-
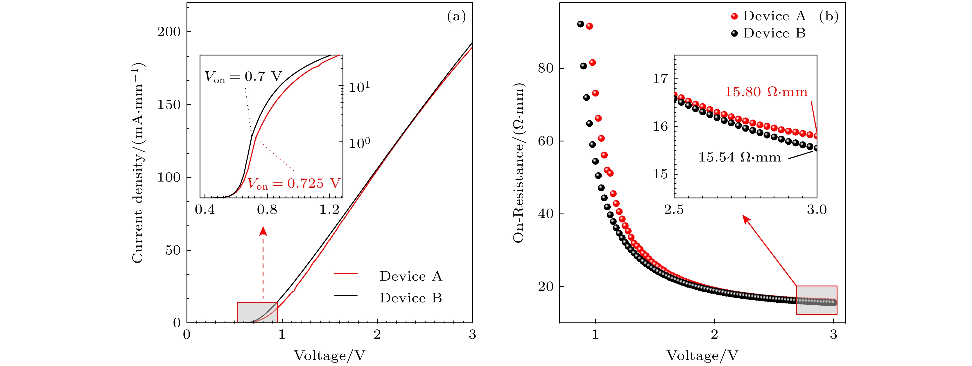
Thermal accumulation under high output power density is one of the key bottlenecks faced by GaN-based power devices. The nanocrystalline diamond (NCD) passivation layer strategy plays a crucial role in improving heat dissipation in high-power GaN devices, while the existing studies focus on GaN-based HEMT. In this study, nanocrystalline diamond films with a thickness of 380–450 nm are grown on Si-based AlGaN/GaN heterostructure materials using a microwave plasma chemical vapor deposition (MPCVD) system. Consequently, lateral Schottky barrier diode devices with NCD passivation are fabricated, and their electrical and thermal properties are investigated. The results show that the DC forward characteristics of the NCD passivated diodes are essentially the same as those of devices without NCD passivation. Moreover, dynamic voltage tests indicate that the NCD passivation layer significantly mitigates current collapse in GaN devices at high frequencies. Under a –20 V DC bias and a pulse voltage of 2.5 V, the current density degradation of NCD passivated devices is only 2.6%, whereas devices without diamond passivation almost completely degrade. Thermal imaging microscopy under varying DC power levels shows that thermal failure occurs at an output power density of approximately 4 W/mm for conventional devices, while NCD passivated devices can reach around 7.5 W/mm. The electrical degradation behaviour of NCD passivated device is also tested under long-time reverse bias. This work demonstrates for the first time the application of nanocrystalline diamond passivation to thermal management of GaN-based power diodes, and clearly demonstrates the potential of this strategy in non-HEMT power device applications.
-
Keywords:
- nanocrystalline diamond /
- GaN /
- diode /
- heat dissipation
[1] Bader S J, Lee H, Chaudhuri R, Huang S M, Hickman A, Molnar A, Xing H L G, Jena D, Then H W, Chowdhury N, Palacios T 2020 IEEE Trans. Electron Devices 67 4010
Google Scholar
[2] Qin Y, Albano B, Spencer J, Lundh J S, Wang B, Buttay C, Tadjer M, DiMarino C, Zhang Y H 2023 J. Phys. D: Appl. Phys 56 093001
Google Scholar
[3] Minoura Y, Ohki T, Okamoto N, Sato M, Ozaki S, Yamada A, Kotani J 2022 Appl. Phys. Express 15 036501
Google Scholar
[4] Ding Y J, Li J Y, Hao Z L, Wang Q, Zhang H J, Peng Y, Chen M X 2024 IEEE Photonics Technol. Lett. 36 1005
Google Scholar
[5] Gerrer T, Pomeroy J, Yang F Y, Francis D, Carroll J, Loran B, Witkowski L, Yarborough M, Uren M J, Kuball M 2021 IEEE Trans. Electron Devices 68 1530
Google Scholar
[6] Malakoutian M, Kasperovich A, Rich D, Woo K, Perez C, Soman R, Saraswat D, Kim J K, Noshin M, Chen M, Vaziri S, Bao X Y, Shih C C, Woon W Y, Asheghi M, Goodson K E, Liao S S, Mitra S, Chowdhury S 2023 Cell Rep. Phys. Sci. 4 101686
Google Scholar
[7] Wang Y N, Hu X F, Ge L, Liu Z H, Xu M S, Peng Y, Li B, Yang Y Q, Li S Q, Xie X J, Wang X W, Xu X G, Hu X B 2023 Crystals 13 500
Google Scholar
[8] Rossi S, Alomari M, Zhang Y, Bychikhin S, Pogany D, Weaver J M R, Kohn E 2013 Diamond Relat. Mater. 40 69
Google Scholar
[9] Matsumae T, Kurashima Y, Takagi H, Shirayanagi Y, Hiza S, Nishimura K, Higurashi E 2022 Scr. Mater. 215 114725
Google Scholar
[10] Gao R H, Wang X H, Mu F W, Li X J, Wei C, Zhou W, Shi J A, Tian Y, Xing X J, Li H Y, Huang S, Jiang Q M, Wei K, Liu X Y 2024 J. Alloys Compd. 985 174075
Google Scholar
[11] Tadjer M J, Anderson T J, Ancona M G, Raad P E, Komarov P, Bai T, Gallagher J C, Koehler A D, Goorsky M S, Francis D A, Hobart K D, Kub F J 2019 IEEE Electron Device Lett. 40 881
Google Scholar
[12] 白玲, 宁静, 张进成, 王东, 王博宇, 武海迪, 赵江林, 陶然, 李忠辉 2023 人工晶体学报 52 901
Google Scholar
Bai L, Ning J, Zhang J C, Wang D, Wang B Y, Wu H D, Zhao J L, Tao R, Li Z H 2023 J. Synth. Cryst. 52 901
Google Scholar
[13] Gu Y, Zhang Y, Hua B, Ni X, Fan Q, Gu X 2021 J. Electron. Mater. 50 4239
Google Scholar
[14] 兰飞飞, 刘莎莎, 房诗舒, 王英民, 程红娟 2024 人工晶体学报 53 913
Google Scholar
Lan F F, Liu S S, Fang S S, Wang Y M, Cheng H J 2024 J. Synth. Cryst. 53 913
Google Scholar
[15] Zheng Y T, Li C M, Liu J L, Wei J J, Ye H T 2021 Funct. Diamond 1 63
Google Scholar
[16] Yang H, Ma Y, Dai Y 2021 Funct. Diamond 1 150
Google Scholar
[17] Anderson T J, Hobart K D, Tadjer M J, Koehler A D, Imhoff E A, Hite J K, Feygelson T I, Pate B B, Eddy C R, Kub F J 2016 ECS J. Solid State Sci. Technol. 6 Q3036
Google Scholar
[18] Guo H, Li Y, Yu X, Zhou J, Kong Y 2022 Micromachines (Basel) 13 1486
Google Scholar
[19] Zhou X Y, Malakoutian M, Soman R, Bian Z L, Martinez R P, Chowdhury S 2022 IEEE Trans. Electron Devices 69 6650
Google Scholar
[20] 刘庆彬, 蔚翠, 郭建超, 马孟宇, 何泽召, 周闯杰, 高学栋, 余浩, 冯志红 2023 物理学报 72 098104
Google Scholar
Liu Q B, Yu C, Guo J C, Ma M Y, He Z Z, Zhou C J, Gao X D, Yu H, Feng Z H 2023 Acta Phys. Sin. 72 098104
Google Scholar
[21] Ryou J H, Choi S 2022 Nat. Electron. 5 834
Google Scholar
[22] Tadjer M J, Anderson T J, Hobart K D, Feygelson T I, Caldwell J D, Eddy C R, Kub F J, Butler J E, Pate B, Melngailis J 2012 IEEE Electron. Device Lett. 33 23
Google Scholar
[23] Meyer D J, Koehler A D, Hobart K D, Eddy C R, Feygelson T I, Anderson T J, Roussos J A, Tadjer M J, Downey B P, Katzer D S, Pate B B, Ancona M G 2014 IEEE Electron. Device Lett. 35 1013
Google Scholar
[24] Johnstone D, Doğan S, Leach J, Moon Y T, Fu Y, Hu Y, Morkoç H 2004 Appl. Phys. Lett. 85 4058
Google Scholar
-
图 2 纳米晶金刚石钝化GaN基SBD主要工艺流程示意图 (a) 材料清洗与台面隔离; (b) 与欧姆阴极制作; (c) SiNx隔离层淀积; (d) 纳米晶金刚石薄膜生长; (e) 多步刻蚀暴露阳极区域; (f) 肖特基阳极制作与阴极开孔
Figure 2. Main fabrication process flow diagram of nano crystalline diamond-passivated GaN-based SBD: (a) Sample cleaning and mesa isolation; (b) ohmic cathode formation; (c) deposition of SiNx isolation layer; (d) growth of nano crystalline diamond film; (e) multi-step etching to expose the anode region; (f) fabrication of Schottky anode and cathode opening.
图 7 器件A和器件B的动态正向特性对比 (a) 器件A脉冲电流-电压特性; (b) 器件B脉冲电流-电压特性; (c) 器件A动态导通电阻特性; (d) 器件B动态导通电阻特性
Figure 7. Comparison of dynamic forward characteristics between device A and B: (a) Pulsed I-V characteristics of device A; (b) pulsed I-V characteristics of device B; (c) dynamic on-resistance characteristics of device A; (d) dynamic on-resistance characteristics of device B.
-
[1] Bader S J, Lee H, Chaudhuri R, Huang S M, Hickman A, Molnar A, Xing H L G, Jena D, Then H W, Chowdhury N, Palacios T 2020 IEEE Trans. Electron Devices 67 4010
Google Scholar
[2] Qin Y, Albano B, Spencer J, Lundh J S, Wang B, Buttay C, Tadjer M, DiMarino C, Zhang Y H 2023 J. Phys. D: Appl. Phys 56 093001
Google Scholar
[3] Minoura Y, Ohki T, Okamoto N, Sato M, Ozaki S, Yamada A, Kotani J 2022 Appl. Phys. Express 15 036501
Google Scholar
[4] Ding Y J, Li J Y, Hao Z L, Wang Q, Zhang H J, Peng Y, Chen M X 2024 IEEE Photonics Technol. Lett. 36 1005
Google Scholar
[5] Gerrer T, Pomeroy J, Yang F Y, Francis D, Carroll J, Loran B, Witkowski L, Yarborough M, Uren M J, Kuball M 2021 IEEE Trans. Electron Devices 68 1530
Google Scholar
[6] Malakoutian M, Kasperovich A, Rich D, Woo K, Perez C, Soman R, Saraswat D, Kim J K, Noshin M, Chen M, Vaziri S, Bao X Y, Shih C C, Woon W Y, Asheghi M, Goodson K E, Liao S S, Mitra S, Chowdhury S 2023 Cell Rep. Phys. Sci. 4 101686
Google Scholar
[7] Wang Y N, Hu X F, Ge L, Liu Z H, Xu M S, Peng Y, Li B, Yang Y Q, Li S Q, Xie X J, Wang X W, Xu X G, Hu X B 2023 Crystals 13 500
Google Scholar
[8] Rossi S, Alomari M, Zhang Y, Bychikhin S, Pogany D, Weaver J M R, Kohn E 2013 Diamond Relat. Mater. 40 69
Google Scholar
[9] Matsumae T, Kurashima Y, Takagi H, Shirayanagi Y, Hiza S, Nishimura K, Higurashi E 2022 Scr. Mater. 215 114725
Google Scholar
[10] Gao R H, Wang X H, Mu F W, Li X J, Wei C, Zhou W, Shi J A, Tian Y, Xing X J, Li H Y, Huang S, Jiang Q M, Wei K, Liu X Y 2024 J. Alloys Compd. 985 174075
Google Scholar
[11] Tadjer M J, Anderson T J, Ancona M G, Raad P E, Komarov P, Bai T, Gallagher J C, Koehler A D, Goorsky M S, Francis D A, Hobart K D, Kub F J 2019 IEEE Electron Device Lett. 40 881
Google Scholar
[12] 白玲, 宁静, 张进成, 王东, 王博宇, 武海迪, 赵江林, 陶然, 李忠辉 2023 人工晶体学报 52 901
Google Scholar
Bai L, Ning J, Zhang J C, Wang D, Wang B Y, Wu H D, Zhao J L, Tao R, Li Z H 2023 J. Synth. Cryst. 52 901
Google Scholar
[13] Gu Y, Zhang Y, Hua B, Ni X, Fan Q, Gu X 2021 J. Electron. Mater. 50 4239
Google Scholar
[14] 兰飞飞, 刘莎莎, 房诗舒, 王英民, 程红娟 2024 人工晶体学报 53 913
Google Scholar
Lan F F, Liu S S, Fang S S, Wang Y M, Cheng H J 2024 J. Synth. Cryst. 53 913
Google Scholar
[15] Zheng Y T, Li C M, Liu J L, Wei J J, Ye H T 2021 Funct. Diamond 1 63
Google Scholar
[16] Yang H, Ma Y, Dai Y 2021 Funct. Diamond 1 150
Google Scholar
[17] Anderson T J, Hobart K D, Tadjer M J, Koehler A D, Imhoff E A, Hite J K, Feygelson T I, Pate B B, Eddy C R, Kub F J 2016 ECS J. Solid State Sci. Technol. 6 Q3036
Google Scholar
[18] Guo H, Li Y, Yu X, Zhou J, Kong Y 2022 Micromachines (Basel) 13 1486
Google Scholar
[19] Zhou X Y, Malakoutian M, Soman R, Bian Z L, Martinez R P, Chowdhury S 2022 IEEE Trans. Electron Devices 69 6650
Google Scholar
[20] 刘庆彬, 蔚翠, 郭建超, 马孟宇, 何泽召, 周闯杰, 高学栋, 余浩, 冯志红 2023 物理学报 72 098104
Google Scholar
Liu Q B, Yu C, Guo J C, Ma M Y, He Z Z, Zhou C J, Gao X D, Yu H, Feng Z H 2023 Acta Phys. Sin. 72 098104
Google Scholar
[21] Ryou J H, Choi S 2022 Nat. Electron. 5 834
Google Scholar
[22] Tadjer M J, Anderson T J, Hobart K D, Feygelson T I, Caldwell J D, Eddy C R, Kub F J, Butler J E, Pate B, Melngailis J 2012 IEEE Electron. Device Lett. 33 23
Google Scholar
[23] Meyer D J, Koehler A D, Hobart K D, Eddy C R, Feygelson T I, Anderson T J, Roussos J A, Tadjer M J, Downey B P, Katzer D S, Pate B B, Ancona M G 2014 IEEE Electron. Device Lett. 35 1013
Google Scholar
[24] Johnstone D, Doğan S, Leach J, Moon Y T, Fu Y, Hu Y, Morkoç H 2004 Appl. Phys. Lett. 85 4058
Google Scholar
Catalog
Metrics
- Abstract views: 1429
- PDF Downloads: 48
- Cited By: 0









DownLoad: