-
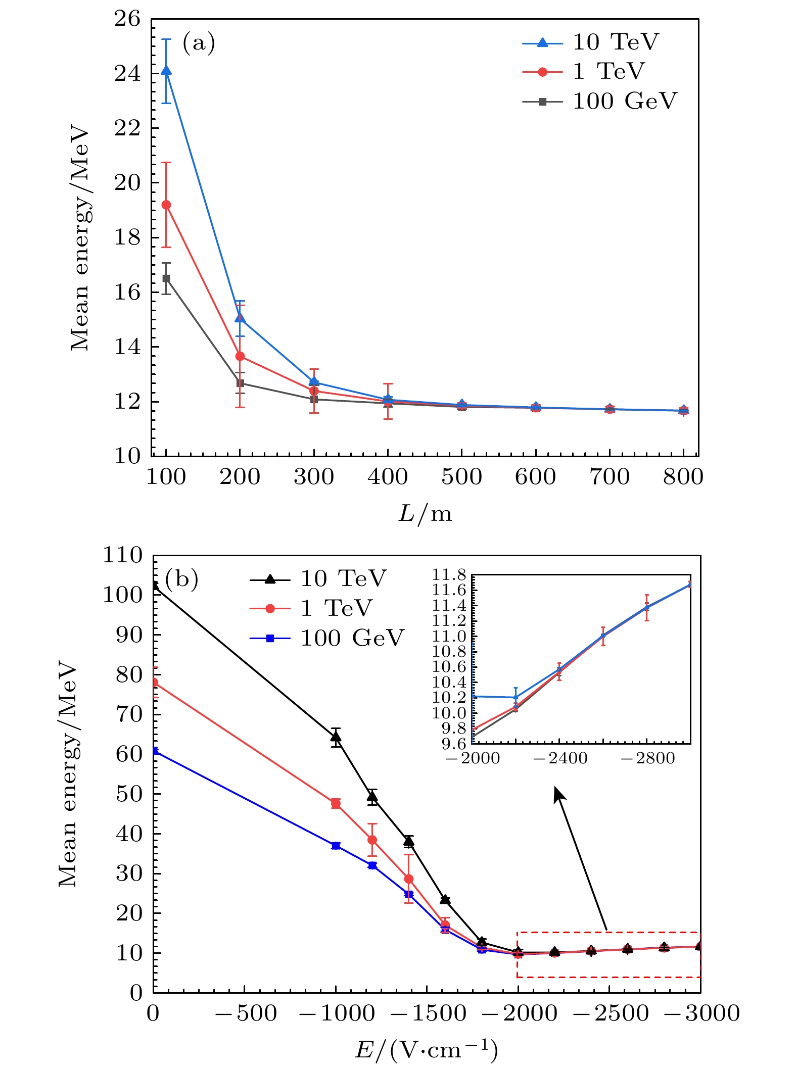
Terrestrial Gamma-ray flashes (TGFs) originating from the Earth’s atmosphere, accompanied by thunderstorms and lightning activity, are one of the hot spots in the interdisciplinary of cosmic ray and atmospheric physics. Over the years, satellite experiments have detected thousands of upward TGFs during thunderstorms, while ground-based experiments have observed some downward TGFs. Nowadays, it is widely believed that TGFs accompanying lightning leaders observed by satellite-based and ground-based experiments involve relativistic runaway electron avalanche (RREA) production. Due to triggering the relativistic runaway electron avalanche (RREA) process needing a very large electric field strength and region, it is difficult to study the RREA process through ground-based experiments. In this paper, CORSIKA 7.7410 software package, combined with a vertically uniform electric field model, is adopted to simulate the intensity and energy distribution of RREA electrons in thundercloud with different electric field strengths induced by seed electrons and the secondary electrons in extensive air shower (EAS) from vertical protons with different primary energies. The results show that the number of RREA electrons increases exponentially with the thickness of the thunderclouds increasing, and also increases exponentially with the electric field strength rising. After passing through the atmosphere with an electric field of –3000 V/cm and a thickness of 800 m, the number of secondary electrons in RREA process increases by approximately 3×104 times. The characteristic length of avalanche (λ) decreases as the electric field strength increases. When the electric field is –1600 V/cm and –3000 V/cm, the λ is approximately ~282 m and ~69 m, respectively. The energy spectrum of RREA electrons gradually softens with the increase of layer thickness and strength of electric field, and their average energy increases with the increase of electric field strength, when the thundercloud thickness exceeds 400 m, the mean energy of RREA electrons gradually stabilizes. When secondary particles pass through a thundercloud with an electric field strength of –3000 V/cm and a thickness of 800 m, the mean energy of RREA electrons is approximately 11.7 MeV. Through the Monte Carlo simulations, the RREA process, which is difficult to observe directly in the atmosphere, is successfully simulated. The simulation results provide important information for studying the characteristics of TGF source regions, offer clues for detecting downward TGF in ground-based experiments, and contribute to the research on the triggering mechanism of lightning in the atmosphere. In addition, our simulation results are expected to elucidate the relationship between TGF and lightning activity, promoting interdisciplinary research in the fields of atmospheric physics and cosmic ray physics.
-
Keywords:
- cosmic rays /
- relativistic runaway electron avalanche /
- thunderstorm electric field /
- Monte Carlo simulations
[1] 黄志成, 周勋秀, 黄代绘, 贾焕玉, 陈松战, 马欣华, 刘栋, 阿西克古, 赵兵, 陈林, 王培汉 2021 物理学报 70 199301
Google Scholar
Huang Z H, Zhou X X, Huang D H, Jia H Y, Chen S Z, Ma X H, Liu D, Axikegu, Zhao B, Chen L, Wang P H 2021 Acta Phys. Sin. 70 199301
Google Scholar
[2] 刘冬霞, 郄秀书, 王志超, 吴学珂, 潘伦湘 2013 物理学报 62 219201
Google Scholar
Liu D X, Qie X S, Wang Z C, Wu X K, Pan L X 2013 Acta Phys. Sin. 62 219201
Google Scholar
[3] Marshall T C, Stolzenburg M, Maggio C R, Coleman L M 2005 Geophys. Res. Lett. 32 L03813
Google Scholar
[4] Stolzenburg M, Marshall T C, Rust W D, Bruning E, MacGorman D R, Hamlin T 2007 Geophys. Res. Lett. 34 L04804
Google Scholar
[5] Wilson C T R 1924 Proc. Phys. Soc. London 37 32D
Google Scholar
[6] Gurevich A V, Milikh G M, Roussel-Dupre R 1992 Phys. Lett. A 165 463
Google Scholar
[7] 吕凡超, 张义军, 陆高鹏 2023 中国科学: 地球科学 53 421
Google Scholar
Lü F C, Zhang Y J, Lu G P 2023 Sci. China-Earth Sci. 53 421
Google Scholar
[8] Inan U S, Reising S C, Fishman G J, Horack J M 1996 Geophys. Res. Lett. 23 1017
Google Scholar
[9] Fishman G J, Bhat P N, Mallozzi R, Horack J M, Koshut T, Kouveliotou C, Pendleton G N, Meegan C A, Wilson R B, Paciesas W S, Goodman S, Christian H 1994 Science 264 1313
Google Scholar
[10] Briggs M S, Fishman G J, Connaughton V, Bhat P N, Paciesas W S, Preece R D, Wilson-Hodge C, Chaplin V L, Kippen R M, Kienlin A V, Meegan C A, Bissaldi E, Dwyer J R, Smith D M, Holzworth R H, Grove J E, Chekhtman A 2010 J. Geophys. Res. 115 A07323
Google Scholar
[11] Marisaldi M, Fuschino F, Labanti C, Galli M, Longo F, Del Monte E, Barbiellini G, Tavani M, Giuliani A, Moretti E, et al. 2010 J. Geophys. Res. 115 A00E13
Google Scholar
[12] The Insight-HXMT team 2020 Sci. China-Phys. Mech. Astron. 63 249502
Google Scholar
[13] Chen C, Xiao S, Xiong S L, Yu N, Wen X Y, Gong K, Li X Q, Li C Y, Hou D J, Yang X T, Zhao Z J, Zhu Y X, Zhang D L, An Z H, Zhao X Y, Xu Y P, Wang Y S 2021 Exp. Astron. 52 45
Google Scholar
[14] Dwyer J R, Rassoul H K, Al-Dayeh M, Caraway L, Wright B, Chrest A, Uman M A, Rakov V A, Rambo K J, Jordan D M, Jerauld J, Smyth C 2004 Geophys. Res. Lett. 31 L05119
Google Scholar
[15] Hare B M, Uman M A, Dwyer J R, Joradn D M, Blggerstaff M L, Caicedo J A, Carvalho F L, Wilkes R A, Kotovsky D A, Gamerota W R, Pilkey J T, Ngin T K, Moore R C, Rasoule H K, Cummer S A, Grove J E, Nag A, Betten D P, Bozarth A 2016 J. Geophys. Res. Atmos. 121 6511
Google Scholar
[16] Enoto T, Wada Y, Furuta Y, Nakazawa K, Yuasa T, Okuda K, Makihima K, Sato M, Sato Y, Nakano T, Umemoto D, Tsuchiya H, GROWTH Collaboration 2017 Nature 551 481
Google Scholar
[17] Abbasi R U, Abu-Zayyad T, Allen M, Barcikowski E, Belz J W, Bergman D R, Blake S A, Byrne M, Cady R, Cheon B G, et al. 2018 J. Geophys. Res. Atmos. 123 6864
Google Scholar
[18] Wada Y, Enoto T, Nakazawa K, Furuta Y, Yuasa T, Nakamura Y, Morimoto T, Matsumoto T, Makishima K, Tsuchiya H 2019 Phys. Rev. Lett. 123 061103
Google Scholar
[19] Balz J W, Krehbiel P R, Remington J, Stanley M A, Abbasi R U, LeVon R, Rison W, Rodeheffer D, Abu-Zayyad T, Allen M, et al. 2020 J. Geophys. Res. Atmos. 125 e2019JD031940
Google Scholar
[20] 郄秀书, 王俊芳 2010 地球科学进展 25 893
Google Scholar
Qie X S, Wang J F 2010 Adv. Earth Sci. 25 893
Google Scholar
[21] Dwyer J R 2003 Geophys. Res. Lett. 30 2055
Google Scholar
[22] Symbalisty E M D, Roussel-Dupre R A, Yukhimuk V A 1998 IEEE Trans. Plasma Sci. 26 1575
Google Scholar
[23] Skeltved A B, Ostgaard N, Carlson B, Gjesteland T, Celestin S 2014 J. Geophys. Res. 119 9174
Google Scholar
[24] 李小强, 周红召, 蒋如斌, 李鹏, 宋立军, 李英男, 刘伟, 郑毅 2018 核电子学与探测技术 38 0360
Google Scholar
Li X Q, Zhou H Z, Jiang R B, Li P, Song L J, Li Y N, Li W, Zheng Y 2018 Nucl. Electron. Detect. Technol. 38 0360
Google Scholar
[25] Heck D, Knapp J, Capdevielle J N, Schatz G, Thouw T 1998 FZKA: Forschungszentrum Karlsruhe GmbH, Karube, 6019, https://www.ikp.kit.edu/corsika/70.php
[26] 周勋秀, 王新建, 黄代绘, 贾焕玉 2016 空间科学学报 36 49
Google Scholar
Zhou X X, Wang X J, Huang D H, Jia H Y 2016 Chin. J. Space Sci. 36 49
Google Scholar
[27] Dwyer J R, Smith D M, Cummer S A 2012 Space Sci. Rev. 173 133
Google Scholar
[28] Babich L P, Donskoy E N, Il'Kaev R I, Kutsyk I M, Roussel-Dupre R A 2004 Plasma Phys. Rep. 30 616
Google Scholar
-
-
[1] 黄志成, 周勋秀, 黄代绘, 贾焕玉, 陈松战, 马欣华, 刘栋, 阿西克古, 赵兵, 陈林, 王培汉 2021 物理学报 70 199301
Google Scholar
Huang Z H, Zhou X X, Huang D H, Jia H Y, Chen S Z, Ma X H, Liu D, Axikegu, Zhao B, Chen L, Wang P H 2021 Acta Phys. Sin. 70 199301
Google Scholar
[2] 刘冬霞, 郄秀书, 王志超, 吴学珂, 潘伦湘 2013 物理学报 62 219201
Google Scholar
Liu D X, Qie X S, Wang Z C, Wu X K, Pan L X 2013 Acta Phys. Sin. 62 219201
Google Scholar
[3] Marshall T C, Stolzenburg M, Maggio C R, Coleman L M 2005 Geophys. Res. Lett. 32 L03813
Google Scholar
[4] Stolzenburg M, Marshall T C, Rust W D, Bruning E, MacGorman D R, Hamlin T 2007 Geophys. Res. Lett. 34 L04804
Google Scholar
[5] Wilson C T R 1924 Proc. Phys. Soc. London 37 32D
Google Scholar
[6] Gurevich A V, Milikh G M, Roussel-Dupre R 1992 Phys. Lett. A 165 463
Google Scholar
[7] 吕凡超, 张义军, 陆高鹏 2023 中国科学: 地球科学 53 421
Google Scholar
Lü F C, Zhang Y J, Lu G P 2023 Sci. China-Earth Sci. 53 421
Google Scholar
[8] Inan U S, Reising S C, Fishman G J, Horack J M 1996 Geophys. Res. Lett. 23 1017
Google Scholar
[9] Fishman G J, Bhat P N, Mallozzi R, Horack J M, Koshut T, Kouveliotou C, Pendleton G N, Meegan C A, Wilson R B, Paciesas W S, Goodman S, Christian H 1994 Science 264 1313
Google Scholar
[10] Briggs M S, Fishman G J, Connaughton V, Bhat P N, Paciesas W S, Preece R D, Wilson-Hodge C, Chaplin V L, Kippen R M, Kienlin A V, Meegan C A, Bissaldi E, Dwyer J R, Smith D M, Holzworth R H, Grove J E, Chekhtman A 2010 J. Geophys. Res. 115 A07323
Google Scholar
[11] Marisaldi M, Fuschino F, Labanti C, Galli M, Longo F, Del Monte E, Barbiellini G, Tavani M, Giuliani A, Moretti E, et al. 2010 J. Geophys. Res. 115 A00E13
Google Scholar
[12] The Insight-HXMT team 2020 Sci. China-Phys. Mech. Astron. 63 249502
Google Scholar
[13] Chen C, Xiao S, Xiong S L, Yu N, Wen X Y, Gong K, Li X Q, Li C Y, Hou D J, Yang X T, Zhao Z J, Zhu Y X, Zhang D L, An Z H, Zhao X Y, Xu Y P, Wang Y S 2021 Exp. Astron. 52 45
Google Scholar
[14] Dwyer J R, Rassoul H K, Al-Dayeh M, Caraway L, Wright B, Chrest A, Uman M A, Rakov V A, Rambo K J, Jordan D M, Jerauld J, Smyth C 2004 Geophys. Res. Lett. 31 L05119
Google Scholar
[15] Hare B M, Uman M A, Dwyer J R, Joradn D M, Blggerstaff M L, Caicedo J A, Carvalho F L, Wilkes R A, Kotovsky D A, Gamerota W R, Pilkey J T, Ngin T K, Moore R C, Rasoule H K, Cummer S A, Grove J E, Nag A, Betten D P, Bozarth A 2016 J. Geophys. Res. Atmos. 121 6511
Google Scholar
[16] Enoto T, Wada Y, Furuta Y, Nakazawa K, Yuasa T, Okuda K, Makihima K, Sato M, Sato Y, Nakano T, Umemoto D, Tsuchiya H, GROWTH Collaboration 2017 Nature 551 481
Google Scholar
[17] Abbasi R U, Abu-Zayyad T, Allen M, Barcikowski E, Belz J W, Bergman D R, Blake S A, Byrne M, Cady R, Cheon B G, et al. 2018 J. Geophys. Res. Atmos. 123 6864
Google Scholar
[18] Wada Y, Enoto T, Nakazawa K, Furuta Y, Yuasa T, Nakamura Y, Morimoto T, Matsumoto T, Makishima K, Tsuchiya H 2019 Phys. Rev. Lett. 123 061103
Google Scholar
[19] Balz J W, Krehbiel P R, Remington J, Stanley M A, Abbasi R U, LeVon R, Rison W, Rodeheffer D, Abu-Zayyad T, Allen M, et al. 2020 J. Geophys. Res. Atmos. 125 e2019JD031940
Google Scholar
[20] 郄秀书, 王俊芳 2010 地球科学进展 25 893
Google Scholar
Qie X S, Wang J F 2010 Adv. Earth Sci. 25 893
Google Scholar
[21] Dwyer J R 2003 Geophys. Res. Lett. 30 2055
Google Scholar
[22] Symbalisty E M D, Roussel-Dupre R A, Yukhimuk V A 1998 IEEE Trans. Plasma Sci. 26 1575
Google Scholar
[23] Skeltved A B, Ostgaard N, Carlson B, Gjesteland T, Celestin S 2014 J. Geophys. Res. 119 9174
Google Scholar
[24] 李小强, 周红召, 蒋如斌, 李鹏, 宋立军, 李英男, 刘伟, 郑毅 2018 核电子学与探测技术 38 0360
Google Scholar
Li X Q, Zhou H Z, Jiang R B, Li P, Song L J, Li Y N, Li W, Zheng Y 2018 Nucl. Electron. Detect. Technol. 38 0360
Google Scholar
[25] Heck D, Knapp J, Capdevielle J N, Schatz G, Thouw T 1998 FZKA: Forschungszentrum Karlsruhe GmbH, Karube, 6019, https://www.ikp.kit.edu/corsika/70.php
[26] 周勋秀, 王新建, 黄代绘, 贾焕玉 2016 空间科学学报 36 49
Google Scholar
Zhou X X, Wang X J, Huang D H, Jia H Y 2016 Chin. J. Space Sci. 36 49
Google Scholar
[27] Dwyer J R, Smith D M, Cummer S A 2012 Space Sci. Rev. 173 133
Google Scholar
[28] Babich L P, Donskoy E N, Il'Kaev R I, Kutsyk I M, Roussel-Dupre R A 2004 Plasma Phys. Rep. 30 616
Google Scholar
Catalog
Metrics
- Abstract views: 1067
- PDF Downloads: 30
- Cited By: 0









DownLoad: