sahimi M 2020 J. Phys. Chem. B 124 8340
Google Scholar
[26] Zhang Q L, Wu Y X, Yang R Y, Zhang J L, Wang R F 2021 Chem. Phys. Lett. 762 138139
Google Scholar
[27] Zhang Q L, Wang Y J, Yang H, Deng Y F, Wang T Q, Yang R Y, Zhu Z 2025 Phys. Fluids 37 012031
Google Scholar
[28] Meng X W, Li Y, Shen L, Yang X Q 2020 EPL 131 20003
Google Scholar
[29] Meng X W, Li Y 2022 Physica E 135 114980
Google Scholar
[30] Wang F, Zhang X K, Li S, Su J Y 2022 J. Mol. Liq. 362 119719
Google Scholar
[31] Wu Y, Wang Z, Li S, Su J Y 2024 Phys. Fluids 36 022006
Google Scholar
[32] Hummer G, Rasaiah J C, Noworyta J P 2001 Nature 414 188
Google Scholar
[33] Jorgensen W L, Chandrasekhar J, Madura J D, Impey R W, Klein M L 1983 J. Chem. Phys. 79 926
Google Scholar
[34] Hess B, Kutzner C, Van De Spoel D, Lindahl E 2008 J. Chem. Theory. Comp. 4 435
Google Scholar
[35] Nose S 1984 J. Chem. Phys. 81 511
Google Scholar
[36] Hoover W G 1985 Phys. Rev. A 31 1695
Google Scholar
[37] Wan R Z, Li J Y, Lu H J, Fang H P 2005 J. Am. Chem. Soc. 127 7166
Google Scholar
[38] Li J Y, Gong X J, Lu H J, Li D, Fang H P 2007 P. Natl. Acad. Sci. USA 104 3687
Google Scholar
[39] Darden T A, York D M, Pedersen L G 1993 J. Chem. Phys. 98 10089
Google Scholar
[40] Yang F B, Zhang Z R, Xu L J, Liu Z F, Jin P, Zhuang P F, Lei M, Liu J R, Jiang J H, Ouyang X P, Marchesoni F, Huang J P 2024 Rev. Mod. Phys. 96 015002
Google Scholar
-
图 1 (a)模拟框架图, 包括2片平行的石墨烯, 1个断裂纳米管及其同轴包覆的完整纳米管和水层, 其中水分子用红白球表示, 石墨烯及断裂纳米管用青色表示, 压强方向如黑色箭头所示; (b)同轴包覆完整纳米管示意图, 该纳米管的直径为D; (c)断裂纳米管示意图, 该断裂纳米管的裂隙长度标记为L, 断裂纳米管由2个分离的纳米管及间隙组成
Figure 1. (a) Side view of the simulation framework, which includes two parallel sheets, a disjoint nanochannel covered by a coaxial nanochannel, and two water reservoirs. Carbon atoms are shown by the cyan balls, and water molecules are shown by the red balls and the white balls, respectively. The black arrows show the direction of the pressure difference. (b) The nanochannel with a diameter of D used to cover the disjoint nanochannel is displayed in blue. (c) The disjoint nanochannel with a nonogap length of L. The disjoint nanochannel is fabricated by two separated carbon nanotubes and a nanogap.
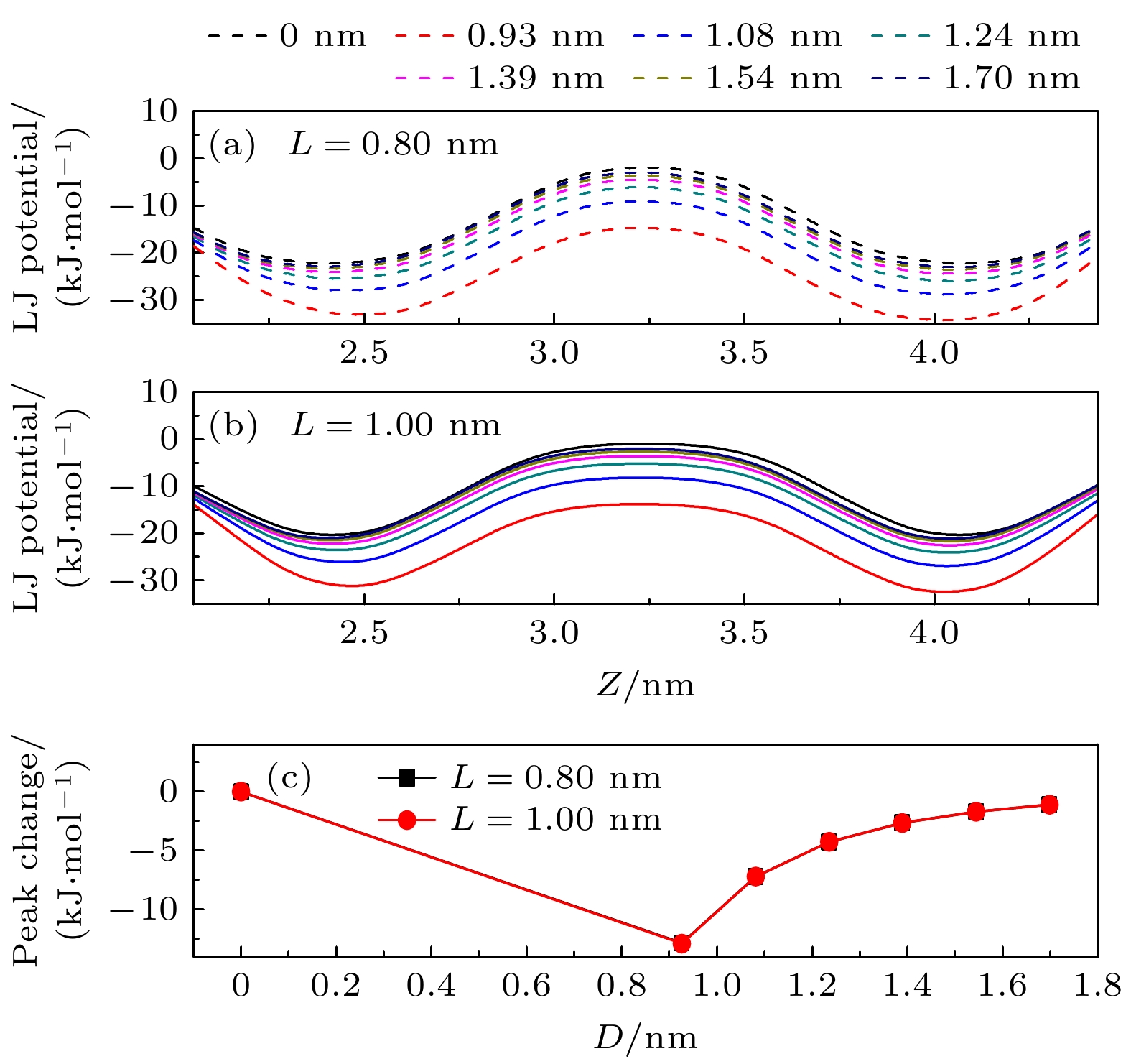
图 4 (a), (b) 当L = 0.80, 1.00 nm时, 断裂纳米管内的水分子与纳米管间勒纳德-琼斯势能是位置z的函数; (c)勒纳德-琼斯势能尖峰相对于D = 0 nm的断裂纳米管下降程度
Figure 4. (a), (b) The Lennard-Jones potential between water molecules and the disjoint nanochannel for L = 0.80, 1.00 nm as a function of position (z), respectively; (c) the peak change of the Lennard-Jones potential between water molecules and the disjoint nanochannel for L = 0.80, 1.00 nm compared to the peak of the interaction in the disjoint nanochannel with D = 0 nm, respectively.
图 5 (a)—(c) D = 0, 0.93, 1.70 nm时, L = 0.80 nm的断裂纳米管内的水分子的结构图; (e)—(f) D = 0, 0.93, 1.70 nm时, L = 1.00 nm的断裂纳米管内的水分子的结构图
Figure 5. (a)–(c) The structure of water molecules in disjoint nanochannels with L = 0.80 nm for D = 0, 0.93, 1.70 nm, respectively; (e)–(f) the structure of water molecules in disjoint nanochannels with L = 1.00 nm for D = 0, 0.93, 1.70 nm, respectively.
-
[1] 孙志伟, 何燕, 唐元政 2021 物理学报 70 060201
Google Scholar
Sun Z W, He Y, Tang Y Z 2021 Acta Phys. Sin. 70 060201
Google Scholar
[2] 章其林, 王瑞丰, 周同, 王允杰, 刘琪 2023 物理学报 72 084207
Google Scholar
Zhang Q L, Wang R F, Zhou T, Wang Y J, Liu Q 2023 Acta Phys. Sin. 72 084207
Google Scholar
[3] Lau A W C, Sokoloff J B 2024 Phys. Rev. Lett. 132 194001
Google Scholar
[4] Wang Z H, Liu Y, Li Y Q, Qu Y Y, Zhou R H, Zhao M W, Li W F 2025 Nano Lett. 25 8458
Google Scholar
[5] Sahimi M, Ebrahimi F 2019 Phys. Rev. Lett. 122 214506
Google Scholar
[6] Tao J B, Song X Y, Bao B, Zhao S L, Liu H L 2020 Chem. Eng. Sci. 219 115602
Google Scholar
[7] 李伟健, 周晓艳, 陆杭军 2024 物理学报 73 094702
Google Scholar
Li W J, Zhou X Y, Lu H J 2024 Acta Phys. Sin. 73 094702
Google Scholar
[8] Liu Y, Zhu W D, Jiang J, Zhu C Q, Liu C, Slater B, Ojamae L, Francisco J S, Zeng X C 2021 P. Natl. Acad. Sci. USA 118 e2104442118
Google Scholar
[9] Camargo A P, Jusufi A, Lee A G, Koplik J, Morris J F, Giovambattista N 2024 Langmuir 40 18439
Google Scholar
[10] Liu Y, Jiang J, Pu Y Y, Francisco J S, Zeng X C 2023 ACS Nano 17 6922
Google Scholar
[11] Du W, Wang Y J, Yang J W, Chen J G 2024 Phys. Rev. E 109 L062103
Google Scholar
[12] Kohler M H, da Silva L B 2016 Chem. Phys. Lett. 645 38
Google Scholar
[13] Zhao K W, Wu H Y, Han B S 2017 J. Chem. Phys. 147 164705
Google Scholar
[14] Lipomi D J, Vosgueritchian M, Tee B C K, Hellstrom S L, Lee J A, Fox C H F, Bao Z N 2011 Nat. Nanotechnol. 6 788
Google Scholar
[15] Tunuguntla R H, Henley R Y, Yao Y C, Pham T A, Wanunu M, Noy A 2017 Science 357 792
Google Scholar
[16] Martincic M, Tobias G 2015 Expert Opin. Drug Del. 12 563
Google Scholar
[17] Mun T J, Kim S H, Park J W, Moon J H, Jang Y, Huynh C, Baughman R H, Kim S J 2020 Adv. Funct. Mater. 30 2000411
Google Scholar
[18] Li J Y, Yang Z X, Fang H P, Zhou R H, Tang X W 2007 Chin. Phys. Lett. 24 2710
Google Scholar
[19] Liu Y C, Wang Q 2005 Phys. Rev. B 72 085420
Google Scholar
[20] Sam A, Prasad K V, Sathian S P 2019 Phys. Chem. Chem. Phys. 21 6566
Google Scholar
[21] Qiu T, Meng X W, Huang J P 2015 J. Phys. Chem. B 119 1496
Google Scholar
[22] Meng X W, Wang L Y 2023 Chem. Phys. Lett. 829 140765
Google Scholar
[23] Meng X W, Wang L Y 2024 Chem. Phys. Lett. 849 141424
Google Scholar
[24] Meng X W, Shen L 2020 Chem. Phys. Lett. 739 137029
Google Scholar
[25] Ebrahimi F, Maktabdaran G R, Sahimi M 2020 J. Phys. Chem. B 124 8340
Google Scholar
[26] Zhang Q L, Wu Y X, Yang R Y, Zhang J L, Wang R F 2021 Chem. Phys. Lett. 762 138139
Google Scholar
[27] Zhang Q L, Wang Y J, Yang H, Deng Y F, Wang T Q, Yang R Y, Zhu Z 2025 Phys. Fluids 37 012031
Google Scholar
[28] Meng X W, Li Y, Shen L, Yang X Q 2020 EPL 131 20003
Google Scholar
[29] Meng X W, Li Y 2022 Physica E 135 114980
Google Scholar
[30] Wang F, Zhang X K, Li S, Su J Y 2022 J. Mol. Liq. 362 119719
Google Scholar
[31] Wu Y, Wang Z, Li S, Su J Y 2024 Phys. Fluids 36 022006
Google Scholar
[32] Hummer G, Rasaiah J C, Noworyta J P 2001 Nature 414 188
Google Scholar
[33] Jorgensen W L, Chandrasekhar J, Madura J D, Impey R W, Klein M L 1983 J. Chem. Phys. 79 926
Google Scholar
[34] Hess B, Kutzner C, Van De Spoel D, Lindahl E 2008 J. Chem. Theory. Comp. 4 435
Google Scholar
[35] Nose S 1984 J. Chem. Phys. 81 511
Google Scholar
[36] Hoover W G 1985 Phys. Rev. A 31 1695
Google Scholar
[37] Wan R Z, Li J Y, Lu H J, Fang H P 2005 J. Am. Chem. Soc. 127 7166
Google Scholar
[38] Li J Y, Gong X J, Lu H J, Li D, Fang H P 2007 P. Natl. Acad. Sci. USA 104 3687
Google Scholar
[39] Darden T A, York D M, Pedersen L G 1993 J. Chem. Phys. 98 10089
Google Scholar
[40] Yang F B, Zhang Z R, Xu L J, Liu Z F, Jin P, Zhuang P F, Lei M, Liu J R, Jiang J H, Ouyang X P, Marchesoni F, Huang J P 2024 Rev. Mod. Phys. 96 015002
Google Scholar
Catalog
Metrics
- Abstract views: 1236
- PDF Downloads: 21
- Cited By: 0









DownLoad: