-
Entanglement detection and classification of multipartite systems remain the key topics in the field of quantum information and science. In this work, we take advantage of the nature that quantum Fisher information (QFI) can witness multipartite entanglement to comprehensively investigate the entanglement detection and classification of multi-qubit $W{\overline{W}} $ states immersed in a white noise environment. In the situation of local operation, by combining the information of the known quantum state, we have presented a criterion with visibility for witnessing the genuine multipartite entanglement and another for identifying the presence of quantum entanglement. Specifically, with respect to the 5-qubit $W{\overline{W}} $ state and 6-qubit $W{\overline{W}} $ state, due to the fact that the maximum QFI of their splitting-structure states exceeds that of the original states, it is infeasible to strictly establish a criterion for detecting the genuine multipartite entanglement. However, we delineate the scope for inferring the possible entanglement structures. Furthermore, it is found that as the number of qubits increases, the conditions for witnessing the genuine multipartite entanglement become increasingly strict, while those for detecting the existence of entanglement grow relatively more relaxed. Taking into account the likelihood of the crosstalk between neighboring qubits during the local operations on the multipartite systems in experiments, we employ the Lipkin-Meshkov-Glick (LMG) model to explore the entanglement classification of diverse multi-qubit multipartite states. It is found that with the increasing interaction strength, even for the strong white noise, the $W{\overline{W}} $ states can still be distinguished, thereby resolving the challenge of managing the entanglement classification under local operation. Besides, as the interaction strength continues to increase, the task of entanglement classification becomes more straightforward. This fully shows the superiority of nonlocal operations over local operations in the aspect of entanglement classification.
-
Keywords:
- entanglement detection /
- quantum Fisher information /
- multi-qubit $ W{\overline{W}} $ state /
- Lipkin-Meshkov-Glick model
[1] Nielsen M A, Chuang I L 2000 Quantum Computation and Quantum Information (Cambridge: Cambridge University Press
[2] 范桁 2018 物理学报 67 060302
Google Scholar
Fan H 2018 Acta Phys. Sin. 67 060302
Google Scholar
[3] Sheng Y B, Zhou L, Long G L 2022 Sci. Bull. 67 367
Google Scholar
[4] Athena K, Alasdair F, Gaetana S, Stefano P 2024 Rep. Prog. Phys. 87 094001
Google Scholar
[5] Pezzè L, Smerzi A, Oberthaler M K, Schmied R, Treutlein P 2018 Rev. Mod. Phys. 90 035005
Google Scholar
[6] Pezzè L, Smerzi A 2020 Phys. Rev. Lett. 125 210503
Google Scholar
[7] Göel E O, Siegner U 2015 Quantum Metrology: Foundation of Units and Measurements (Weinheim: Wiley-VCH
[8] Gühne O, Tòth G 2009 Phys. Rep. 474 1
Google Scholar
[9] Pezzè L, Li Y, Li W D, Smerzi A 2016 Proc. Natl. Acad. Sci. 113 11459
Google Scholar
[10] Lu H, Zhao Q, Li Z D, Yin X F, Yuan X, Hung J C, Chen L K, Li L, Liu N L, Peng C Z, Liang Y C, Ma X F, Chen Y A, Pan J W 2018 Phys. Rev. X 8 021072
Google Scholar
[11] Ren Z H, Li W D, Smerzi A, Gessner M 2021 Phys. Rev. Lett. 126 080502
Google Scholar
[12] Friis N, Vitagliano G, Malik M, Huber M 2019 Nat. Rev. Phys. 1 72
Google Scholar
[13] Wineland D J, Bollinger J J, Itano W M, Moore F L, Heinzen D J 1992 Phys. Rev. A 46 R6797
Google Scholar
[14] Strobel H, Muessel W, Linnemann D, Zibold T, Hume D B, Pezzè L, Smerzi A, Oberthaler M K 2014 Science 345 424
Google Scholar
[15] Sperling J, Vogel W 2013 Phys. Rev. Lett. 111 110503
Google Scholar
[16] Barreiro J T, Bancal J D, Schindler P, Nigg D, Hennrich M, Monz T, Gisin N, Blatt R 2013 Nat. Phys. 9 559
Google Scholar
[17] Pezzè L, Smerzi A 2009 Phys. Rev. Lett. 102 100401
Google Scholar
[18] Hyllus P, Laskowski W, Krischek R, Schwemmer C, Wieczorek W, Weinfurter H, Pezzè L, Smerzi A 2012 Phys. Rev. A 85 022321
Google Scholar
[19] Das D, Dogra S, Dorai K, Arvind 2015 Phys. Rev. A 92 022307
Google Scholar
[20] Sudha, Usha Devi A R, Rajagopal A K, 2012 Phys. Rev. A 85 012103
Google Scholar
[21] Usha Devi A R, Sudha, Rajagopal A K 2011 Quantum Inf. Process. 11 685
Google Scholar
[22] Li Y, Ren Z H 2023 Phys. Rev. A 107 012403
Google Scholar
[23] Ren Z H, Li Y 2023 Results in Physics 53 106954
Google Scholar
[24] Zou Y Q, Wu L N, Liu Q, Luo X Y, Guo S F, Cao J H, Tey M K, You L 2018 Proc. Natl. Acad. Sci. 115 6381
Google Scholar
[25] Manoj K J, Christian K, Rick V B, Florian K, Torsten V Z, Rainer B, Christian F R, Peter Z 2023 Nature 624 539
Google Scholar
[26] Pratt J S, Eberly J H 2001 Phys. Rev. B 64 195314
Google Scholar
[27] Parrado-Rodríguez P, Ryan-Anderson C, Bermudez A, Müller M 2021 Quantum 5 487
Google Scholar
[28] Li Y, Ren Z H 2022 Physica A 596 127137
Google Scholar
[29] Lipkin H J, Meshkov N, Glick A 1965 Nucl. Phys. 62 188
Google Scholar
[30] 任志红, 李岩, 李艳娜, 李卫东 2019 物理学报 68 040601
Google Scholar
Ren Z H, Li Y, Li Y N, Li W D 2019 Acta. Phys. Sin. 68 040601
Google Scholar
[31] Huang J H, Zhuang M, Lee C H 2024 Appl. Phys. Rev. 11 031302
Google Scholar
[32] Holevo A S 1982 Probabilistic and Statistical Aspects of Quantum Theory (Amsterdam: North-Holland
[33] Bohnet J G, Sawyer B C, Britton J W, Wall M L, Rey A M, Foss-Feig M, Bollinger J J 2016 Science 352 1297
Google Scholar
[34] Hauke P, Heyl M, Tagliacozzo L, Zoller P 2016 Nat. Phys. 12 778
Google Scholar
[35] 刘然, 吴泽, 李宇晨, 陈昱全, 彭新华 2023 物理学报 72 110305
Google Scholar
Liu R, Wu Z, Li Y C, Chen Y Q, Peng X H 2023 Acta. Phys. Sin. 72 110305
Google Scholar
[36] Braunstein S L, Caves C M 1994 Phys. Rev. Lett. 72 3439
Google Scholar
[37] Werner R F 1989 Phys. Rev. A 40 4277
Google Scholar
[38] Wiesław L, Tamás V, Marcin W 2015 J. Phys. A 48 465301
Google Scholar
[39] Li Y, Li P F 2020 Phys. Lett. A 384 126413
Google Scholar
[40] Dorner U 2012 New J. Phys. 14 043011
Google Scholar
-
图 1 在局域操作下, 判定含白噪声的多量子比特$ W{\overline{W}} $态是真正多体纠缠的判据与含有纠缠的判据随粒子数目$ N $的变化情况. 红色圆点代表真正多体纠缠的可见度判据, 其中$ 5, 6 $量子比特属于特殊情况, 用空心圆点表示, 代表无法确定真正多体纠缠判定, 但缩小了可能的范围, 详见文中叙述. 蓝色实心圆点代表含有纠缠的可见度判据
Figure 1. The criteria for witnessing genuine multipartite entanglement and the presence of entanglement with respect to the number of qubits under local operations for multi-qubit $ W{\overline{W}} $ states in the white noise environment. Red solid dots represent the visibility criterion for genuine multipartite entanglement. The $ 5 $-qubit case and $ 6 $-qubit case are the special ones and represented by hollow red dots. For the both, it is impossible to witness the genuine multipartite entanglement, but the possible scope has been narrowed down, and the details can be found in the main context. Blue solid dots represent the visibility criterion for the presence of entanglement.
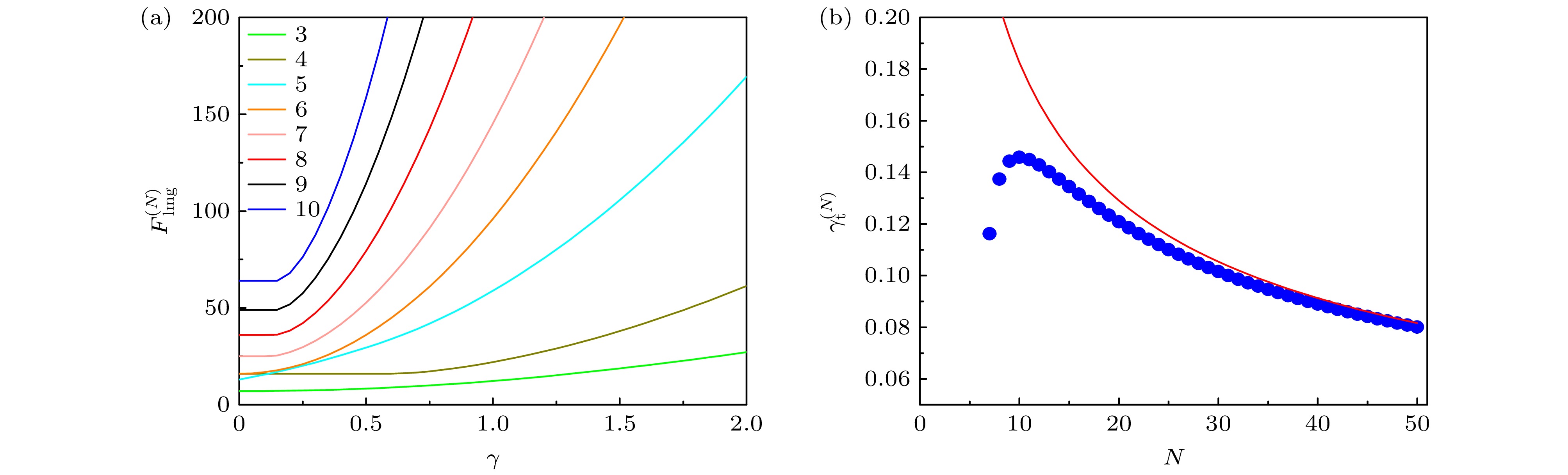
图 2 (a)不同颜色的实线(绿色到蓝色)从下到上依次表示$ 3,\ 4,\ 5,\ 6,\ 7,\ 8,\ 9,\ 10 $量子比特$ W{\overline{W}} $态的量子Fisher信息$ F_{\rm{lmg}}^{(N)} $在无噪声情况下随相互作用强度$ \gamma $的变化情况; (b)蓝色实心圆点表示转折点$ \gamma_t^{(N)} $随粒子数目$ N $的变化情况, 红色实线代表$ \gamma_t \simeq {1}/{\sqrt{3 N}} $
Figure 2. (a) The colorful solid lines (from green to blue) respectively represent the variations of the QFI of the $ W{\overline{W}} $ state with $ 3,\ 4,\ 5,\ 6,\ 7,\ 8,\ 9,\ 10 $ qubits, with respect to the interaction strength $ \gamma $ in the absence of noise; (b) the blue dots represent the variation of the turning point $ \gamma_t^{(N)} $ with respect to the number of qubits, and the red line represents $ \gamma_t \simeq {1}/{\sqrt{3 N}} $.
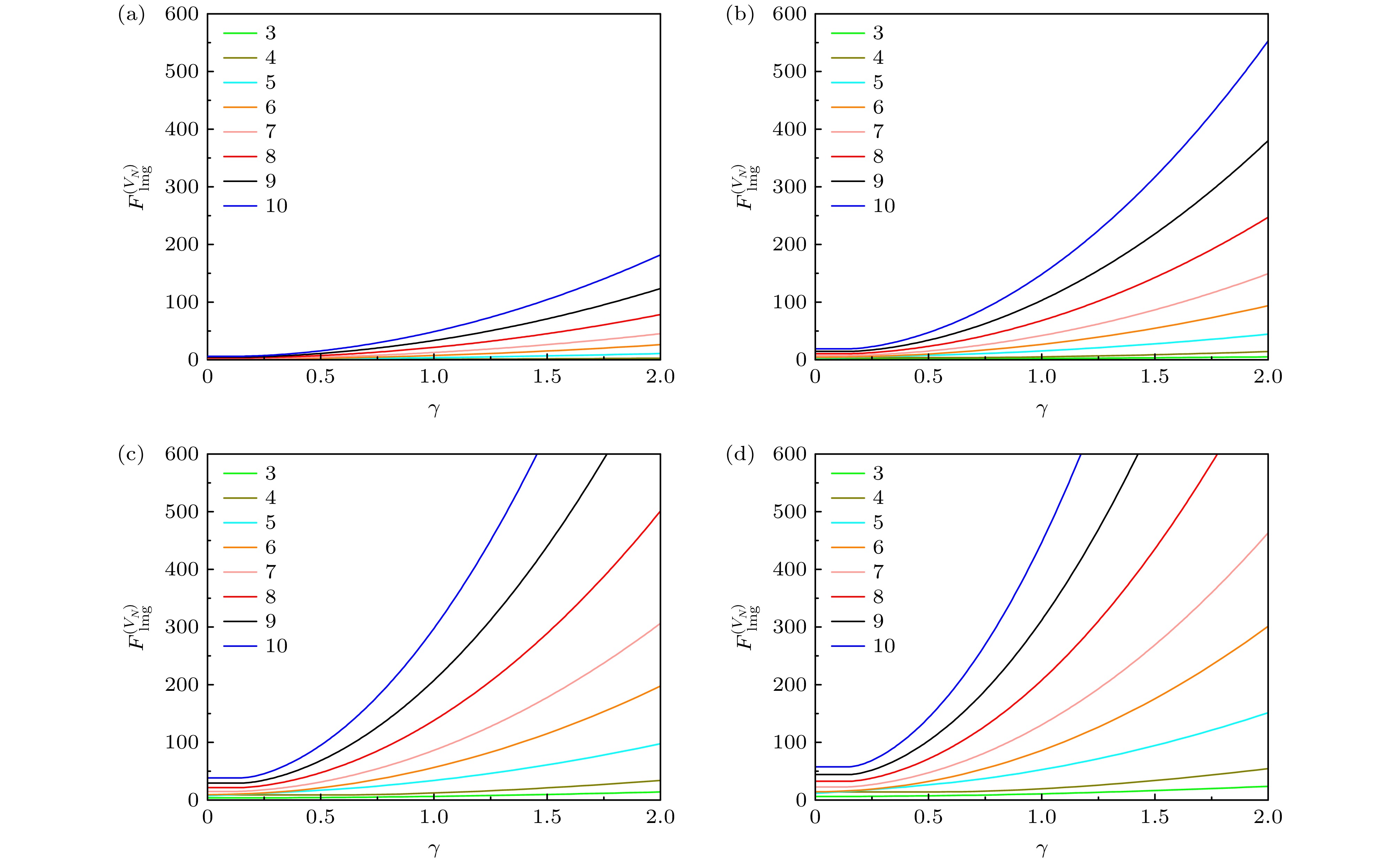
图 3 (a), (b), (c), (d)分别表示多量子比特$ W{\overline{W}} $态在噪声环境$ V=0.1,\ 0.3,\ 0.6,\ 0.9 $下的量子Fisher信息随相互作用强度$ \gamma $的变化. 以(d)为例, 不同颜色的实线(绿色到蓝色)从下到上依次代表$ 3,\ 4,\ 5,\ 6,\ 7,\ 8,\ 9,\ 10 $量子比特$ W{\overline{W}} $态的QFI的变化情况
Figure 3. (a), (b), (c), (d) respectively show the quantum Fisher information of an $ N $-qubit $ W{\overline{W}} $ state with respect to $ \gamma $ under the white noise situation $ V=0.1,\ 0.3,\ 0.6,\ 0.9 $. Taking panel (d) as an example, the colorful solid lines (green to blue) from bottom to top respectively denote the variation trends of QFI from $ 3,\ 4,\ 5,\ 6,\ 7,\ 8,\ 9,\ 10 $-qubit $ W{\overline{W}} $ state.
-
[1] Nielsen M A, Chuang I L 2000 Quantum Computation and Quantum Information (Cambridge: Cambridge University Press
[2] 范桁 2018 物理学报 67 060302
Google Scholar
Fan H 2018 Acta Phys. Sin. 67 060302
Google Scholar
[3] Sheng Y B, Zhou L, Long G L 2022 Sci. Bull. 67 367
Google Scholar
[4] Athena K, Alasdair F, Gaetana S, Stefano P 2024 Rep. Prog. Phys. 87 094001
Google Scholar
[5] Pezzè L, Smerzi A, Oberthaler M K, Schmied R, Treutlein P 2018 Rev. Mod. Phys. 90 035005
Google Scholar
[6] Pezzè L, Smerzi A 2020 Phys. Rev. Lett. 125 210503
Google Scholar
[7] Göel E O, Siegner U 2015 Quantum Metrology: Foundation of Units and Measurements (Weinheim: Wiley-VCH
[8] Gühne O, Tòth G 2009 Phys. Rep. 474 1
Google Scholar
[9] Pezzè L, Li Y, Li W D, Smerzi A 2016 Proc. Natl. Acad. Sci. 113 11459
Google Scholar
[10] Lu H, Zhao Q, Li Z D, Yin X F, Yuan X, Hung J C, Chen L K, Li L, Liu N L, Peng C Z, Liang Y C, Ma X F, Chen Y A, Pan J W 2018 Phys. Rev. X 8 021072
Google Scholar
[11] Ren Z H, Li W D, Smerzi A, Gessner M 2021 Phys. Rev. Lett. 126 080502
Google Scholar
[12] Friis N, Vitagliano G, Malik M, Huber M 2019 Nat. Rev. Phys. 1 72
Google Scholar
[13] Wineland D J, Bollinger J J, Itano W M, Moore F L, Heinzen D J 1992 Phys. Rev. A 46 R6797
Google Scholar
[14] Strobel H, Muessel W, Linnemann D, Zibold T, Hume D B, Pezzè L, Smerzi A, Oberthaler M K 2014 Science 345 424
Google Scholar
[15] Sperling J, Vogel W 2013 Phys. Rev. Lett. 111 110503
Google Scholar
[16] Barreiro J T, Bancal J D, Schindler P, Nigg D, Hennrich M, Monz T, Gisin N, Blatt R 2013 Nat. Phys. 9 559
Google Scholar
[17] Pezzè L, Smerzi A 2009 Phys. Rev. Lett. 102 100401
Google Scholar
[18] Hyllus P, Laskowski W, Krischek R, Schwemmer C, Wieczorek W, Weinfurter H, Pezzè L, Smerzi A 2012 Phys. Rev. A 85 022321
Google Scholar
[19] Das D, Dogra S, Dorai K, Arvind 2015 Phys. Rev. A 92 022307
Google Scholar
[20] Sudha, Usha Devi A R, Rajagopal A K, 2012 Phys. Rev. A 85 012103
Google Scholar
[21] Usha Devi A R, Sudha, Rajagopal A K 2011 Quantum Inf. Process. 11 685
Google Scholar
[22] Li Y, Ren Z H 2023 Phys. Rev. A 107 012403
Google Scholar
[23] Ren Z H, Li Y 2023 Results in Physics 53 106954
Google Scholar
[24] Zou Y Q, Wu L N, Liu Q, Luo X Y, Guo S F, Cao J H, Tey M K, You L 2018 Proc. Natl. Acad. Sci. 115 6381
Google Scholar
[25] Manoj K J, Christian K, Rick V B, Florian K, Torsten V Z, Rainer B, Christian F R, Peter Z 2023 Nature 624 539
Google Scholar
[26] Pratt J S, Eberly J H 2001 Phys. Rev. B 64 195314
Google Scholar
[27] Parrado-Rodríguez P, Ryan-Anderson C, Bermudez A, Müller M 2021 Quantum 5 487
Google Scholar
[28] Li Y, Ren Z H 2022 Physica A 596 127137
Google Scholar
[29] Lipkin H J, Meshkov N, Glick A 1965 Nucl. Phys. 62 188
Google Scholar
[30] 任志红, 李岩, 李艳娜, 李卫东 2019 物理学报 68 040601
Google Scholar
Ren Z H, Li Y, Li Y N, Li W D 2019 Acta. Phys. Sin. 68 040601
Google Scholar
[31] Huang J H, Zhuang M, Lee C H 2024 Appl. Phys. Rev. 11 031302
Google Scholar
[32] Holevo A S 1982 Probabilistic and Statistical Aspects of Quantum Theory (Amsterdam: North-Holland
[33] Bohnet J G, Sawyer B C, Britton J W, Wall M L, Rey A M, Foss-Feig M, Bollinger J J 2016 Science 352 1297
Google Scholar
[34] Hauke P, Heyl M, Tagliacozzo L, Zoller P 2016 Nat. Phys. 12 778
Google Scholar
[35] 刘然, 吴泽, 李宇晨, 陈昱全, 彭新华 2023 物理学报 72 110305
Google Scholar
Liu R, Wu Z, Li Y C, Chen Y Q, Peng X H 2023 Acta. Phys. Sin. 72 110305
Google Scholar
[36] Braunstein S L, Caves C M 1994 Phys. Rev. Lett. 72 3439
Google Scholar
[37] Werner R F 1989 Phys. Rev. A 40 4277
Google Scholar
[38] Wiesław L, Tamás V, Marcin W 2015 J. Phys. A 48 465301
Google Scholar
[39] Li Y, Li P F 2020 Phys. Lett. A 384 126413
Google Scholar
[40] Dorner U 2012 New J. Phys. 14 043011
Google Scholar
Catalog
Metrics
- Abstract views: 1153
- PDF Downloads: 28
- Cited By: 0









DownLoad: