-
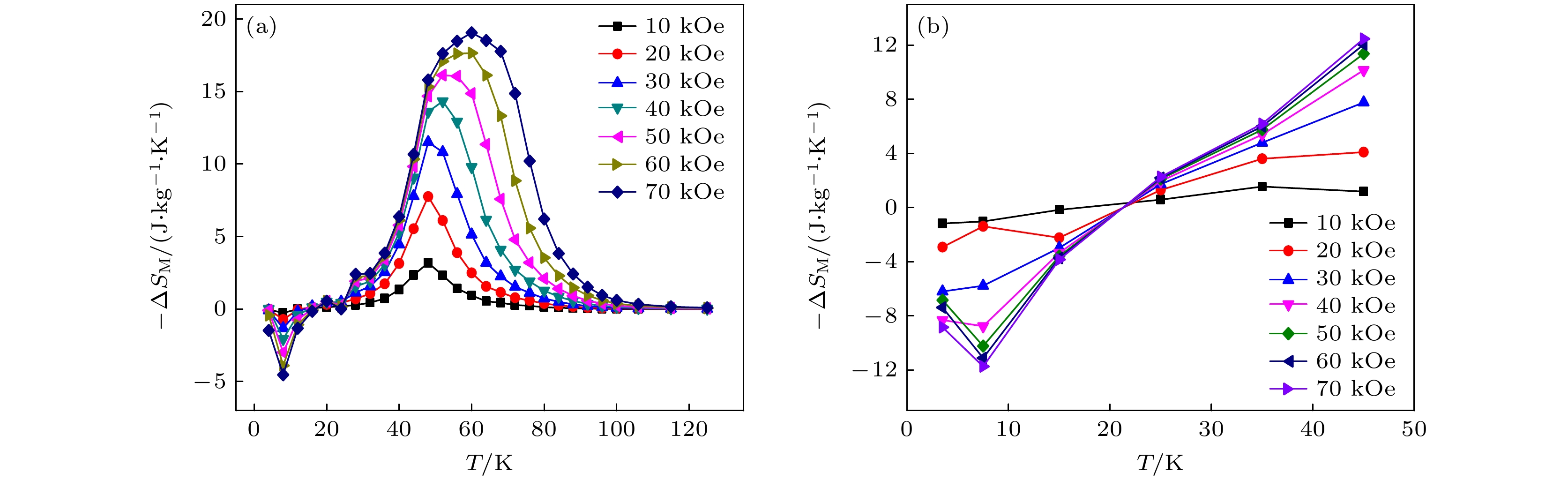
In order to clarify the metamagnetic transition properties and corresponding crystal parameter characteristics of La0.9Pr0.1Fe12B6 alloy, as well as the accompanying magnetocaloric effects, we study the magnetic phase transition process of the alloy induced by magnetic field and temperature, and the corresponding changes of X-ray diffraction patterns, and conduct in-depth comparisons of the magnetocaloric properties between different measurement modes. The results indicate that the La0.9Pr0.1Fe12B6 sample mainly consists of about 90 wt% SrNi12B6 type structural main phase and about 10 wt% Fe2B and α-Fe, which are consistent with those given in the reference literature. In the zero-field increasing temperature process, the magnetic state sequence of the main phase of La0.9Pr0.1Fe12B6 alloy is antiferromagnetic (AFM)→ferromagnetic (FM)→paramagnetic (PM); in the isothermal magnetization process, three types of magnetic field-induced metamagnetic transitions occur in different temperature ranges, namely, two different transitions between AFM and FM states at low temperatures, and a transition between PM and FM states above the Curie temperature (TC). The corresponding critical magnetic field (HC) is much lower than that of the LaFe12B6 parent alloy. On the contrary, the main phase of La0.9Pr0.1Fe12B6 alloy exhibits only PM-FM transition. This indicates that after the alloy transitions from PM state to FM state in the cooling process, even after the temperature drops to a certain value, it will not transition to AFM state. Similar phenomena also exist in other alloy of LaFe12B6 system. Based on the Néel temperature (TN) and TC obtained from the ZFCW mode M-T curves, the magnetic state phase diagram of La0.9Pr0.1Fe12B6 alloy is plotted. The results indicate that as the external magnetic field increases, TC moves linearly towards higher temperatures at a rate of almost 0.48 K/kOe. Conversely, TN1 and TN2 gradually move towards lower temperatures at rates of 0.48 K/kOe and 0.26 K/kOe, respectively. The zero-field and field-variable temperature XRD patterns show that during the magnetic transition between disorder and order states of the main phase in La0.9Pr0.1Fe12B6 alloy, there is a phenomenon of magnetocrystalline coupling. As a result, in addition to the original diffraction peaks of the main phase, some new diffraction peaks that are not observable in the PM state also appear, and their intensities increase with the decrease of temperature or the increase of magnetic field. Through Retveld refinement on XRD patterns under different conditions, it is found that the atomic occupancy rates of La/Pr and Fe are very stable in different environments, but the atomic occupancy rate of B varies greatly, which may be the main factor leading to the appearance of new diffraction peaks. In addition, in the temperature dependent magnetic entropy change curve calculated based on isothermal magnetization data in continuous measurement mode, a large magnetic entropy change can be observed near TC due to the magnetic field induced first-order metamagnetic transition of PM-FM. For example, under a magnetic field of 70 kOe, the maximum magnetic entropy change near 50 K can reach 19 J/(kg·K), and the relative cooling capacity is about 589.1 J/kg. However, under the same measurement mode, the expected large magnetic entropy change due to the AFM-FM metamagnetic transition is not observed. But, when using a discontinuous measurement mode, the large magnetic entropy change accompanying the AFM-FM transition process is also observed. For example, under a magnetic field of 70 kOe, the maximum magnetic entropy change near 8 K can reach –12 J/kg·K.
-
Keywords:
- La0.9Pr0.1Fe12B6 alloy /
- magnetic transition /
- magnetocaloric effect /
- X-ray diffraction spectrum
[1] Pecharsky V K, Gschneidner Jr K A 1997 Phys. Rev. Lett. 78 4494
Google Scholar
[2] Pecharsky V K, Gschneidner Jr K A 1997 J. Magn. Magn. Mater. 167 L179
Google Scholar
[3] Pecharsky V K, Gschneidner Jr K A 1997 Appl. Phys. Lett. 70 3299
Google Scholar
[4] Levin E M, Pecharsky V K, Gschneidner Jr K A 2000 Phys.Rev. B 262 R14625
Google Scholar
[5] Choe W, Pecharsky V K, Pecharsky A O, Gschneidner Jr K A, Young V G, Miller Jr G 2000 J. Phys. Rev. Lett. 84 4617
Google Scholar
[6] Wada H, Matsuo S, Mitsuda A 2009 Phys. Rev. B 79 092407
Google Scholar
[7] Wada H, Tanabe Y 2001 Appl. Phys. Lett. 79 3302
Google Scholar
[8] Yu S Y, Liu Z H, Liu G D, Chen J L, Cao Z X, Wu G H, Zhang B, Zhang X X 2006 Appl. Phys. Lett. 89 162503
Google Scholar
[9] Han Z D, Wand D H, Zhang C L, Tang S L, Gu B X, Du Y W 2006 Appl. Phys. Lett. 89 182507
Google Scholar
[10] Han Z D, Wang D H, Zhang C L, Xuan H C, Fu B X, Du Y W 2007 Appl. Phys. Lett. 90 042507
Google Scholar
[11] Tegus O, Brückl E, Buschow K H, De Boer F R 2002 Nature 415 150
Google Scholar
[12] Fujieda S, Fujita A, Fukamichi K 2002 Appl. Phys. Lett. 81 1276
Google Scholar
[13] Fujita A, Fujieda S, Fukamichi K, Mitamura H, Goto T 2002 Phys. Rev. B 65 014410
Google Scholar
[14] Hu F X, Ilyn Max, Tishin A M, Sun J R, Wang G J, Chen Y F, Wang F, Cheng Z H, Shen B G 2003 J. Appl. Phys. 93 5503
Google Scholar
[15] Pecharsky V K, Gschneidner Jr K A 1997 J. Alloys. Compd. 260 98
Google Scholar
[16] Krenke T, Acet M, Wassermann E F, Moya X, Manosa L, Planes A 2005 Phys. Rev. B 72 014412
Google Scholar
[17] Hu F X, Shen B G, Sun J R, Wang G J, Chen Z H 2002 Appl. Phys. Lett. 80 826
Google Scholar
[18] Hu W J, Du J, Li B, Zhang Q, Zhang Z D 2008 Appl. Phys. Lett. 92 192505
Google Scholar
[19] Samanta T, Das I, Banerjee S 2007 Appl. Phys. Lett. 91 152506
Google Scholar
[20] Chen J, Shen B G, Dong Q Y, Hu F X, Sun J R 2010 Appl. Phys. Lett. 96 152501
Google Scholar
[21] Diop L V B, Isnard O, Rodríguez-Carvajal J 2016 Phys. Rev. B 93 014440.
Google Scholar
[22] Diop L V B, Isnard O 2016 Appl. Phys. Lett. 108 132401
Google Scholar
[23] Diop L V B, Isnard O 2016 J. Appl. Phys. 119 213904
Google Scholar
[24] Diop L V B, Isnard O 2022 Solid State Commun. 341 114568
Google Scholar
[25] Diop L V B, Isnard O 2021 J. Appl. Phys. 129 243902
Google Scholar
[26] Diop L V B, Isnard O 2021 Appl. Phys. Lett. 119 032403
Google Scholar
[27] Ma Z P, Dong X S, Zhang Z Q, Li L W 2021 J. Mater. Sci. Technol. 92 138
Google Scholar
[28] Chen X, Mudryk Y, Pathak A K, Pecharsky V K 2021 J. Alloys. Compd. 884 161115
Google Scholar
[29] Fujieda S, Fujita A, Fukamichi K, Hirano N, Nagaya S 2006 J. Alloys. Compd. 408 1165
Google Scholar
[30] Shen J, Gao B, Yan L Q, Li Y X, Zhang H W, Hu F X, Sun J R 2007 Chin. Phys. 16 3848
Google Scholar
[31] Shen J, Li Y X, Sun J R, Shen B G 2009 Chin. Phys. B 18 2058
Google Scholar
[32] Fujieda S, Fujita A, Fukamichi K 2005 IEEE Trans. Magn. 41 2787
Google Scholar
[33] Fujieda S, Fujita A, Fukamichi K 2007 J. Magn. Magn. Mater. 310 e1006
Google Scholar
[34] Fujieda S, Fujita A, Fukamichi K 2011 J. Phys. D Appl. Phys. 44 064013
Google Scholar
[35] Chen X, Chen Y G, Tang Y B 2011 Rare Metals 30 343
Google Scholar
[36] Zhang C L, Wang D H, Han Z D, Tang S L, Gu B X, Du Y W 2006 Appl. Phys. Lett. 89 122503
Google Scholar
[37] Wang F, Shen B G, Zhang J, Sun J R, Meng F B, Li Y X 2010 Chin. Phys. B 19 067501
Google Scholar
[38] Diop L V B, Isnard O 2018 Phys. Rev. B 97 014436
Google Scholar
[39] 吴文霞, 薛志勇, 洪兴, 李岫梅, 郭永权 2009 中国科学: 物理学 力学 天文学 39 372
Google Scholar
Wu W X, Xue Z Y, Hong X, Li X M, Guo Y Q 2009 Sci. China-Phys. Mech. Astron. 39 372
Google Scholar
[40] Zhao X B, Li L, Bao K, Zhu P W, Rao Q, Ma S L, Liu B, Ge Y F, Li D, Cui T 2020 Phys. Chem. Chem. Phys. 22 27425
Google Scholar
[41] Chen X, Chen Y G, Tang Y B 2011 J. Alloys. Compd. 509 8534
Google Scholar
[42] Chen X, Chen Y G, Tang Y B, Xiao D Q 2014 J. Magn. Magn. Mater. 368 155
Google Scholar
[43] Chen X, Chen Y G, Tang Y B 2011 J. Magn. Magn. Mater. 323 3177
Google Scholar
[44] Gigüe A, Foldeaki M, Ravi Gopal B, Chahine R, Bose T K, Frydman A, Barclay J A 1999 Phys. Rev. Lett. 83 2262
Google Scholar
[45] Pecharsky V K, Gschneidner Jr K A 1999 J. Appl. Phys. 86 565
Google Scholar
-
图 1 La0.9Pr0.1Fe12B6合金的室温XRD谱及Rietveld精修结果(蓝线表示测量值(YObs)和计算值(YCalc)之间的差值, 以蓝色显示在顶部, 图形方差因子(Rp)为8.16%, 布拉格因子(RB)为7.94%, 期望方差因子(Rexp)为3.87%)
Figure 1. Room temperature XRD spectrum (black line) and Rietveld refinement result (orange line) of La0.9Pr0.1Fe12B6 alloy (The blue line represents the difference between measurement value (YObs) and calculated value (YCalc) shown on top in blue, graph variance factor (Rp) is 8.16%, Bragg factor (RB) is 7.94%, and expected reliability (Rexp) is 3.87%)
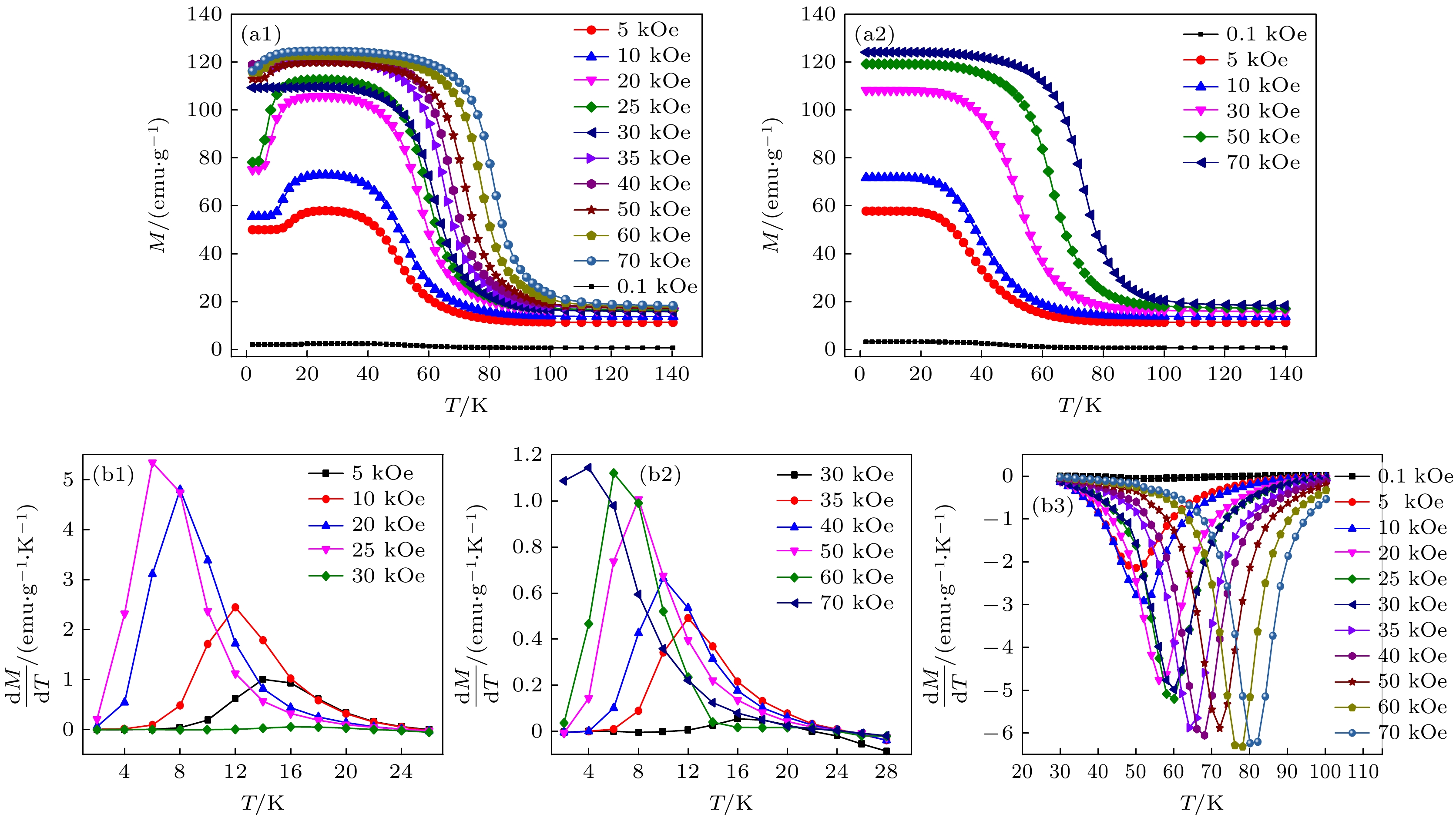
图 2 在0.1—70 kOe的外加磁场中, ZFCW模式(a1)和FC模式(a2)下La0.9Pr0.1Fe12B6合金的磁化强度-温度(M-T)曲线. 不同磁场和温度下ZFCW模式磁化数据导出的dM/dT曲线 (b1) 5—30 kOe, 2—26 K; (b2) 30—70 kOe, 2—28 K; (b3) 0.1—70 kOe, 30—100 K
Figure 2. Magnetization-temperature M-T curves measured under zero-magnetic field cooled warming (ZFCW) (a1) mode and field cooling (FC) (a2) mode in applied magnetic fields of 0.1–70 kOe. (b1)–(b3) dM/dT curves derived from magnetization data of ZFCW mode under different magnetic fields and temperatures: (b1) 5–30 kOe, 2–26 K; (b2) 30–70 kOe, 2–28 K; (b3) 0.1–70 kOe, 30–100 K.
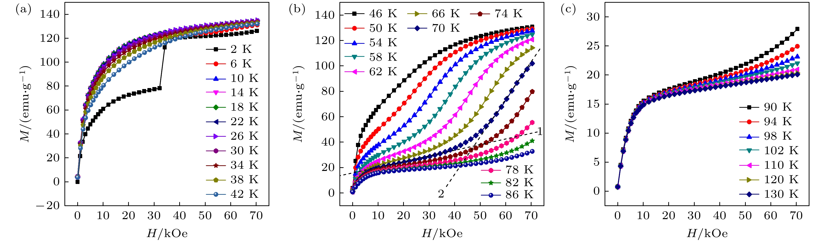
图 3 基于非连续方法测得的不同温度下的加场和降场等温磁化强度-磁场(M-H)曲线(ΔM为加场和退场之间的磁化强度差, ΔMavg为平均磁化强度差) (a1), (a2) 2 K; (b) 5 K; (c) 10 K; (d) 10 K; (e) 30 K; (f) 40 K; (g) 50 K
Figure 3. Isothermal M-H curves measured under increasing and decreasing fields at different temperatures via discontinuous method (ΔM—the difference in magnetization between adding and removing fields, ΔMavg—the average difference in magnetization): (a1), (a2) 2 K; (b) 5 K; (c) 10 K; (d) 10 K; (e) 30 K; (f) 40 K; (g) 50 K.
图 6 La0.9Pr0.1Fe12B6合金在ZFCW模式下的零场和加场XRD谱, 其中(a) 60 K; (b) 40 K; 衍射强度-温度等值线图, 其中(c) 0 kOe; (d) 30 kOe
Figure 6. XRD spectra ((a) 60 K, (b) 40 K) and temperature-dependent diffraction intensity contour maps ((c) 0 kOe, (d) 30 kOe) of La0.9Pr0.1Fe12B6 alloys in ZFCW mode with and without magnetic field.
图 10 不同磁场下La0.9Pr0.1Fe12B6合金的磁熵变($ \Delta S_{\mathrm{M}} $)随温度的变化 (a) 根据图7中采用连续测量的等温磁化数据得到的$\Delta S_{\mathrm{M}} $; (b) 根据图3中采用非连续测量的等温磁化数据得到的$\Delta S_{\mathrm{M}} $
Figure 10. Temperature dependence of the magnetic entropy change ($ \Delta S_{\text{M}} $) curves of La0.9Pr0.1Fe12B6 alloy under different magnetic fields: (a) $ \Delta S_{\text{M}} $ derived from isothermal magnetization data in Fig. 7 measured by continuous method; (b) $ \Delta S_{\text{M}} $ derived from isothermal magnetization data in Fig. 3 measured by discontinuous method.
表 1 合金中SrNi12B6结构主相在不同环境中的原子位置
Table 1. Atomic positions of SrNi12B6 structural main phase under different environments.
Atoms Site Fill 300 K (0 kOe) 40 K (0 kOe, PM and FM) 40 K (30 kOe field, FM) x y z x y z x y z La/Pr 3a 1 0 0 0 0 0 0 0 0 0 B 18h 1 0.17978 0.82022 0.06178 0.17538 0.82462 0.08121 0.14972 0.85028 0.13183 Fe 18g 1 0.36916 0 1/2 0.37055 0 1/2 0.37107 0 1/2 Fe 18h 1 0.42487 0.57513 0.03504 0.42418 0.57582 0.03553 0.42500 0.57500 0.03855 Note: PM—paramagnetism, FM—ferromagnetism; x, y, z—three coordinates. -
[1] Pecharsky V K, Gschneidner Jr K A 1997 Phys. Rev. Lett. 78 4494
Google Scholar
[2] Pecharsky V K, Gschneidner Jr K A 1997 J. Magn. Magn. Mater. 167 L179
Google Scholar
[3] Pecharsky V K, Gschneidner Jr K A 1997 Appl. Phys. Lett. 70 3299
Google Scholar
[4] Levin E M, Pecharsky V K, Gschneidner Jr K A 2000 Phys.Rev. B 262 R14625
Google Scholar
[5] Choe W, Pecharsky V K, Pecharsky A O, Gschneidner Jr K A, Young V G, Miller Jr G 2000 J. Phys. Rev. Lett. 84 4617
Google Scholar
[6] Wada H, Matsuo S, Mitsuda A 2009 Phys. Rev. B 79 092407
Google Scholar
[7] Wada H, Tanabe Y 2001 Appl. Phys. Lett. 79 3302
Google Scholar
[8] Yu S Y, Liu Z H, Liu G D, Chen J L, Cao Z X, Wu G H, Zhang B, Zhang X X 2006 Appl. Phys. Lett. 89 162503
Google Scholar
[9] Han Z D, Wand D H, Zhang C L, Tang S L, Gu B X, Du Y W 2006 Appl. Phys. Lett. 89 182507
Google Scholar
[10] Han Z D, Wang D H, Zhang C L, Xuan H C, Fu B X, Du Y W 2007 Appl. Phys. Lett. 90 042507
Google Scholar
[11] Tegus O, Brückl E, Buschow K H, De Boer F R 2002 Nature 415 150
Google Scholar
[12] Fujieda S, Fujita A, Fukamichi K 2002 Appl. Phys. Lett. 81 1276
Google Scholar
[13] Fujita A, Fujieda S, Fukamichi K, Mitamura H, Goto T 2002 Phys. Rev. B 65 014410
Google Scholar
[14] Hu F X, Ilyn Max, Tishin A M, Sun J R, Wang G J, Chen Y F, Wang F, Cheng Z H, Shen B G 2003 J. Appl. Phys. 93 5503
Google Scholar
[15] Pecharsky V K, Gschneidner Jr K A 1997 J. Alloys. Compd. 260 98
Google Scholar
[16] Krenke T, Acet M, Wassermann E F, Moya X, Manosa L, Planes A 2005 Phys. Rev. B 72 014412
Google Scholar
[17] Hu F X, Shen B G, Sun J R, Wang G J, Chen Z H 2002 Appl. Phys. Lett. 80 826
Google Scholar
[18] Hu W J, Du J, Li B, Zhang Q, Zhang Z D 2008 Appl. Phys. Lett. 92 192505
Google Scholar
[19] Samanta T, Das I, Banerjee S 2007 Appl. Phys. Lett. 91 152506
Google Scholar
[20] Chen J, Shen B G, Dong Q Y, Hu F X, Sun J R 2010 Appl. Phys. Lett. 96 152501
Google Scholar
[21] Diop L V B, Isnard O, Rodríguez-Carvajal J 2016 Phys. Rev. B 93 014440.
Google Scholar
[22] Diop L V B, Isnard O 2016 Appl. Phys. Lett. 108 132401
Google Scholar
[23] Diop L V B, Isnard O 2016 J. Appl. Phys. 119 213904
Google Scholar
[24] Diop L V B, Isnard O 2022 Solid State Commun. 341 114568
Google Scholar
[25] Diop L V B, Isnard O 2021 J. Appl. Phys. 129 243902
Google Scholar
[26] Diop L V B, Isnard O 2021 Appl. Phys. Lett. 119 032403
Google Scholar
[27] Ma Z P, Dong X S, Zhang Z Q, Li L W 2021 J. Mater. Sci. Technol. 92 138
Google Scholar
[28] Chen X, Mudryk Y, Pathak A K, Pecharsky V K 2021 J. Alloys. Compd. 884 161115
Google Scholar
[29] Fujieda S, Fujita A, Fukamichi K, Hirano N, Nagaya S 2006 J. Alloys. Compd. 408 1165
Google Scholar
[30] Shen J, Gao B, Yan L Q, Li Y X, Zhang H W, Hu F X, Sun J R 2007 Chin. Phys. 16 3848
Google Scholar
[31] Shen J, Li Y X, Sun J R, Shen B G 2009 Chin. Phys. B 18 2058
Google Scholar
[32] Fujieda S, Fujita A, Fukamichi K 2005 IEEE Trans. Magn. 41 2787
Google Scholar
[33] Fujieda S, Fujita A, Fukamichi K 2007 J. Magn. Magn. Mater. 310 e1006
Google Scholar
[34] Fujieda S, Fujita A, Fukamichi K 2011 J. Phys. D Appl. Phys. 44 064013
Google Scholar
[35] Chen X, Chen Y G, Tang Y B 2011 Rare Metals 30 343
Google Scholar
[36] Zhang C L, Wang D H, Han Z D, Tang S L, Gu B X, Du Y W 2006 Appl. Phys. Lett. 89 122503
Google Scholar
[37] Wang F, Shen B G, Zhang J, Sun J R, Meng F B, Li Y X 2010 Chin. Phys. B 19 067501
Google Scholar
[38] Diop L V B, Isnard O 2018 Phys. Rev. B 97 014436
Google Scholar
[39] 吴文霞, 薛志勇, 洪兴, 李岫梅, 郭永权 2009 中国科学: 物理学 力学 天文学 39 372
Google Scholar
Wu W X, Xue Z Y, Hong X, Li X M, Guo Y Q 2009 Sci. China-Phys. Mech. Astron. 39 372
Google Scholar
[40] Zhao X B, Li L, Bao K, Zhu P W, Rao Q, Ma S L, Liu B, Ge Y F, Li D, Cui T 2020 Phys. Chem. Chem. Phys. 22 27425
Google Scholar
[41] Chen X, Chen Y G, Tang Y B 2011 J. Alloys. Compd. 509 8534
Google Scholar
[42] Chen X, Chen Y G, Tang Y B, Xiao D Q 2014 J. Magn. Magn. Mater. 368 155
Google Scholar
[43] Chen X, Chen Y G, Tang Y B 2011 J. Magn. Magn. Mater. 323 3177
Google Scholar
[44] Gigüe A, Foldeaki M, Ravi Gopal B, Chahine R, Bose T K, Frydman A, Barclay J A 1999 Phys. Rev. Lett. 83 2262
Google Scholar
[45] Pecharsky V K, Gschneidner Jr K A 1999 J. Appl. Phys. 86 565
Google Scholar
Catalog
Metrics
- Abstract views: 536
- PDF Downloads: 7
- Cited By: 0









DownLoad: