-
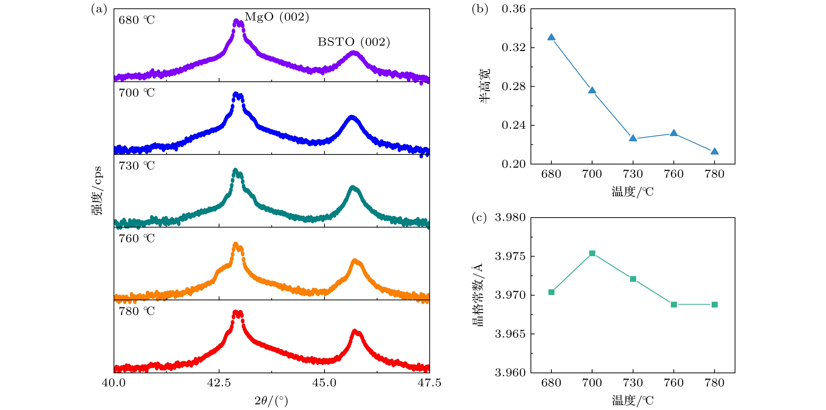
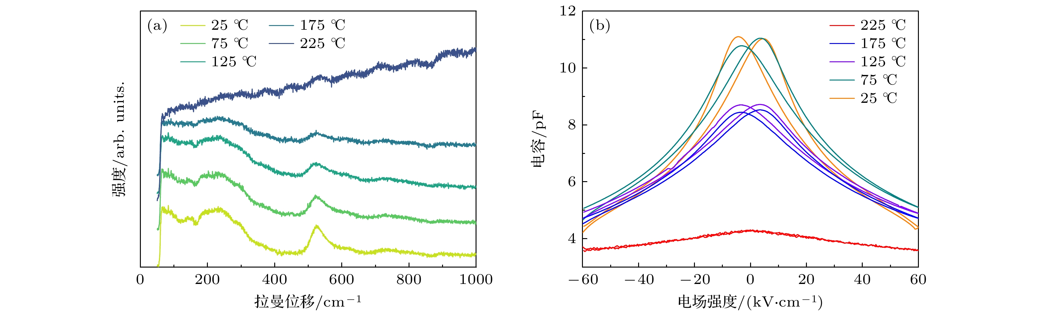
Microwave tunable devices are critical components in phased array antennas and RF front-ends, and essential for the precise controling of frequency, phase and amplitude. Although bulk dielectric ceramic materials are widely used in these devices, they pose challenges for integration. In contrast, dielectric thin films offer significant advantages, including easy integration, low cost, high tuning speed, low power consumption, compact size, and continuous tunability, making them more compatible with modern integrated circuit fabrication processes. Currently, a key prerequisite for designing devices based on dielectric thin films is the use of low-permittivity, low-loss substrates to mitigate their influence on the overall dielectric performance, while enhancing the crystalline quality of the films themselves. However, suitable substrates for epitaxial growth, such as MgO and Si, exhibit a significant lattice mismatch (>5%) with dielectric thin films. This poses a substantial challenge to achieving high-quality epitaxial growth, making it difficult to obtain dielectric thin films with both high tunability and low loss. To address this challenge, pulsed laser deposition (PLD) is used to provide high-energy, non-equilibrium growth conditions. By precisely controlling parameters such as substrate temperature and growth oxygen pressure, a suitable growth window that induce domain matching epitaxy (DME) mechanism can be determined, effectively adapting to mismatched strain, and thus successfully preparing high-performance Ba0.6Sr0.4TiO3 (BSTO) epitaxial thin films on MgO(001) substrates. To investigate the effect of substrate temperature on the properties of the BSTO thin films, a series of films is prepared on MgO(001) substrates at temperatures of 680 ℃, 700 ℃, 730 ℃, 760 ℃ and 780 ℃, while other growth conditions are kept constant. The study reveals that as the substrate temperature increases, the crystallinity, tunability, and figure of merit (FOM) of the films are significantly improved. The film grown at 780 ℃ shows a high tunability value of 67.2%, a quality (Q) factor of 49, and an FOM of 32.93. Compared with previously reported films, the Ba0.6Sr0.4TiO3 thin films prepared in this work demonstrate superior dielectric tunability and lower dielectric loss. To explore the thermal stability of the Ba0.6Sr0.4TiO3 thin film, its performance is characterized using Raman spectroscopy and Capacitance-Voltage measurements in a temperature range from 25 ℃ to 225 ℃. Raman spectra indicate that the lattice vibrational modes of the Ba0.6Sr0.4TiO3 film change with the increase of temperature. When temperature is in a range between 175 ℃ and 225 ℃, the film will completely transform from the tetragonal phase to the Raman-inactive cubic phase. At the same time, the nonlinear “butterfly” characteristic of the C-V curves vanishes due to the disappearance of ferroelectric domains. The dielectric constant and tunability reach their maximum values at approximately 60 ℃, then decrease, whereas the Q-factor reaches its peak at around 205 ℃. The motion of domain walls in films is constrained not only by internal stress fields and defects but also by strong pinning effects at the film-substrate interface and the free surface of the film. This research systematically analyzes the influences of surface morphology, crystal structure, and temperature on the dielectric properties of Ba0.6Sr0.4TiO3 epitaxial thin films. It lays a foundation for elucidating the broadband structure-property relationships of Ba1–xSrxTiO3 thin films and highlights their significant potential applications in tunable microwave devices. -
Keywords:
- ferroelectric materials /
- strontium barium titanate /
- growth regulation /
- dielectric properties
[1] Emadi F, Nemati A, Hinterstein M, Adabiroozjaei E 2019 Ceram. Int. 45 5503
Google Scholar
[2] Borderon C, Ginestar S, Gundel H W, Haskou A, Nadaud K, Renoud R, Sharaiha A 2020 IEEE Trans. Ultrason. Ferroelectr. Freq. Control. 67 1733
Google Scholar
[3] 马华, 娄菁, 王军, 董博文, 冯明德, 李智强, 屈绍波 2019 空军工程大学学报 20 53
Google Scholar
Ma H, Lou J, Wang J, Dong B W, Feng M D, Li Z Q, Qu S B 2019 J. Air Force Eng. Univ. 20 53
Google Scholar
[4] Johnson K M 1962 J. Appl. Phys. 33 2826
Google Scholar
[5] Dong H T, Jian J, Li H F, Jin D R, Chen J G, Cheng J R 2017 J. Alloys Compd. 725 54
Google Scholar
[6] Bayrak T, Ozgit-Akgun C, Goldenberg E 2017 J. Non-Cryst. Solids 475 76
Google Scholar
[7] Subramanyam G, Cole M W, Sun N X, Kalkur T S, Sbrockey N M, Tompa G S, Guo X M, Chen C L, Alpay S P, Rossetti G A Jr, Dayal K, Chen L Q, Schlom D G 2013 J. Appl. Phys. 114 191301
Google Scholar
[8] Liu H G, Avrutin V, Zhu C Y, Özgür Ü, Yang J, Lu C Z, Morkoç H 2013 J. Appl. Phys. 113 044108
Google Scholar
[9] Luo W, Chen X Y, Fan J W, Hu Y X, Zheng Z P, Fu Q W 2016 Ceram. Int. 42 17229
Google Scholar
[10] Jiao T J, You C, Tian N, Ma L, Duan Z F, Yan F X, Ren P R, Zhao G Y 2022 Appl. Surf. Sci. 590 153112
Google Scholar
[11] Wang J, Zhang T J, Xia H Y, Xiang J H, Li W K, Duo S W 2008 J. Sol-Gel Sci. Technol. 47 102
Google Scholar
[12] Wander A, Bush I J, Harrison N M 2003 Phys. Rev. B 68 233405
Google Scholar
[13] Misirlioglu I B, Alpay S P, He F, Wells B O 2006 J. Appl. Phys. 99 104103
Google Scholar
[14] Peng L S J, Xi X X, Moeckly B H, Alpay S P 2003 Appl. Phys. Lett. 83 4592
Google Scholar
[15] Tagantsev A K, Sherman V O, Astafev K F, Venkatesh J, Setter N 2003 J. Electroceram. 11 5
Google Scholar
[16] Acikel B 2002 Ph. D. Dissertation (Santa Barbara: University of California
[17] Su H T, Lancaster M J, Huang F, Wellhofer F 2000 Microwave Opt. Technol. Lett. 24 155
Google Scholar
[18] Gao L B, Guan Z P, Huang S X, Liang K X, Chen H W, Zhang J H 2019 J. Mater. Sci. : Mater. Electron. 30 12821
Google Scholar
[19] Schultheiß J, Kungl H, Koruza J 2019 J. Appl. Phys. 125 174101
Google Scholar
[20] Damjanovic D 1998 Rep. Prog. Phys. 61 1267
Google Scholar
[21] 熊沛雨, 倪壮, 林泽丰, 柏欣博, 刘天想, 张翔宇, 袁洁, 王旭, 石兢, 金魁 2023 物理学报 72 097701
Google Scholar
Xiong P Y, Ni Z, Lin Z F, Bai X B, Liu T X, Zhang X Y, Yuan J, Wang X, Shi J, Jin K 2023 Acta Phys. Sin. 72 097701
Google Scholar
[22] 沈德坤, 杨淄涵, 郭沛源, 赵梦玲, 葛健, 邓功勋, 王爱记 2024 硅酸盐学报 52 229
Google Scholar
Shen D K, Yang Z H, Guo P Y, Zhao M L, Ge J, Deng G X, Wang A J 2024 J. Chin. Ceram. Soc. 52 229
Google Scholar
[23] Kim H S, Kim H G, Kim I D, Kim K B, Lee J C 2005 Appl. Phys. Lett. 87 212903
Google Scholar
[24] Zhang J J, Zhai J W, Chou X J, Shao J, Lu X, Yao X 2009 Acta Mater. 57 4491
Google Scholar
[25] Chung U, Elissalde C, Maglione M, Estournès C, Pate M, Ganne J P 2008 Appl. Phys. Lett. 92 042902
Google Scholar
[26] Zhu X H, Zheng D N, Peng W, Li J, Chen Y F 2006 Mater. Lett. 60 1224
Google Scholar
[27] Gou X L, Gervais M, Gervais F, Catherinot A, Champeaux C, Sabary F 2002 Mater. Sci. Semicond. Process. 5 189
Google Scholar
[28] Wang S X, Hao J H, Wu Z P, Wang D Y, Zhuo Y, Zhao X Z 2007 Appl. Phys. Lett. 91 252908
Google Scholar
[29] Zhi Y N, Liu D A, Qu W J, Luan Z, Liu L R 2007 Appl. Phys. Lett. 90 042904
Google Scholar
[30] Feng Z Y, Chen W, Tan O K 2009 Mater. Res. Bull. 44 1709
Google Scholar
[31] Qin W F, Zhu J, Xiong J, Tang J L, Feng X 2007 J. Electron. Sci. Technol. China 5 303
[32] 秦杨晓, 李卓, 梁文学, 刘娜, 赵鹏 2018 压电与声光 40 95
Google Scholar
Qin Y X, Li Z, Liang W X, Liu N, Zhao P 2018 Piezoelectr. Acoustoopt. 40 95
Google Scholar
[33] Xu Q, Zhang X F, Huang Y H, Chen W, Liu H X, Chen M, Kim B H 2009 J. Alloys Compd. 488 448
Google Scholar
[34] 戚炜恒, 王震, 李翔飞, 禹日成, 王焕华 2022 物理学报 71 178103
Google Scholar
Qi W H, Wang Z, Li X F, Yu R C, Wang H H 2022 Acta Phys. Sin. 71 178103
Google Scholar
[35] 张奇伟, 翟继卫, 岳振星 2013 物理学报 62 237702
Google Scholar
Zhang Q W, Zhai J W, Yue Z X 2013 Acta Phys. Sin. 62 237702
Google Scholar
[36] Zhang Q W, Zhai J W, Kong L B, Yao X 2012 J. Appl. Phys. 112 124112
Google Scholar
[37] Verma A, Raghavan S, Stemmer S, Jena D 2015 Appl. Phys. Lett. 107 192908
Google Scholar
[38] 陈渝, 周华将, 谢少雄, 徐倩, 朱建国, 王清远 2021 力学进展 51 755
Google Scholar
Chen Y, Zhou H J, Xie S X, Xu Q, Zhu J G, Wang Q Y 2021 Adv. Mech. 51 755
Google Scholar
[39] Chen J H, Su X, Yuan T, Tang W B, Ding S C, Shi Y, Li F M, Chen K, Yu Y, Zhang H C, Zhu S Y, Yuan G L, Lu J 2025 Adv. Mater. Interfaces 12 2400949
Google Scholar
[40] 唐秋文, 沈明荣, 方亮 2006 物理学报 55 1346
Google Scholar
Tang Q W, Shen M R, Fang L 2006 Acta Phys. Sin. 55 1346
Google Scholar
[41] Zhu X H, Chong N, Chan H L, Choy C, Wong K, Liu Z G, Ming N B 2002 Appl. Phys. Lett. 80 3376
Google Scholar
[42] 吕笑梅, 黄凤珍, 朱劲松 2020 物理学报 69 127704
Google Scholar
Lü X M, Huang F Z, Zhu J S 2020 Acta Phys. Sin. 69 127704
Google Scholar
[43] Alema F, Pokhodnya K 2015 J. Adv. Dielectr. 5 1550030
Google Scholar
[44] Sahoo S K, Misra D, Sahoo M, MacDonald C A, Bakhru H, Agrawal D C, Mohapatra Y N, Majumder S B, Katiyar R S 2011 J. Appl. Phys. 109 064108
Google Scholar
[45] Zhang J R, Chen C, Xiang S Q, Zhang J C, Qi Q, Huang R, Yu Y, Chen K, Han Z D, Yuan G L, Liu J M, Zhu J S 2022 Mater. Res. Express 9 106303
Google Scholar
-
图 1 不同衬底温度下生长的Ba0.6Sr0.4TiO3薄膜的表面形貌及其表面粗糙度 (a) 680 ℃; (b) 700 ℃; (c) 730 ℃; (d) 760 ℃; (e) 780 ℃; (f) 薄膜的均方根表面粗糙度
Figure 1. Surface morphology and surface roughness of Ba0.6Sr0.4TiO3 films grown on wafers of different temperatures: (a) 680 ℃; (b) 700 ℃; (c) 730 ℃; (d) 760 ℃; (e) 780 ℃; (f) RMS of films.
图 8 Ba0.6Sr0.4TiO3薄膜在不同测试温度下的介电性能 (a) 零场下的介电常数; (b) $ 1/\varepsilon{\text{-}}T $曲线与居里-外斯定律理论曲线; (c) 可调率; (d) Q值
Figure 8. Temperature-dependent dielectric properties of Ba0.6Sr0.4TiO3 thin films: (a) Dielectric constant (at 0 kV/cm); (b) $ 1/\varepsilon{\text{-}}T $ and Curie-Weiss law curves; (c) tunability; (d) Q factor.
-
[1] Emadi F, Nemati A, Hinterstein M, Adabiroozjaei E 2019 Ceram. Int. 45 5503
Google Scholar
[2] Borderon C, Ginestar S, Gundel H W, Haskou A, Nadaud K, Renoud R, Sharaiha A 2020 IEEE Trans. Ultrason. Ferroelectr. Freq. Control. 67 1733
Google Scholar
[3] 马华, 娄菁, 王军, 董博文, 冯明德, 李智强, 屈绍波 2019 空军工程大学学报 20 53
Google Scholar
Ma H, Lou J, Wang J, Dong B W, Feng M D, Li Z Q, Qu S B 2019 J. Air Force Eng. Univ. 20 53
Google Scholar
[4] Johnson K M 1962 J. Appl. Phys. 33 2826
Google Scholar
[5] Dong H T, Jian J, Li H F, Jin D R, Chen J G, Cheng J R 2017 J. Alloys Compd. 725 54
Google Scholar
[6] Bayrak T, Ozgit-Akgun C, Goldenberg E 2017 J. Non-Cryst. Solids 475 76
Google Scholar
[7] Subramanyam G, Cole M W, Sun N X, Kalkur T S, Sbrockey N M, Tompa G S, Guo X M, Chen C L, Alpay S P, Rossetti G A Jr, Dayal K, Chen L Q, Schlom D G 2013 J. Appl. Phys. 114 191301
Google Scholar
[8] Liu H G, Avrutin V, Zhu C Y, Özgür Ü, Yang J, Lu C Z, Morkoç H 2013 J. Appl. Phys. 113 044108
Google Scholar
[9] Luo W, Chen X Y, Fan J W, Hu Y X, Zheng Z P, Fu Q W 2016 Ceram. Int. 42 17229
Google Scholar
[10] Jiao T J, You C, Tian N, Ma L, Duan Z F, Yan F X, Ren P R, Zhao G Y 2022 Appl. Surf. Sci. 590 153112
Google Scholar
[11] Wang J, Zhang T J, Xia H Y, Xiang J H, Li W K, Duo S W 2008 J. Sol-Gel Sci. Technol. 47 102
Google Scholar
[12] Wander A, Bush I J, Harrison N M 2003 Phys. Rev. B 68 233405
Google Scholar
[13] Misirlioglu I B, Alpay S P, He F, Wells B O 2006 J. Appl. Phys. 99 104103
Google Scholar
[14] Peng L S J, Xi X X, Moeckly B H, Alpay S P 2003 Appl. Phys. Lett. 83 4592
Google Scholar
[15] Tagantsev A K, Sherman V O, Astafev K F, Venkatesh J, Setter N 2003 J. Electroceram. 11 5
Google Scholar
[16] Acikel B 2002 Ph. D. Dissertation (Santa Barbara: University of California
[17] Su H T, Lancaster M J, Huang F, Wellhofer F 2000 Microwave Opt. Technol. Lett. 24 155
Google Scholar
[18] Gao L B, Guan Z P, Huang S X, Liang K X, Chen H W, Zhang J H 2019 J. Mater. Sci. : Mater. Electron. 30 12821
Google Scholar
[19] Schultheiß J, Kungl H, Koruza J 2019 J. Appl. Phys. 125 174101
Google Scholar
[20] Damjanovic D 1998 Rep. Prog. Phys. 61 1267
Google Scholar
[21] 熊沛雨, 倪壮, 林泽丰, 柏欣博, 刘天想, 张翔宇, 袁洁, 王旭, 石兢, 金魁 2023 物理学报 72 097701
Google Scholar
Xiong P Y, Ni Z, Lin Z F, Bai X B, Liu T X, Zhang X Y, Yuan J, Wang X, Shi J, Jin K 2023 Acta Phys. Sin. 72 097701
Google Scholar
[22] 沈德坤, 杨淄涵, 郭沛源, 赵梦玲, 葛健, 邓功勋, 王爱记 2024 硅酸盐学报 52 229
Google Scholar
Shen D K, Yang Z H, Guo P Y, Zhao M L, Ge J, Deng G X, Wang A J 2024 J. Chin. Ceram. Soc. 52 229
Google Scholar
[23] Kim H S, Kim H G, Kim I D, Kim K B, Lee J C 2005 Appl. Phys. Lett. 87 212903
Google Scholar
[24] Zhang J J, Zhai J W, Chou X J, Shao J, Lu X, Yao X 2009 Acta Mater. 57 4491
Google Scholar
[25] Chung U, Elissalde C, Maglione M, Estournès C, Pate M, Ganne J P 2008 Appl. Phys. Lett. 92 042902
Google Scholar
[26] Zhu X H, Zheng D N, Peng W, Li J, Chen Y F 2006 Mater. Lett. 60 1224
Google Scholar
[27] Gou X L, Gervais M, Gervais F, Catherinot A, Champeaux C, Sabary F 2002 Mater. Sci. Semicond. Process. 5 189
Google Scholar
[28] Wang S X, Hao J H, Wu Z P, Wang D Y, Zhuo Y, Zhao X Z 2007 Appl. Phys. Lett. 91 252908
Google Scholar
[29] Zhi Y N, Liu D A, Qu W J, Luan Z, Liu L R 2007 Appl. Phys. Lett. 90 042904
Google Scholar
[30] Feng Z Y, Chen W, Tan O K 2009 Mater. Res. Bull. 44 1709
Google Scholar
[31] Qin W F, Zhu J, Xiong J, Tang J L, Feng X 2007 J. Electron. Sci. Technol. China 5 303
[32] 秦杨晓, 李卓, 梁文学, 刘娜, 赵鹏 2018 压电与声光 40 95
Google Scholar
Qin Y X, Li Z, Liang W X, Liu N, Zhao P 2018 Piezoelectr. Acoustoopt. 40 95
Google Scholar
[33] Xu Q, Zhang X F, Huang Y H, Chen W, Liu H X, Chen M, Kim B H 2009 J. Alloys Compd. 488 448
Google Scholar
[34] 戚炜恒, 王震, 李翔飞, 禹日成, 王焕华 2022 物理学报 71 178103
Google Scholar
Qi W H, Wang Z, Li X F, Yu R C, Wang H H 2022 Acta Phys. Sin. 71 178103
Google Scholar
[35] 张奇伟, 翟继卫, 岳振星 2013 物理学报 62 237702
Google Scholar
Zhang Q W, Zhai J W, Yue Z X 2013 Acta Phys. Sin. 62 237702
Google Scholar
[36] Zhang Q W, Zhai J W, Kong L B, Yao X 2012 J. Appl. Phys. 112 124112
Google Scholar
[37] Verma A, Raghavan S, Stemmer S, Jena D 2015 Appl. Phys. Lett. 107 192908
Google Scholar
[38] 陈渝, 周华将, 谢少雄, 徐倩, 朱建国, 王清远 2021 力学进展 51 755
Google Scholar
Chen Y, Zhou H J, Xie S X, Xu Q, Zhu J G, Wang Q Y 2021 Adv. Mech. 51 755
Google Scholar
[39] Chen J H, Su X, Yuan T, Tang W B, Ding S C, Shi Y, Li F M, Chen K, Yu Y, Zhang H C, Zhu S Y, Yuan G L, Lu J 2025 Adv. Mater. Interfaces 12 2400949
Google Scholar
[40] 唐秋文, 沈明荣, 方亮 2006 物理学报 55 1346
Google Scholar
Tang Q W, Shen M R, Fang L 2006 Acta Phys. Sin. 55 1346
Google Scholar
[41] Zhu X H, Chong N, Chan H L, Choy C, Wong K, Liu Z G, Ming N B 2002 Appl. Phys. Lett. 80 3376
Google Scholar
[42] 吕笑梅, 黄凤珍, 朱劲松 2020 物理学报 69 127704
Google Scholar
Lü X M, Huang F Z, Zhu J S 2020 Acta Phys. Sin. 69 127704
Google Scholar
[43] Alema F, Pokhodnya K 2015 J. Adv. Dielectr. 5 1550030
Google Scholar
[44] Sahoo S K, Misra D, Sahoo M, MacDonald C A, Bakhru H, Agrawal D C, Mohapatra Y N, Majumder S B, Katiyar R S 2011 J. Appl. Phys. 109 064108
Google Scholar
[45] Zhang J R, Chen C, Xiang S Q, Zhang J C, Qi Q, Huang R, Yu Y, Chen K, Han Z D, Yuan G L, Liu J M, Zhu J S 2022 Mater. Res. Express 9 106303
Google Scholar
Catalog
Metrics
- Abstract views: 1717
- PDF Downloads: 65
- Cited By: 0









DownLoad: