-
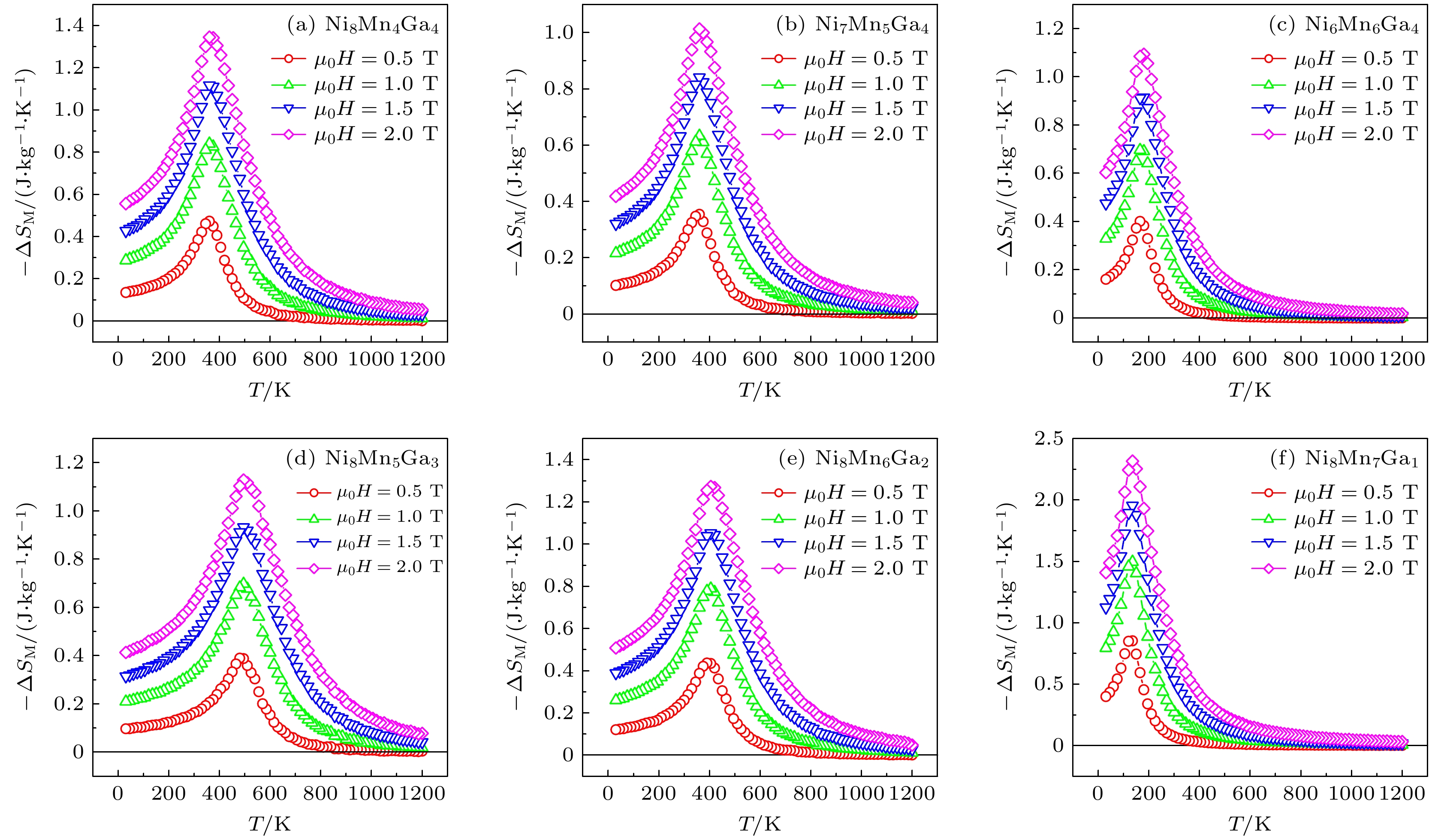
This work investigates the magnetocaloric effect-based green magnetic refrigeration technology, with a focus on Ni-Mn-Ga Heusler alloy as a promising magnetic refrigerant candidate. To elucidate the role of Mn-rich composition in regulating the magnetic and magnetocaloric properties, a multi-scale computational approach integrating first-principles calculations and Monte Carlo simulations is adopted. This method enables a detailed analysis of how Mn atoms occupying Ni and Ga sites influence the microstructure, atomic magnetic moments, exchange interactions, and macroscopic magnetocaloric response of the alloy. The results indicate that Mn site occupancy critically affects the magnetic performance: the occupation of Ni sites reduces the total magnetic moment and Curie temperature, thereby reducing the magnetic entropy change; in contrast, Mn occupying Ga sites significantly enhances both the total magnetic moment and the magnetic entropy change. Notably, the Ni8Mn7Ga1 alloy achieves a maximum magnetic entropy change of 2.32 J·kg–1·K–1 under a 2 T magnetic field, which significantly exceeds that of the stoichiometric Ni8Mn4Ga4 alloy. Further electronic structure analysis reveals that Mn content variation modulates the density of states near the Fermi level and optimizes orbital hybridization and ferromagnetic exchange interactions, thus adjusting the magnetic phase transition behavior. Critical exponent analysis confirms that the magnetic interactions are inherently long-range and tend toward mean-field behavior with compositional changes. By establishing a clear “composition-structure-magnetism-magnetocaloric performance” relationship on an atomic scale, this work provides theoretical foundations for designing high-performance, low-hysteresis magnetic refrigeration materials.
-
Keywords:
- Ni-Mn-Ga alloy /
- magnetocaloric effect /
- second-order magnetic phase transition /
- Monte Carlo simulation
-
图 2 奥氏体相和马氏体相Ni8–xMn4+xGa4(x = 0, 1, 2)和Ni8Mn4+yGa4–y(y = 0, 1, 2, 3)合金总磁矩和Mn, Ni原子磁矩随成分的变化趋势
Figure 2. Total magnetic moment of alloy and magnetic moments of Mn and Ni atoms as a function of composition in austenitic and martensitic Ni8–xMn4+xGa4 (x = 0, 1, 2) and Ni8Mn4+yGa4–y (y = 0, 1, 2, 3) alloys.
图 5 在奥氏体相Ni8–xMn4+xGa4(x = 0, 1, 2)和Ni8Mn4+yGa4–y(y = 0, 1, 2, 3)合金中, Mn-Mn和Mn-Ni交换作用常数随原子间距的变化关系, 其中Mn1和Mn2分别代表原位和占据Ni或Ga位的Mn原子, 原子间距以晶格常数a为单位
Figure 5. Exchange coupling constants between Mn-Mn and Mn-Ni as a function of distance in austenitic Ni8–xMn4+xGa4 (x = 0, 1, 2)和Ni8Mn4+yGa4–y (y = 0, 1, 2, 3) alloys, where Mn1 and Mn2 represent Mn atoms of original sites and those occupying Ni or Ga sites, respectively, and distance is given in units of lattice constant a.
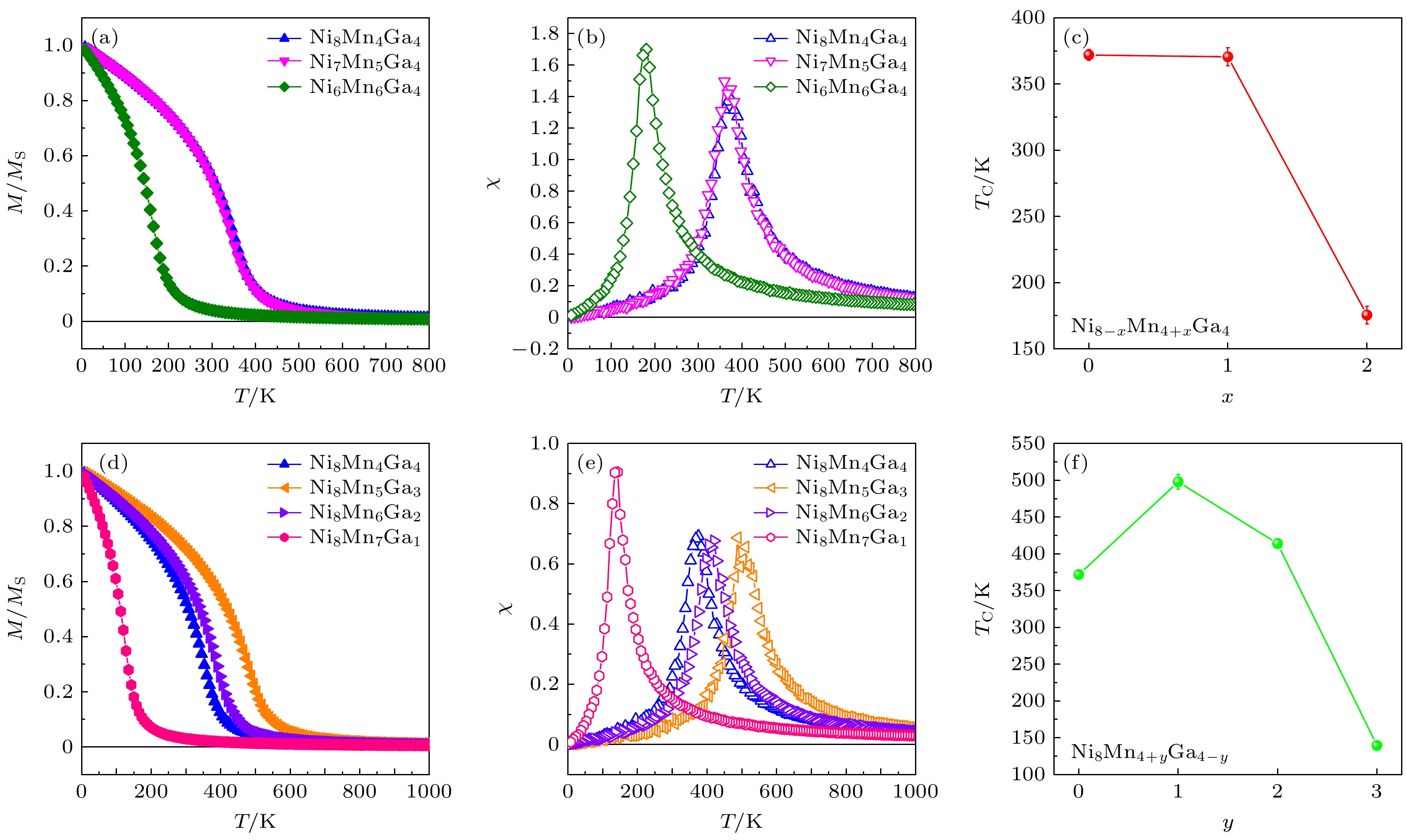
图 6 在零外磁场作用下, 奥氏体相Ni8–xMn4+xGa4(x = 0, 1, 2)和Ni8Mn4+yGa4–y(y = 0, 1, 2, 3)合金的磁化强度和磁化率随温度的变化关系, 其中MS为饱和磁化强度值; 居里温度随富Mn成分的变化关系
Figure 6. Magnetization and magnetic susceptibility as a function of temperature in austenitic Ni8–xMn4+xGa (x = 0, 1, 2) and Ni8Mn4+yGa4–y (y = 0, 1, 2, 3) alloys under zero magnetic field, where MS is the value of saturated magnetization; Curie temperature as a function of composition of excess Mn.
表 1 不同富Mn成分下的奥氏体相和马氏体相Ni-Mn-Ga合金的晶格常数
Table 1. Crystal lattice constants of austenitic and martensitic Ni-Mn-Ga alloys with different Mn-rich compositions.
Austenite Martensite a/Å b/Å c/Å a/Å b/Å c/Å Ni8Mn4Ga4 (x/y = 0) 5.809 5.809 5.809 5.322 5.322 6.919 Ni7Mn5Ga4 (x = 1) 5.800 5.800 5.800 5.314 5.314 6.908 Ni6Mn6Ga4 (x = 2) 5.785 5.785 5.785 5.300 5.300 6.891 Ni8Mn5Ga3 (y = 1) 5.818 5.818 5.818 5.331 5.331 6.931 Ni8Mn6Ga2 (y = 2) 5.828 5.828 5.828 5.340 5.340 6.942 Ni8Mn7Ga1 (y = 3) 5.834 5.834 5.834 5.346 5.346 6.949 -
[1] Dong Y, Coleman M, Miller S A 2021 Annu. Rev. Environ. Resour. 46 59
Google Scholar
[2] Zimm C, Jastrab C, Sternberg A, Pecharsky V K, Gschneidner Jr K A, Osborne M, Anderson I 1998 Adv. Cryog. Eng. 43 1759
[3] Pecharsky V K, Gschneidner Jr K A 1997 Phys. Rev. Lett. 78 4494
Google Scholar
[4] Provenzano V, Shapiro A J, Shull R D 2004 Nature (London) 429 853
Google Scholar
[5] Tegus O, Brück E, Buschow K H J, de Boer R D 2002 Nature (London) 415 150
Google Scholar
[6] 郑新奇, 沈俊, 胡凤霞, 孙继荣, 沈保根 2016 物理学报 65 217502
Google Scholar
Zheng X Q, Shen J, Hu F X, Sun J R, Shen B G 2016 Acta Phys. Sin. 65 217502
Google Scholar
[7] 李瑞, 沈俊, 张志鹏, 李振兴, 莫兆军, 高新强, 海鹏, 付琪 2024 物理学报 73 037501
Google Scholar
Li R, Shen J, Zhang Z P, Li Z X, Mo Z J, Gao X Q, Hai P, Fu Q 2024 Acta Phys. Sin. 73 037501
Google Scholar
[8] Tickle R, James R D 1999 J. Magn. Magn. Mater. 195 627
Google Scholar
[9] Chen J, Hana Z, Qiana B, Zhang P, Wang D, Duc Y 2011 J. Magn. Magn. Mater. 323 248
Google Scholar
[10] Sharma V K, Chattopadhyay M K, Kumar R, Ganguli T, Tiwari P, Roy S B 2007 J. Phys. Condens. Matter 19 496207
Google Scholar
[11] Hu F X, Shen B G, Sun J R, Cheng Z H, Rao G H, Zhang X X 2001 Appl. Phys. Lett. 78 3675
Google Scholar
[12] Fujieda S, Fujita A, Fukamichi K 2002 Appl. Phys. Lett. 81 1276
Google Scholar
[13] Shen Q, van Rooij F, Zhang Z, Hao W, Dugulan A I, van Dijk N, Brück E, Li L 2026 J. Mater. Sci. Technol. 254 196
Google Scholar
[14] Na Y Z, Wang Z X, Kong Z, Xie Y, Zhang Y K 2025 J. Rare Earth https://doi.org/10.1016/j.jre.2025.09.044
[15] Campos A, Rocco D, Carvalho A, Caron L, Coelho A, Gama S, Silva L, Gandra F, Santos A, Cardoso L, von Ranke P J, Oliveira N A 2006 Nat. Mater. 5 802
Google Scholar
[16] Gschneidner Jr K A, Pecharsky V V, Tsokol A O 2005 Rep. Prog. Phys. 68 1479
Google Scholar
[17] Gshneidner Jr K A, Pecharsky V V 2008 Int. J. Refrig. 31 945
Google Scholar
[18] Planes A, Mañosa L, Acet M 2009 J. Phys. Condens. Matter 21 233201
Google Scholar
[19] Franco V, Blázquez J S, Ingalge B, Conde A 2012 Ann. Rev. Mater. Res. 42 305
Google Scholar
[20] de Oliveira N A, von Ranke P J, Troper A 2014 Int. J. Refrig. 37 237
Google Scholar
[21] Dunand D C, Mullner P 2011 Adv. Mater. 23 216
Google Scholar
[22] Webster P J, Ziebeck K R A, Town S L, Peak M S 1984 Philos. Magn. 49 295
Google Scholar
[23] Entel P, Dannenberg A, Siewert M, Herper H C, Gruner M E, Buchelnikov V D, Chernenko V A 2011 Mater. Sci. Forum 684 1
Google Scholar
[24] Datta S, Dheke S S, Panda S K, Rout S N, Das T, Kar M 2023 J. Alloys Compd. 968 172251
Google Scholar
[25] Fabbrici S, Porcari G, Cugini F, Solzi M, Kamarad J, Arnold Z, Cabassi R, Albertini F 2014 Entropy 16 2204
Google Scholar
[26] Schleicher B, Klar D, Ollefs K, Diestel A, Walecki D, Weschke E, Schultz L, Nielsch K, Fähler S, Wende H, Gruner M E 2017 J. Phys. D: Appl. Phys. 50 465005
Google Scholar
[27] Diestel A, Niemann R, Schleicher B, Nielsch K, Fähler S 2018 Energy Technol. 6 1463
Google Scholar
[28] Schröter M, Herper H C, Grünebohm A 2022 J. Phys. D: Appl. Phys. 55 025002
Google Scholar
[29] Fu S, Gao J, Wang K, Ma L, Zhu J 2024 Intermetallics 169 108276
Google Scholar
[30] Mendonça A A, Ghivelder L, Bernardo P L, Cohen L F, Gomes A M 2023 J. Alloys Compd. 938 168444
Google Scholar
[31] Sarkar S K, Babu P D, Biswas A, Siruguri V, Krishnan M 2016 J. Alloys Compd. 670 281
Google Scholar
[32] Zhang X, Qian M, Zhang Z, Wei L, Geng L, Sun J 2016 Appl. Phys. Lett. 108 052401
Google Scholar
[33] Gràcia-Condal A, Planes A, Mañosa L, Wei Z, Guo J, Soto-Parra D, Liu J 2022 Phys. Rev. Mater. 6 084403
Google Scholar
[34] Liu Y, Zhang X, Xing D, Shen H, Chen D, Liu J, Sun J 2014 J. Alloys Compd. 616 184
Google Scholar
[35] Liu Y, Luo L, Zhang X, Shen H, Liu J, Sun J, Zu N 2019 Intermetallics 112 106538
Google Scholar
[36] Qian M, Zhang X, Wei L, Martin P, Sun J, Geng L, Scott T B, Peng H X 2018 Sci. Rep. 8 16574
Google Scholar
[37] Qian M, Zhang X, Jia Z, Wan, X, Geng L 2018 Mater. Des. 148 115
Google Scholar
[38] Zhang Y C, Franco V, Wang Y F, Peng H X, Qin F X 2022 J. Alloys Compd. 918 165664
Google Scholar
[39] Chiu W T, Sratong-on P, Chang T F M, Tahara M, Sone M, Chernenko V, Hosoda H 2023 J. Mater. Res. Technol. 23 131
Google Scholar
[40] Zhang Y C, Gao Y, Franco V, Yin H B C, Peng H X, Qin F X 2023 Sci. Chin. -Mater. 66 3670
Google Scholar
[41] Hu F X, Shen B G, Sun J R 2000 Appl. Phys. Lett. 76 3460
Google Scholar
[42] Pasquale M, Sasso C P, Lewis L H, Giudici L, Lograsso T, Schlagel D 2005 Phys. Rev. B 72 094435
Google Scholar
[43] Miroshkina O N, Sokolovskiy V V, Zagrebin M A, Taskaev S V, Buchelnikov V D 2020 Phys. Solid State 62 785
Google Scholar
[44] Brown P J, Crangle J, Kanomata T, Matsumoto M, Neumann K U, Ouladdiaf B, Ziebeck K R A 2002 J. Phys. Condens. Matter 14 10159
Google Scholar
[45] Hafner J 2000 Acta Mater. 48 71
Google Scholar
[46] Kresse G, Furthmüller J 1996 Phys. Rev. B 54 11169
Google Scholar
[47] Kresse G, Hafner J 1993 Phys. Rev. B 47 558
Google Scholar
[48] Perdew J P, Burke K, Ernzerhof M 1996 Phys. Rev. Lett. 77 3865
Google Scholar
[49] Perdew J P, Wang Y 1992 Phys. Rev. B 45 13244
Google Scholar
[50] Blöchl P E 1994 Phys. Rev. B 50 17953
Google Scholar
[51] Monkhorst H J, Pack J D 1976 Phys. Rev. B 13 5188
Google Scholar
[52] Ebert H, Dreysee H 1999 The Use of the LMTO Method (Lecture Notes in Physics) (Berlin: Springer) 535 pp 191–246
[53] Ebert H 2005 The Munich SPR-KKR Package (Version 8.6) SPRKKR 8.6 Manual
[54] Minár J, Perlov A, Ebert H, Hashizume H 2005 J. Phys. Condens. Matter 17 5785
Google Scholar
[55] Zhang C, Zhang Z, Wang D, Hu Y 2024 Appl. Phys. Lett. 124 082407
Google Scholar
[56] Liechtenstein A I, Katsnelson M I, Antropov V P, Gubanov V A 1987 J. Magn. Magn. Mater. 67 65
Google Scholar
[57] Phan M H, Yu S C 2007 J. Magn. Magn. Mater. 308 325
Google Scholar
[58] Pecharsky V K, Gschneidner K A 2000 Annu. Rev. Mater. Sci. 30 387
Google Scholar
[59] Hu Y, Wang Y, Li Z, Chi X, Lu Q, Hu T, Liu Y, Du A, Shi F 2018 Appl. Phys. Lett. 113 133902
Google Scholar
[60] Hu Y, Hu T, Chi X, Wang Y, Lu Q, Yu L, Li R, Liu Y, Du A, Li Z, Shi F 2019 Appl. Phys. Lett. 114 023903
Google Scholar
[61] Hao F, Hu Y 2020 Appl. Phys. Lett. 117 063902
Google Scholar
[62] Zhang J, Hu Y 2021 Appl. Phys. Lett. 119 213903
Google Scholar
[63] Oesterreicher H, Parker F T 1984 J. Appl. Phys. 55 4334
Google Scholar
[64] Franco V, Blázquez J S, Conde A 2006 Appl. Phys. Lett. 89 222512
Google Scholar
[65] Franco V, Conde A, Sidhaye D, Prasad B L V, Poddar P, Srinath S, Phan M H, Srikanth H 2010 J. Appl. Phys. 107 09A902
Google Scholar
[66] Liu Y, Petrovic C 2018 Phys. Rev. B 97 174418
Google Scholar
Metrics
- Abstract views: 405
- PDF Downloads: 5
- Cited By: 0









DownLoad: