Vol. 74, No. 19 (2025)
2025-10-05
SPECIAL TOPIC—Order tuning in disordered alloys

2025, 74 (19): 196402.
doi: 10.7498/aps.74.20250889
Abstract +
Glass-forming liquids exhibit unique dynamic transition behavior during temperature changes. The system undergoes a transition from the fragile liquid to the strong liquid, which is known as the fragile-to-strong transition as the temperature decreases. In order to address the issue of poor glass-forming ability (GFA) in Fe-based alloys, through studying the kinetic behavior of the Fe-Zr-B-M (M = Nb, Ti, Al) alloy system, the mechanism of ductile-brittle transition is revealed and the relationship between the degree of ductile-brittle transition and the GFA is established. In this study, through viscosity measurements, a pronounced fragile-to-strong transition behavior in this system is revealed. By using crystallization activation energy as an evaluation criterion, a negative correlation between the degree of the fragile-to-strong transition and the GFA in the Fe-Zr-B-M system is established. The results indicate that the crystal-like clusters play a critical role in the solidification process of the Fe-Zr-B-M metallic glasses. Based on this, a fragile-to-strong transition mechanism involving the structural transformation from the icosahedral clusters to the crystal-like clusters is proposed. Through theoretical calculations of mixing enthalpy and mismatch entropy and by combining microstructural characterization, it is found that alloy compositions with more negative mixing enthalpy and higher mismatch entropy can effectively suppress the tendency of icosahedral structures to transform into crystal-like structures, thereby hindering crystallization and promoting the formation of a more disordered amorphous structure. This structural feature not only corresponds to superior glass-forming ability but also exhibits a weak fragile-to-strong transition phenomenon. In this work, the intrinsic correlation between viscosity characteristics and the GFA is revealed, providing a theoretical basis for developing Fe-based metallic glasses with high GFA.
SPECIAL TOPIC—Quantum information processing

2025, 74 (19): 190302.
doi: 10.7498/aps.74.20250865
Abstract +
GENERAL

2025, 74 (19): 190201.
doi: 10.7498/aps.74.20250642
Abstract +
Realizing the independent control of the national standard time has important practical significance under the current international situation. In this work, an independent time scale that does not rely on external references is developed by studying the self-developed cesium fountain primary frequency standard and domestically-produced optically-pumped small cesium clocks. The specific approach is to use the cesium fountain primary frequency standard as a frequency reference to predict the frequency drift of the optically pumped small cesium clocks. By analyzing the noise characteristics of the optically pumped small cesium clocks, the state equation of the atomic clock is established, and the state of the optically pumped small cesium clock is estimated based on the Kalman filtering algorithm. The calculation of the time scale is based on the frequency state estimation and frequency drift state estimation of atomic clocks, which serve as the forecast values, and is achieved through the weight algorithm. The weight algorithm based on prediction error and the weight algorithm based on noise characteristics are studied. The results show that in the case of using Kalman filtering state estimation, the weight algorithm based on prediction error significantly improves the accuracy of the independent time scale. The cesium fountain primary frequency standard is chosen as the frequency reference to predict the frequency drift of the optically pumped small cesium clock. The accuracy and long-term stability of the independent time scale calculated are much better than those when the time scale itself is used as the frequency reference. Taking the international standard time (UTCr) as the reference, the accuracy of the independent time scale is maintained within 15 ns. The frequency stability is 1.57×10–14 for a sampling interval of 1 day, 4.29×10–15 for a sampling interval of 15 days, and 2.87×10–15 for a sampling interval of 30 days is showing that its stability can meet the current national time demand.

2025, 74 (19): 190202.
doi: 10.7498/aps.74.20250716
Abstract +
The structured light 3D measurement technology based on laser galvanometer has been widely used in industrial scenarios such as robot grasping, handling, and loading/unloading in welding and assembly workshops. However, in actual measurement scenarios, there are complex measurement structures such as depressions, overlaps, and occlusions. Light is prone to multiple reflections between micro-faces, causing intensity information to be mixed within the micro-face area and ultimately resulting in point cloud loss in this measurement area. To address the issue of point cloud loss in complex structure areas in the measurement process and ensure the accuracy of the measurement information provided by vision, a binocular point cloud sensor with a laser galvanometer as the key projection module is proposed in this work. Without adding hardware, it realizes two different image projection modes to deal with complex measurement situations within the scene. Among them, the anti-multiple reflection projection mode proposed in this work, by regulating the timing coordination relationship between key components, completes the measurement of complex structure positions and solves the problem of point cloud loss caused by multiple reflection interference. Finally, multiple experiments are conducted in actual scenarios to verify the feasibility of the proposed strategy. The experimental results show that in measurement scenarios with multiple reflection interference, the integrity of the black part point cloud measured by the anti-multiple reflection projection mode proposed in this work reaches 98.03%, which is 18.98% higher than the traditional measurement mode. It effectively solves the problem of point cloud loss in measurement scenarios with multiple reflection interference. Visual measurements ensure the accuracy and completeness of the information obtained. The six-axis compensation values determined by the robot for each part’s pose state during teaching become more precise. This ensures that the previously taught robot trajectory can be accurately reused for subsequent poses, thereby reducing the time needed for manual robot debugging and enhancing production efficiency.

2025, 74 (19): 190203.
doi: 10.7498/aps.74.20250778
Abstract +
Photonic crystals have received widespread attention in the field of photonics due to their unique band structures, which can manipulate the propagation of light through periodic dielectric arrangements. Accurate prediction of these band structures is crucial for designing and optimizing photonic devices. However, traditional numerical simulation methods, such as plane wave expansion and finite element methods, are often limited by high computational complexity and long processing times. In this study, we explore the application of the vision transformer (ViT) model to predicting the band structures of photonic crystals efficiently and accurately. To further validate the superiority of the ViT model, we also conduct experiments by using CNN and MLP models on the same scale for band structure prediction. We first generate a dataset of photonic band structures by using traditional numerical simulations and then train the ViT model on this dataset. The ViT model demonstrates excellent learning capabilities, with the loss function value decreasing to as low as 4.42×10–6 during training. The test results show that the average mean squared (MSE) error of the ViT model predictions is 3.46×10–5, and the coefficient of determination (R2) reaches 0.9996, indicating high prediction accuracy and good generalization capability. In contrast, the CNN and MLP models, despite being trained on the same dataset and having the same computational resource allocation, show higher MSE values and lower R2 scores. This highlights the superior performance of the ViT model in predicting the band structures of photonic crystals. Our study shows that the ViT model can effectively predict the band structures of photonic crystals, providing a new and efficient prediction tool for relevant research and applications. This work is expected to advance the development of photonic device design by offering a rapid and accurate alternative to traditional methods.

2025, 74 (19): 190301.
doi: 10.7498/aps.74.20250221
Abstract +
Entanglement detection and classification of multipartite systems remain the key topics in the field of quantum information and science. In this work, we take advantage of the nature that quantum Fisher information (QFI) can witness multipartite entanglement to comprehensively investigate the entanglement detection and classification of multi-qubit $W{\overline{W}} $ states immersed in a white noise environment. In the situation of local operation, by combining the information of the known quantum state, we have presented a criterion with visibility for witnessing the genuine multipartite entanglement and another for identifying the presence of quantum entanglement. Specifically, with respect to the 5-qubit $W{\overline{W}} $ state and 6-qubit $W{\overline{W}} $ state, due to the fact that the maximum QFI of their splitting-structure states exceeds that of the original states, it is infeasible to strictly establish a criterion for detecting the genuine multipartite entanglement. However, we delineate the scope for inferring the possible entanglement structures. Furthermore, it is found that as the number of qubits increases, the conditions for witnessing the genuine multipartite entanglement become increasingly strict, while those for detecting the existence of entanglement grow relatively more relaxed. Taking into account the likelihood of the crosstalk between neighboring qubits during the local operations on the multipartite systems in experiments, we employ the Lipkin-Meshkov-Glick (LMG) model to explore the entanglement classification of diverse multi-qubit multipartite states. It is found that with the increasing interaction strength, even for the strong white noise, the $W{\overline{W}} $ states can still be distinguished, thereby resolving the challenge of managing the entanglement classification under local operation. Besides, as the interaction strength continues to increase, the task of entanglement classification becomes more straightforward. This fully shows the superiority of nonlocal operations over local operations in the aspect of entanglement classification.

2025, 74 (19): 190303.
doi: 10.7498/aps.74.20250542
Abstract +
By numerically solving the single-particle stationary Schrödinger equation and the Gross-Pitaevskii equation with mean-field interactions at zero temperature, the ground state properties of the rotating spin-orbital-angular-momentum coupled Bose-Einstein condensates in a harmonic trapping potential are investigated in this work. The results show that the rotation lifts the double degeneracy of the single-particle energy spectrum in the angular momentum space, and leads to the vortex state. The angular momentum of the vortex depends on the rotating frequency, the intensity of the laser beam, and the spin-orbital-angular-momentum coupling. In particular, if the rotating frequency is below a critical value, the angular momentum of the ground state vortex remains unaffected by the rotating frequency. When the rotating frequency exceeds the critical value, the angular momentum of the ground state vortex will increase with the rotating frequency increasing. By assuming that the system is confined in a ring trap, the expression of the single-particle energy spectrum in the angular momentum space can be obtained, which clarifies how the rotation frequency affects the angular momentum of the ground state. In the presence of atomic interactions, similar phenomena can also be observed in the mean-field ground state at zero temperature.

2025, 74 (19): 190701.
doi: 10.7498/aps.74.20250701
Abstract +
The fiber Bragg grating has the characteristics of anti-electromagnetic interference, electrically passive operation, multi-point sensing, corrosion resistance, and compact size. An ultra-narrow linewidth transmission peak can be formed by introducing a π phase shift at the center of uniform fiber Bragg grating. But this π phase-shifted fiber Bragg grating (PSFBG) with an ultra-narrow linewidth is very sensitive to the input optical intensity. The photothermal effect generated by the input light inside the grating will cause the frequency shift, which will degrade the measurement precision of grating. At the same time, the frequency drift of the laser itself will also increase the measurement error. In this paper, a high-precision strain measurement method is proposed by using the PSFBG with an ultra-narrow linewidth based on the frequency-stabilized laser. The incident laser is attenuated to a single-photon level to eliminate the photothermal effect in the PSFBG. The laser frequency is stabilized to the PSFBG with an ultra-narrow linewidth of 38 MHz by using the single-photon modulation technology. The influence of low-frequency flicker noise is eliminated through 9-kHz high-frequency modulation. The filter bandwidth of lock-in amplifier is 312.5 Hz with the integration time and filter slope of 300 μs and 18 dB, respectively. The signal-to-noise ratio of error signal from the lock-in amplifier is 34. By tuning the resonant cavity length of the laser with the error signal, the output laser frequency is stabilized to the Bragg frequency of the PSFBG with an ultra-narrow linewidth of 38 MHz. The laser frequency fluctuation is limited to 4 MHz within 1000 s. The response sensitivity of Bragg wavelength to external strain in a range of 0 to 30 με is 1.2 pm/με, with a standard error of 0.023 pm/με, and the linear fitting correlation coefficient is R2 = 0.997. Due to the random drift of Bragg wavelength, caused by the environment temperature fluctuations, the corresponding strain measurement precision is 0.05 με. The high-precision strain measurement by using the PSFBG with an ultra-narrow linewidth based on the frequency-stabilized laser is achieved, which will play an important role in the field of aerospace, civil engineering, energy engineering, etc.
NUCLEAR PHYSICS

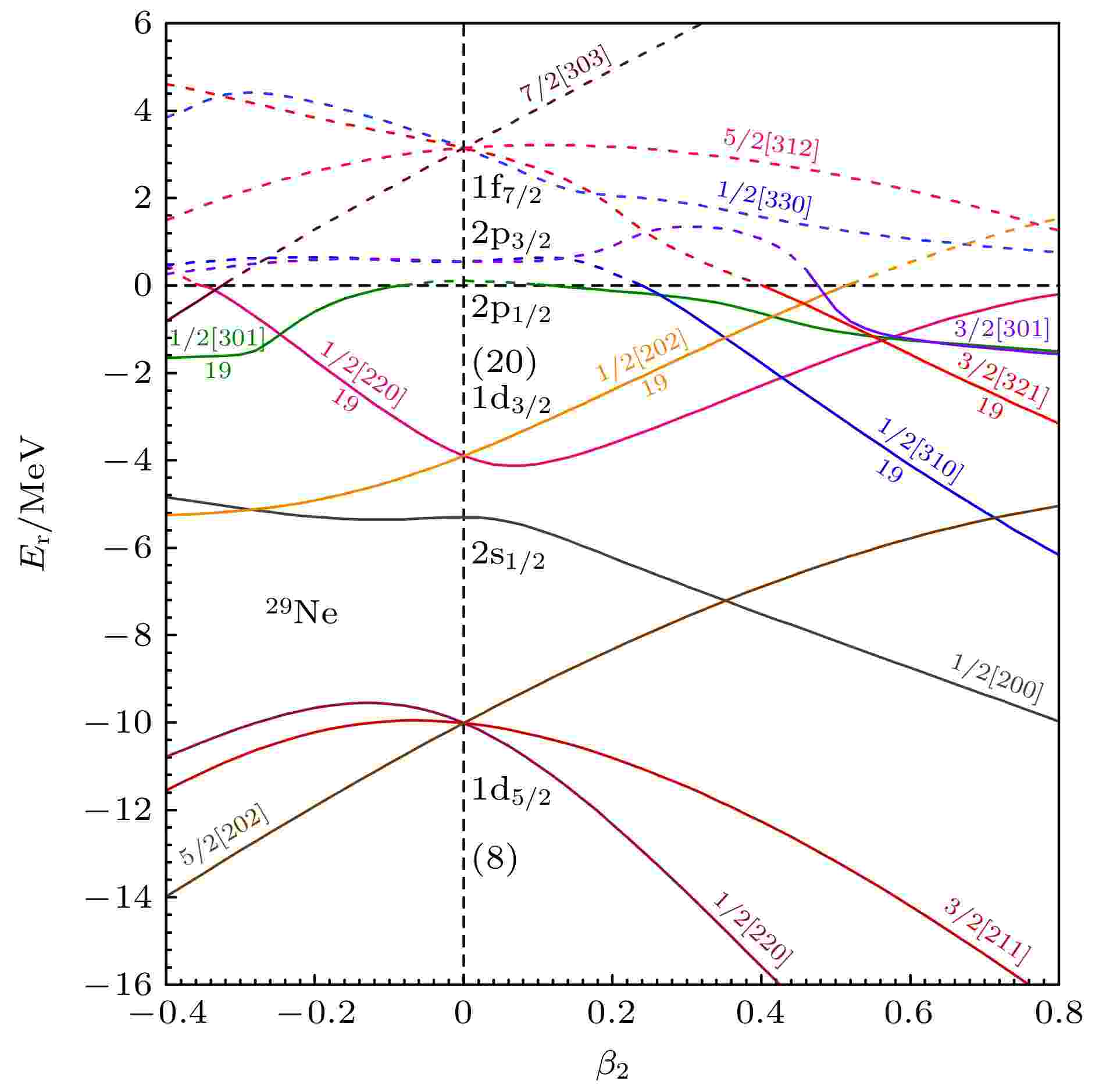
2025, 74 (19): 192101.
doi: 10.7498/aps.74.20250768
Abstract +

2025, 74 (19): 192301.
doi: 10.7498/aps.74.20250720
Abstract +

2025, 74 (19): 192901.
doi: 10.7498/aps.74.20250975
Abstract +
ATOMIC AND MOLECULAR PHYSICS

2025, 74 (19): 193101.
doi: 10.7498/aps.74.20250683
Abstract +
Plasmonic solar water splitting is produced on the composite electrode with plasmonic metal nanoparticles loaded on semiconductor, where the localized heating generated by relaxation of the metal’s localized surface plasmon resonance (LSPR) under light excitation enhances hydrogen production efficiency. To optimize composite photoanodes for photoelectrochemical water splitting system, the non-equilibrium molecular dynamics simulations are conducted to obtain the interfacial thermal conductivity between plasmonic metals (Cu, Ag, Au) and semiconductors (TiO2, ZnO, MoS2) at varying temperatures. The relationship between interfacial thermal conductivity and phonons at different frequencies is investigated via vibrational density of states which is calculated from the velocity autocorrelation functions and subsequent phonon participation ratio. The results indicate that as he temperature increases, the interfacial thermal conductivity of all composite electrode configurations is enhanced. When Cu and Ag are combined with TiO2 into Cu-TiO2 and Ag-TiO2, respectively, the thermal transport performances of Cu-TiO2 and Ag-TiO2 are superior to Au-TiO2, and the interfacial thermal conductivity of Cu-TiO2 reaches 973.56 MW·m–2·K–1 at 800 K. With Au as the fixed plasmonic component, Au-ZnO shows that its interfacial thermal conductivity reaches 324.44 MW·m–2·K–1 at 800 K, which is higher than those of Au-MoS2 and Au-TiO2. Based on the obtained interfacial thermal conductivity of different composite photoanodes, it is predicted that Cu-ZnO is the optimal composite, but its interfacial thermal conductivity is 547.69 MW·m–2·K–1 at 800 K, second only to Cu-TiO2. The analysis of vibrational density of states and phonon participation ratio shows that the low-frequency region (0—10 THz) is the main region for thermal transport, and both interfaces exhibit a high phonon participation ratio range of 0.7—0.8. However, the Cu-TiO2 possesses much higher vibrational density of states than Cu-ZnO within this critical band. Although Cu-ZnO exhibits a higher phonon participation ratio range in the high-frequency range, its lower overall interfacial thermal conductivity is attributed to the minimal contribution of high-frequency phonons to interfacial thermal conductance. The findings provide optimization strategies based on interfacial thermal transport mechanisms for constructing efficient photoanodes for solar water splitting.

2025, 74 (19): 193701.
doi: 10.7498/aps.74.20250603
Abstract +
ELECTROMAGNETISM, OPTICS, ACOUSTICS, HEAT TRANSFER, CLASSICAL MECHANICS, AND FLUID DYNAMICS

2025, 74 (19): 194201.
doi: 10.7498/aps.74.20250627
Abstract +
This paper studies the method of improving the transmission characteristics of underwater optical communication system based on orbital angular momentum (OAM) by using Humbert beams of type-II (HB-II). Based on the Rytov principle, an analytical expression for the spiral phase spectrum of HB-II beam after passing through the oceanic turbulence is derived, and the influence of different oceanic turbulence and beam parameters on the detection probability of HB-II beams is compared and analyzed. The results show that the detection probability of OAM mode of HB-II beam in ocean turbulence decreases with the increase of propagation distance, topological charge and kinetic energy dissipation rate. The anti-interference ability of the beam in ocean turbulence increases with the decrease of waist width, mean square temperature dissipation rate, and temperature salinity contribution rate. For HB-II beam, the fluctuation of detection probability can be relatively smooth when transmitted at different distances, and the detection probability performance is better than those for Airy beam and Laguerre Gaussian beam. The results can provide theoretical reference for designing the underwater optical communication systems based on HB-II beams.

2025, 74 (19): 194202.
doi: 10.7498/aps.74.20250610
Abstract +
GaN based Schottky barrier diode (SBD) possesses advantages including high power density, high conversion efficiency, and excellent switching characteristics. During heteroepitaxial growth of GaN, a high density of threading dislocations is inevitably introduced, which can degrade device reliability. This paper reports a low dislocation density N+/N– GaN quasi-vertical SBD fabricated on a freestanding GaN substrate. The characterization results of high-resolution X-ray diffraction and atomic force microscopy demonstrate that the high-quality epitaxial layer with a total dislocation density of 1.01 × 108 cm–2 and a root mean square surface roughness of 0.149 nm is achieved on a freestanding GaN substrate. The device prepared based on a high-quality epitaxial layer exhibits an ultra-low leakage current density of 10–5 A/cm2 at a reverse voltage of –5 V, without employing any edge termination structures or field plates or plasma treatment. Compared with the devices prepared on sapphire substrates using identical processes, the device prepared in this work reduces the reverse leakage current by four orders of magnitude. The experimental results show that the quasi-vertical GaN based SBD fabricated on a freestanding GaN substrate significantly reduces reverse leakage current and substantially enhances the overall electrical performance of the device. By employing emission-microscope (EMMI), leakage current in quasi-vertical SBD is identified to be primarily localized at the anode edge, and the underlying leakage mechanism is elucidated. Finally, temperature-dependent measurements demonstrate that the device maintains a leakage current below 10–3 A/cm2 at 100 ℃, confirming the potential of quasi-vertical SBD on freestanding GaN substrate for practical applications.

2025, 74 (19): 194204.
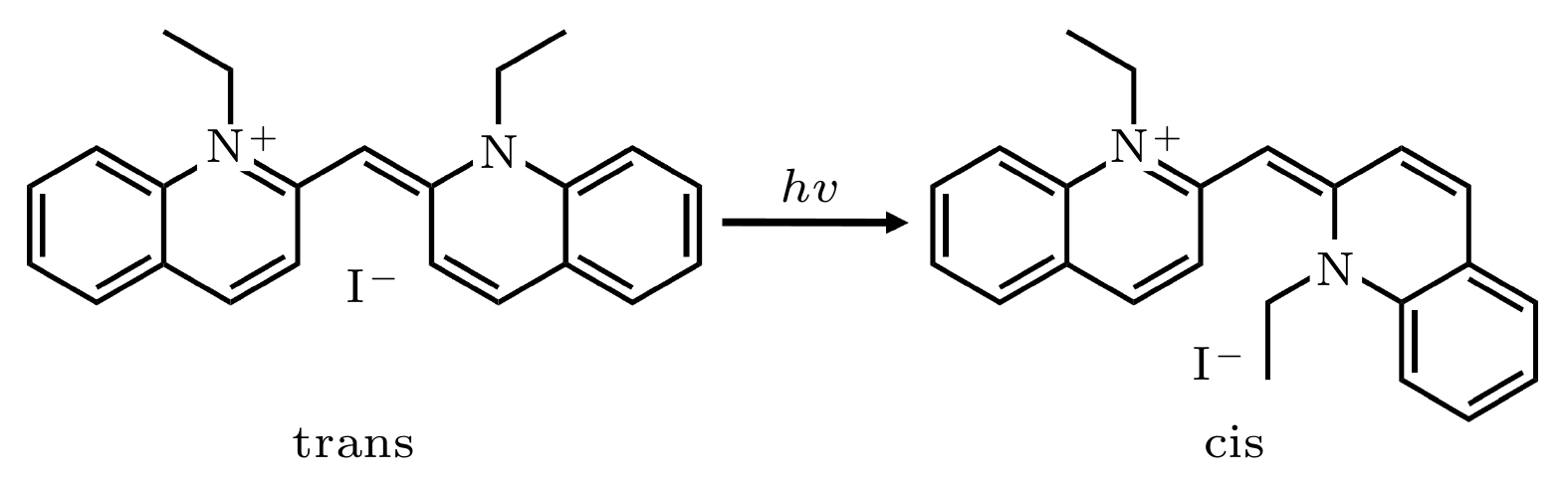
doi: 10.7498/aps.74.20250909
Abstract +
Photoisomerization is a prototypical photophysical and photochemical reaction, and the reaction quantum yield depends on its excited-state dynamic. Changing the evolution path of molecular excited states to achieve precise control over photochemical reactions has long been a dream pursued by physicists and chemists. To investigate the effect of femtosecond laser pulse on the ultrafast reaction, the ultrafast photoisomerization of 1, 1'-diethyl-2, 2'-cyanine iodide (1122C) in methanol is studied using pump-dump-probe spectroscopy. A third femtosecond pulse (Dump) at 1030 nm, which is delayed by 1 ps relative to the initial pump pulse, is introduced into the traditional pump-probe experiment. The recovery of ground state bleaching (GSB) and decrease of the cis product are observed in the pump-dump-probe experiment. It indicates that the dump pulse successfully promotes the initial transform: skipping the trans-cis isomerization pathway in the excited state and returning to the ground state directly through stimulated emission. It is found that the cis yield is reduced by approximately 12.1% under irradiation of the dump pulse. Our research shows that the quantum yields of a typic ultrafast photoisomerization reaction is successfully regulated by using femtosecond laser pulse, demonstrating the potential of femtosecond multi-pulse spectroscopy in modifying excited-state evolution pathways and optimizing photochemical reaction yields. This study provides theoretical and technical support for precisely controlling complex photochemical reactions in the future.

2025, 74 (19): 194701.
doi: 10.7498/aps.74.20250759
Abstract +
It has been reported that the thermal conductivity of the nanofluids can be enhanced by adding Janus nanoparticles into the base fluid. Additionally, the non-spherical nanoparticles also affect the thermal characteristics of nanofluids. In this work, conical nanoparticles are designed as Janus nanoparticles with hydrophilic side and hydrophobic bottom, which are suspended in the base fluid to form cone-shaped Janus nanofluids. By using molecular dynamics (MD) simulations, it is found that the thermal conductivity of conical Janus nanofluids can be enhanced by 43.4% compared with that of the base fluid, whereas the spherical Janus nanofluids indicate an increase of 33.7% under the same volume fraction. According to MD simulation results of the RDF and diffusion coefficients of solid particle and base fluid, the increased thermal conductivity observed in conical nanofluids can be attributed to the higher liquid layer density and the enhanced Brownian motion of the conical particles. For Janus nanofluids, the asymmetrical structure of Janus nanoparticles leads to higher diffusion coefficient than that of normal particles, which enhances the colliding possibility of Janus nanoparticles with surrounding liquid molecules, thus resulting in enhanced heat transfer in Janus nanofluids. In this paper, both fixed and unfixed particles are considered to explore the influence of particle diffusion on nanofluids. Under the fixed condition, the Brownian motion of the nanoparticles is artificially excluded, while under the unfixed condition, the particle can diffuse in the base liquid. It is found that for both spherical and conical Janus nanofluids, the thermal conductivity of Janus nanofluids gradually increases with the augment of asymmetry parameter δ under unfixed conditions. However, under fixed conditions, the thermal conductivity of Janus nanofluids is almost independent of the parameter δ. Therefore, the enhanced Brownian motion of the non-spherical particles is a likely reason of the increased thermal conductivity observed in conical Janus nanofluids. The combination of non-spherical particles and Janus particles provides a promising idea for designing nanofluids with high thermal conductivity.
PHYSICS OF GASES, PLASMAS, AND ELECTRIC DISCHARGES

2025, 74 (19): 195201.
doi: 10.7498/aps.74.20250805
Abstract +
Wall conditioning coatings—lithium (Li), boron (B) and silicon (Si)—introduced by lithiumization, boronization, or siliconization, serve as a critical strategy for suppressing fuel recycling and reducing impurity fluxes from the wall of a tokamak. These techniques directly improve plasma initiation, reproducibility, energy confinement, and operational stability in fusion devices. However, these coatings undergo both physical and chemical sputtering by boundary plasma bombardment. This erosion behavior critically determines coating lifetime and, consequently, long-pulse plasma performance. To evaluate the influence of physical sputtering on coating durability and to compare material-specific differences, binary collision approximation (BCA) simulations are conducted to investigate the physical sputtering behaviors of Li, B, and Si coatings. Carbon (C) and tungsten (W) substrates are also modeled to assess interface effects. The results reveal the significant differences in sputtering yields between Li, B, and Si in incident angles and deuterium energies. Owing to its low surface binding energy, lithium exhibits the highest sputtering yield at large angles and low energies, while silicon, with the highest atomic number, presents the highest sputtering yield at small angles and high energies. Sputtering yields of carbon-based and tungsten-based coatings vary with angle and energy, driven by their differences of deuterium backscattering and substrate sputtering at the interface. Notably, for tungsten-based coatings, the sputtering yields increase dramatically at specific energies. This occurs because tungsten’s high surface binding energy causes incident deuterium atoms to reflect off the tungsten interface and then collide with coating elements. Consequently, when the energy transferred to the surface element is higher than its sputtering threshold, the sputtering yield increases. Additionally, increasing incident fluence modifies the target composition, leading to corresponding changes in the sputtering yields of coating materials. In summary, coating materials should be selected according to the expected angle distribution and energy distribution of the incident plasma particles. To suppress the abrupt yield increase observed in tungsten substrates at specific energies, the coatings must be sufficiently thick. These findings provide a theoretical basis for selecting conditioning materials and optimizing wall conditioning strategies in fusion devices.

2025, 74 (19): 195202.
doi: 10.7498/aps.74.20250699
Abstract +
The strain rate effect on strength is a key issue in the study of dynamic constitutive models, and the Richtmyer-Meshkov instability experiment on the free surface of metal reflects the strength behavior under extremely high strain rates. After the shock wave propagates to the free surface and undergoes unloading, the metal enters a near-ambient pressure state and its strain rate exceeds 106 s–1. The initial sinusoidal perturbation exhibits the phase inversion trend of forming spike and bubble structure, while the development of the perturbation gradually stabilizes under the suppression effect of material strength. In the initial research, equivalent strength of metal under high strain rate is usually estimated by total spike growth for perturbation evolutions. Subsequent studies show that the maximum value of the spike velocity which can be directly measured can be the metric to determine equivalent strength. However, the influence of the non-uniformity of strength on the development of spike velocity has not been investigated. Tin is a critical material in the study of dynamic mechanical behavior under extreme conditions. Currently, the experiments of dynamic strength on tin usually combine various effects such as strain rate, pressure, and phase transitions. So far, no research has been found on the Richtmyer-Meshkov (RM) instability experiment, which is a method to separate high strain rate effect on tin free surface. The characteristics of tin dynamic strength behavior under extremely high strain rates are still unclear. This study conducts numerical simulations on the Richtmyer-Meshkov instability experiment of a tin sample with a pre-imposed sinusoidal perturbation with an amplitude 0.15 mm and a wavelength 0.8 mm under a shock pressure of 5.5 GPa. Using our developed two-dimensional explicit finite element program for elastoplastic hydrodynamics, the simulation results of three constitutive models, including elastic-perfectly plastic model, Steinberg-Cochran-Guinan model, and stress relaxation model, on the spike velocity curves are compared with the measurements. The equivalent strength of tin can be evaluated by obtaining a consistent maximum spike velocity of free surface perturbation between the calculation with elastic-perfectly plastic model and measurements. It is found that the strength increases by about 64 times at a strain rate of ~106 s–1 compared with that at a quasi-static strain rate of ~10–4 s–1, indicating that the strain rate hardening is extraordinarily significant. By adjusting model parameters, both the elastic-perfectly plastic model and Steinberg-Cochran-Guinan model can capture the maximum spike velocity but fail to reproduce the unloading process observed in experiment. Compared with the experimental results, the calculated spike velocity decreases too rapidly. In contrast, stress relaxation model due to considering strain rate effects achieves excellent agreement with the entire experimental spike velocity evolution, not only capturing the peak velocity but also solving the problem of overly rapid velocity decay. This demonstrates that the strain rate effect on material strength not only suppresses the maximum spike velocity but also affects the deceleration stage, revealing that the influence of strain rate effect persists throughout different stages of perturbation development. This study indicates that the experiment data available for dynamic constitutive model research extend from a single peak velocity value to the complete velocity evolution. The utilization efficiency of experimental data is greatly improved, providing important values for studying the dynamic constitutive models under extremely high strain rates.
COVER ARTICLE

2025, 74 (19): 196102.
doi: 10.7498/aps.74.20250738
Abstract +
Refractory multi-principal element alloys (RMPEAs)have become a hotspot in materials science research in recent years due to their excellent high-temperature mechanical properties and broad application prospects. However, the unique deformation mechanisms and mechanical behaviors of the NbTaTiZr quaternary RMPEA under extreme conditions such as high temperature and high strain rate are still unclear, limiting its further design and engineering applications. In order to reveal in depth the dynamic response of this alloy on an atomic scale, this study develops a high-accuracy machine learning potential (MLP) for the NbTaTiZr quaternary alloy and combines it with large-scale molecular dynamics (MD) simulations to systematically investigate the effects of crystallographic orientation, strain rate, temperature, and chemical composition on the mechanical properties and microstructural evolution mechanisms of the alloy under compressive loading. The results show that the NbTaTiZr alloy exhibits significant mechanical and structural anisotropy during uniaxial compression. The alloy exhibits the highest yield strength when loaded along the [111] crystallographic direction, while it shows the lowest yield strength when compressed along the [110] direction, where twinning is more likely to occur. Under compression along the [100] direction, the primary deformation mechanisms include local disordering transitions and dislocation slip, with 1/2$ \left\langle{111}\right\rangle $ dislocations being the dominant type. When the strain rate increases to 1010 s–1, the yield strength of the alloy is significantly enhanced, accompanied by a notable increase in the proportion of amorphous or disordered structures, indicating that high strain rate loading suppresses dislocation nucleation and motion while promoting disordering transitions. Simulations at varying temperatures indicate that the alloy maintains a high strength level even at temperatures as high as 2100 K. Compositional analysis further indicates that increasing the atomic percentage of Nb or Ta effectively enhances the yield strength of the alloy, whereas an increase in Ti or Zr content adversely affects the strength. By combining MLP with MD methods, this study elucidates the anisotropic characteristics of the mechanical behavior and the strain rate dependence of disordering transitions in the NbTaTiZr RMPEA under combination of high strain rate and high temperature, providing an important theoretical basis and simulation foundation for optimizing and designing novel material under extreme environments.
CONDENSED MATTER: STRUCTURAL, MECHANICAL, AND THERMAL PROPERTIES

2025, 74 (19): 196401.
doi: 10.7498/aps.74.20250829
Abstract +
To address the persistent challenge of morphological instability during laser-based additive manufacturing (AM) of dilute alloys, the coupled effects of rotation and strong shear flow on the stability of the solid–liquid interface under rapid solidification conditions are systematically investigated in this work. A comprehensive multi-physics theoretical model is established based on linear stability analysis through introducing key dimensionless parameters: Taylor number (Ta), inverse Schmidt number (${\cal{R}}$), dimensionless surface energy (Γ), and a nonlinear shear velocity profile applied parallel to the interface. The model also accounts for the presence of a solute boundary layer. By solving the resulting perturbation equations, the growth rates of interface disturbances are obtained. The results reveal that strong shear flow markedly increases the critical morphological number, indicating enhanced interfacial stability. When rotation is introduced, the instability region in wavenumber space is significantly compressed, particularly at small wavenumbers, due to the Coriolis-induced stabilization. How the critical conditions vary with the increase of Ta and surface energy is shown in Fig. (a), while the instantaneous perturbation fields of concentration and velocity in the melt pool are exhibited in Fig. (b), where the Coriolis effect promotes symmetrical recirculation cells and suppresses disturbance penetration in the vertical direction. Moreover, the synergy of rotation and shear flow facilitates a more uniform solute distribution near the interface, mitigates compositional gradients, and supports the formation of ordered laminar flow structures. These effects contribute to suppressing constitutional undercooling and refine the microstructure. The model is dimensionless and universal, and key dimensionless groups reflect process inputs, such as solidification rate, thermal gradients, and material diffusivity. This work offers critical physical insights into rotation–flow coupling mechanisms in AM and provides a quantitative framework for optimizing process parameters to control microstructural evolution. These findings are particularly relevant to AM of symmetric components (e.g., axisymmetric gears or biomedical implants) where rotational auxiliary fields can be practically introduced.

2025, 74 (19): 196801.
doi: 10.7498/aps.74.20250908
Abstract +
The asymmetric wetting Janus fiber membrane exhibits many unique properties when interacting with liquids due to its significant difference in wetting properties on both sides. Therefore, it has broad application prospects in fields such as microfluidics and biomedicine. The directional transport of droplets is one of the key functions of Janus fiber membranes, and its transport mechanism and regulation rules are crucial for practical applications. However, there is currently insufficient research on how wettability gradient and pore structure regulate the directional transport behavior of droplets. In this study, a two-phase flow phase-field model is established, and the reliability of the model is validated through droplet transport experiments conducted on plasma-assisted fabricated Janus fiber membranes. Building on this foundation, the directional transport behavior of droplets within the membrane is systematically investigated. The results show that the spontaneous transport of droplets from hydrophobic side to hydrophilic side is driven by a synergistic effect of surface free energy gradient, Laplace pressure difference, and capillary force. It is found that hydrophobic layer thickness, hydrophilic layer thickness, wettability gradient, and pore structure are key factors in regulating transport efficiency. Compared with traditional structures, Janus fiber membranes with wettability gradients can significantly improve the directional transport speed of droplets, and the wettability of the hydrophilic side shows a significant positive correlation with transport velocity. Although increasing pores can accelerate droplet transport, it simultaneously reduces the steady-state spreading area on the hydrophilic side. This study provides an important theoretical basis for optimizing the Janus fiber membrane structure and achieving efficient and precise fabrication of droplets.
CONDENSED MATTER: ELECTRONIC STRUCTURE, ELECTRICAL, MAGNETIC, AND OPTICAL PROPERTIES

2025, 74 (19): 197302.
doi: 10.7498/aps.74.20250814
Abstract +
Semi-magnetic topological insulators have received wide attention because of their unique electrical properties, including the emergent half-quantized linear Hall effect. However, nonlinear Hall effects in these materials have not been studied. In this work, the nonlinear Hall effect in semi-magnetic topological insulators is investigated, and its dependence on the orientation of the magnetic moment in the magnetic layer is explored. By using both analytical method and numerical method, it is demonstrated that the nonlinear Hall conductance is more sensitive to the horizontal component of the magnetic moment than the linear Hall conductance, which predominantly depends on the vertical component of the magnetic moment. Our results reveal that the nonlinear Hall conductance can serve as a sensitive probe to detect changes in the orientation of the magnetic moment in experiments. Specifically, it is shown that the nonlinear Hall effect is governed by the Berry dipole moment, whose magnitude and direction vary with the tilt of the magnetic moment, thereby offering a unique signature of its orientation. The potential for using both linear and nonlinear Hall effects to map the direction of the magnetic moment in semi-magnetic topological insulators is highlighted in this work. Besides, the measurement of the nonlinear Hall effect can be directly implemented using existing experimental setups, without the need for additional modifications. The findings offer insights into the quantum transport behavior of the semi-magnetic topological insulator and pave the way for new experimental techniques to manipulate and probe their magnetic properties.

2025, 74 (19): 197401.
doi: 10.7498/aps.74.20250728
Abstract +
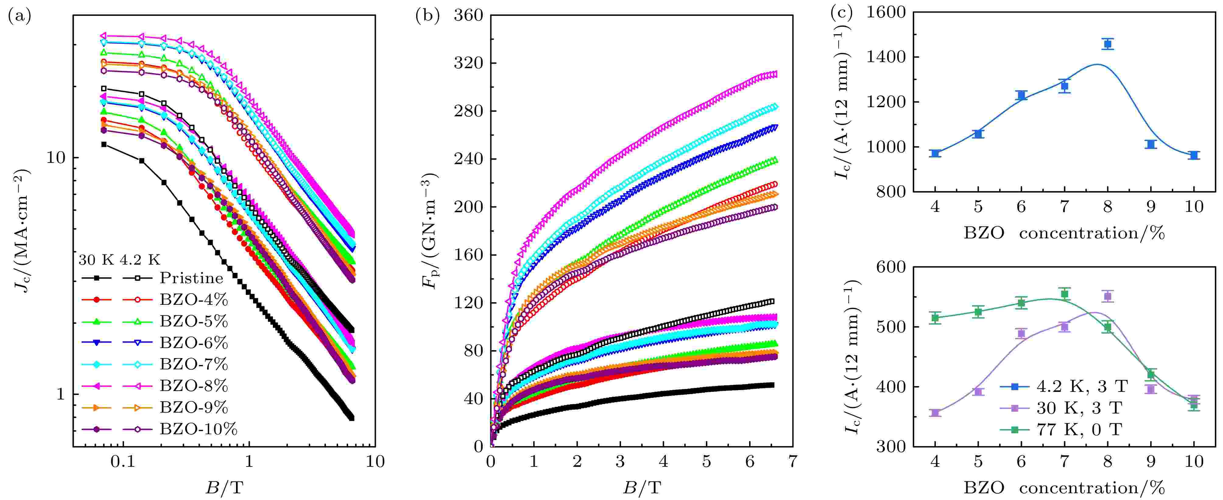
Introducing nano heterogeneous phases into YBa2Cu3O7–δ (YBCO) superconducting films is a common way to improve its flux pinning properties and in-field performances. The heterogeneous phases generated through traditional element doping strategies is highly sensitive to the sintering conditions, making the growth of the nano inclusions difficult to control under high-temperature environments. Unintended large-scale growth and aggregation of the doped phases can significantly reduce the efficiency of flux pinning of YBCO superconducting films, thereby limiting the overall enhancement of pinning performance in superconducting thin films. This occurs because the size of the vortex core (≈2ξ) cannot be effectively matched with excessively large defects. To address this challenge, the incorporation of monodisperse, small-sized prefabricated nanocrystals into YBCO superconducting coated conductors fabricated by the metal organic deposition (MOD) method offers an effective solution. This method can significantly improve the uniformity of heterogeneous phase size and spatial distribution, enabling the formation of dispersed and size-controllable artificial flux pinning centers. Such a strategy represents one of the most promising methods of enhancing magnetic flux pinning and increasing the critical current density under applied magnetic fields through MOD route. In this study, the prefabricated nanocrystals addition technology is adopted to introduce the mono-dispersed small-sized BaZrO3 (BZO) nanocrystals as flux pinning centers in YBCO high-temperature superconducting tapes, resulting in the significant enhancement of the in-field performance of YBCO films at low temperatures. This study systematically examines the effects of adding BZO nanocrystals with an initial size of approximately 8 nm at various mol concentrations from 4% to 10%. The results indicate that the optimal mole concentration for improving both self-field and field properties of YBCO is 8% BZO under temperature conditions of 4.2, 30, and 77 K. At 30 K and 3 T, the Fp value for the sample with a mole concentration of 8% BZO is approximately 92.06 GN/m3, which is 1.54 times higher than that of the mole concentration of 4% BZO sample and 2.3 times higher than that of the original sample.

2025, 74 (19): 197702.
doi: 10.7498/aps.74.20250938
Abstract +
INTERDISCIPLINARY PHYSICS AND RELATED AREAS OF SCIENCE AND TECHNOLOGY

2025, 74 (19): 198101.
doi: 10.7498/aps.74.20250523
Abstract +
Thermal accumulation under high output power density is one of the key bottlenecks faced by GaN-based power devices. The nanocrystalline diamond (NCD) passivation layer strategy plays a crucial role in improving heat dissipation in high-power GaN devices, while the existing studies focus on GaN-based HEMT. In this study, nanocrystalline diamond films with a thickness of 380–450 nm are grown on Si-based AlGaN/GaN heterostructure materials using a microwave plasma chemical vapor deposition (MPCVD) system. Consequently, lateral Schottky barrier diode devices with NCD passivation are fabricated, and their electrical and thermal properties are investigated. The results show that the DC forward characteristics of the NCD passivated diodes are essentially the same as those of devices without NCD passivation. Moreover, dynamic voltage tests indicate that the NCD passivation layer significantly mitigates current collapse in GaN devices at high frequencies. Under a –20 V DC bias and a pulse voltage of 2.5 V, the current density degradation of NCD passivated devices is only 2.6%, whereas devices without diamond passivation almost completely degrade. Thermal imaging microscopy under varying DC power levels shows that thermal failure occurs at an output power density of approximately 4 W/mm for conventional devices, while NCD passivated devices can reach around 7.5 W/mm. The electrical degradation behaviour of NCD passivated device is also tested under long-time reverse bias. This work demonstrates for the first time the application of nanocrystalline diamond passivation to thermal management of GaN-based power diodes, and clearly demonstrates the potential of this strategy in non-HEMT power device applications.

2025, 74 (19): 198201.
doi: 10.7498/aps.74.20250818
Abstract +
The [EMIm]+Cl–+AlCl3 ion liquid is a promising prototype electrolyte for aluminum-ion batteries (AIBs). Its ionic transport behavior involves multiple mobile species (Al3+, AlCl3, [AlCl4]– and [Al2Cl7]–), with ion migration mechanisms and conversion reactions among these species unsolved experimentally. This complexity results in heterogeneous ion migration mechanisms and sluggish diffusion kinetics, which cannot be accurately and reliably captured by the traditional first-principles molecular dynamics (FPMD) simulations within the very limited time duration (tens of ps) and relatively small modelling structure (less than 103 atoms). The classic molecular dynamics simulations based on various force fields are also scarce for studying and predicting the atomic structure evolution and ion diffusion dynamics of the complex electrolyte system such as ion liquids. In this work, a deep neural network interatomic potential (DP-potential) is developed through machine learning techniques, combining first-principles accuracy with classical molecular dynamics efficiency, to systematically investigate various chemical and physical properties for [EMIm]+Cl–+AlCl3 ion-liquid at finite temperatures. Training and validating of DP potential for [EMIm]+Cl–+AlCl3 ion liquid are implemented with a two-stage protocol, including the primary training stage and the refining stage. Before initiating the two training stages, a series of first-principles molecular dynamics (FPMD) simulations is performed for [EMIm]+Cl–+AlCl3 ion liquids with different molar ratios (1.0, 1.3, 1.5, 1.7 and 2.0) and equilibrium densities (1.09—1.56 g/cm3) at finite temperatures (300 K and 400 K), resulting in a highly diverse training datasets spanning a board range of chemical compositions and densities during the primary training stage for DP potential. Then, the trained DP-potential is employed to conduct long-timescale classic molecular dynamics simulations by using LAMMPS program for the [EMIm]+Cl–+AlCl3 ion liquids to produce the atomic configurations that either show significant errors in the calculated atomic forces and total energies or exhibit the unusual atomic evolution before crashing. Those highly extrapolated atomic configurations are merged with the initial training datasets to reoptimize the DP potential in the second refining stage. Through this two-stage training approach, a deep learning neural network interatomic potential with high accuracy is successfully constructed, achieving an energy prediction error of 5×10–4 eV/atom and a force prediction error of 5×10–2 eV/Å. The reliability of the finally obtained machine learning potential is further validated through a systematic comparison of radial distribution functions (RDF) for some representative atomic pairs such as C—N, C—H, Al—Cl and Cl—H, obtained from both DP-MD and FPMD, demonstrating excellent consistency for the results from the two methods. The DP-MD simulations are systematically carried out to investigate vibrational spectrum and Al3+ diffusion dynamics as well as possible conversion reactions among molecular or ionic species (Al3+, AlCl3, [AlCl4]– and [Al2Cl7]–) in [EMIm]+Cl–+AlCl3 ion liquids within 104 atoms at finite temperatures. From the calculated vibrational density of states (VDOS), it can be seen that the VDOS of [EMIm]+Cl–+AlCl3 ion liquid can be approximated as a simple superposition of the vibrational spectra of individual species ([EMIm]+, [AlCl4]–, and [Al2Cl7]–), with H related vibrational modes dominating above 90 THz and the Al—Cl modes dominating below 20 THz. At 300 K, DP-MD predicts that regardless of the chemical compositions, the diffusion coefficient of Al3+ remains around 4 × 10–7 cm2/s at 300 K and the estimated diffusion activation energy is about 0.20 eV, which is very close to the experimental measurement value (0.15 eV). In addition, the calculated ionic conductivity of [EMIm]+Cl– + AlCl3 at room temperature is 27.37 mS/cm, with a deviation of only 18.2% from the experimental value (23.15 mS/cm). Notably, two different Al3+ diffusion mechanisms are identified in [EMIm]+Cl–+AlCl3 ion liquid: 1) direct migration processes conducted solely by molecular species including [AlCl4]– and [Al2Cl7]–, and 2) the migration of the neutral AlCl3 molecule mediated with two neighboring [AlCl4]– anions through the conversion reaction between [Al2Cl7]– and AlCl3+[AlCl4]– moieties. Furthermore, first-principles calculations on the probable dissociation pathways of [Al2Cl7]– revealed from DP-MD predict a reaction energy barrier height of 0.49 eV for the AlCl3 transferring between two [AlCl4]– anions with an increased reaction probability from 0.00047 events/(ps·Al3+) at 1∶1.3 molar ratio to 0.00347 events/(ps·Al3+) at 1∶1.75 molar ratio. Overall, a highly efficient and reliable workflow to train and validate the deep neural network interatomic potential for complex electrolyte system is successfully proposed, such as [EMIm]+Cl–+AlCl3 ion liquids, thus providing a more comprehensive investigation of Al3+ transport mechanisms in ionic liquid electrolytes for aluminum-ion batteries. In conclusion, this work can further advance the application of machine learning-based potentials in simulating electrolyte systems characterized by complex molecular architectures and sluggish diffusion dynamics.

2025, 74 (19): 198501.
doi: 10.7498/aps.74.20250426
Abstract +
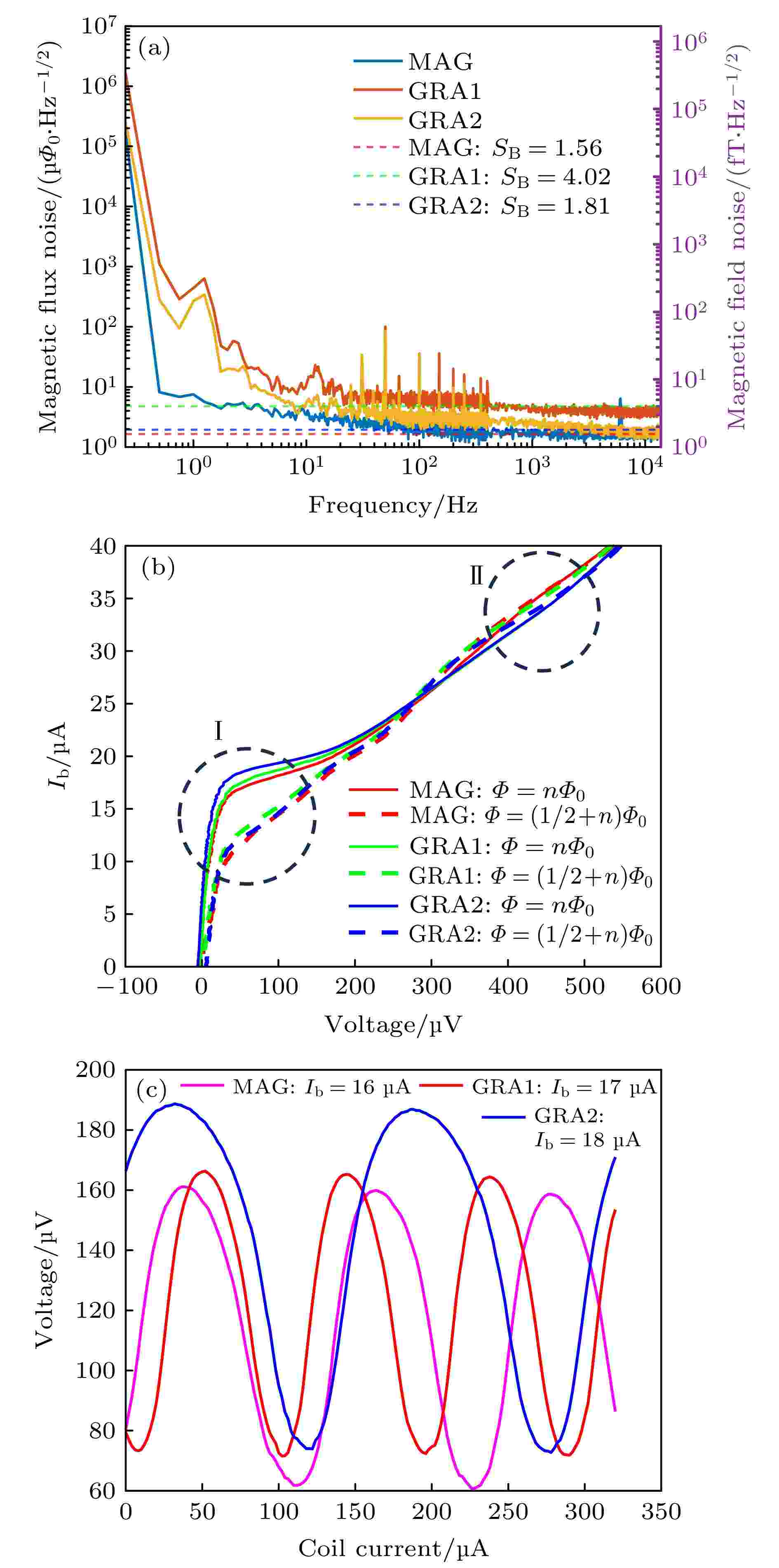
Superconducting quantum interference device (SQUID) is one of the most sensitive flux sensors and is critical in fields such as biomagnetism, low-field nuclear magnetic resonance (NMR), and geophysics. In this paper, an integrated magnetoencephalography (MEG) SQUID chip is investigated in detail, which consists of a magnetometer and two gradiometers. The SQUID and pick-up coils are fabricated on different-sized wafers. The SQUID is fabricated on a commercial silicon substrate using micro- and nano-fabrication processes, including thin-film growth, i-line stepper photolithography, and reactive ion etching (RIE). The sub-micron Josephson junction technology is employed to achieve a junction size of 0.7 μm×0.7 μm with a junction capacitance of only 0.05 pF. The pick-up coil is designed as a single-turn coil for a magnetometer and a planar first-order gradient coil for a gradient sensor. The MEG SQUID chips are tested in a well-shielded chamber with the helium-liquid temperature (4.2 K). Customized low-voltage noise readout circuit and source measure units are used to characterize the magnetic field white noise, current-voltage (I-V) characteristics, and voltage modulation amplitude of 171 SQUID channels. The results show that 81% of the SQUID chips exhibit the lower magnetic field noise (< 5 $ {\text{fT/}}\sqrt {{\text{HZ}}} $), and the high modulation amplitudes (in a range of 80–120 μV) with the low working currents of 15–20 μA, yielding a wafer yield rate of 78%. In summary, the SQUIDs show excellent performance in terms of magnetic field white noises, modulation amplitudes, and working currents, which are suitable for the very weak magnetic signal detection. One of future studies will focus on optimizing the SQUID chip fabrication process to minimize performance variations between chips on the same wafer.

2025, 74 (19): 198502.
doi: 10.7498/aps.74.20250849
Abstract +
By using the first-principles method based on density functional theory and non-equilibrium Green’s function, the transport properties of 5-nm two-dimensional SiC field-effect transistors with asymmetric metal phase 1T-MoS2 sources and Pd drain electrodes are investigated. The influence mechanism of increasing the electrode layers of 1T-MoS2 and reducing the working electrical compression on the device performance is systematically analyzed. The Schottky barriers extracted from the zero bias and zero gate voltage transport spectra show that the valence band maximum of SiC in the channel regions of MFET, BFET and TFET are closer to the Fermi level after the source drain electrode has been balanced. Therefore, these three devices belong to P-type contact, and the height of the hole Schottky barrier increases with the increase of the number of 1T-MoS2 layers in the source electrode, which are 0.6, 0.76, and 0.88 eV, respectively. In addition, the increase of 1T-MoS2 layers will also lead to the increase of the density of states in the source electrode, thereby improving the transport coefficient at the band edge. The effects of the two on the transport capacity of the device are opposite, and there is a competitive relationship. The transfer characteristics of devices show that the wide band gap of SiC can significantly suppress the short channel effect, so that all devices can meet the requirements of Off-state. More importantly, the subthreshold swings of all devices at an operating voltage of 0.64 V are all close to the physical limit of 60 mV/dec. The ON-state currents of MFET, BFET and TFET can reach 1553, 1601 and 1702 μA/μm under the more stringent IRDS HP standard, and the three performance parameters, i.e. intrinsic gate capacitance, power-delay product and delay time, can greatly exceed the standards in the international road map of equipment and systems (IRDS) for high-performance devices. In addition, the working voltage of MFET can be reduced to 0.52 V, and the corresponding power-delay product and delay time are as low as 0.086 fJ/μm and 0.038 ps, which are only 14% and 4% of the IRDS standard. The asymmetric source drain electrode design strategy proposed in this work not only solves the problems about low On-state current and short channel effect restricting Off-state current of existing two-dimensional material field-effect transistors, but also provides an important solution for developing ultra-low power nano electronic devices in the post Moore era.
GEOPHYSICS, ASTRONOMY, AND ASTROPHYSICS

2025, 74 (19): 199201.
doi: 10.7498/aps.74.20250580
Abstract +
Terrestrial Gamma-ray flashes (TGFs) originating from the Earth’s atmosphere, accompanied by thunderstorms and lightning activity, are one of the hot spots in the interdisciplinary of cosmic ray and atmospheric physics. Over the years, satellite experiments have detected thousands of upward TGFs during thunderstorms, while ground-based experiments have observed some downward TGFs. Nowadays, it is widely believed that TGFs accompanying lightning leaders observed by satellite-based and ground-based experiments involve relativistic runaway electron avalanche (RREA) production. Due to triggering the relativistic runaway electron avalanche (RREA) process needing a very large electric field strength and region, it is difficult to study the RREA process through ground-based experiments. In this paper, CORSIKA 7.7410 software package, combined with a vertically uniform electric field model, is adopted to simulate the intensity and energy distribution of RREA electrons in thundercloud with different electric field strengths induced by seed electrons and the secondary electrons in extensive air shower (EAS) from vertical protons with different primary energies. The results show that the number of RREA electrons increases exponentially with the thickness of the thunderclouds increasing, and also increases exponentially with the electric field strength rising. After passing through the atmosphere with an electric field of –3000 V/cm and a thickness of 800 m, the number of secondary electrons in RREA process increases by approximately 3×104 times. The characteristic length of avalanche (λ) decreases as the electric field strength increases. When the electric field is –1600 V/cm and –3000 V/cm, the λ is approximately ~282 m and ~69 m, respectively. The energy spectrum of RREA electrons gradually softens with the increase of layer thickness and strength of electric field, and their average energy increases with the increase of electric field strength, when the thundercloud thickness exceeds 400 m, the mean energy of RREA electrons gradually stabilizes. When secondary particles pass through a thundercloud with an electric field strength of –3000 V/cm and a thickness of 800 m, the mean energy of RREA electrons is approximately 11.7 MeV. Through the Monte Carlo simulations, the RREA process, which is difficult to observe directly in the atmosphere, is successfully simulated. The simulation results provide important information for studying the characteristics of TGF source regions, offer clues for detecting downward TGF in ground-based experiments, and contribute to the research on the triggering mechanism of lightning in the atmosphere. In addition, our simulation results are expected to elucidate the relationship between TGF and lightning activity, promoting interdisciplinary research in the fields of atmospheric physics and cosmic ray physics.