-
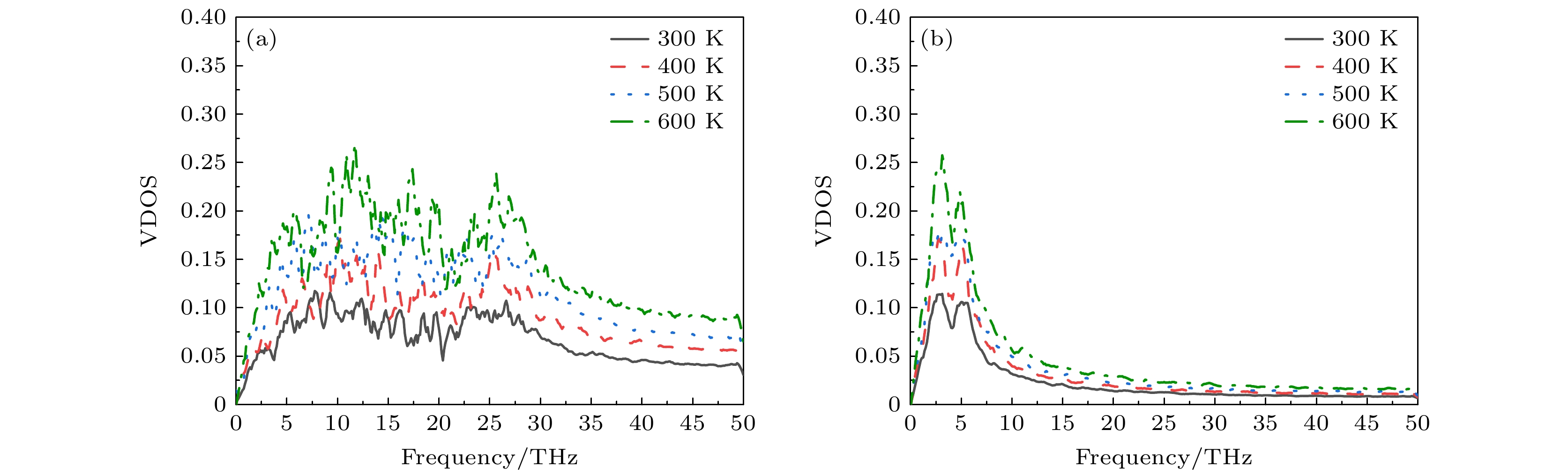
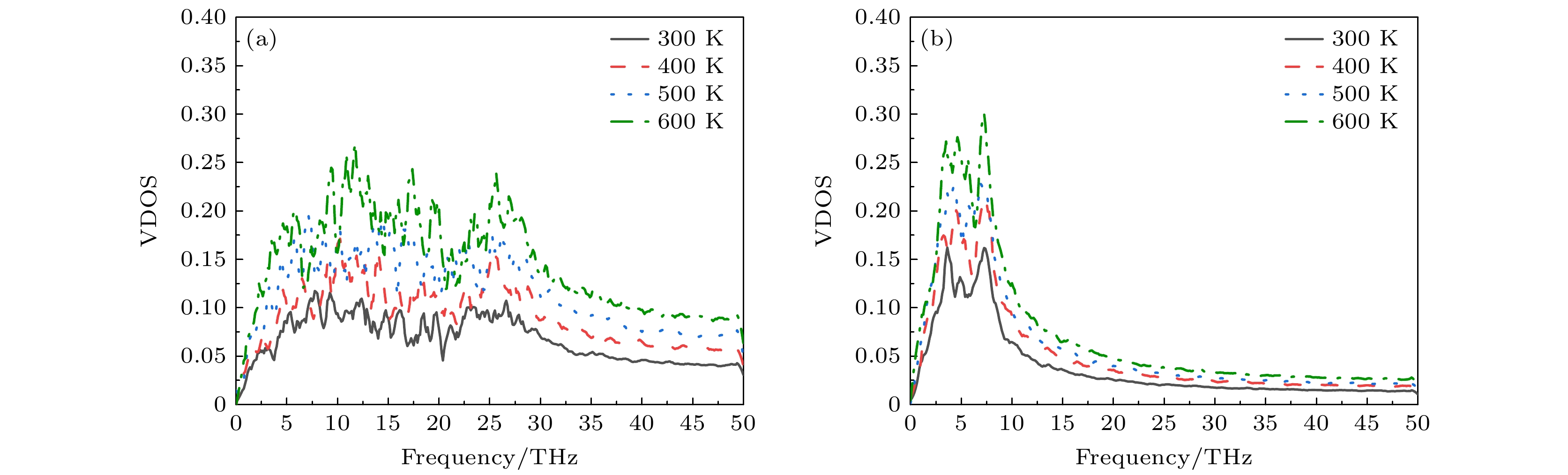
Plasmonic solar water splitting is produced on the composite electrode with plasmonic metal nanoparticles loaded on semiconductor, where the localized heating generated by relaxation of the metal’s localized surface plasmon resonance (LSPR) under light excitation enhances hydrogen production efficiency. To optimize composite photoanodes for photoelectrochemical water splitting system, the non-equilibrium molecular dynamics simulations are conducted to obtain the interfacial thermal conductivity between plasmonic metals (Cu, Ag, Au) and semiconductors (TiO2, ZnO, MoS2) at varying temperatures. The relationship between interfacial thermal conductivity and phonons at different frequencies is investigated via vibrational density of states which is calculated from the velocity autocorrelation functions and subsequent phonon participation ratio. The results indicate that as he temperature increases, the interfacial thermal conductivity of all composite electrode configurations is enhanced. When Cu and Ag are combined with TiO2 into Cu-TiO2 and Ag-TiO2, respectively, the thermal transport performances of Cu-TiO2 and Ag-TiO2 are superior to Au-TiO2, and the interfacial thermal conductivity of Cu-TiO2 reaches 973.56 MW·m–2·K–1 at 800 K. With Au as the fixed plasmonic component, Au-ZnO shows that its interfacial thermal conductivity reaches 324.44 MW·m–2·K–1 at 800 K, which is higher than those of Au-MoS2 and Au-TiO2. Based on the obtained interfacial thermal conductivity of different composite photoanodes, it is predicted that Cu-ZnO is the optimal composite, but its interfacial thermal conductivity is 547.69 MW·m–2·K–1 at 800 K, second only to Cu-TiO2. The analysis of vibrational density of states and phonon participation ratio shows that the low-frequency region (0—10 THz) is the main region for thermal transport, and both interfaces exhibit a high phonon participation ratio range of 0.7—0.8. However, the Cu-TiO2 possesses much higher vibrational density of states than Cu-ZnO within this critical band. Although Cu-ZnO exhibits a higher phonon participation ratio range in the high-frequency range, its lower overall interfacial thermal conductivity is attributed to the minimal contribution of high-frequency phonons to interfacial thermal conductance. The findings provide optimization strategies based on interfacial thermal transport mechanisms for constructing efficient photoanodes for solar water splitting.
-
Keywords:
- phonon thermal transport /
- molecular dynamics /
- plasmonic metals /
- composite photoelectrodes
[1] Cavigli L, Milanesi A, Khlebtsov B N, Centi S, Ratto F, Khlebtsov N G, Pini R 2020 J. Colloid Interface Sci. 578 358
Google Scholar
[2] Czelej K, Colmenares J C, Jabłczyńska K, Ćwieka K, Werner Ł, Gradoń L 2021 Catal. Today 380 156
Google Scholar
[3] Ghosh U, Pal A, Pal T 2022 Adv. Mater. Interfaces 9 2200465
Google Scholar
[4] Lou Y B, Zhang Y K, Cheng L, Chen J X, Zhao Y X 2018 ChemSusChem 11 1505
Google Scholar
[5] Liu L D, Zhang H F, Xing S, Zhang Y, Li S G, Wei C, Peng F, Liu X Y 2023 Adv. Sci. 10 2207342
Google Scholar
[6] Sang L X, Wang C, Zhao Y, Ren Z Y 2023 J. Phys. Chem. C 127 14666
Google Scholar
[7] Zhao W R, Ai Z Y, Dai J S, Zhang M 2014 PLoS ONE 9 e103671
Google Scholar
[8] Zhai H S, Liu X L, Wang Z Y, Liu Y Y, Zheng Z K, Qin X Y, Zhang X Y, Wang P, Huang B B 2020 Chin. J. Catal. 41 1613
Google Scholar
[9] Li Y Y, Wu S, Zheng J W, Peng Y K, Prabhakaran D, Taylor R A, Tsang S C E 2020 Mater. Today 41 34
Google Scholar
[10] 桑丽霞, 马梦楠 2023 高等学校化学学报 44 20220768
Google Scholar
Sang L X, Ma M N 2023 Chem. J. Chin. Uiv. 44 20220768
Google Scholar
[11] 桑丽霞, 李志康 2024 物理学报 73 103105
Google Scholar
Sang L X, Li Z K 2024 Acta Phys. Sin. 73 103105
Google Scholar
[12] Swartz E T, Pohl R O 1989 Rev. Mod. Phys. 61 605
Google Scholar
[13] Kunthakudee N, Puangpetch T, Ramakul P, Serivalsatit K, Hunsom M 2022 Int. J. Hydrogen Energy 47 23570
Google Scholar
[14] Meng H, Maruyama S G, Xiang R, Yang N 2021 Int. J. Heat Mass Transfer 180 121773
Google Scholar
[15] Lu Z X, Wang Y, Ruan X L 2016 Phys. Rev. B 93 064302
Google Scholar
[16] Majumdar A, Reddy P 2004 Appl. Phys. Lett. 84 4768
Google Scholar
[17] 宗志成, 潘东楷, 邓世琛, 万骁, 杨哩娜, 马登科, 杨诺 2023 物理学报 72 034401
Google Scholar
Zong Z C, Pan D K, Deng S C, Wan X, Yang L N, Ma D K, Yang N 2023 Acta Phys. Sin. 72 034401
Google Scholar
[18] Giri A, Gaskins J T, Donovan B F, Szwejkowski C, Warzoha R J, Rodriguez M A, Ihlefeld J, Hopkins P E 2015 J. Appl. Phys. 117 105105
Google Scholar
[19] Giri A, Hopkins P E 2020 Adv. Funct. Mater. 30 1903857
Google Scholar
[20] Wu X, Han Q 2021 ACS Appl. Mater. Interfaces 13 32564
Google Scholar
[21] Loh G C, Teo E H T, Tay B K 2012 Diamond Relat. Mater. 23 88
Google Scholar
[22] Robert S, Leonid Z, Pamela N 2007 Int. J. Heat Mass Transfer 50 3977
Google Scholar
[23] Samy M, Konstantinos T 2012 Phys. Rev. B 86 094303
Google Scholar
[24] Tang Z Y, Wang X X, He C Y, Li J, Chen M X, Tang C, Ouyang T 2024 Phys. Rev. B 110 134320
Google Scholar
[25] Li Z D, Han L W, Ouyang T, Cao J X, Yao Y S, Wei X L 2025 Phys. Rev. Mater. 9 033804
Google Scholar
[26] Liu Y, Wu W H, Yang S X, Yang P 2022 Surf. Interfaces 28 101640
Google Scholar
[27] Wang W D, Pi Z L, Lei F, Lu Y 2016 AIP Adv. 6 035111
Google Scholar
[28] Plimpton S 1995 J. Comput. Phys. 117 1
Google Scholar
[29] Zong Z C, Deng S C, Qin Y J, Wan X, Zhan J H, Ma D K, Yang N 2023 Nanoscale 15 16472
Google Scholar
[30] Lin G, Jiang L, Ji P F 2023 Phys. Chem. Chem. Phys. 25 19853
Google Scholar
[31] Liu X J, Zhang G, Zhang Y W 2016 Nano Res. 9 2372
Google Scholar
[32] Namsani S, Singh J K 2018 J. Phys. Chem. C 122 2113
Google Scholar
[33] Pei Q X, Guo J Y, Suwardi A, Zhang G 2023 J. Phys. Chem. C 127 19796
Google Scholar
[34] Sheng Y F, Hu Y, Fan Z Y, Bao H 2022 Phys. Rev. B 105 075301
Google Scholar
[35] 刘东静, 王韶铭, 杨平 2021 物理学报 70 187302
Google Scholar
Liu D J, Wang S M, Yang P 2021 Acta Phys. Sin. 70 187302
Google Scholar
[36] Lu C C, Li Z H, Li S C, Li Z, Zhang Y Y, Zhao J H, Wei N 2023 Carbon 213 118250
Google Scholar
[37] Zhou H B, Zhang G 2018 Chin. Phys. B 27 034401
Google Scholar
-
-
[1] Cavigli L, Milanesi A, Khlebtsov B N, Centi S, Ratto F, Khlebtsov N G, Pini R 2020 J. Colloid Interface Sci. 578 358
Google Scholar
[2] Czelej K, Colmenares J C, Jabłczyńska K, Ćwieka K, Werner Ł, Gradoń L 2021 Catal. Today 380 156
Google Scholar
[3] Ghosh U, Pal A, Pal T 2022 Adv. Mater. Interfaces 9 2200465
Google Scholar
[4] Lou Y B, Zhang Y K, Cheng L, Chen J X, Zhao Y X 2018 ChemSusChem 11 1505
Google Scholar
[5] Liu L D, Zhang H F, Xing S, Zhang Y, Li S G, Wei C, Peng F, Liu X Y 2023 Adv. Sci. 10 2207342
Google Scholar
[6] Sang L X, Wang C, Zhao Y, Ren Z Y 2023 J. Phys. Chem. C 127 14666
Google Scholar
[7] Zhao W R, Ai Z Y, Dai J S, Zhang M 2014 PLoS ONE 9 e103671
Google Scholar
[8] Zhai H S, Liu X L, Wang Z Y, Liu Y Y, Zheng Z K, Qin X Y, Zhang X Y, Wang P, Huang B B 2020 Chin. J. Catal. 41 1613
Google Scholar
[9] Li Y Y, Wu S, Zheng J W, Peng Y K, Prabhakaran D, Taylor R A, Tsang S C E 2020 Mater. Today 41 34
Google Scholar
[10] 桑丽霞, 马梦楠 2023 高等学校化学学报 44 20220768
Google Scholar
Sang L X, Ma M N 2023 Chem. J. Chin. Uiv. 44 20220768
Google Scholar
[11] 桑丽霞, 李志康 2024 物理学报 73 103105
Google Scholar
Sang L X, Li Z K 2024 Acta Phys. Sin. 73 103105
Google Scholar
[12] Swartz E T, Pohl R O 1989 Rev. Mod. Phys. 61 605
Google Scholar
[13] Kunthakudee N, Puangpetch T, Ramakul P, Serivalsatit K, Hunsom M 2022 Int. J. Hydrogen Energy 47 23570
Google Scholar
[14] Meng H, Maruyama S G, Xiang R, Yang N 2021 Int. J. Heat Mass Transfer 180 121773
Google Scholar
[15] Lu Z X, Wang Y, Ruan X L 2016 Phys. Rev. B 93 064302
Google Scholar
[16] Majumdar A, Reddy P 2004 Appl. Phys. Lett. 84 4768
Google Scholar
[17] 宗志成, 潘东楷, 邓世琛, 万骁, 杨哩娜, 马登科, 杨诺 2023 物理学报 72 034401
Google Scholar
Zong Z C, Pan D K, Deng S C, Wan X, Yang L N, Ma D K, Yang N 2023 Acta Phys. Sin. 72 034401
Google Scholar
[18] Giri A, Gaskins J T, Donovan B F, Szwejkowski C, Warzoha R J, Rodriguez M A, Ihlefeld J, Hopkins P E 2015 J. Appl. Phys. 117 105105
Google Scholar
[19] Giri A, Hopkins P E 2020 Adv. Funct. Mater. 30 1903857
Google Scholar
[20] Wu X, Han Q 2021 ACS Appl. Mater. Interfaces 13 32564
Google Scholar
[21] Loh G C, Teo E H T, Tay B K 2012 Diamond Relat. Mater. 23 88
Google Scholar
[22] Robert S, Leonid Z, Pamela N 2007 Int. J. Heat Mass Transfer 50 3977
Google Scholar
[23] Samy M, Konstantinos T 2012 Phys. Rev. B 86 094303
Google Scholar
[24] Tang Z Y, Wang X X, He C Y, Li J, Chen M X, Tang C, Ouyang T 2024 Phys. Rev. B 110 134320
Google Scholar
[25] Li Z D, Han L W, Ouyang T, Cao J X, Yao Y S, Wei X L 2025 Phys. Rev. Mater. 9 033804
Google Scholar
[26] Liu Y, Wu W H, Yang S X, Yang P 2022 Surf. Interfaces 28 101640
Google Scholar
[27] Wang W D, Pi Z L, Lei F, Lu Y 2016 AIP Adv. 6 035111
Google Scholar
[28] Plimpton S 1995 J. Comput. Phys. 117 1
Google Scholar
[29] Zong Z C, Deng S C, Qin Y J, Wan X, Zhan J H, Ma D K, Yang N 2023 Nanoscale 15 16472
Google Scholar
[30] Lin G, Jiang L, Ji P F 2023 Phys. Chem. Chem. Phys. 25 19853
Google Scholar
[31] Liu X J, Zhang G, Zhang Y W 2016 Nano Res. 9 2372
Google Scholar
[32] Namsani S, Singh J K 2018 J. Phys. Chem. C 122 2113
Google Scholar
[33] Pei Q X, Guo J Y, Suwardi A, Zhang G 2023 J. Phys. Chem. C 127 19796
Google Scholar
[34] Sheng Y F, Hu Y, Fan Z Y, Bao H 2022 Phys. Rev. B 105 075301
Google Scholar
[35] 刘东静, 王韶铭, 杨平 2021 物理学报 70 187302
Google Scholar
Liu D J, Wang S M, Yang P 2021 Acta Phys. Sin. 70 187302
Google Scholar
[36] Lu C C, Li Z H, Li S C, Li Z, Zhang Y Y, Zhao J H, Wei N 2023 Carbon 213 118250
Google Scholar
[37] Zhou H B, Zhang G 2018 Chin. Phys. B 27 034401
Google Scholar
Catalog
Metrics
- Abstract views: 1079
- PDF Downloads: 27
- Cited By: 0









DownLoad: