-
HfOx memristors have emerged as one of the most promising candidates for next-generation non-volatile memory due to their low operating voltage, excellent endurance, and cycling characteristics. However, the randomness in the formation and rupture of oxygen vacancy conductive filaments within HfOx thin films leads to a relatively dispersed threshold voltage distribution and poor stability. Therefore, improving the stability of HfOx devices by modulating oxygen vacancies is of significant research importance. In this study, three groups of W/HfOx/Pt devices are prepared using magnetron sputtering with argon-to-oxygen ratios of 30∶20, 40∶10 and 45∶5, respectively. X-ray photoelectron spectroscopy results indicate that the 45∶5 device has the highest oxygen vacancy concentration (25.59%). All of three groups exhibit bipolar resistive switching behavior. Of the three W/HfOx/Pt devices, the device with the argon-to-oxygen ratio of 45∶5 demonstrates the best overall performance: over 200 I -V cycles, a switching ratio of ~103, excellent data retention within 104 s, and a concentrated threshold voltage distribution. Analysis of the conduction mechanisms reveals that the device follows a space-charge-limited current (SCLC) mechanism in the high-resistance state and exhibits Ohmic conduction behavior in the low-resistance state. In the initial state, there is a high density of oxygen vacancies near the nucleation region of the conductive filament, which can shorten the effective migration path of oxygen vacancies. Under an applied electric field, negatively charged oxygen ions migrate toward the top electrode, while oxygen vacancies gradually accumulate from the bottom electrode to the top electrode, leading to the formation of continuous conductive filaments. A higher oxygen vacancy concentration facilitates the development of robust and structurally more stable conductive filaments, thereby enhancing the uniformity of resistive switching and device reliability. This study reveals the critical role of oxygen vacancy modulation in the performance of HfOx memristors and provides an effective pathway for developing high-performance and highly reliable resistive random-access memory.
-
Keywords:
- memristor /
- HfOx thin film /
- oxygen vacancy /
- conductive filament
[1] Tang K, Wang Y, Gong C H, Yin C J, Zhang M, Wang X F, Xiong J 2022 Adv. Electron. Mater. 8 2101099
Google Scholar
[2] Cao D W, Yan Y, Wang M N, Luo G L, Zhao J R, Zhi J K, Xia C X, Liu Y F 2024 Adv. Funct. Mater. 34 2314649
Google Scholar
[3] Zhang Y, Mao G Q, Zhao X L, Li Y, Zhang M Y, Wu Z H, Wu W, Sun H J, Guo Y Z, Wang L H, Zhang X M, Liu Q, Lv H B, Xue K H, Xu G W, Miao X S, Long S B, Liu M 2021 Nat. Commun. 12 7232
Google Scholar
[4] Zhang G B, Fan X M, Wang J, Wang Z J, Zhang Z J, Li P T, Ma Y T, Huang K J, Yu B, Wan Q, Miao X S, Zhang Y S 2025 Nat. Commun. 16 5759
Google Scholar
[5] Yao P, Wu H Q, Gao B, Tang J S, Zhang Q T, Zhang W Q, Yang J J, Qian H 2020 Nature 577 641
Google Scholar
[6] 刘东青, 程海峰, 朱玄, 王楠楠, 张朝阳 2014 物理学报 63 187301
Google Scholar
Liu D Q, Cheng H F, Zhu X, Wang N N, Zhang C Y 2014 Acta Phys. Sin. 63 187301
Google Scholar
[7] Lanza M, Sebastian A, Lu W D, Le Gallo M, Chang M F, Akinwande D, Puglisi F M, Alshareef H N, Liu M, Roldan J B 2022 Science 376 eabj9979
Google Scholar
[8] Sun T Y, Qin Z B, Yu F T, Gao S, Wangyang P H, Tang X S, Li H O, Zhang F B, Xu Z M, Cai P, Jiang C S, Xue X G 2025 Appl. Surf. Sci. 679 161150
Google Scholar
[9] Wang L, Zhu H Y, Zuo Z, Wen D Z 2023 Adv. Electron. Mater. 9 2201032
Google Scholar
[10] Hota M K, Pazos S, Lanza M, Alshareef H N 2025 Mater. Sci. Eng. R Rep. 164 100983
Google Scholar
[11] 龚少康, 周静, 王志青, 朱茂聪, 沈杰, 吴智, 陈文 2021 物理学报 70 197301
Google Scholar
Gong S K, Zhou J, Wang Z Q, Zhu M C, Shen J, Wu Z, Chen W 2021 Acta Phys. Sin. 70 197301
Google Scholar
[12] Yang Y F, Xu M K, Jia S J, Wang B L, Xu L J, Wang X X, Liu H, Liu Y S, Guo Y Z, Wang L D, Duan S K, Liu K, Zhu M, Pei J, Duan W R, Liu D M, Li H L 2021 Nat. Commun. 12 6081
Google Scholar
[13] Chen L, He Z L, Li C D, Wen S P, Chen Y R 2020 Int. J. Bifurcat. Chaos 30 2050172
Google Scholar
[14] Zhou G D, Wang Z R, Sun B, Zhou F C, Sun L F, Zhao H B, Hu X F, Peng X Y, Yan J, Wang H M, Wang W H, Li J, Yan B T, Kuang D L, Wang Y C, Wang L D, Duan S K 2022 Adv. Electron. Mater. 8 2101127
Google Scholar
[15] 张浩哲, 徐春燕, 南海燕, 肖少庆, 顾晓峰 2020 物理学报 69 246101
Google Scholar
Zhang H Z, Xu C Y, Nan H Y, Xiao S Q, Gu X F 2020 Acta Phys. Sin. 69 246101
Google Scholar
[16] Rusevich L L, Tyunina M, Kotomin E A, Nepomniashchaia N, Dejneka A 2021 Sci. Rep. 11 23341
Google Scholar
[17] Zhang B, Fan F, Xue W H, Liu G, Fu Y B, Zhuang X D, Xu X H, Gu J W, Li R W, Chen Y 2019 Nat. Commun. 10 736
Google Scholar
[18] Teja Nibhanupudi S S, Roy A, Veksler D, Coppin M, Matthews K C, Disiena M, Ansh, Singh J V, Gearba-Dolocan I R, Warner J, Kulkarni J P, Bersuker G, Banerjee S K 2024 Nat. Commun. 15 2334
Google Scholar
[19] Chen S C, Yang Z, Hartmann H, Besmehn A, Yang Y C, Valov I 2025 Nat. Commun. 16 2348
Google Scholar
[20] Hua P, Ning D 2014 Chin. Phys. Lett. 31 107303
Google Scholar
[21] Wang W X, Yin F F, Niu H S, Li Y, Kim E S, Kim N Y 2023 Nano Energy 106 108072
Google Scholar
[22] Wu M C, Chen J Y, Ting Y H, Huang C Y, Wu W W 2021 Nano Energy 82 105717
Google Scholar
[23] Tao Y, Wang Z Q, Xu H Y, Ding W T, Zhao X N, Lin Y, Liu Y C 2020 Nano Energy 71 104628
Google Scholar
[24] Bai J, Xie W W, Zhang W Q, Yin Z P, Wei S S, Qu D H, Li Y, Qin F W, Zhou D Y, Wang D J 2022 Appl. Surf. Sci. 600 154084
Google Scholar
[25] Banerjee W, Kashir A, Kamba S 2022 Small 18 2107575
Google Scholar
[26] 王英, 黄慧香, 黄香林, 郭婷婷 2023 物理学报 72 197201
Google Scholar
Wang Y, Huang H X, Huang X L, Guo T T 2023 Acta Phys. Sin. 72 197201
Google Scholar
[27] Hah J, West M P, Athena F F, Hanus R, Vogel E M, Graham S 2022 J. Mater. Sci. 57 9299
Google Scholar
[28] Sharath S U, Vogel S, Molina-Luna L, Hildebrandt E, Wenger C, Kurian J, Duerrschnabel M, Niermann T, Niu G, Calka P, Lehmann M, Kleebe H J, Schroeder T, Alff L 2017 Adv. Funct. Mater. 27 1700432
Google Scholar
[29] Wei T T, Lu Y Y, Zhang F, Tang J S, Gao B, Yu P, Qian H, Wu H Q 2023 Adv. Mater. 35 2209925
Google Scholar
[30] Zhou Q Z, Wang F, Zhao X Y, Hu K, Zhang Y J, Shan X, Lin X, Zhang Y P, Shan K, Zhang K L 2023 J. Intell. Fuzzy Syst. 45 5159
Google Scholar
[31] Ran H F, Ren Z J, Li J, Sun B, Wang T Y, Gu D S, Wang W H, Hu X F, Dong Z K, Song Q L, Wang L D, Duan S K, Zhou G D 2025 Adv. Funct. Mater. 35 2418113
Google Scholar
[32] Zhang Z Z, Wang F, Hu K, She Y, Song S N, Song Z T, Zhang K L 2021 Materials 14 3330
Google Scholar
[33] Yu S M, Chen H Y, Gao B, Kang J F, Wong H S P 2013 ACS Nano 7 2320
Google Scholar
[34] Wang C X, Mao G Q, Huang M H, Huang E M, Zhang Z C, Yuan J H, Cheng W M, Xue K H, Wang X S, Miao X S 2022 Adv. Sci. 9 2201446
Google Scholar
[35] Kaiser N, Vogel T, Zintler A, Petzold S, Arzumanov A, Piros E, Eilhardt R, Molina-Luna L, Alff L 2022 ACS Appl. Mater. Interfaces 14 1290
Google Scholar
[36] Jana B, Roy Chaudhuri A 2024 Chips 3 235
Google Scholar
[37] Dai Y H, Pan Z Y, Wang F F, Li X F 2016 AIP Adv. 6 085209
Google Scholar
[38] Zhang K N, Ren Y, Ganesh P, Cao Y 2022 Npj Comput. Mater. 8 76
Google Scholar
[39] Li S Q, Du J G, Lu J G, Lu B J, Zhuge F, Yang R Q, Lu Y D, Ye Z Z 2022 J. Mater. Chem. C 10 17154
Google Scholar
[40] Liu Y H, Zuo Q Y, Sun J Y, Dai J X, Cheng C H, Huang H L 2024 J. Appl. Phys. 135 184502
Google Scholar
[41] Shi Q W, Aziz I, Ciou J H, Wang J X, Gao D C, Xiong J Q, Lee P S 2022 Nano-Micro Lett. 14 195
Google Scholar
[42] Saka K, Gokcen D, Efkere H I, Bayram C, Ozcelik S 2025 J. Mater. Sci.: Mater. Electron. 36 824
Google Scholar
[43] Mahata C, So H, Ju D, Ismail M, Kim S, Hsu C C, Park K, Kim S 2024 Nano Energy 129 110015
Google Scholar
[44] Rudrapal K, Biswas M, Jana B, Adyam V, Chaudhuri A R 2023 J. Phys. D: Appl. Phys. 56 205302
Google Scholar
[45] Hwang H G, Pyo Y, Woo J U, Kim I S, Kim S W, Kim D S, Kim B, Jeong J, Nahm S 2022 J. Alloys Compd. 902 163764
Google Scholar
[46] Yang Y C, Zhang X X, Qin L, Zeng Q B, Qiu X H, Huang R 2017 Nat. Commun. 8 15173
Google Scholar
[47] Liu C, Zhang C C, Cao Y Q, Wu D, Wang P, Li A D 2020 J. Mater. Chem. C 8 12478
Google Scholar
[48] Fu L P, Liu H Y, Fan X L, Li Y T 2023 Phys. Scr. 98 095017
Google Scholar
[49] Hsu C C, Chuang H, Jhang W C 2021 J. Alloys Compd. 882 160758
Google Scholar
[50] Wu M C, Jang W Y, Lin C H, Tseng T Y 2012 Semicond. Sci. Technol. 27 065010
Google Scholar
[51] Ye Cong, Deng T F, Zhang J C, Shen L P, He P, Wei W, Wang H 2016 Semicond. Sci. Technol. 31 105005
Google Scholar
[52] Yan X Y, Wang X T, Xing B R, Yu Y, Yao J D, Niu X Y, Li M G, Sha J, Wang Y W 2020 AIP Adv. 10 075013
Google Scholar
[53] Yang C, Wang H Y, Cao Z L, Wang K, Zhou G D, Hou W T, Zhao Y, Sun B 2025 ACS Appl. Mater. Interfaces 17 6550
Google Scholar
[54] Wang J Q, Wang H Y, Cao Z L, Zhu S H, Du J M, Yang C, Ke C, Zhao Y, Sun B 2024 Adv. Funct. Mater. 34 2313219
Google Scholar
[55] Medvedeva J E, Zhuravlev I A, Burris C, Buchholz D B, Grayson M, Chang R P H 2020 J. Appl. Phys. 127 175701
Google Scholar
[56] Zhang D L, Wang J, Wu Q, Du Y 2023 Phys. Chem. Chem. Phys. 25 3521
Google Scholar
[57] Aziz J, Kim H, Rehman S, Hur J H, Song Y H, Khan M F, Kim D K 2021 Mater. Res. Bull. 144 111492
Google Scholar
[58] Fadeev A V, Rudenko K V 2024 Microelectron. Eng. 289 112179
Google Scholar
[59] Boynazarov T, Lee J, Lee H, Lee S, Chung H, Ryu D H, Abbas H, Choi T 2025 J. Mater. Sci. Technol. 227 164
Google Scholar
-
图 4 HfOx薄膜的XPS能谱 (a)—(c) 氩氧比为(a) 30∶20, (b) 40∶10, (c) 45∶5条件下Hf 4f核心能级谱图; (d)—(f) 氩氧比为(d) 30∶20, (e) 40∶10, (f) 45∶5条件下O 1s核心能级谱图
Figure 4. XPS spectra of the HfOx thin films: (a)–(c) Hf 4f core level spectrum with argon-to-oxygen ratios of (a) 30∶20, (b) 40∶10, (c) 45∶5; (d)–(f) O 1s core level spectrum with argon-to-oxygen ratios of (d) 30∶20, (e) 40∶10, (f) 45∶5.
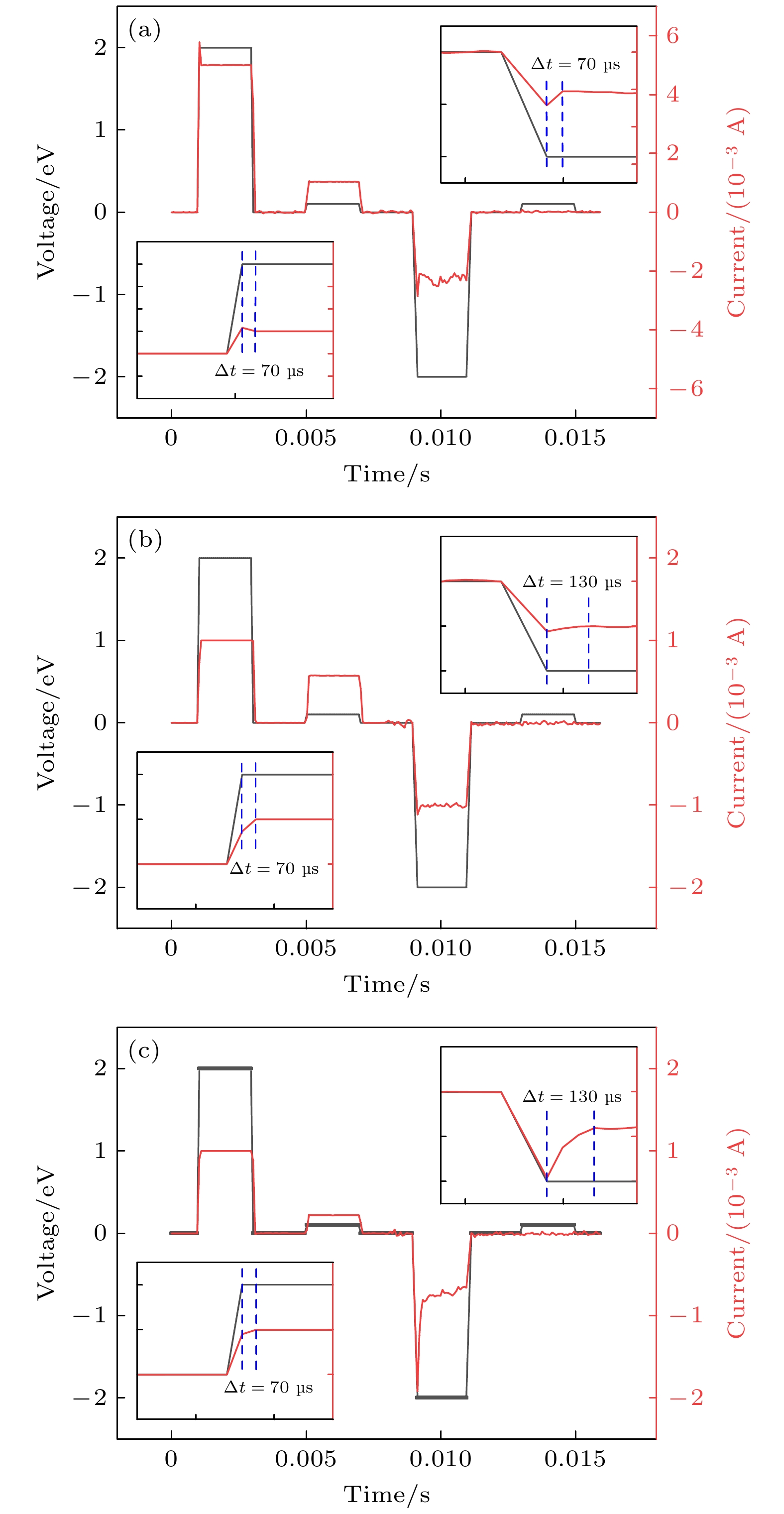
图 10 W/HfOx/Pt忆阻器的脉冲响应时间(图中黑色曲线为设置电压, 红色曲线为器件在电脉冲下测试的电流值) (a) 30∶20器件; (b) 40∶10器件; (c) 45∶5器件
Figure 10. Pulse response time of the W/HfOx/Pt memristor (The black curve represents the set voltage, and the red curve represents the current measured from the device under electrical pulses): (a) The device with a ratio of 30∶20; (b) the device with a ratio of 40∶10; (c) the device with a ratio of 45∶5.
图 12 W/HfOx/Pt忆阻器的导电拟合机制 (a) 30∶20器件正扫描区I -V曲线的双对数拟合结果; (b) 40∶10器件正扫描区I -V曲线的双对数拟合结果; (c) 45∶5器件正扫描区I -V曲线的双对数拟合结果
Figure 12. Conductive fitting mechanism of the W/HfOx/Pt memristor: (a) Double logarithmic fitting results of the I -V curve in the positive scanning region of the device with a ratio of 30∶20; (b) double logarithmic fitting results of the I -V curve in the positive scanning region of the device with a ratio of 40∶10; (c) double logarithmic fitting results of the I -V curve in the positive scanning region of the device with a ratio of 45∶5.
表 1 HfOx忆阻器与各类忆阻器电学性能的对比
Table 1. . Comparison of electrical performance between HfOx memristors and various types of memristors.
RRAM structure VSet/VReset Endurance Retention time ON/OFF ratio Response time Ref. Ti/hBN/Au 1.73/–0.85 V 200 — >50 120/120 ps [18] Cu/A1Ox/A1 2.11/–1.1 V 50 ~104 ~105 — [48] Al/WOx/ITO 0.65/–3.1 V 100 — ~103 — [49] Ti/ZrO2/Pt 2.5/–2 V 100 >104 >10 250/250 ns [50] Pt/HfO2/TiO2/ITO 0.7/–0.5 V 100 ~104 >10.6 — [51] Ag/BP/HfO2/Pt 1.4/–0.54 V >100 — ~102 — [52] W/HfOx/Pt(45∶5) 0.91/–1.84 V 200 >104 ~103 70/130 μs This work -
[1] Tang K, Wang Y, Gong C H, Yin C J, Zhang M, Wang X F, Xiong J 2022 Adv. Electron. Mater. 8 2101099
Google Scholar
[2] Cao D W, Yan Y, Wang M N, Luo G L, Zhao J R, Zhi J K, Xia C X, Liu Y F 2024 Adv. Funct. Mater. 34 2314649
Google Scholar
[3] Zhang Y, Mao G Q, Zhao X L, Li Y, Zhang M Y, Wu Z H, Wu W, Sun H J, Guo Y Z, Wang L H, Zhang X M, Liu Q, Lv H B, Xue K H, Xu G W, Miao X S, Long S B, Liu M 2021 Nat. Commun. 12 7232
Google Scholar
[4] Zhang G B, Fan X M, Wang J, Wang Z J, Zhang Z J, Li P T, Ma Y T, Huang K J, Yu B, Wan Q, Miao X S, Zhang Y S 2025 Nat. Commun. 16 5759
Google Scholar
[5] Yao P, Wu H Q, Gao B, Tang J S, Zhang Q T, Zhang W Q, Yang J J, Qian H 2020 Nature 577 641
Google Scholar
[6] 刘东青, 程海峰, 朱玄, 王楠楠, 张朝阳 2014 物理学报 63 187301
Google Scholar
Liu D Q, Cheng H F, Zhu X, Wang N N, Zhang C Y 2014 Acta Phys. Sin. 63 187301
Google Scholar
[7] Lanza M, Sebastian A, Lu W D, Le Gallo M, Chang M F, Akinwande D, Puglisi F M, Alshareef H N, Liu M, Roldan J B 2022 Science 376 eabj9979
Google Scholar
[8] Sun T Y, Qin Z B, Yu F T, Gao S, Wangyang P H, Tang X S, Li H O, Zhang F B, Xu Z M, Cai P, Jiang C S, Xue X G 2025 Appl. Surf. Sci. 679 161150
Google Scholar
[9] Wang L, Zhu H Y, Zuo Z, Wen D Z 2023 Adv. Electron. Mater. 9 2201032
Google Scholar
[10] Hota M K, Pazos S, Lanza M, Alshareef H N 2025 Mater. Sci. Eng. R Rep. 164 100983
Google Scholar
[11] 龚少康, 周静, 王志青, 朱茂聪, 沈杰, 吴智, 陈文 2021 物理学报 70 197301
Google Scholar
Gong S K, Zhou J, Wang Z Q, Zhu M C, Shen J, Wu Z, Chen W 2021 Acta Phys. Sin. 70 197301
Google Scholar
[12] Yang Y F, Xu M K, Jia S J, Wang B L, Xu L J, Wang X X, Liu H, Liu Y S, Guo Y Z, Wang L D, Duan S K, Liu K, Zhu M, Pei J, Duan W R, Liu D M, Li H L 2021 Nat. Commun. 12 6081
Google Scholar
[13] Chen L, He Z L, Li C D, Wen S P, Chen Y R 2020 Int. J. Bifurcat. Chaos 30 2050172
Google Scholar
[14] Zhou G D, Wang Z R, Sun B, Zhou F C, Sun L F, Zhao H B, Hu X F, Peng X Y, Yan J, Wang H M, Wang W H, Li J, Yan B T, Kuang D L, Wang Y C, Wang L D, Duan S K 2022 Adv. Electron. Mater. 8 2101127
Google Scholar
[15] 张浩哲, 徐春燕, 南海燕, 肖少庆, 顾晓峰 2020 物理学报 69 246101
Google Scholar
Zhang H Z, Xu C Y, Nan H Y, Xiao S Q, Gu X F 2020 Acta Phys. Sin. 69 246101
Google Scholar
[16] Rusevich L L, Tyunina M, Kotomin E A, Nepomniashchaia N, Dejneka A 2021 Sci. Rep. 11 23341
Google Scholar
[17] Zhang B, Fan F, Xue W H, Liu G, Fu Y B, Zhuang X D, Xu X H, Gu J W, Li R W, Chen Y 2019 Nat. Commun. 10 736
Google Scholar
[18] Teja Nibhanupudi S S, Roy A, Veksler D, Coppin M, Matthews K C, Disiena M, Ansh, Singh J V, Gearba-Dolocan I R, Warner J, Kulkarni J P, Bersuker G, Banerjee S K 2024 Nat. Commun. 15 2334
Google Scholar
[19] Chen S C, Yang Z, Hartmann H, Besmehn A, Yang Y C, Valov I 2025 Nat. Commun. 16 2348
Google Scholar
[20] Hua P, Ning D 2014 Chin. Phys. Lett. 31 107303
Google Scholar
[21] Wang W X, Yin F F, Niu H S, Li Y, Kim E S, Kim N Y 2023 Nano Energy 106 108072
Google Scholar
[22] Wu M C, Chen J Y, Ting Y H, Huang C Y, Wu W W 2021 Nano Energy 82 105717
Google Scholar
[23] Tao Y, Wang Z Q, Xu H Y, Ding W T, Zhao X N, Lin Y, Liu Y C 2020 Nano Energy 71 104628
Google Scholar
[24] Bai J, Xie W W, Zhang W Q, Yin Z P, Wei S S, Qu D H, Li Y, Qin F W, Zhou D Y, Wang D J 2022 Appl. Surf. Sci. 600 154084
Google Scholar
[25] Banerjee W, Kashir A, Kamba S 2022 Small 18 2107575
Google Scholar
[26] 王英, 黄慧香, 黄香林, 郭婷婷 2023 物理学报 72 197201
Google Scholar
Wang Y, Huang H X, Huang X L, Guo T T 2023 Acta Phys. Sin. 72 197201
Google Scholar
[27] Hah J, West M P, Athena F F, Hanus R, Vogel E M, Graham S 2022 J. Mater. Sci. 57 9299
Google Scholar
[28] Sharath S U, Vogel S, Molina-Luna L, Hildebrandt E, Wenger C, Kurian J, Duerrschnabel M, Niermann T, Niu G, Calka P, Lehmann M, Kleebe H J, Schroeder T, Alff L 2017 Adv. Funct. Mater. 27 1700432
Google Scholar
[29] Wei T T, Lu Y Y, Zhang F, Tang J S, Gao B, Yu P, Qian H, Wu H Q 2023 Adv. Mater. 35 2209925
Google Scholar
[30] Zhou Q Z, Wang F, Zhao X Y, Hu K, Zhang Y J, Shan X, Lin X, Zhang Y P, Shan K, Zhang K L 2023 J. Intell. Fuzzy Syst. 45 5159
Google Scholar
[31] Ran H F, Ren Z J, Li J, Sun B, Wang T Y, Gu D S, Wang W H, Hu X F, Dong Z K, Song Q L, Wang L D, Duan S K, Zhou G D 2025 Adv. Funct. Mater. 35 2418113
Google Scholar
[32] Zhang Z Z, Wang F, Hu K, She Y, Song S N, Song Z T, Zhang K L 2021 Materials 14 3330
Google Scholar
[33] Yu S M, Chen H Y, Gao B, Kang J F, Wong H S P 2013 ACS Nano 7 2320
Google Scholar
[34] Wang C X, Mao G Q, Huang M H, Huang E M, Zhang Z C, Yuan J H, Cheng W M, Xue K H, Wang X S, Miao X S 2022 Adv. Sci. 9 2201446
Google Scholar
[35] Kaiser N, Vogel T, Zintler A, Petzold S, Arzumanov A, Piros E, Eilhardt R, Molina-Luna L, Alff L 2022 ACS Appl. Mater. Interfaces 14 1290
Google Scholar
[36] Jana B, Roy Chaudhuri A 2024 Chips 3 235
Google Scholar
[37] Dai Y H, Pan Z Y, Wang F F, Li X F 2016 AIP Adv. 6 085209
Google Scholar
[38] Zhang K N, Ren Y, Ganesh P, Cao Y 2022 Npj Comput. Mater. 8 76
Google Scholar
[39] Li S Q, Du J G, Lu J G, Lu B J, Zhuge F, Yang R Q, Lu Y D, Ye Z Z 2022 J. Mater. Chem. C 10 17154
Google Scholar
[40] Liu Y H, Zuo Q Y, Sun J Y, Dai J X, Cheng C H, Huang H L 2024 J. Appl. Phys. 135 184502
Google Scholar
[41] Shi Q W, Aziz I, Ciou J H, Wang J X, Gao D C, Xiong J Q, Lee P S 2022 Nano-Micro Lett. 14 195
Google Scholar
[42] Saka K, Gokcen D, Efkere H I, Bayram C, Ozcelik S 2025 J. Mater. Sci.: Mater. Electron. 36 824
Google Scholar
[43] Mahata C, So H, Ju D, Ismail M, Kim S, Hsu C C, Park K, Kim S 2024 Nano Energy 129 110015
Google Scholar
[44] Rudrapal K, Biswas M, Jana B, Adyam V, Chaudhuri A R 2023 J. Phys. D: Appl. Phys. 56 205302
Google Scholar
[45] Hwang H G, Pyo Y, Woo J U, Kim I S, Kim S W, Kim D S, Kim B, Jeong J, Nahm S 2022 J. Alloys Compd. 902 163764
Google Scholar
[46] Yang Y C, Zhang X X, Qin L, Zeng Q B, Qiu X H, Huang R 2017 Nat. Commun. 8 15173
Google Scholar
[47] Liu C, Zhang C C, Cao Y Q, Wu D, Wang P, Li A D 2020 J. Mater. Chem. C 8 12478
Google Scholar
[48] Fu L P, Liu H Y, Fan X L, Li Y T 2023 Phys. Scr. 98 095017
Google Scholar
[49] Hsu C C, Chuang H, Jhang W C 2021 J. Alloys Compd. 882 160758
Google Scholar
[50] Wu M C, Jang W Y, Lin C H, Tseng T Y 2012 Semicond. Sci. Technol. 27 065010
Google Scholar
[51] Ye Cong, Deng T F, Zhang J C, Shen L P, He P, Wei W, Wang H 2016 Semicond. Sci. Technol. 31 105005
Google Scholar
[52] Yan X Y, Wang X T, Xing B R, Yu Y, Yao J D, Niu X Y, Li M G, Sha J, Wang Y W 2020 AIP Adv. 10 075013
Google Scholar
[53] Yang C, Wang H Y, Cao Z L, Wang K, Zhou G D, Hou W T, Zhao Y, Sun B 2025 ACS Appl. Mater. Interfaces 17 6550
Google Scholar
[54] Wang J Q, Wang H Y, Cao Z L, Zhu S H, Du J M, Yang C, Ke C, Zhao Y, Sun B 2024 Adv. Funct. Mater. 34 2313219
Google Scholar
[55] Medvedeva J E, Zhuravlev I A, Burris C, Buchholz D B, Grayson M, Chang R P H 2020 J. Appl. Phys. 127 175701
Google Scholar
[56] Zhang D L, Wang J, Wu Q, Du Y 2023 Phys. Chem. Chem. Phys. 25 3521
Google Scholar
[57] Aziz J, Kim H, Rehman S, Hur J H, Song Y H, Khan M F, Kim D K 2021 Mater. Res. Bull. 144 111492
Google Scholar
[58] Fadeev A V, Rudenko K V 2024 Microelectron. Eng. 289 112179
Google Scholar
[59] Boynazarov T, Lee J, Lee H, Lee S, Chung H, Ryu D H, Abbas H, Choi T 2025 J. Mater. Sci. Technol. 227 164
Google Scholar
Catalog
Metrics
- Abstract views: 589
- PDF Downloads: 19
- Cited By: 0









DownLoad: