-
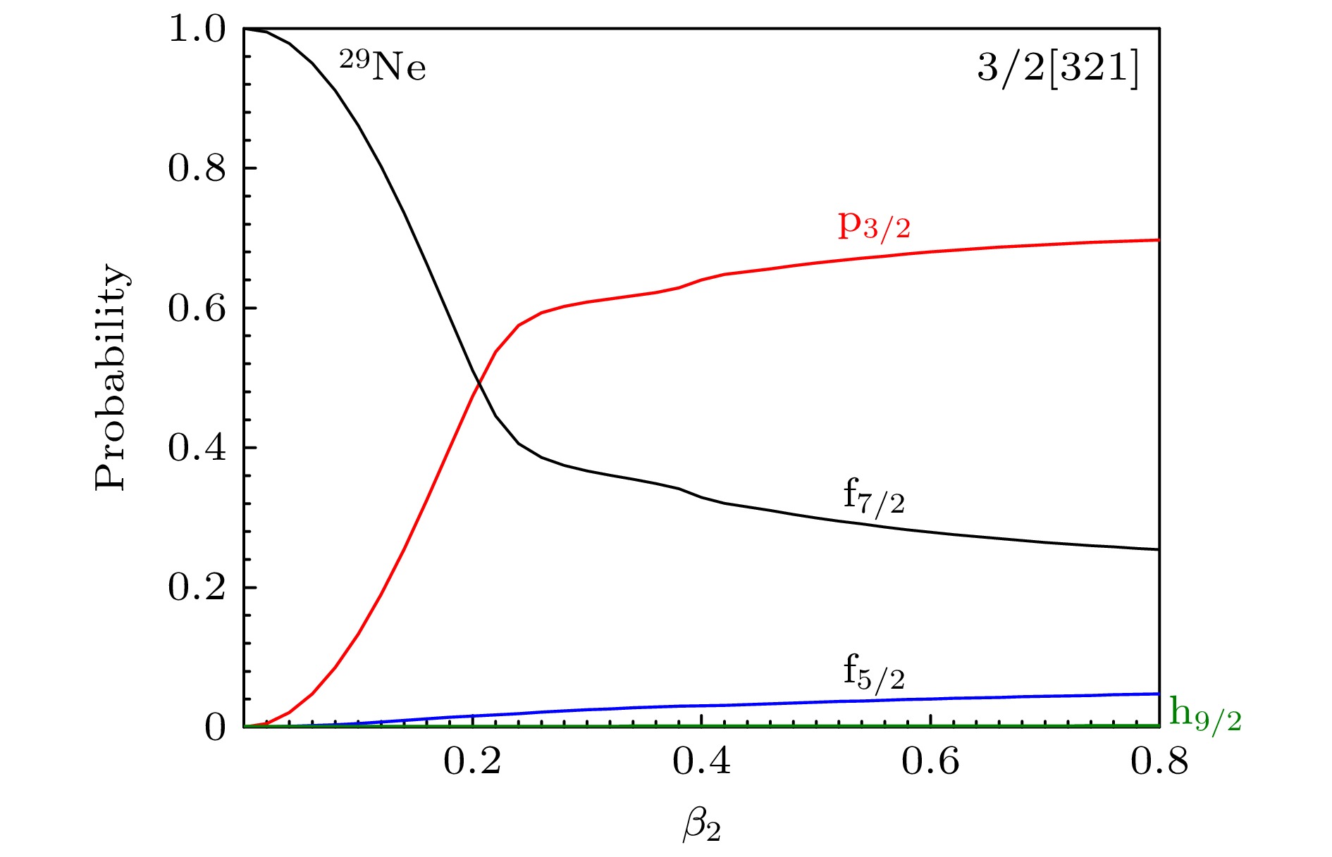
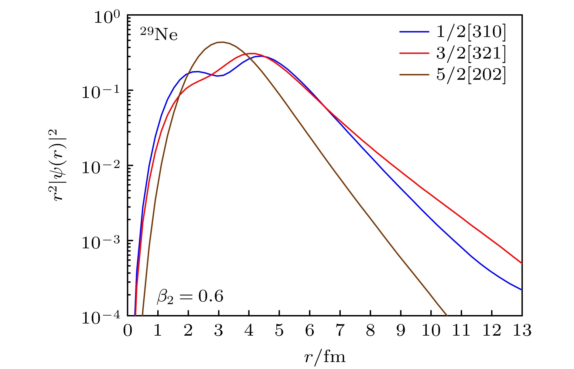
The neutron-rich nucleus 29Ne, located in the $N = 20$ “island of inversion” challenges traditional shell-model predictions by exhibiting a ground-state valence neutron configuration primarily influenced by the $2{\mathrm{p}}_{3/2}$ orbital rather than the anticipated $1{\mathrm{f}}_{7/2}$ orbital. This study aims to reveal the mechanisms behind this shell inversion and explore the potential halo structure in 29Ne, by using the interplay between weak binding, deformation, and low-$\ell$ orbital occupancy. The complex-momentum representation (CMR) method is used within a relativistic framework by integrating relativistic mean-field (RMF) theory with Woods-Saxon potentials to describe bound states, resonances, and continuum states. The model combines quadrupole deformation (β2) to analyze single-particle energy evolution, orbital mixing, and radial density distribution. Key parameters are calibrated based on experimental data, including binding energy and neutron separation energy. The key results are presented below. 1) Shell inversion: In the spherical limit ($\beta_2 = 0$), the $2{\mathrm{p}}_{1/2}$ and $2{\mathrm{p}}_{3/2}$ orbitals drop below the $1{\mathrm{f}}_{7/2}$ orbital, confirming the collapse of the $N = 20$ shell gap. 2) Deformation-driven halo: For β2 ≥ 0.58, the valence neutrons occupy 3/2[321] orbital (derived from 1f7/2), but due to strong l-mixing, the p3/2 component accounts for 68%. This orbital exhibits a diffuse radial density distribution, indicating a halo structure. 3) Experimental consistency: The predicted ground-state spin-parity ($3/2^-$) and low separation energy (~1 MeV) align with measurements, supporting 29Ne as a deformation-induced halo. From this study, some conclusions are obtained as shown below. The 29Ne’s anomalous structure arises from the synergy of p-wave dominance and quadrupole deformation, which reduces centrifugal barriers and enhances spatial dispersion. The CMR method provides a unified description of bound and resonant states, offering new insights into the island of inversion and halo formation. Future work will include pairing correlations and experimental validation of density distributions. This work advances the understanding of exotic nuclear structures near drip lines and highlights the role of deformation in halo phenomena, which is of great significance for future experiments detecting neutron-rich nuclei. -
Keywords:
- island of inversion /
- halo nucleus /
- complex momentum representation method /
- single particle energy level
[1] Haxel O, Jensen J H D, Suess H E 1949 Phys. Rev. 75 1766
Google Scholar
[2] Mayer M G 1949 Phys. Rev. 75 1969
Google Scholar
[3] 丁斌刚, 张大立, 鲁定辉 2009 物理学报 58 865
Google Scholar
Ding B G, Zhang D L, Lu D H 2009 Acta Phys. Sin. 58 865
Google Scholar
[4] 孙帅, 安荣, 祁淼, 曹李刚, 张丰收 2025 物理学报 74 032101
Google Scholar
Sun S, An R, Qi M, Cao L G, Zhang F S 2025 Acta Phys. Sin. 74 032101
Google Scholar
[5] Poves A, Retamosa J 1987 Phys. Lett. B 184 311
Google Scholar
[6] Tripathi V, Tabor S L, Mantica P F, et al. 2007 Phys. Rev. C 76 021301(R
Google Scholar
[7] Brown B A 2001 Prog. Part. Nucl. Phys. 47 517
Google Scholar
[8] Otsuka T, Honma M, Mizusaki T, Shimizu N, Utsuno Y 2001 Prog. Part. Nucl. Phys. 47 319
Google Scholar
[9] Liu H N, Lee J, Doornenbal P, et al. 2017 Phys. Lett. B 767 58
Google Scholar
[10] Zhi Q J, Zhang X P 2009 Nucl. Phys. Rev. 26 275
Google Scholar
[11] Warturbon E K, Becker J A, Brown B A 1990 Phys. Rev. C 41 1147
Google Scholar
[12] Moiseyev N, Corcoran C 1979 Phys. Rev. A 20 814
Google Scholar
[13] 刘建业, 郭文军, 邢永忠, 李希国, 左维 2006 物理学报 55 1068
Google Scholar
Liu J Y, Guo W J, Xing Y Z, Li X G, Zuo W 2006 Acta Phys. Sin. 55 1068
Google Scholar
[14] Tanihata I, Hamagaki H, Hashimoto O, et al. 1985 Phys. Rev. Lett. 55 2676
Google Scholar
[15] Sagawa H 1992 Phys. Lett. B 286 7
Google Scholar
[16] Meng J, Ring P 1996 Phys. Rev. Lett. 77 3963
Google Scholar
[17] Pöschl W, Vretenar D, Lalazissis G A, Ring P 1997 Phys. Rev. Lett. 79 3841
Google Scholar
[18] Meng J, Ring P 1998 Phys. Rev. Lett. 80 460
Google Scholar
[19] 林承键, 张焕乔, 刘祖华, 吴岳伟, 杨峰, 阮明 2003 物理学报 52 823
Google Scholar
Lin C J, Zhang H Q, Liu Z H, Wu Y W, Yang F, Ruan M 2003 Acta Phys. Sin. 52 823
Google Scholar
[20] Zhang H F, Gao Y, Wang N, Li J Q, Zhao E G, Royer G 2012 Phys. Rev. C 85 014325
Google Scholar
[21] Zhou S G, Meng J, Ring P, Zhao E G 2010 Phys. Rev. C 82 011301(R
Google Scholar
[22] Hamamoto I 2010 Phys. Rev. C 81 021304(R
Google Scholar
[23] Tian Y J, Liu Q, Heng T H, Guo J Y 2017 Phys. Rev. C 95 064329
Google Scholar
[24] 李楚良, 段宜武, 黄笃之 1994 物理学报 43 14
Google Scholar
Li C L, Duan Y W, Huang D Z 1994 Acta Phys. Sin. 43 14
Google Scholar
[25] 任中洲, 徐躬耦 1991 物理学报 40 1229
Google Scholar
Ren Z Z, Xu G O 1991 Acta Phys. Sin. 40 1229
Google Scholar
[26] Kubota Y, Corsi A, Authelet G, et al. 2020 Phys. Rev. Lett. 125 252501
Google Scholar
[27] Tanihata I, Savajols H, Kanungo R 2013 Prog. Part. Nucl. Phys. 68 215
Google Scholar
[28] Meng J, Zhou S G 2015 J. Phys. G: Nucl. Part. Phys. 42 093101
Google Scholar
[29] Nakamura T, Kobayashi N, Kondo Y, et al. 2014 Phys. Rev. Lett. 112 142501
Google Scholar
[30] Hong J, Bertulani C A, Kruppa A T 2017 Phys. Rev. C 96 064603
Google Scholar
[31] Kobayashi N, Nakamura T, Kondo Y, et al. 2016 Phys. Rev. C 93 014613
Google Scholar
[32] Li J G, Michel N, Li H H, Zuo W 2022 Phys. Lett. B 832 137225
Google Scholar
[33] Wigner E P, Eisenbud L 1947 Phys. Rev. 72 29
Google Scholar
[34] Hale G M, Brown R E, Jarmie N 1987 Phys. Rev. Lett. 59 763
Google Scholar
[35] Taylor J R 1972 Scattering Theory: The Quantum Theory on Nonrelativistic Collisions (New York: Wiley) pp38–55
[36] Cao L J, Ma Z Y 2002 Phys. Rev. C 66 024311
Google Scholar
[37] Humblet J, Filippone B W, Koonin S E 1991 Phys. Rev. C 44 2530
Google Scholar
[38] Masui H, Aoyama S, Myo T, Katō K, Ikeda K 2000 Nucl. Phys. A 673 207
Google Scholar
[39] Lu B N, Zhao E G, Zhou S G 2012 Phys. Rev. Lett. 109 072501
Google Scholar
[40] Lu B N, Zhao E G, Zhou S G 2013 Phys. Rev. C 88 024323
Google Scholar
[41] Li Z P, Meng J, Zhang Y, Zhou S G, Savushkin L N 2010 Phys. Rev. C 81 034311
Google Scholar
[42] Tanaka N, Suzuki Y, Varga K 1997 Phys. Rev. C 56 562
Google Scholar
[43] Zhang S S, Smith M S, Arbanas G, Kozub R L 2012 Phys. Rev. C 86 032802(R
Google Scholar
[44] Zhang S S, Smith M S, Kang Z S, Zhao J 2014 Phys. Lett. B 730 30
Google Scholar
[45] Xu X D, Zhang S S, Signoracci A J, Smith M S, Li Z P 2015 Phys. Rev. C 92 024324
Google Scholar
[46] Hazi A U, Taylor H S 1970 Phys. Rev. A 1 1109
Google Scholar
[47] Mandelshtam V A, Ravuri T R, Taylor H S 1993 Phys. Rev. Lett. 70 1932
Google Scholar
[48] Mandelshtam V A, Taylor H S, Rayboy V, Moiseyev N 1994 Phys. Rev. A 50 2764
Google Scholar
[49] Zhang L, Zhou S G, Meng J, Zhao E G 2008 Phys. Rev. C 77 014312
Google Scholar
[50] 杨威, 丁士缘, 孙保元 2024 物理学报 73 062102
Google Scholar
Yang W, Ding S Y, Sun B Y 2024 Acta Phys. Sin. 73 062102
Google Scholar
[51] Matsuo M 2001 Nucl. Phys. A 696 371
Google Scholar
[52] Sun T T, Zhang S Q, Zhang Y, Hu J N, Meng J 2014 Phys. Rev. C 90 054321
Google Scholar
[53] Sun T T, Qian L, Chen C, Ring P, Li Z P 2020 Phys. Rev. C 101 014321
Google Scholar
[54] Chen C, Li Z P, Li Y X, Sun T T 2020 Chin. Phys. C 44 084105
Google Scholar
[55] Odsuren M, Kikuchi Y, Myo T, Khuukhenkhuu G, Masui H, Katō K 2017 Phys. Rev. C 95 064305
Google Scholar
[56] Myo T, Kikuchi Y, Masui H, Katō K 2014 Prog. Part. Nucl. Phys. 79 1
Google Scholar
[57] Guo J Y, Fang X Z, Jiao P, Wang J, Yao B M 2010 Phys. Rev. C 82 034318
Google Scholar
[58] 刘野, 陈寿万, 郭建友 2012 物理学报 61 112101
Google Scholar
Liu Y, Chen S W, Guo J Y 2012 Acta Phys. Sin. 61 112101
Google Scholar
[59] Li N, Shi M, Guo J Y, Niu Z M, Liang H Z 2016 Phys. Rev. Lett. 117 062502
Google Scholar
[60] Fang Z, Shi M, Guo J Y, Niu Z M, Liang H Z, Zhang S S 2017 Phys. Rev. C 95 024311
Google Scholar
[61] Guo J Y, Liu Q, Niu Z M, Heng T H, Wang Z Y, Shi M, Cao X N 2018 Nucl. Phys. Rev. 35 401
Google Scholar
[62] Dai H M, Cao X N, Liu Q, et al. 2020 Nucl. Phys. Rev. 37 574
Google Scholar
[63] Luo Y X, Fossez K, Liu Q, Guo J Y 2021 Phys. Rev. C 104 014307
Google Scholar
[64] Wei Y M, Liu Q 2023 Nucl. Phys. Rev. 40 188
Google Scholar
[65] Alberto P, Fiolhais M, Malheiro M, Delfino A, Chiapparini M 2001 Phys. Rev. Lett. 86 5015
Google Scholar
[66] Alberto P, Fiolhais M, Malheiro M, Delfino A, Chiapparini M 2002 Phys. Rev. C 65 034307
Google Scholar
[67] Lalazissis G A, König J, Ring P 1997 Phys. Rev. C 55 540
Google Scholar
[68] 王晓伟, 郭建友 2019 物理学报 68 092101
Google Scholar
Wang X W, Guo J Y 2019 Acta Phys. Sin. 68 092101
Google Scholar
[69] Ragnarsson I, Nilsson S G, Sheline R K 1978 Phys. Rep. 45 1
Google Scholar
[70] Butler P A, Nazarewicz W 1996 Rev. Mod. Phys. 68 349
Google Scholar
[71] Luo Y X, Liu Q, Guo J Y 2023 Phys. Rev. C 108 024320
Google Scholar
[72] Cao X N, Ding K M, Shi M, Liu Q, Guo J Y 2020 Phys. Rev. C 102 044313
Google Scholar
[73] Ding K M, Shi M, Guo J Y, Niu Z M, Liang H Z 2018 Phys. Rev. C 98 014316
Google Scholar
[74] 孟杰 1993 物理学报 42 368
Google Scholar
Meng J 1993 Acta Phys. Sin. 42 368
Google Scholar
[75] Sun T T, Liu Z X, Qian L, Wang B, Zhang W 2019 Phys. Rev. C 99 054316
Google Scholar
-
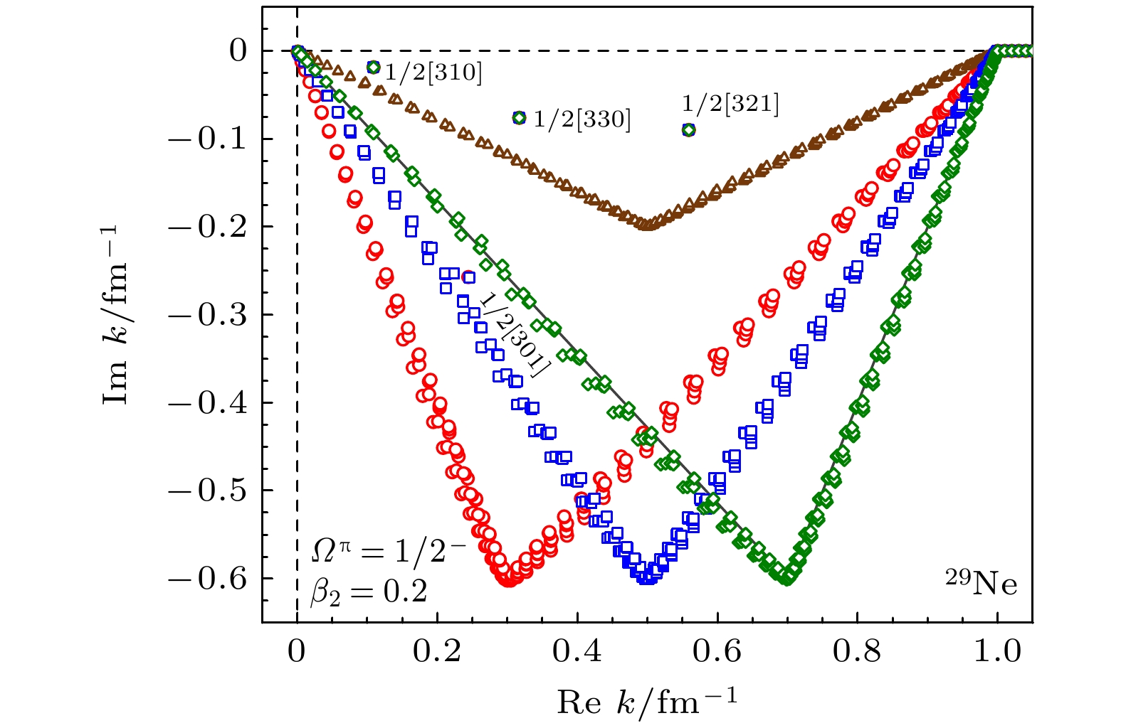
图 1 复动量平面上$ \varOmega^\pi = 1/2^- $态在$ \beta_2 = 0.2 $时的单粒子谱图. 红色空心圆形、蓝色空心方形、绿色空心菱形和棕色空心三角分别代表从4条不同积分路径上分离出的共振态
Figure 1. Single-particle spectrum of $ \varOmega^\pi = 1/2^- $ states in the complex momentum plane at $ \beta_2 = 0.2 $. The red hollow circles, blue hollow squares, green hollow diamonds, and brown hollow triangles represent resonance states extracted from four different integration paths, respectively.
图 2 29Ne自旋宇称$ \varOmega^\pi = 1/2^\pm $, $ 3/2^\pm $, $ 5/2^\pm $, $ 7/2^\pm $, $ 9/2^\pm $的单粒子态在$ \beta_2 = -0.1 $, $ 0 $, $ 0.1 $, $ 0.2 $下的单粒子谱. 黑色空心圆和暗红色实线分别表示动量积分的连续域边界和积分轮廓线, 其他颜色符号表示计算得到的共振态
Figure 2. Single-particle spectra of $ ^{29} {\rm{Ne}}$ for spin-parity $ \varOmega^\pi = 1/2^\pm $, $ 3/2^\pm $, $ 5/2^\pm $, $ 7/2^\pm $, $ 9/2^\pm $ at $ \beta_2 = -0.1 $, 0, 0.1, 0.2. The black hollow circles and dark red solid lines denote the continuum boundaries and integration contours of momentum, respectively, while other colored symbols indicate calculated resonance states.
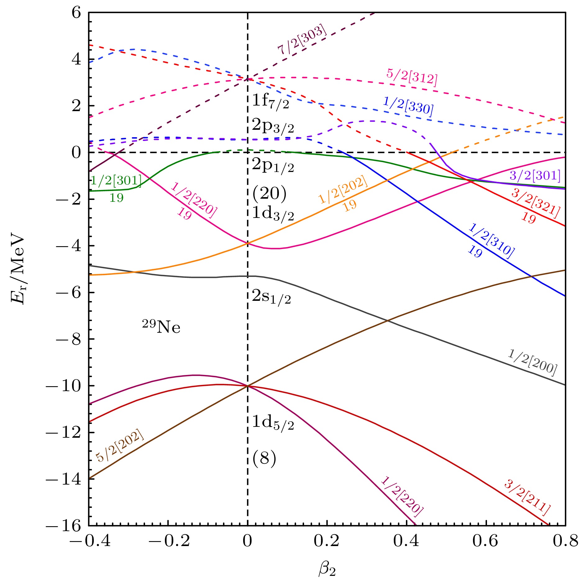
图 3 29Ne的单粒子能级随形变参数$ \beta_2 $的演化. 束缚能级(实线)和共振能级(虚线)用尼尔森标记$ \varOmega[Nn_z\varLambda] $标识, $ \beta_2 = 0 $处标有球形壳层标签
Figure 3. Evolution of single-particle energy levels in $ ^{29} {\rm{Ne}}$ as a function of deformation parameter $ \beta_2 $. Bound levels (solid lines) and resonance levels (dashed lines) are labeled with Nilsson notation $ \varOmega[Nn_z\varLambda] $, with spherical shell-model labels marked at $ \beta_2 = 0 $.
-
[1] Haxel O, Jensen J H D, Suess H E 1949 Phys. Rev. 75 1766
Google Scholar
[2] Mayer M G 1949 Phys. Rev. 75 1969
Google Scholar
[3] 丁斌刚, 张大立, 鲁定辉 2009 物理学报 58 865
Google Scholar
Ding B G, Zhang D L, Lu D H 2009 Acta Phys. Sin. 58 865
Google Scholar
[4] 孙帅, 安荣, 祁淼, 曹李刚, 张丰收 2025 物理学报 74 032101
Google Scholar
Sun S, An R, Qi M, Cao L G, Zhang F S 2025 Acta Phys. Sin. 74 032101
Google Scholar
[5] Poves A, Retamosa J 1987 Phys. Lett. B 184 311
Google Scholar
[6] Tripathi V, Tabor S L, Mantica P F, et al. 2007 Phys. Rev. C 76 021301(R
Google Scholar
[7] Brown B A 2001 Prog. Part. Nucl. Phys. 47 517
Google Scholar
[8] Otsuka T, Honma M, Mizusaki T, Shimizu N, Utsuno Y 2001 Prog. Part. Nucl. Phys. 47 319
Google Scholar
[9] Liu H N, Lee J, Doornenbal P, et al. 2017 Phys. Lett. B 767 58
Google Scholar
[10] Zhi Q J, Zhang X P 2009 Nucl. Phys. Rev. 26 275
Google Scholar
[11] Warturbon E K, Becker J A, Brown B A 1990 Phys. Rev. C 41 1147
Google Scholar
[12] Moiseyev N, Corcoran C 1979 Phys. Rev. A 20 814
Google Scholar
[13] 刘建业, 郭文军, 邢永忠, 李希国, 左维 2006 物理学报 55 1068
Google Scholar
Liu J Y, Guo W J, Xing Y Z, Li X G, Zuo W 2006 Acta Phys. Sin. 55 1068
Google Scholar
[14] Tanihata I, Hamagaki H, Hashimoto O, et al. 1985 Phys. Rev. Lett. 55 2676
Google Scholar
[15] Sagawa H 1992 Phys. Lett. B 286 7
Google Scholar
[16] Meng J, Ring P 1996 Phys. Rev. Lett. 77 3963
Google Scholar
[17] Pöschl W, Vretenar D, Lalazissis G A, Ring P 1997 Phys. Rev. Lett. 79 3841
Google Scholar
[18] Meng J, Ring P 1998 Phys. Rev. Lett. 80 460
Google Scholar
[19] 林承键, 张焕乔, 刘祖华, 吴岳伟, 杨峰, 阮明 2003 物理学报 52 823
Google Scholar
Lin C J, Zhang H Q, Liu Z H, Wu Y W, Yang F, Ruan M 2003 Acta Phys. Sin. 52 823
Google Scholar
[20] Zhang H F, Gao Y, Wang N, Li J Q, Zhao E G, Royer G 2012 Phys. Rev. C 85 014325
Google Scholar
[21] Zhou S G, Meng J, Ring P, Zhao E G 2010 Phys. Rev. C 82 011301(R
Google Scholar
[22] Hamamoto I 2010 Phys. Rev. C 81 021304(R
Google Scholar
[23] Tian Y J, Liu Q, Heng T H, Guo J Y 2017 Phys. Rev. C 95 064329
Google Scholar
[24] 李楚良, 段宜武, 黄笃之 1994 物理学报 43 14
Google Scholar
Li C L, Duan Y W, Huang D Z 1994 Acta Phys. Sin. 43 14
Google Scholar
[25] 任中洲, 徐躬耦 1991 物理学报 40 1229
Google Scholar
Ren Z Z, Xu G O 1991 Acta Phys. Sin. 40 1229
Google Scholar
[26] Kubota Y, Corsi A, Authelet G, et al. 2020 Phys. Rev. Lett. 125 252501
Google Scholar
[27] Tanihata I, Savajols H, Kanungo R 2013 Prog. Part. Nucl. Phys. 68 215
Google Scholar
[28] Meng J, Zhou S G 2015 J. Phys. G: Nucl. Part. Phys. 42 093101
Google Scholar
[29] Nakamura T, Kobayashi N, Kondo Y, et al. 2014 Phys. Rev. Lett. 112 142501
Google Scholar
[30] Hong J, Bertulani C A, Kruppa A T 2017 Phys. Rev. C 96 064603
Google Scholar
[31] Kobayashi N, Nakamura T, Kondo Y, et al. 2016 Phys. Rev. C 93 014613
Google Scholar
[32] Li J G, Michel N, Li H H, Zuo W 2022 Phys. Lett. B 832 137225
Google Scholar
[33] Wigner E P, Eisenbud L 1947 Phys. Rev. 72 29
Google Scholar
[34] Hale G M, Brown R E, Jarmie N 1987 Phys. Rev. Lett. 59 763
Google Scholar
[35] Taylor J R 1972 Scattering Theory: The Quantum Theory on Nonrelativistic Collisions (New York: Wiley) pp38–55
[36] Cao L J, Ma Z Y 2002 Phys. Rev. C 66 024311
Google Scholar
[37] Humblet J, Filippone B W, Koonin S E 1991 Phys. Rev. C 44 2530
Google Scholar
[38] Masui H, Aoyama S, Myo T, Katō K, Ikeda K 2000 Nucl. Phys. A 673 207
Google Scholar
[39] Lu B N, Zhao E G, Zhou S G 2012 Phys. Rev. Lett. 109 072501
Google Scholar
[40] Lu B N, Zhao E G, Zhou S G 2013 Phys. Rev. C 88 024323
Google Scholar
[41] Li Z P, Meng J, Zhang Y, Zhou S G, Savushkin L N 2010 Phys. Rev. C 81 034311
Google Scholar
[42] Tanaka N, Suzuki Y, Varga K 1997 Phys. Rev. C 56 562
Google Scholar
[43] Zhang S S, Smith M S, Arbanas G, Kozub R L 2012 Phys. Rev. C 86 032802(R
Google Scholar
[44] Zhang S S, Smith M S, Kang Z S, Zhao J 2014 Phys. Lett. B 730 30
Google Scholar
[45] Xu X D, Zhang S S, Signoracci A J, Smith M S, Li Z P 2015 Phys. Rev. C 92 024324
Google Scholar
[46] Hazi A U, Taylor H S 1970 Phys. Rev. A 1 1109
Google Scholar
[47] Mandelshtam V A, Ravuri T R, Taylor H S 1993 Phys. Rev. Lett. 70 1932
Google Scholar
[48] Mandelshtam V A, Taylor H S, Rayboy V, Moiseyev N 1994 Phys. Rev. A 50 2764
Google Scholar
[49] Zhang L, Zhou S G, Meng J, Zhao E G 2008 Phys. Rev. C 77 014312
Google Scholar
[50] 杨威, 丁士缘, 孙保元 2024 物理学报 73 062102
Google Scholar
Yang W, Ding S Y, Sun B Y 2024 Acta Phys. Sin. 73 062102
Google Scholar
[51] Matsuo M 2001 Nucl. Phys. A 696 371
Google Scholar
[52] Sun T T, Zhang S Q, Zhang Y, Hu J N, Meng J 2014 Phys. Rev. C 90 054321
Google Scholar
[53] Sun T T, Qian L, Chen C, Ring P, Li Z P 2020 Phys. Rev. C 101 014321
Google Scholar
[54] Chen C, Li Z P, Li Y X, Sun T T 2020 Chin. Phys. C 44 084105
Google Scholar
[55] Odsuren M, Kikuchi Y, Myo T, Khuukhenkhuu G, Masui H, Katō K 2017 Phys. Rev. C 95 064305
Google Scholar
[56] Myo T, Kikuchi Y, Masui H, Katō K 2014 Prog. Part. Nucl. Phys. 79 1
Google Scholar
[57] Guo J Y, Fang X Z, Jiao P, Wang J, Yao B M 2010 Phys. Rev. C 82 034318
Google Scholar
[58] 刘野, 陈寿万, 郭建友 2012 物理学报 61 112101
Google Scholar
Liu Y, Chen S W, Guo J Y 2012 Acta Phys. Sin. 61 112101
Google Scholar
[59] Li N, Shi M, Guo J Y, Niu Z M, Liang H Z 2016 Phys. Rev. Lett. 117 062502
Google Scholar
[60] Fang Z, Shi M, Guo J Y, Niu Z M, Liang H Z, Zhang S S 2017 Phys. Rev. C 95 024311
Google Scholar
[61] Guo J Y, Liu Q, Niu Z M, Heng T H, Wang Z Y, Shi M, Cao X N 2018 Nucl. Phys. Rev. 35 401
Google Scholar
[62] Dai H M, Cao X N, Liu Q, et al. 2020 Nucl. Phys. Rev. 37 574
Google Scholar
[63] Luo Y X, Fossez K, Liu Q, Guo J Y 2021 Phys. Rev. C 104 014307
Google Scholar
[64] Wei Y M, Liu Q 2023 Nucl. Phys. Rev. 40 188
Google Scholar
[65] Alberto P, Fiolhais M, Malheiro M, Delfino A, Chiapparini M 2001 Phys. Rev. Lett. 86 5015
Google Scholar
[66] Alberto P, Fiolhais M, Malheiro M, Delfino A, Chiapparini M 2002 Phys. Rev. C 65 034307
Google Scholar
[67] Lalazissis G A, König J, Ring P 1997 Phys. Rev. C 55 540
Google Scholar
[68] 王晓伟, 郭建友 2019 物理学报 68 092101
Google Scholar
Wang X W, Guo J Y 2019 Acta Phys. Sin. 68 092101
Google Scholar
[69] Ragnarsson I, Nilsson S G, Sheline R K 1978 Phys. Rep. 45 1
Google Scholar
[70] Butler P A, Nazarewicz W 1996 Rev. Mod. Phys. 68 349
Google Scholar
[71] Luo Y X, Liu Q, Guo J Y 2023 Phys. Rev. C 108 024320
Google Scholar
[72] Cao X N, Ding K M, Shi M, Liu Q, Guo J Y 2020 Phys. Rev. C 102 044313
Google Scholar
[73] Ding K M, Shi M, Guo J Y, Niu Z M, Liang H Z 2018 Phys. Rev. C 98 014316
Google Scholar
[74] 孟杰 1993 物理学报 42 368
Google Scholar
Meng J 1993 Acta Phys. Sin. 42 368
Google Scholar
[75] Sun T T, Liu Z X, Qian L, Wang B, Zhang W 2019 Phys. Rev. C 99 054316
Google Scholar
Catalog
Metrics
- Abstract views: 1296
- PDF Downloads: 30
- Cited By: 0









DownLoad: