-
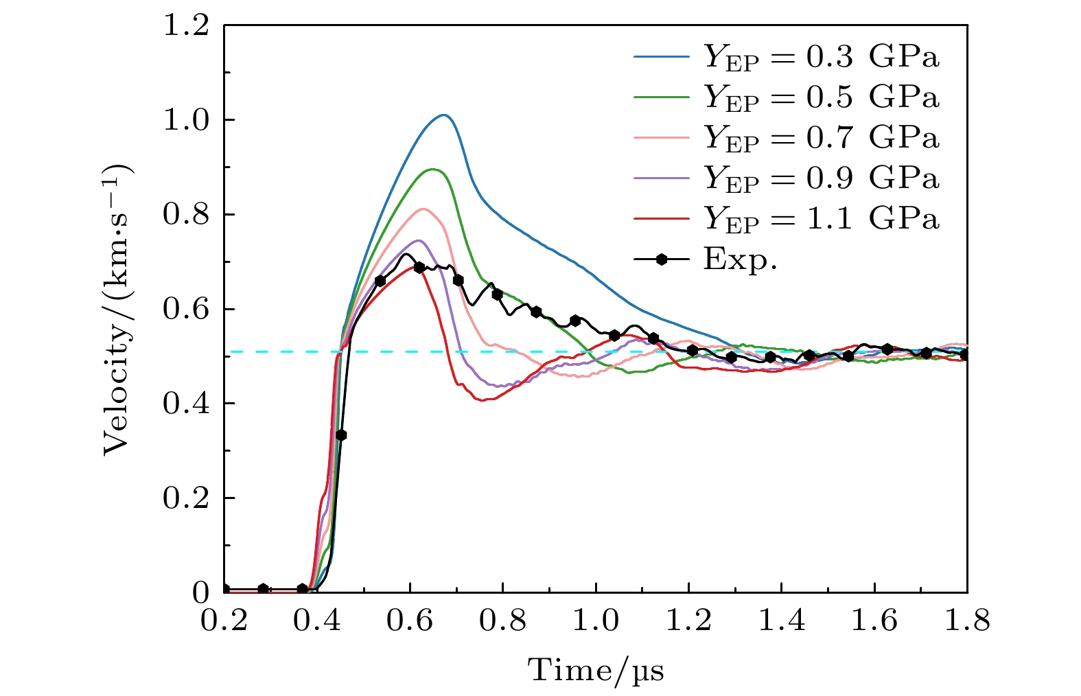
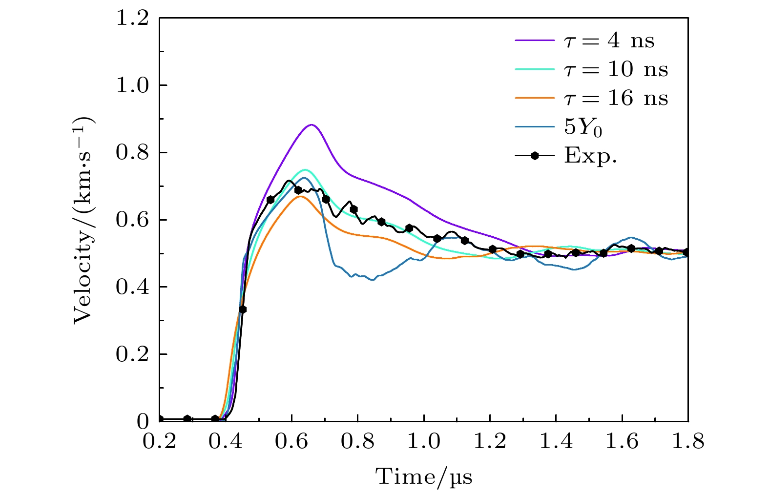
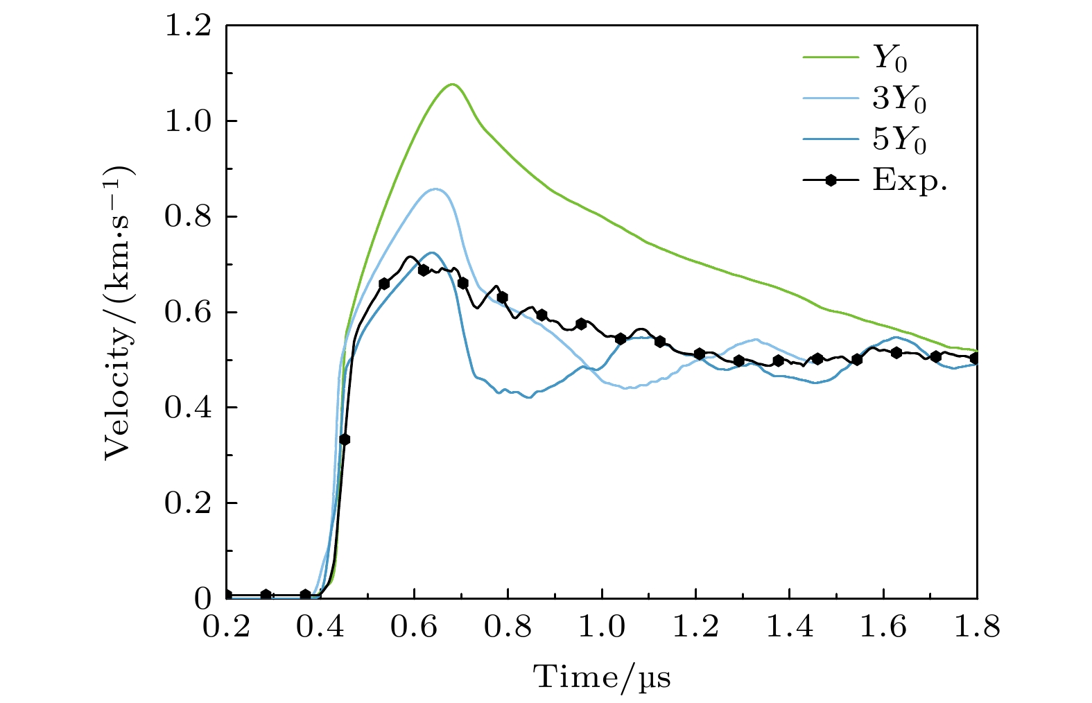
The strain rate effect on strength is a key issue in the study of dynamic constitutive models, and the Richtmyer-Meshkov instability experiment on the free surface of metal reflects the strength behavior under extremely high strain rates. After the shock wave propagates to the free surface and undergoes unloading, the metal enters a near-ambient pressure state and its strain rate exceeds 106 s–1. The initial sinusoidal perturbation exhibits the phase inversion trend of forming spike and bubble structure, while the development of the perturbation gradually stabilizes under the suppression effect of material strength. In the initial research, equivalent strength of metal under high strain rate is usually estimated by total spike growth for perturbation evolutions. Subsequent studies show that the maximum value of the spike velocity which can be directly measured can be the metric to determine equivalent strength. However, the influence of the non-uniformity of strength on the development of spike velocity has not been investigated. Tin is a critical material in the study of dynamic mechanical behavior under extreme conditions. Currently, the experiments of dynamic strength on tin usually combine various effects such as strain rate, pressure, and phase transitions. So far, no research has been found on the Richtmyer-Meshkov (RM) instability experiment, which is a method to separate high strain rate effect on tin free surface. The characteristics of tin dynamic strength behavior under extremely high strain rates are still unclear. This study conducts numerical simulations on the Richtmyer-Meshkov instability experiment of a tin sample with a pre-imposed sinusoidal perturbation with an amplitude 0.15 mm and a wavelength 0.8 mm under a shock pressure of 5.5 GPa. Using our developed two-dimensional explicit finite element program for elastoplastic hydrodynamics, the simulation results of three constitutive models, including elastic-perfectly plastic model, Steinberg-Cochran-Guinan model, and stress relaxation model, on the spike velocity curves are compared with the measurements. The equivalent strength of tin can be evaluated by obtaining a consistent maximum spike velocity of free surface perturbation between the calculation with elastic-perfectly plastic model and measurements. It is found that the strength increases by about 64 times at a strain rate of ~106 s–1 compared with that at a quasi-static strain rate of ~10–4 s–1, indicating that the strain rate hardening is extraordinarily significant. By adjusting model parameters, both the elastic-perfectly plastic model and Steinberg-Cochran-Guinan model can capture the maximum spike velocity but fail to reproduce the unloading process observed in experiment. Compared with the experimental results, the calculated spike velocity decreases too rapidly. In contrast, stress relaxation model due to considering strain rate effects achieves excellent agreement with the entire experimental spike velocity evolution, not only capturing the peak velocity but also solving the problem of overly rapid velocity decay. This demonstrates that the strain rate effect on material strength not only suppresses the maximum spike velocity but also affects the deceleration stage, revealing that the influence of strain rate effect persists throughout different stages of perturbation development. This study indicates that the experiment data available for dynamic constitutive model research extend from a single peak velocity value to the complete velocity evolution. The utilization efficiency of experimental data is greatly improved, providing important values for studying the dynamic constitutive models under extremely high strain rates.
[1] Richtmyer R D 1960 Commun. Pure Appl. Math. 13 297
Google Scholar
[2] Meshkov E E 1969 Sov. Fluid Dyn. 4 101
Google Scholar
[3] Zhou Y 2017 Phys. Rep. 720 1
Google Scholar
[4] Zhou Y, Williams R J R, Ramaprabhu P, Groom M, Thornber B, Hillier A, Mostert W, Rollin B, Balachandar S, Powell P D, Mahalov A, Attal N 2021 Physica D 423 132838
Google Scholar
[5] Plohr J N, Plohr B J 2005 J. Fluid Mech. 537 55
Google Scholar
[6] Mikaelian K O 2013 Phys. Rev. E 87 031003
Google Scholar
[7] Piriz A R, López Cela J J, Tahir N A, Hoffmann D H H 2008 Phys. Rev. E 78 056401
Google Scholar
[8] Piriz A R, López Cela J J, Tahir N A 2009 Nucl. Instrum. Methods Phys. Res. 606 139
Google Scholar
[9] Dimonte G, Terrones G, Cherne F J, Germann T C, Dupont V, Kadau K, Buttler W T, Oró D M, Morris C, Preston D L 2011 Phys. Rev. Lett. 107 264502
Google Scholar
[10] Buttler W T, Oró D M, Preston D L, Mikaelian K O, Cherne F J, Hixson R S, Mariam F G, Morris C, Stone J B, Terrones G, Tupa D 2012 J. Fluid Mech. 703 60
Google Scholar
[11] Prime M B, Buttler W T, Buechler M A, Denissen N A, Kenamond M A, Mariam F G, Martinez J I, Oró D M, Schmidt D W, Stone J B, Tupa D, Vogan-McNeil W 2017 J. Dyn. Behav. Mater. 3 189
Google Scholar
[12] Prime M B, Buttler W T, Fensin S J, Jones D R, Brown J L, King R S, Manzanares R, Martinez D T, Martinez J I, Payton J R, Schmidt Q W 2019 Phys. Rev. E 100 053002
Google Scholar
[13] Lear C R, Chancey M R, Flanagan R, Gigax J G, Hoang M T, Jones D R, Kim H, Martinez D T, Morrow B W, Mathew N, Wang Y, Li N, Payton J R, Prime M B, Fensin S J 2023 Acta Mater. 254 118987
Google Scholar
[14] Whiteman G, Adams B, Thorington-Jones B, Turner J G 2023 AIP Conf. Proc. 2844 370007
Google Scholar
[15] Prime M B, Fensin S J, Jones D R, Dyer J W, Martinez D T 2024 Phys. Rev. E 109 015002
Google Scholar
[16] Soares G C, Hokka M 2021 Int. J. Impact Eng. 156 103940
Google Scholar
[17] Schill W, Austin R, Brown J, Barton N 2021 J. Dyn. Behav. Mater. 7 207
Google Scholar
[18] Steinberg D J, Cochran S G, Guinan M W 1980 J. Appl. Phys. 51 1498
Google Scholar
[19] 殷建伟 2018 博士学位论文(北京: 北京理工大学)
Yin J W 2018 Ph. D. Dissertation (Beijing: Beijing Institute of Technology
[20] Cox G A 2006 AIP Conference Proceedingings American Institute of Physics 845 208
Google Scholar
[21] Briggs R, Daisenberger D, Lord O T, Salamat A, Bailey E, Walter M J, McMillan P F 2017 Phys. Rev. B 95 054102
Google Scholar
[22] Steinberg D J 1996 Lawrence Livermore National Laboratory UCRL-MA-106439
[23] Wang X, Hu X M, Wang S T, Pan H, Yin J W 2021 Sci. Rep. 11 18049
Google Scholar
[24] Wang X, Hu X M, Wang S T, Pan H, Yin J W 2023 Sci. Rep. 13 2686
Google Scholar
[25] 谭华 2018 实验冲击波物理(北京: 国防工业出版社) 第9页
Tan H 2018 Experimental Shock Wave Physics (Beijing: National Defense Industry Press) p9
[26] Weng J D, Tan H, Wang X, Ma Y, Hu S L, Wang X S 2006 Appl. Phys. Lett. 89 11
Google Scholar
[27] Vogler T J 2009 J. Appl. Phys. 106 5
Google Scholar
-
-
[1] Richtmyer R D 1960 Commun. Pure Appl. Math. 13 297
Google Scholar
[2] Meshkov E E 1969 Sov. Fluid Dyn. 4 101
Google Scholar
[3] Zhou Y 2017 Phys. Rep. 720 1
Google Scholar
[4] Zhou Y, Williams R J R, Ramaprabhu P, Groom M, Thornber B, Hillier A, Mostert W, Rollin B, Balachandar S, Powell P D, Mahalov A, Attal N 2021 Physica D 423 132838
Google Scholar
[5] Plohr J N, Plohr B J 2005 J. Fluid Mech. 537 55
Google Scholar
[6] Mikaelian K O 2013 Phys. Rev. E 87 031003
Google Scholar
[7] Piriz A R, López Cela J J, Tahir N A, Hoffmann D H H 2008 Phys. Rev. E 78 056401
Google Scholar
[8] Piriz A R, López Cela J J, Tahir N A 2009 Nucl. Instrum. Methods Phys. Res. 606 139
Google Scholar
[9] Dimonte G, Terrones G, Cherne F J, Germann T C, Dupont V, Kadau K, Buttler W T, Oró D M, Morris C, Preston D L 2011 Phys. Rev. Lett. 107 264502
Google Scholar
[10] Buttler W T, Oró D M, Preston D L, Mikaelian K O, Cherne F J, Hixson R S, Mariam F G, Morris C, Stone J B, Terrones G, Tupa D 2012 J. Fluid Mech. 703 60
Google Scholar
[11] Prime M B, Buttler W T, Buechler M A, Denissen N A, Kenamond M A, Mariam F G, Martinez J I, Oró D M, Schmidt D W, Stone J B, Tupa D, Vogan-McNeil W 2017 J. Dyn. Behav. Mater. 3 189
Google Scholar
[12] Prime M B, Buttler W T, Fensin S J, Jones D R, Brown J L, King R S, Manzanares R, Martinez D T, Martinez J I, Payton J R, Schmidt Q W 2019 Phys. Rev. E 100 053002
Google Scholar
[13] Lear C R, Chancey M R, Flanagan R, Gigax J G, Hoang M T, Jones D R, Kim H, Martinez D T, Morrow B W, Mathew N, Wang Y, Li N, Payton J R, Prime M B, Fensin S J 2023 Acta Mater. 254 118987
Google Scholar
[14] Whiteman G, Adams B, Thorington-Jones B, Turner J G 2023 AIP Conf. Proc. 2844 370007
Google Scholar
[15] Prime M B, Fensin S J, Jones D R, Dyer J W, Martinez D T 2024 Phys. Rev. E 109 015002
Google Scholar
[16] Soares G C, Hokka M 2021 Int. J. Impact Eng. 156 103940
Google Scholar
[17] Schill W, Austin R, Brown J, Barton N 2021 J. Dyn. Behav. Mater. 7 207
Google Scholar
[18] Steinberg D J, Cochran S G, Guinan M W 1980 J. Appl. Phys. 51 1498
Google Scholar
[19] 殷建伟 2018 博士学位论文(北京: 北京理工大学)
Yin J W 2018 Ph. D. Dissertation (Beijing: Beijing Institute of Technology
[20] Cox G A 2006 AIP Conference Proceedingings American Institute of Physics 845 208
Google Scholar
[21] Briggs R, Daisenberger D, Lord O T, Salamat A, Bailey E, Walter M J, McMillan P F 2017 Phys. Rev. B 95 054102
Google Scholar
[22] Steinberg D J 1996 Lawrence Livermore National Laboratory UCRL-MA-106439
[23] Wang X, Hu X M, Wang S T, Pan H, Yin J W 2021 Sci. Rep. 11 18049
Google Scholar
[24] Wang X, Hu X M, Wang S T, Pan H, Yin J W 2023 Sci. Rep. 13 2686
Google Scholar
[25] 谭华 2018 实验冲击波物理(北京: 国防工业出版社) 第9页
Tan H 2018 Experimental Shock Wave Physics (Beijing: National Defense Industry Press) p9
[26] Weng J D, Tan H, Wang X, Ma Y, Hu S L, Wang X S 2006 Appl. Phys. Lett. 89 11
Google Scholar
[27] Vogler T J 2009 J. Appl. Phys. 106 5
Google Scholar
Catalog
Metrics
- Abstract views: 1058
- PDF Downloads: 26
- Cited By: 0









DownLoad: