-
Photonic crystals have received widespread attention in the field of photonics due to their unique band structures, which can manipulate the propagation of light through periodic dielectric arrangements. Accurate prediction of these band structures is crucial for designing and optimizing photonic devices. However, traditional numerical simulation methods, such as plane wave expansion and finite element methods, are often limited by high computational complexity and long processing times. In this study, we explore the application of the vision transformer (ViT) model to predicting the band structures of photonic crystals efficiently and accurately. To further validate the superiority of the ViT model, we also conduct experiments by using CNN and MLP models on the same scale for band structure prediction. We first generate a dataset of photonic band structures by using traditional numerical simulations and then train the ViT model on this dataset. The ViT model demonstrates excellent learning capabilities, with the loss function value decreasing to as low as 4.42×10–6 during training. The test results show that the average mean squared (MSE) error of the ViT model predictions is 3.46×10–5, and the coefficient of determination (R2) reaches 0.9996, indicating high prediction accuracy and good generalization capability. In contrast, the CNN and MLP models, despite being trained on the same dataset and having the same computational resource allocation, show higher MSE values and lower R2 scores. This highlights the superior performance of the ViT model in predicting the band structures of photonic crystals. Our study shows that the ViT model can effectively predict the band structures of photonic crystals, providing a new and efficient prediction tool for relevant research and applications. This work is expected to advance the development of photonic device design by offering a rapid and accurate alternative to traditional methods.
-
Keywords:
- photonic crystal /
- band structure /
- prediction /
- vision transformer
[1] Heaton J, Goodfellow I, Bengio Y, Courville A 2018 Genet. Program. Evolution Mach. 19 305
Google Scholar
[2] LeCun Y, Bengio Y, Hinton G 2015 Nature 521 436
Google Scholar
[3] Yablonovitch E 1995 Phys. Rev. Lett. 58 2059
Google Scholar
[4] John S 1987 Phys. Rev. Lett. 58 2486
Google Scholar
[5] Joannopoulos J D, Meade R D, Winn J N 2008 Photonic Crystals: Molding the Flow of Light (Princeton NJ: Princeton Univ. Press
[6] Nyachionjeka K, Tarus H, Langat K 2020 Sci. Afr. 9 e00511
Google Scholar
[7] Bogaerts W, Pérez D, Capmany J, Miller D A B, Poon J, Englund D, Morichetti F, Melloni A 2020 Nature 586 207
Google Scholar
[8] Fallahi V, Kordrostami Z, Hosseini M 2024 Sci. Rep. 14 2001
Google Scholar
[9] Fu Y L, Hu X Y, Gong Q H 2013 Phys. Lett. A 377 329
Google Scholar
[10] Safinezhad A, Babaei Ghoushji H, Shiri M, Rezaei M H 2021 Opt. Quant. Electron. 53 259
Google Scholar
[11] Giden I H, Mahariq I 2024 Opt. Quant. Electron. 56 170
Google Scholar
[12] Tavares S C da C, Sousa F B de, Oliveira L A de, Sousa F M de, Miranda I R S, Costa M B C 2024 Opt. Quant. Electron. 56 622
Google Scholar
[13] Sathyadevaki R, Raja A S, Sundar D S 2017 Photon. Netw. Commun. 33 77
Google Scholar
[14] Bazian M 2021 Photon. Netw. Commun. 41 57
Google Scholar
[15] Liu Y, Zhao T L, Ju W W, Shi S Q 2017 J. Materiomics 3 159
Google Scholar
[16] Ma W, Liu Z C, Kudyshev Z A, Boltasseva A, Cai W S, Liu Y M 2021 Nat. Photonics 15 77
Google Scholar
[17] Christensen T, Loh C, Picek S, Jakobović D, Jing L, Fisher S, Ceperic V, Joannopoulos J D, Soljačić M 2020 Nanophotonics 9 4183
Google Scholar
[18] Ferreira A da S, Silveira G N M, Figueroa H E H 2018 SBFoton International Optics and Photonics Conference Campinas, Brazil, October 8–10, 2019 p1
[19] He K, Zhang X, Ren S, Sun J 2016 IEEE Conference on Computer Vision and Pattern Recognition Las Vegas, NV, USA, June 27–30, 2016 p770
[20] Girshick R 2015 IEEE International Conference on Computer Vision Santiago, Chile, December 7–13, 2015 p1440
[21] Shen D G, Wu G R, Suk H 2017 Annu. Rev. Biomed. Eng. 19 221
Google Scholar
[22] Vinyals O, Toshev A, Bengio S, Erhan D 2017 IEEE Trans. Pattern Anal. Mach. Intell. 39 652
Google Scholar
[23] Dosovitskiy A, Beyer L, Kolesnikov A, Weissenborn D, Zhai X, Unterthiner T, Dehghani M, Minderer M, Heigold G, Gelly S, Uszkoreit J, Houlsby N 2020 arXiv: 2010.11929 [cs.CV]
[24] Lecun Y, Bottou L, Bengio Y, Haffner P 1998 Proc. IEEE 86 2278
Google Scholar
[25] Li Y L, Yin G H, Yan G W, Yao S 2025 Mech. Syst. Sig. Process. 224 111975
Google Scholar
[26] Michelucci U, Venturini F 2021 Mach. Learn. Knowl. Extr. 3 357
Google Scholar
-
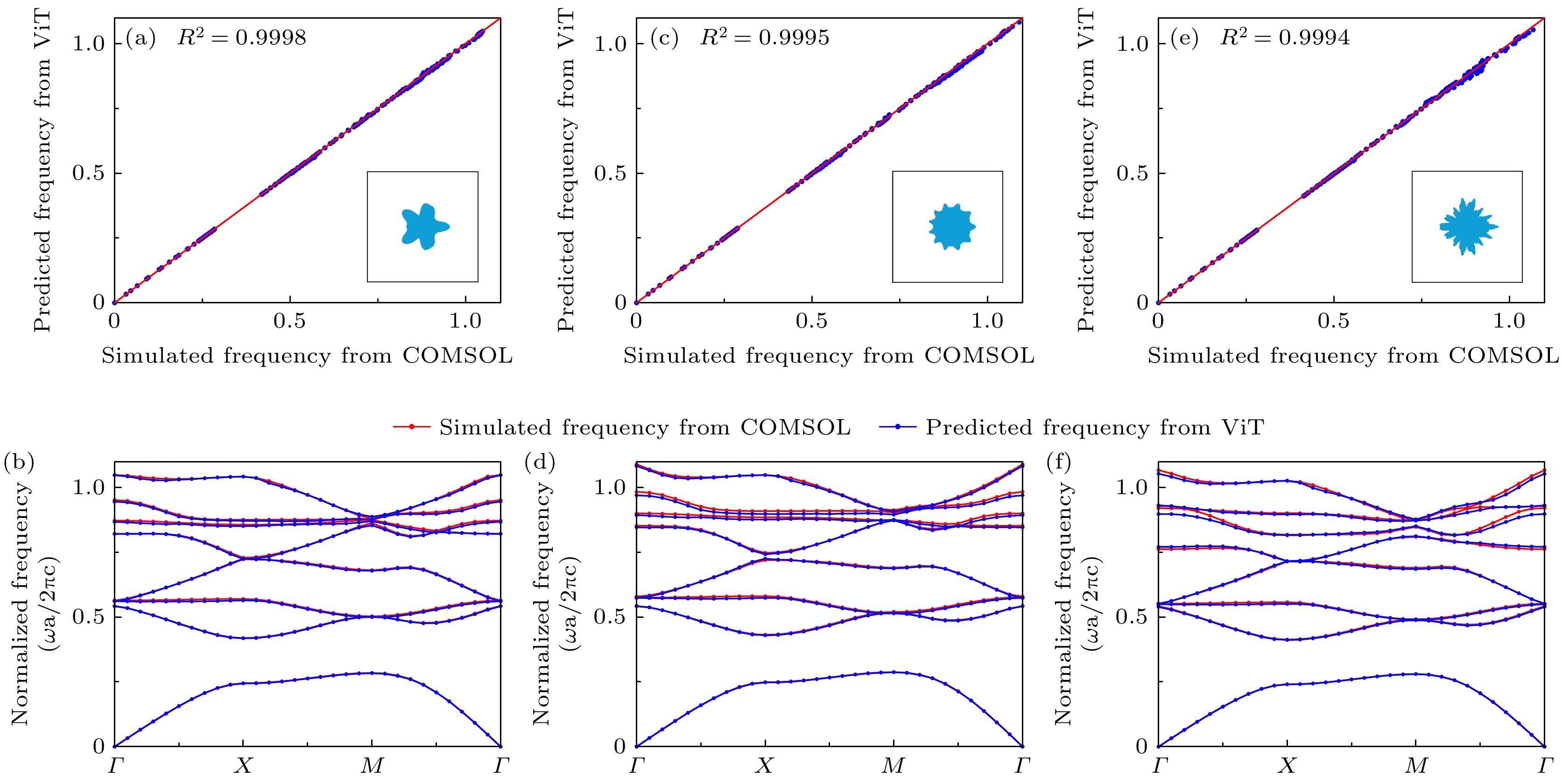
图 3 (a), (c), (e) COMSOL仿真与ViT预测的不同单元格的特征频率对比, 插图展示了相应单元格结构; (b), (d), (f) COMSOL仿真与ViT预测的不同单元格的光子带结构图对比, 分别对应于(a), (c), (e)中的单元格
Figure 3. (a), (c), (e) Comparison of eigen frequencies simulated by COMSOL versus predicted by ViT for different unit cells shown in the inset; (b), (d), (f) comparison of photonic band diagrams simulated by COMSOL versus predicted by ViT for different unit cells shown in panels (a), (c), (e), respectively.
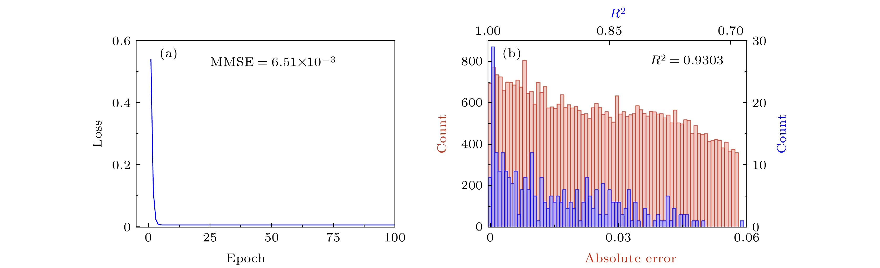
图 4 (a) ViT模型在训练周期的损失收敛情况; (b) 使用ViT预测与仿真之间的绝对误差分布以及R2的分布; (c) 不同能带对应的MSE和R2
Figure 4. (a) ViT model’s loss convergence over training epochs; (b) distribution of absolute errors between predicted and simulated frequencies using ViT, along with the distribution of R2 values; (c) MSE and R2 values for different band index.
-
[1] Heaton J, Goodfellow I, Bengio Y, Courville A 2018 Genet. Program. Evolution Mach. 19 305
Google Scholar
[2] LeCun Y, Bengio Y, Hinton G 2015 Nature 521 436
Google Scholar
[3] Yablonovitch E 1995 Phys. Rev. Lett. 58 2059
Google Scholar
[4] John S 1987 Phys. Rev. Lett. 58 2486
Google Scholar
[5] Joannopoulos J D, Meade R D, Winn J N 2008 Photonic Crystals: Molding the Flow of Light (Princeton NJ: Princeton Univ. Press
[6] Nyachionjeka K, Tarus H, Langat K 2020 Sci. Afr. 9 e00511
Google Scholar
[7] Bogaerts W, Pérez D, Capmany J, Miller D A B, Poon J, Englund D, Morichetti F, Melloni A 2020 Nature 586 207
Google Scholar
[8] Fallahi V, Kordrostami Z, Hosseini M 2024 Sci. Rep. 14 2001
Google Scholar
[9] Fu Y L, Hu X Y, Gong Q H 2013 Phys. Lett. A 377 329
Google Scholar
[10] Safinezhad A, Babaei Ghoushji H, Shiri M, Rezaei M H 2021 Opt. Quant. Electron. 53 259
Google Scholar
[11] Giden I H, Mahariq I 2024 Opt. Quant. Electron. 56 170
Google Scholar
[12] Tavares S C da C, Sousa F B de, Oliveira L A de, Sousa F M de, Miranda I R S, Costa M B C 2024 Opt. Quant. Electron. 56 622
Google Scholar
[13] Sathyadevaki R, Raja A S, Sundar D S 2017 Photon. Netw. Commun. 33 77
Google Scholar
[14] Bazian M 2021 Photon. Netw. Commun. 41 57
Google Scholar
[15] Liu Y, Zhao T L, Ju W W, Shi S Q 2017 J. Materiomics 3 159
Google Scholar
[16] Ma W, Liu Z C, Kudyshev Z A, Boltasseva A, Cai W S, Liu Y M 2021 Nat. Photonics 15 77
Google Scholar
[17] Christensen T, Loh C, Picek S, Jakobović D, Jing L, Fisher S, Ceperic V, Joannopoulos J D, Soljačić M 2020 Nanophotonics 9 4183
Google Scholar
[18] Ferreira A da S, Silveira G N M, Figueroa H E H 2018 SBFoton International Optics and Photonics Conference Campinas, Brazil, October 8–10, 2019 p1
[19] He K, Zhang X, Ren S, Sun J 2016 IEEE Conference on Computer Vision and Pattern Recognition Las Vegas, NV, USA, June 27–30, 2016 p770
[20] Girshick R 2015 IEEE International Conference on Computer Vision Santiago, Chile, December 7–13, 2015 p1440
[21] Shen D G, Wu G R, Suk H 2017 Annu. Rev. Biomed. Eng. 19 221
Google Scholar
[22] Vinyals O, Toshev A, Bengio S, Erhan D 2017 IEEE Trans. Pattern Anal. Mach. Intell. 39 652
Google Scholar
[23] Dosovitskiy A, Beyer L, Kolesnikov A, Weissenborn D, Zhai X, Unterthiner T, Dehghani M, Minderer M, Heigold G, Gelly S, Uszkoreit J, Houlsby N 2020 arXiv: 2010.11929 [cs.CV]
[24] Lecun Y, Bottou L, Bengio Y, Haffner P 1998 Proc. IEEE 86 2278
Google Scholar
[25] Li Y L, Yin G H, Yan G W, Yao S 2025 Mech. Syst. Sig. Process. 224 111975
Google Scholar
[26] Michelucci U, Venturini F 2021 Mach. Learn. Knowl. Extr. 3 357
Google Scholar
-
19-20250778Suppl.pdf
Catalog
Metrics
- Abstract views: 1278
- PDF Downloads: 27
- Cited By: 0









DownLoad: