专题: 量子信息处理
编辑推荐
2025, 74 (21): 210302.
doi: 10.7498/aps.74.20250920
摘要 +
量子通信具有感知窃听的功能, 这是其区别于经典通信而独有的优势, 能够为信息安全提供新的保障. 在实际应用中, 量子通信具有绝对安全性的前提是所有通信方均是合法通信方, 然而, 这在实际通信环境中难以保证, 为量子保密通信带来安全性隐患. 因此, 在通信之前对通信方进行身份认证具有重要意义. 量子身份认证利用量子力学基本原理在通信方之间实现单向或双向身份认证, 并能确保身份认证码的绝对安全, 在量子通信领域具有重要的研究价值. 本文系统地梳理了量子身份认证协议的研究历程, 根据所需的不同量子资源对基于单光子、纠缠态、连续变量、混合型变量的量子身份认证协议进行介绍, 又根据身份认证过程中使用的量子协议类型, 介绍了基于量子密钥分发、量子安全直接通信、量子隐形传态以及乒乓协议框架的量子身份认证协议, 并分析各类协议在效率、安全性及实用化方面的优缺点. 最后, 详细地介绍了最新的量子身份认证协议——基于GHZ态的多方同步身份认证协议以及具有身份认证功能的极化-空间超编码的三方量子安全直接通信协议, 并对量子身份认证的未来发展方向以及在量子通信领域的应用潜力进行展望. 本综述可为未来量子身份认证的实用化发展提供理论支持.
专题: 超快原子分子光物理
编辑推荐
2025, 74 (21): 213201.
doi: 10.7498/aps.74.20250999
摘要 +
结合实验与理论研究, 探索了在多光子区域($ \gamma \gt 1 $)短脉冲激光作用下氩原子的光电离过程. 通过建立包含隧穿出口处电子初始纵向动量的半经典模型, 模拟了光电子动量分布. 该方法基于费曼路径积分理论框架, 为每条电子轨迹赋予动力学相位, 从而实现了对量子干涉效应的研究. 模拟结果与含时薛定谔方程(TDSE)数值解高度符合, 同时发现, 初始纵向动量的引入对于精确重现电离阈值附近观测到的光电子谱干涉结构至关重要, 并揭示出离子实极化对低能谱影响甚微. 本文的研究结果强调了超短脉冲光电离中非绝热势垒下动力学的重要性, 并提供了基于量子轨道的清晰物理图像.
专题: 磁共振技术
编辑推荐
2025, 74 (21): 218701.
doi: 10.7498/aps.74.20250771
摘要 +
近零场磁共振波谱和成像是一个快速发展的前沿领域, 其在化学样品快速分析和便携式磁共振诊断方面拥有巨大的应用潜力, 伴随着其核心部件原子磁力计的成熟, 国际上许多学者已提出相关的临床应用方案与计划. 近年来, 超极化技术的快速发展弥补了近零场磁共振信号强度不足的问题. 溶解动态核极化(dDNP)、仲氢超极化(PHIP/SABRE)、化学诱导动态核极化(CIDNP)以及自旋交换光抽运(SEOP)等超极化技术在近零场磁共振中已得到初步应用. 结合超极化技术, 可以摆脱磁铁, 显著提高磁共振信号强度, 从而推动近零场磁共振在化学分析与人体成像中的应用, 为快速的化学样品分析和基于磁共振成像的快速诊断提供更便携的工具. 本文将综述近零场磁共振与超极化技术的相关研究进展.
总论
2025, 74 (21): 210201.
doi: 10.7498/aps.74.20250895
摘要 +
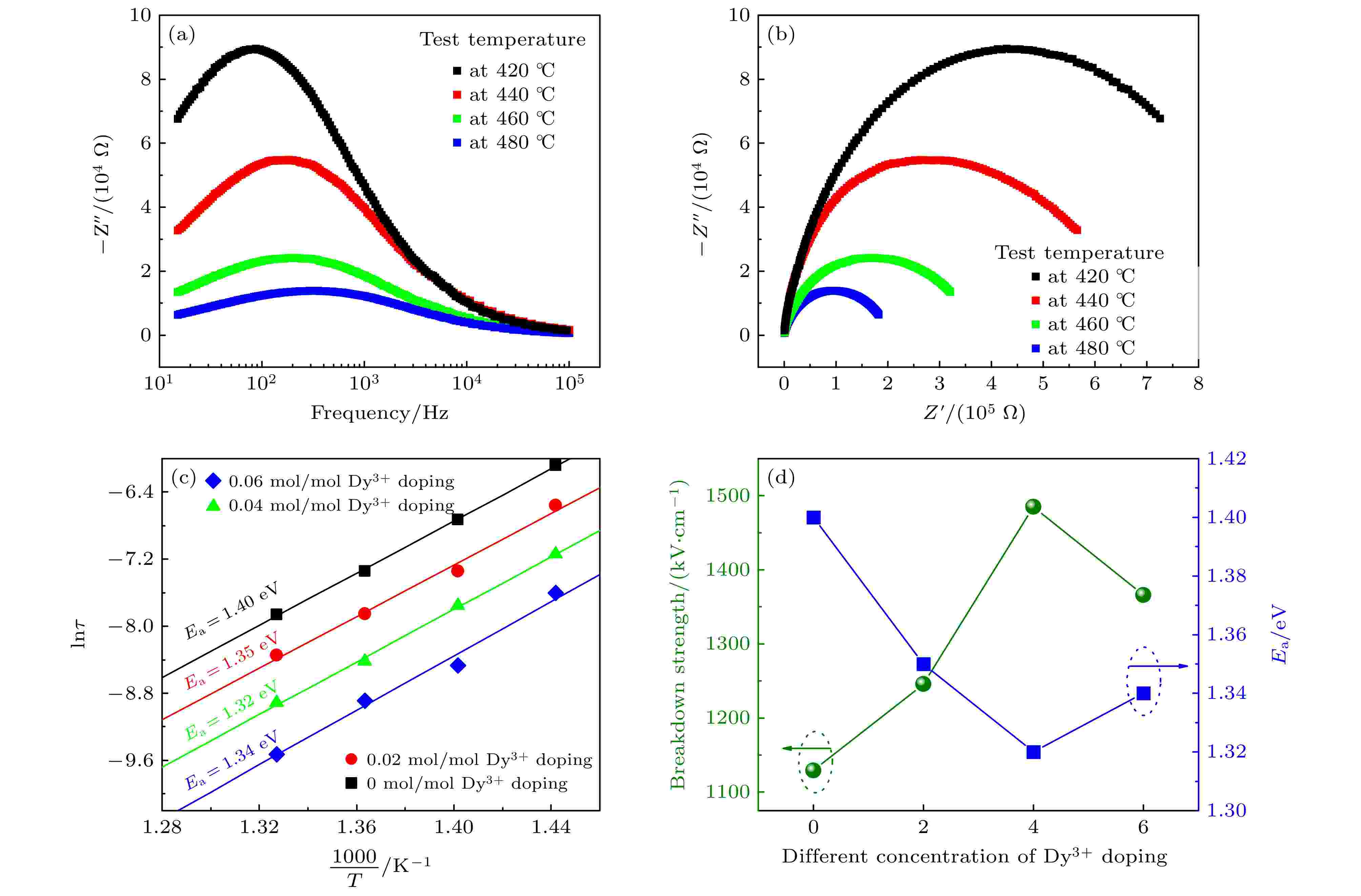
为研究高功率氮化镓器件散热性能, 构建氮化镓/石墨烯/金刚石异质结构, 采用分子动力学方法调控异质界面热输运特性, 并从声子输运角度揭示异质界面传热机理与调控机制. 研究发现Ga-C接触方式的界面热导是N-C结构的3倍, 且氮化镓/石墨烯/金刚石异质结构不具有热整流特性. N和B掺杂下界面热导先增大后减小, 但Si掺杂下界面热导单调增大. 两种Si掺杂势函数对应的界面热导差异不大, 但双势函数下的石墨烯结构更稳定. 线性掺杂和圆形掺杂两种掺杂形貌对界面热导影响不大, 但线性掺杂下石墨烯声子谱变化更具规律性. 氢化会严重阻碍界面传热, 但三种氢化结构下的界面热导均随氢化率增加而增大. 研究结果可为氮化镓器件热管理提供理论支持, 同时对突破大功率电子器件散热瓶颈具有指导价值.
编辑推荐
2025, 74 (21): 210301.
doi: 10.7498/aps.74.20250877
摘要 +
在量子资源理论中, 系统中不可避免存在的噪声使得调控和转化量子资源变得困难. 为了克服转化量子资源态时噪声的影响, 高资源初态$ {\boldsymbol \rho} $到低资源目标态$ {\boldsymbol \rho} ' $的转化往往考虑多份初始态到多份目标态的渐近转化. 渐近转化率$ R\left( {{\boldsymbol \rho} \to {\boldsymbol \rho} '} \right) $可以刻画这类转化过程中量子操作的能力, 并且它被定义为目标态份数与初态份数的比值. 一般地, 要得到渐近转化率的确切值是困难的. 在一般的多体量子资源理论中, 本文研究了两部划分下渐近转化率的分布特征: 当$ \alpha \geqslant 1 $时$ {R^\alpha }\left( {{\boldsymbol \rho} \to {\boldsymbol \rho} '} \right) $服从单配性关系式, 并且证明得到边际转化率和边际的催化转化率也都服从上述分布特征. 这些关系式表明多体系统中量子资源的分布以及子系统间量子资源的配置是存在束缚的.
2025, 74 (21): 210303.
doi: 10.7498/aps.74.20250808
摘要 +
玻色-爱因斯坦凝聚体内的准粒子激发导致系统里真实的玻色原子间产生量子纠缠. 采用谱展开的方法, 本文在准一维无限深方势阱下数值求解了Bogoliubov-de Gennes方程的本征值和本征态. 针对准粒子低能激发态, 研究了玻色-爱因斯坦凝聚体的量子纠缠熵随散射长度的变化. 本文结果表明纠缠熵随散射长度增加缓慢增大, 并且这种增大趋势可以近似用幂函数模型描述. 这种幂函数的趋势类似于一维均匀玻色-爱因斯坦凝聚体的Bogoliubov基态的纠缠熵近似与散射长度的1/2次幂成正比的情形.
2025, 74 (21): 210304.
doi: 10.7498/aps.74.20251001
摘要 +
玻色-爱因斯坦凝聚体的涡旋研究是探索宏观量子现象的重要途径. 本文聚焦于旋转双势阱中势垒参数对隐藏涡旋形成和演化的影响, 旨在揭示势垒宽度和高度对涡旋动力学的调控机制. 通过数值求解带耗散的Gross-Pitaevskii方程, 分析了不同势垒宽度和高度下凝聚体的密度分布、相位分布、涡旋数量及平均角动量. 结果表明: 增大势垒宽度可以显著促进隐藏涡旋的生成, 且生成的可见涡旋和隐藏涡旋总数仍然满足费曼规则; 当势垒宽度较大时, 隐藏涡旋会沿势垒轴线呈现摆动分布, 反映隐藏涡旋间相互作用增强. 相比之下, 当势垒高度高于临界值(指能够将凝聚体完全分隔的势垒高度)时, 改变其值对生成涡旋数量影响很小; 当势垒高度低于临界值时, 隐藏涡旋核因势阱连通变得可见, 而且可见涡旋的生成阈值降低. 特别地, 在旋转谐振子势阱中临时引入中间势垒可有效引入相位奇点, 促进在较低旋转频率下生成稳定涡旋态, 优于纯谐振子势阱所需的频率. 本研究为实验调控涡旋提供了理论依据, 具有一定的学术价值和应用前景.
2025, 74 (21): 210701.
doi: 10.7498/aps.74.20250866
摘要 +
非球面光学元件在芯片制造、遥感探测及航空航天等前沿领域具有重要应用价值, 因而对其加工和检测精度的要求不断提高. 非球面环形子孔径拼接测量技术是一种高精度、通用性强的有效检测技术, 但在大非球面度、大陡度元件检测中显著的面形特征与测量误差的耦合问题制约了其测量精度的提升. 本文提出一种基于全口径面形特征与局部测量误差全局优化拟合的非球面测量误差解耦合技术, 通过构建包含全口径圆形泽尼克多项式与子孔径环形泽尼克多项式的全局优化模型, 实现全口径面形特征与子孔径局部测量误差的同步拟合解算与解耦合并提升测量精度. 仿真与实验结果表明, 该技术可有效地分离面形特征与测量误差, 同时可避免传统拼接测量方法中面形参考基准存在误差和子孔径误差累积的问题, 在本文的实验中其PVr精度较传统方法可提升近30%. 此外, 该技术无需依赖子孔径重叠区域, 能够减少子孔径数量、提升测量效率. 此方法为大非球面度、大陡度光学元件的高精度测量提供了技术解决方案.
原子和分子物理学
编辑推荐
2025, 74 (21): 213101.
doi: 10.7498/aps.74.20250972
摘要 +
作为典型的单中子晕核, 11Be在原子及核物理研究中具有独特的意义. 本文针对类氦11Be2+离子, 采用相对论组态相互作用方法, 高精度计算了主量子数最高达$n = 8$的$n^{3}{\mathrm{S}}_1$和$n^{3}{\mathrm{P}}_{0,1,2}$态的能量与波函数. 通过将有限核质量修正算符直接引入Dirac-Coulomb-Breit哈密顿量, 使计算能够同时考虑相对论效应和质量相关修正. 基于计算的高精度能量与波函数, 本文进一步确定了$k^3{\mathrm{S}}_1 \rightarrow m^3{\mathrm{P}}_{0,1,2}$ ($k \leqslant 5$, $m \leqslant 8$)电偶极跃迁的振子强度, 精度达3—6位有效数字. 此外, 利用态求和法计算了$n'^3{\mathrm{S}}_1$ ($n' \leqslant 5$)态在宽光子频率范围内的动力学电偶极极化率, 在远离共振位置处结果最高可达10–6精度水平. 上述高精度计算结果为11Be2+离子在高精度测量中涉及的斯塔克频移评估以及光与物质相互作用的模拟等方面提供了重要的理论依据和关键输入参数.
编辑推荐
2025, 74 (21): 213401.
doi: 10.7498/aps.74.20251099
摘要 +
研究分子的碎裂机制以及碎片的动能分布, 有助于理解其在等离子体物理、生物组织的辐射损伤和星际化学等方面的重要作用. 本文利用冷靶反冲离子动量谱仪开展了3 keV/u的Ar8+离子束与氟甲烷气体分子束的碰撞实验, 聚焦CH3F3+离子C—F键和C—H键断裂后形成H++$ {\mathrm{C}\mathrm{H}}_{2}^{+} $+F+这一三体碎裂通道, 测得3个碎片离子的三维动量. 借助离子-离子动能谱、Newton图和Dalitz图展示碎片的动能与动量关联, 分析了H++$ {\mathrm{C}\mathrm{H}}_{2}^{+} $+F+通道的解离机制. 研究发现, 该通道存在协同碎裂以及通过中间体CH2F2+顺序碎裂两种解离方式, 其中协同碎裂占主导地位. 此外, 实验上观测到两种不同动力学特征的协同碎裂过程, 表明CH3F3+离子中H原子可以具有不同的化学环境. 这可能是由于分子异构化产生不同分子构型或者Jahn-Teller效应使得分子产生不同C—H键所致.
电磁学、光学、声学、传热学、经典力学和流体动力学
编辑推荐
2025, 74 (21): 214201.
doi: 10.7498/aps.74.20251007
摘要 +
量子光-物质相互作用系统的非平衡热能输运近来引起密切关注. 本文研究非平衡各向异性Dicke模型中的量子热流及热整流行为. 通过引入量子缀饰态主方程处理光子-量子比特强耦合. 研究结果表明, 各向异性光子-量子比特强耦合能有效调节热流. 量子比特数增多有利于增强热流. 在热力学极限近似和极限各向异性系数下, 得到热流的解析表达式. 该热流解析式为有限尺寸各向异性Dicke模型的热流上限. 较大的各向异性系数和光子-量子比特非弱耦合有助于实现显著的热整流效应. 希望这些结果能够加深对各向异性光-物质相互作用系统中非平衡热能输运的理解.
编辑推荐
2025, 74 (21): 214203.
doi: 10.7498/aps.74.20250988
摘要 +
燃烧场温度与气体组分浓度的二维分布对发动机燃烧效率以及性能评估具有重要意义. 本文提出一种基于自适应区域权重混合模型的燃烧场温度和气体组分浓度二维重建方法, 提高复杂突变燃烧场重建精度. 通过区域权重机制将多项式模型与高斯径向基函数模型结合为混合模型, 并自适应迭代计算区域权重矩阵. 一方面通过区域权重矩阵保证了混合模型在兼顾全局特征的同时, 提高混合模型细节特征的描述能力; 另一方面, 在残差函数中加入区域权重正则化方法, 提升算法的精度. 数值模拟了三种燃烧场分布, 通过对比验证了混合模型的表征能力和重建精度, 结果表明, 混合模型算法重建误差低于单一模型及传统ART算法, 其温度、浓度分布重建最大误差分别为3.31%和7.13%. 并在标准McKenna燃烧器上搭建了扫描式TDLAS测量平台及热电偶测量平台对该方法进行实验验证, 重建结果与实际分布一致性较好, 1800 K下中心温度与热电偶测量结果偏差为10 K, 验证了该方法的有效性, 可为发动机燃烧场测量分析提供有效的参考.
编辑推荐
2025, 74 (21): 214204.
doi: 10.7498/aps.74.20250690
摘要 +
太赫兹波在通信、生物医学及安检等领域具有重要应用潜力, 但其传输过程中的色散与损耗问题严重制约了系统性能的提升. 微带线作为平面传输线, 具有结构紧凑、易于集成的优势, 但其在太赫兹波段的色散特性有待深入研究. 本研究通过理论分析、数值仿真与实验验证相结合的方法, 系统探究太赫兹频段微带线的色散特性及其影响因素. 理论将微带线色散细分为介质色散、几何色散和导体色散, 推导了各色散分量的解析表达式. 实验采用太赫兹时域脉冲反射技术, 对不同基底介电常数、导线宽度及长度的微带线进行测试, 结合数值仿真验证了理论模型的准确性, 并引入脉冲展宽系数对微带线在太赫兹低频段的色散效应进行定量分析. 结果表明: 基底介电常数从2.2增至4.5时, 色散效应明显增大; 当导线宽度从100 μm增至1600 μm时, 通过增强几何色散使脉冲展宽系数从3.18增至5.12, 增幅达38%; 当导体长度从10 mm增至150 mm时, 则通过累积效应使展宽系数从2.12增至3.18, 增幅为33%, 与理论模型及仿真结果高度吻合. 本研究为太赫兹微带线的工程设计与结构优化提供了理论依据, 揭示了关键参数对微带线色散特性的调控规律, 对提升太赫兹通信系统带宽与信号完整性具有重要价值, 并为后续开发低色散、高性能太赫兹平面电路奠定了技术基础.
编辑推荐
2025, 74 (21): 214205.
doi: 10.7498/aps.74.20251017
摘要 +
辐射环境下, 增益光纤的辐致损耗会引起激光器输出性能的退化. 光漂白是降低辐射影响, 恢复激光器输出特性的一种有效方法. 本文对掺镱光纤激光器的辐照和光漂白特性开展了实验研究和模拟仿真. 在伽马辐照实验中, 激光器输出功率出现了明显的下降; 在漂白实验中, 观察到了激光器的性能恢复, 即自漂白现象. 为了摸清产生漂白效应的具体激光波长, 使用915, 976, 1070和1550 nm等不同波长激光测试了掺镱光纤内部辐致损耗的漂白特性, 明确了1 μm波段激光信号是引起掺镱光纤激光器性能恢复的主要因素, 而915, 976和1550 nm波段信号则无法实现对掺镱光纤的有效漂白. 测量了不同泵浦功率下掺镱光纤的漂白曲线, 并通过拟合得到了1070 nm光漂白下, 掺镱光纤辐致损耗的演化参数. 在此基础上, 计算给出了在辐照和光漂白条件下, 掺镱光纤内部辐致损耗的演化曲线; 结合激光器的辐射物理模型, 仿真给出了掺镱光纤激光器的功率演化曲线; 相关计算和仿真结果与实验测量数据变化趋势一致. 相关工作可为光纤激光器在辐射和漂白条件下性能演化预估提供技术支撑.
2025, 74 (21): 214301.
doi: 10.7498/aps.74.20250766
摘要 +
甚低频声波因具有强的穿透性, 其在海洋环境中的传播特性可受到海底深层地质结构的影响. 在已开展的海洋试验中, 垂直阵观测到水面航船的甚低频辐射噪声可激发高能量的深层海底声弹射路径, 但其激发机理尚不明确, 本文针对该现象开展理论基础研究. 基于海底的沉积过程构建包含声速梯度的等效海底模型, 并利用波数积分数值计算方法模拟声波跨海水-海底-海水的传播过程, 深入探究深层海底结构对声传播的影响, 进而揭示高能量海底声弹射现象的激发机理和相关特性规律. 研究表明, 受地质作用影响, 海底沉积层中可产生一定的声速梯度, 该梯度结构使得入射的甚低频声波在深层海底介质中传播时可发生“声翻转”效应, 将大部分能量重新辐射回水声场, 从而激发高能量海底声弹射路径. 在该过程中, 沉积层的厚度和声速结构共同作用影响表层和深层弹射路径的观测特征. 本研究深化了深海甚低频声传播机理的认知, 为利用海底弹射波进行甚低频目标的声探测应用提供理论支撑.
2025, 74 (21): 214302.
doi: 10.7498/aps.74.20250968
摘要 +
系统探究了刚性毛细管约束下微气泡在超声场中的弹跳行为及其动力学特性. 实验采用高速摄像技术捕捉了单泡、双泡及三泡系统在黏弹性介质中的运动轨迹, 并结合频谱分析揭示了气泡的振荡频率、迁移规律及多泡相互作用机制. 结果表明: 气泡的弹跳行为受超声驱动频率、管壁约束、流体黏性及气泡间耦合作用的协同调控; 单泡呈现周期性左右迁移, 其振荡频率略低于超声基频, 频谱表现出非对称边带分布; 双泡系统经历抑制、加速迁移、位置交换等5个阶段, 两个泡振荡存在相位差; 三泡系统则表现出更复杂的三角构型演化与时序性迁移, 多泡协同效应增强了非线性频域特征. 管径与流体黏度分别通过改变附加质量效应和黏性能量耗散影响气泡弹跳周期. 基于改进的耦合Keller-Miksis方程, 理论模型引入镜像气泡效应, 定量解析了管壁约束下气泡的共振频率偏移及非线性声响应特性. 数值分析进一步量化了泡间距、管壁位置及介质黏性对系统非线性共振频率与相位差的调控规律. 本研究为受限环境中气泡-声场-流固耦合机制提供了新见解, 对微流控器件优化与超声医学应用具有重要指导意义.
2025, 74 (21): 214303.
doi: 10.7498/aps.74.20251023
摘要 +
针对传统超声透皮给药技术中声场聚焦模式单一、药物粒子穿透深度及分布范围受限等关键瓶颈问题, 本研究提出了一种基于超声换能器阵列的多阶动态移焦发射策略, 旨在实现声能量在皮肤深度方向的动态重分布, 从而提升纳米粒子的透皮效率与分布均匀性. 通过调控换能器阵元激励相位, 构建多阶移动的声聚焦作用路径, 并通过在体动物实验与有限元仿真联合验证其透皮给药效果. 结果显示, 与固定焦点模式相比, 动态聚焦显著提升了药物粒子的经皮渗透深度与空间分布均匀性, 其平均渗透深度可提高65.7%, 荧光积分强度提升69.3%, 并在皮肤组织中形成更均匀的沉积带结构. 有限元仿真结果进一步揭示了该模式下粒子扩散演化行为与焦点动态轨迹之间的强耦合机制, 证实动态移焦模式下的“多焦点接力式”驱动效应可在显著优化粒子的经皮渗透效率的同时, 有效降低局部能量沉积引发的潜在风险, 为构建高效、安全、可控的超声透皮递药技术提供了重要的理论基础与技术支撑.
2025, 74 (21): 214304.
doi: 10.7498/aps.74.20250901
摘要 +
圆孔型声子晶体, 因结构简单、制作方便, 被广泛应用于换能器的性能优化研究. 研究发现, 圆孔型声子晶体结构的孔隙越大, 弹性波的能量局域化效果越好. 但是高孔隙度意味着圆孔间的距离较窄, 会大幅降低结构的机械强度. 柱状声子晶体结构的提出, 解决了圆孔型声子晶体结构需要高孔隙度, 对结构尺寸精度要求高的问题, 为压电超声换能器的性能优化提供了新思路. 利用在换能器的前、后盖板上加工的柱状和声学表面结构, 操控声波的传输行为和路径, 从而实现对换能器中耦合振动的有效控制, 不仅解决了换能器因振动能量不能均匀传递而导致的辐射面振幅分布不均匀的问题, 还使其辐射面的位移振幅得到了显著提升, 提高了换能器的工作效率. 仿真计算结果揭示了柱状和声学表面结构的配置对换能器性能的影响规律, 实验结果证明柱状和声学表面结构可以有效提升压电超声换能器的性能, 研究可以为换能器的工程计算及优化提供系统的设计理论证明.
2025, 74 (21): 214701.
doi: 10.7498/aps.74.20250930
摘要 +
纳米尺度下液体的蒸发因微观效应的影响而显著增强, 其速率甚至超过经典赫兹-克努森方程的预测上限. 这一特性使纳米液体蒸发在太阳能界面蒸发、电子散热及微流控等领域展现出重要应用价值. 然而, 现有研究多聚焦于单一微观效应的影响, 对多种效应协同作用机制的认识仍显不足. 为了准确地描述纳米尺度下液体的相变行为, 本研究以液氩为对象, 系统探讨了纳米尺度下液氩的势能与空化效应协同作用对液氩蒸发的影响机制. 采用分子动力学模拟研究在不同固-液相互作用强度的纳米通道内液氩的蒸发, 结果表明固-液相互作用强度增大使液氩势能减小, 蒸发能垒增大理论上抑制其蒸发. 但由此所形成的毛细压力诱导液氩内部负压而形成的空化效应增大了液氩的蒸发面积, 进而促进液氩的蒸发, 并且还伴随着蒸发模式的转变. 结果表明, 在 $ {\varepsilon }_{\mathrm{s}\mathrm{l}}=0.5{\varepsilon }_{\mathrm{l}\mathrm{l}} $, $ {\varepsilon }_{\mathrm{s}\mathrm{l}}={\varepsilon }_{\mathrm{l}\mathrm{l}} $, $ {\varepsilon }_{\mathrm{s}\mathrm{l}}=2{\varepsilon }_{\mathrm{l}\mathrm{l}} $, $ {\varepsilon }_{\mathrm{s}\mathrm{l}}=4{\varepsilon }_{\mathrm{l}\mathrm{l}} $四种不同固-液相互作用强度的通道中, 液氩的蒸发速率依次为3.95×10–14, 3.49×10–14, 3.02×10–14, 2.44×10–14 kg/s, 可得出在中等固-液相互作用强度$ {\varepsilon }_{\mathrm{s}\mathrm{l}}={\varepsilon }_{\mathrm{l}\mathrm{l}} $下, 二者达到最佳的协同效果, 蒸发速率达到最大值.
封面文章
封面文章
2025, 74 (21): 214202.
doi: 10.7498/aps.74.20251000
摘要 +
研究了人工巨原子与三个微腔耦合系统中的光子阻塞效应. 首先讨论了弱驱动腔模的情况, 分析了单光子和双光子激发时系统的能级结构和跃迁路径, 研究了系统中光子的统计特性. 其次, 考虑同时驱动人工巨原子和腔模, 探讨了利用量子干涉效应进一步增强光子阻塞. 研究结果表明, 系统的两个腔中出现了对弱驱动具有鲁棒性的光子阻塞效应, 等时二阶关联函数的值为$g^{(2)}(0)\approx 10^{-3.4} $. 另外, 在同时驱动人工巨原子和腔模的情况下, 本研究实现了最佳光子阻塞, 等时二阶关联函数可以达到$g^{(2)}(0)\approx 10^{-6.5} $. 该研究结果可为单光子源的实验实现提供新的可行方案.
凝聚物质: 结构、力学和热学性质
2025, 74 (21): 216101.
doi: 10.7498/aps.74.20250755
摘要 +
在能源结构转型背景下, 开发高效储热材料是提升太阳能热发电技术的关键. 硝酸熔盐因热稳定性优异、储热密度高而被广泛应用, 但其性能优化多依赖传统实验与模拟方法, 存在效率低、成本高等问题. 本研究引入固体与分子经验电子理论(EET), 系统分析了硝酸盐MNO3 (M = Li, Na, K)及其分解产物亚硝酸盐MNO2的价电子结构、结合能和熔点, 揭示了其物性与价电子结构之间的关联机制. 计算的键长、结合能和熔点与实验相符. 结果表明: 其结合能与价电子成正相关; 熔融源于M—O键的断键, 其价电子对数与熔点呈显著正相关. 研究了二元硝酸盐的液相线与价电子结构的关联性, 计算的液相线与实验相符. 通过优化价电子结构, 可调控液化温度. 应用热动力学理论预测二元硝酸熔盐的结合黏度、电导率和热导率. 通过物性综合优化, 筛选出0.5LiNO3-0.5NaNO3等低液化温度、低黏度、高电导率、高热导率的二元硝酸盐成分. 本研究为硝酸熔盐成分设计提供了电子结构层面的依据.
2025, 74 (21): 216102.
doi: 10.7498/aps.74.20250713
摘要 +
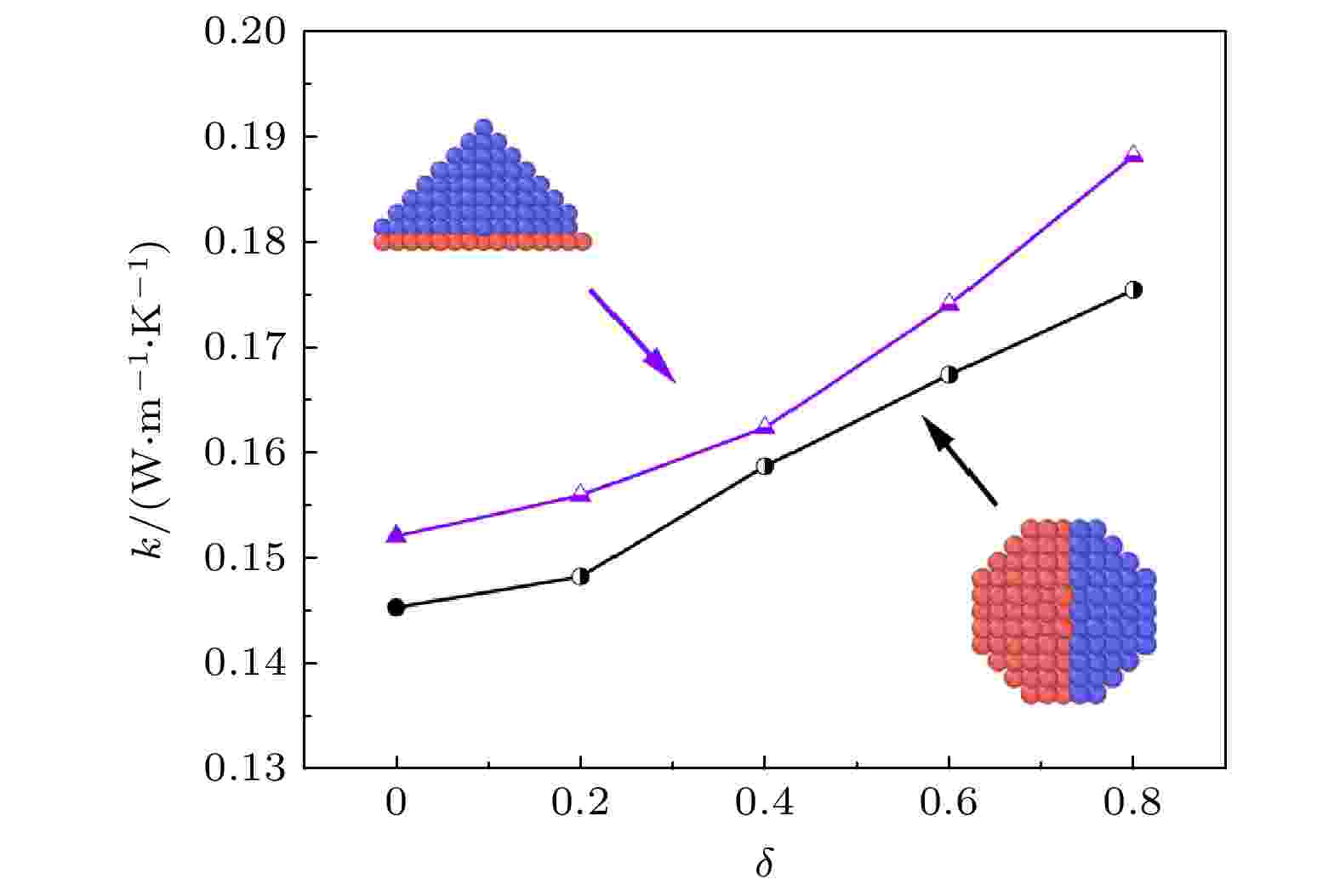
钒碳化物通常作为金属材料的增强相, 其弹性和延展-脆性特性对于力学性能至关重要. 本研究基于特殊准随机结构(SQS)方法和第一性原理计算系统探讨了多组分V1–x FexC系碳化物的稳定性、电子结构、机械性能和热性质随元素Fe含量变化的规律. 研究结果表明, 5种组分(V0.125Fe0.875C, V0.25Fe0.75C, V0.5Fe0.5C, V0.75Fe0.25C和V0.875Fe0.125C)随着元素Fe含量的减小稳定性提高, V1–x FexC系碳化物键合类型以共价键、金属键和离子键的混合特征为主. 相较于V1–x FexC系其他碳化物, V0.875Fe0.125C由于具有高的共价键强度, 因此表现出高的弹性模量和硬度, 元素Fe的掺杂引入显著影响V1–x FexC碳化物的晶格振动模式和电子结构, V0.875Fe0.125C碳化物较高的德拜温度, 同样印证了其高温下优异的机械强度. 此外, 热导率的计算不仅指导V1–x FexC系碳化物的实验选择, 同时为开发高性能耐高温涂层提供重要的理论支持.
凝聚物质: 电子结构、电学、磁学和光学性质
2025, 74 (21): 217101.
doi: 10.7498/aps.74.20250913
摘要 +
石墨烯等离激元在红外-太赫兹波段具有高度局域化和动态可调性, 但其精准调控机制仍需深入探索. 本文基于国产第一性原理计算软件ABACUS, 采用线性响应含时密度泛函理论方法, 结合截断库仑势消除层间耦合效应, 系统研究了石墨烯狄拉克等离激元的三类调控机制. 研究结果表明, 无论采用何种调控手段, 石墨烯狄拉克等离激元的色散关系均呈现出典型的双区域特征: 在长波区域, 其色散关系遵循$\sqrt{q}$的形式; 在短波区域, 则逐渐过渡为准线性行为. 此外, 随着载流子浓度的增加, 等离激元的激发能量呈现系统性增强, 并遵循$\omega \propto n^{1/4}$的标度律; 施加双轴应变时, 等离激元激发能量随晶格常数的增大而线性降低; 引入六方氮化硼(hBN)作为基底时, 对原始结果影响较小, 仅导致整体能量发生轻微红移. 进一步地, 深入揭示了上述三种调控机制的物理起源. 这些结果为基于石墨烯/hBN异质结构的高性能动态光电器件设计提供了坚实的理论支撑.
编辑推荐
2025, 74 (21): 217102.
doi: 10.7498/aps.74.20250761
摘要 +
元素镁和铝是地壳中丰度较高且被广泛应用于工业工程中的金属材料, 其在高压下能以单质形式形成电子化合物, 导致丰富多彩的晶体结构和电子性质. 本研究采用第一性原理结构搜索方法系统地对0—500 GPa压力范围内镁铝合金的可能结构进行探索, 获得了8种可在不同压强范围下稳定存在的晶体结构和2种亚稳的富镁合金结构, 其中6种稳定结构具有电子化合物特征. 通过计算分析验证了电子化合物中间隙准原子对晶格振动特性的影响, 同时在富镁合金结构中发现铝原子具有独特的–5e超高氧化价态, 形成满壳层电子结构. 本研究丰富了镁铝合金的高压相图, 并为开发新型高压功能材料提供了理论参考.
2025, 74 (21): 217201.
doi: 10.7498/aps.74.20250880
摘要 +
分子磁隧道结作为一种新型磁隧道结, 在提升器件的隧道磁阻和优化双自旋过滤效应方面具有独特优势. 通过裁剪6,6,12-石墨炔获得纳米点, 并与锯齿型石墨烯纳米带组合设计了两类纯碳基分子磁隧道结. 利用密度泛函理论和非平衡格林函数相结合的方法计算了基于6,6,12-石墨炔分子磁隧道结器件的自旋相关输运性质. 结果表明, 两类器件都获得了巨大的隧道磁阻值, 其最高数值可达到109%量级. 此外, 两类器件都获得了完美的双自旋过滤效应. 对于中心纳米点为六元环终端的这类分子磁隧道结, 其自旋过滤效应除了可以通过偏压实现调控, 还可以通过外磁场改变电极的磁化方向有效调控, 从而具备双场调控的特性, 这在实际应用中具有更广泛的适用性. 值得注意的是, 中心纳米点是六元环终端的分子磁隧道结中电子态密度非常小, 使其工作电流低至10 pA量级, 这在降低器件功耗方面具有重要优势. 这些有趣的现象表明, 基于6,6,12-GY的纯碳基分子磁隧道结在未来自旋电子器件中具有潜在的应用价值.
编辑推荐
2025, 74 (21): 217301.
doi: 10.7498/aps.74.20250971
摘要 +
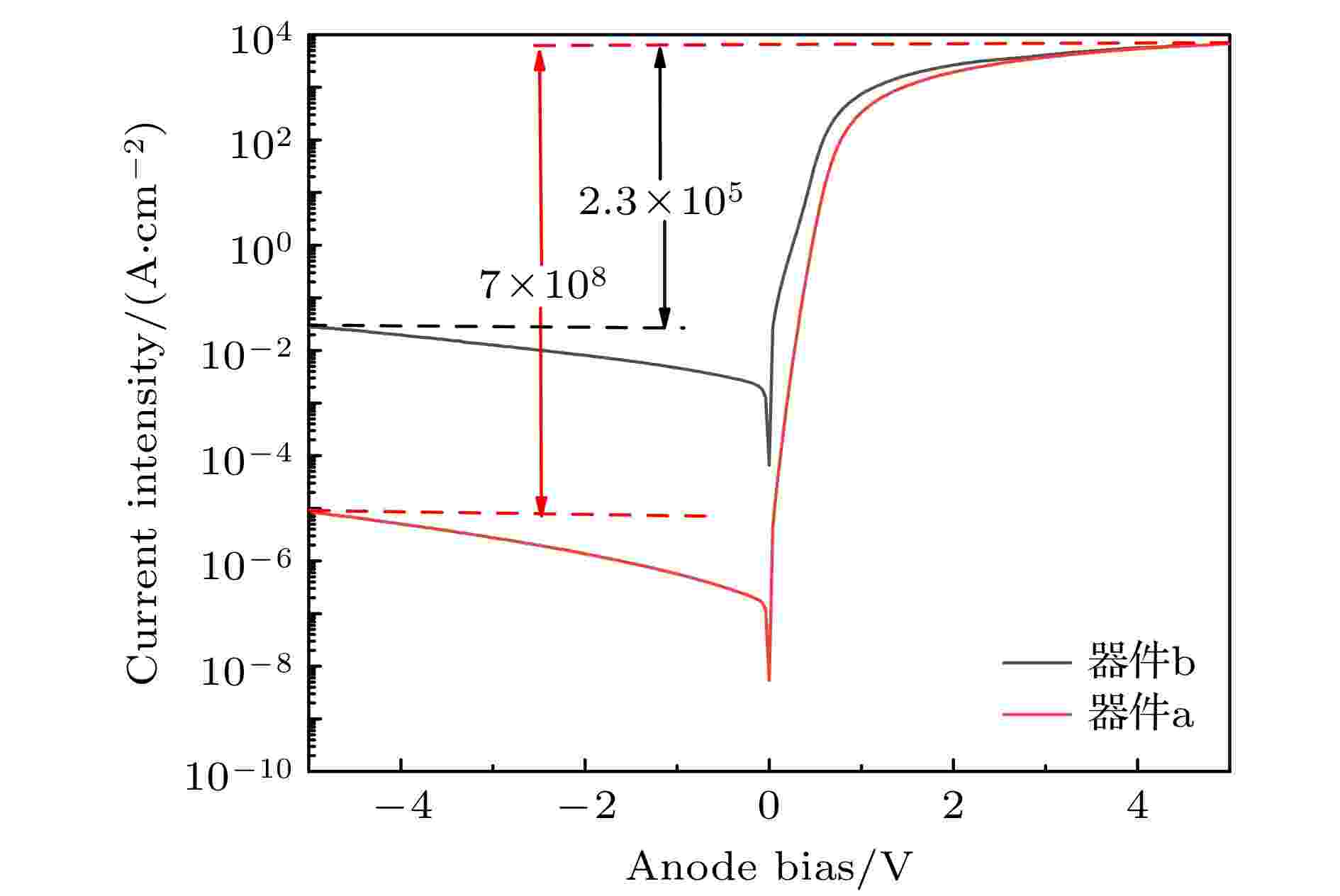
HfOx忆阻器因其低操作电压、良好的耐受性及循环特性等优异性能, 使其成为下一代非易失性存储器最有前景的候选者之一. 然而, 由于HfOx薄膜内氧空位导电细丝的形成和断裂的随机性, 器件阈值电压分布较为分散, 整体稳定性较差, 因此, 通过调控氧空位来提高HfOx器件的稳定性具有重要的研究意义. 本研究采用磁控溅射法制备了不同氩氧比的三组器件, 均表现出双极性阻变特性. 在三种不同氩氧比的W/HfOx/Pt 器件中, 氩氧比为45∶5的器件展现出最优的综合性能: I -V循环超过200次、开关比~103、在104 s内具有优异的数据保持特性且阈值电压分布集中, 表明器件稳定性显著提高. 通过构建氧空位调控与导电细丝演变的物理模型, 揭示了氧空位浓度对阻变机理的影响机制. 本研究明确了氧空位的调控HfOx忆阻器性能的关键作用, 为发展高性能、高可靠性的阻变存储器提供了有效途径.
2025, 74 (21): 217501.
doi: 10.7498/aps.74.20251002
摘要 +
为了明确La0.9Pr0.1Fe12B6合金的变磁相变属性和对应的晶体结构特征, 以及伴随的磁热效应, 本文研究了该合金在磁场诱导和温度诱导下的变磁相变过程及其对应的X射线衍射图谱(X-ray diffraction spectrum, XRD)变化, 并对不同测量模式下磁热性能进行深入对比. 结果表明, La0.9Pr0.1Fe12B6合金主相在低场升温过程中, 温度诱导的磁相变顺序为反铁磁态→铁磁态→顺磁态; 在等温磁化过程中, 在不同温度区间呈现出了3种磁场诱导的变磁相变, 即在低温时的两种反铁磁态(antiferromagnetic, AFM)与铁磁态(ferromagnetic, FM)之间的相变, 以及高温的顺磁态(paramagnetic state, PM)与FM态之间的相变, 且其对应的临界磁场(critical magnetic field, HC)比LaFe12B6母合金的低得多. 零场和加场变温XRD图谱显示La0.9Pr0.1Fe12B6合金的主相在磁无序和有序态间的转变过程中, 会伴随磁晶耦合现象, 其结果是XRD图谱中除原有主相的衍射峰外, 还会出现一些PM态下无法观察到的新衍射峰, 并且其强度随着温度的降低或磁场的增大而增强. 另外, 在基于连续测量模式下的等温磁化数据所计算的磁熵变随温度变化曲线中, 可在居里温度附近观察到因磁场诱导PM-FM一级变磁相变而导致的大磁熵变($ \Delta {S_{\text{M}}} $), 如在70 kOe的磁场下, 在50 K附近的最大磁熵变可达19 J/(kg·K), 相对制冷量约为589.1 J/kg. 然而在同样的测量模式下, 却没有观察到因AFM-FM变磁相变所期望的大磁熵变. 但采用非连续测量模式, 则同样观察到AFM-FM变磁相变过程伴随的大磁熵变, 如在70 kOe的磁场下, 8 K附近的最大磁熵变可达–12 J/(kg·K).
2025, 74 (21): 217701.
doi: 10.7498/aps.74.20250932
摘要 +
通过分子动力学模拟研究乙烯-四氟乙烯共聚物(ETFE)在低气压下的击穿性能, 并通过低气压击穿实验对仿真结果进行验证, 从原子尺度揭示ETFE材料在低气压下绝缘失效机制. 首先, 对ETFE进行分子动力学模拟, 随着飞行高度从0 km逐渐增大到24 km, 模拟气压从101.300 kPa逐渐降低到2.951 kPa, ETFE的分子间距离增大9.692%, 链间相互作用能降低8.383%, 自由体积分数增大62.586%, 而密度下降7.737%. 其次, 基于电机械击穿理论, 推导得到ETFE击穿场强降低17.626%. 最后, 通过低气压击穿实验测得击穿场强下降40.078%, 密度测试得到密度下降1.574%. 仿真和实验结果均证明, ETFE的击穿场强随着气压的下降而降低. 这是由于处于低气压条件时, 自由体积分数的增加与密度的降低均为自由电子提供更长的自由行程; 而电荷陷阱能级的下降导致介质对电荷的束缚能力下降, 使自由电子浓度增加. 以上因素的共同作用导致ETFE在不同飞行高度下的击穿场强下降, 为ETFE在航空航天、高飞行高度极端环境下的应用提供了性能预测与失效机理分析, 对航空绝缘ETFE材料的优化设计具有指导意义.
物理学交叉学科及有关科学技术领域
2025, 74 (21): 218101.
doi: 10.7498/aps.74.20250936
摘要 +
石墨烯晶界结构的演化规律及其位错运动机制的研究对理解石墨烯的塑性变形行为具有重要意义, 目前对于在非机械作用下石墨烯晶界的动力学行为已得到广泛研究, 但由于已有实验条件和模拟方法在时间和空间尺度方面的限制, 关于机械拉伸载荷作用下石墨烯位错动态演化过程及塑性变形问题仍知之甚少. 本文基于晶体相场模型, 研究了在单轴拉伸载荷作用下石墨烯晶界环的动力学演化过程. 模拟研究结果表明, 当外加应变低于临界值时, 石墨烯体系处于弹性响应阶段, 5|7位错核心区域的应变振幅随着外加载荷的增大而减小; 而当应变达到临界值时, 体系发生弹-塑性转变, 晶界环处5|7位错通过C—C键旋转, 转变为5|7|7|5位错, 此时位错核心区域的应变振幅增大, 标志着体系塑性变形的启动; 当应变超过临界值后, 体系进入塑性变形阶段, 晶界环呈现出3种特征性演化行为: 5|7位错与5|7|7|5位错之间发生缺陷结构交替转变; 位错经历“钉扎$\rightleftharpoons $攀移/滑移混合运动”的反复演化过程; 位错保持“钉扎”状态直至位错处裂纹形核并发生韧性断裂. 本工作为深入理解石墨烯塑性变形行为提供了重要理论基础.
地球物理学、天文学和天体物理学
编辑推荐
2025, 74 (21): 219401.
doi: 10.7498/aps.74.20251035
摘要 +
月面任务将面临月球车车轮与月尘摩擦充放电风险, 初步的理论研究表明金属材质的车轮可能会充电至–5000 V量级, 放电脉冲电流可达0.1 A量级, 严重威胁航天员生命安全和器件电路的正常工作. 本文采用地面实验手段研究了真空、太阳风等离子体环境下月球车车轮摩擦充放电风险. 研究结果表明, 真空环境下, 直径为136 mm的铝合金月球车车轮以0.003 m/s在月尘层上行驶时会快速充电至几百伏正电位, 车轮行驶距离至约20 m, 电位为550 V时即发生放电击穿, 此时捕捉到的放电电流脉冲幅值可达1.5 A, 脉冲持续时间约100 ns; 增加摩擦频率充电速率明显增加, 放电更频繁地发生; 在模拟的太阳风等离子体环境下, 车轮以0.003 m/s行驶时环境和摩擦共同作用使充电电位为负, 平衡后电位约–830 V, 且放电更加频繁, 行驶至8.5 m时即发生放电击穿, 放电电流脉冲幅值可达0.3 A, 脉冲持续时间100 ns. 该放电脉冲对线性电路造成了电磁干扰, 导致信号的异常输出. 本研究表明月球车摩擦充放电风险较高, 需在后续工程任务中关注并进一步评估其危害程度.

