-
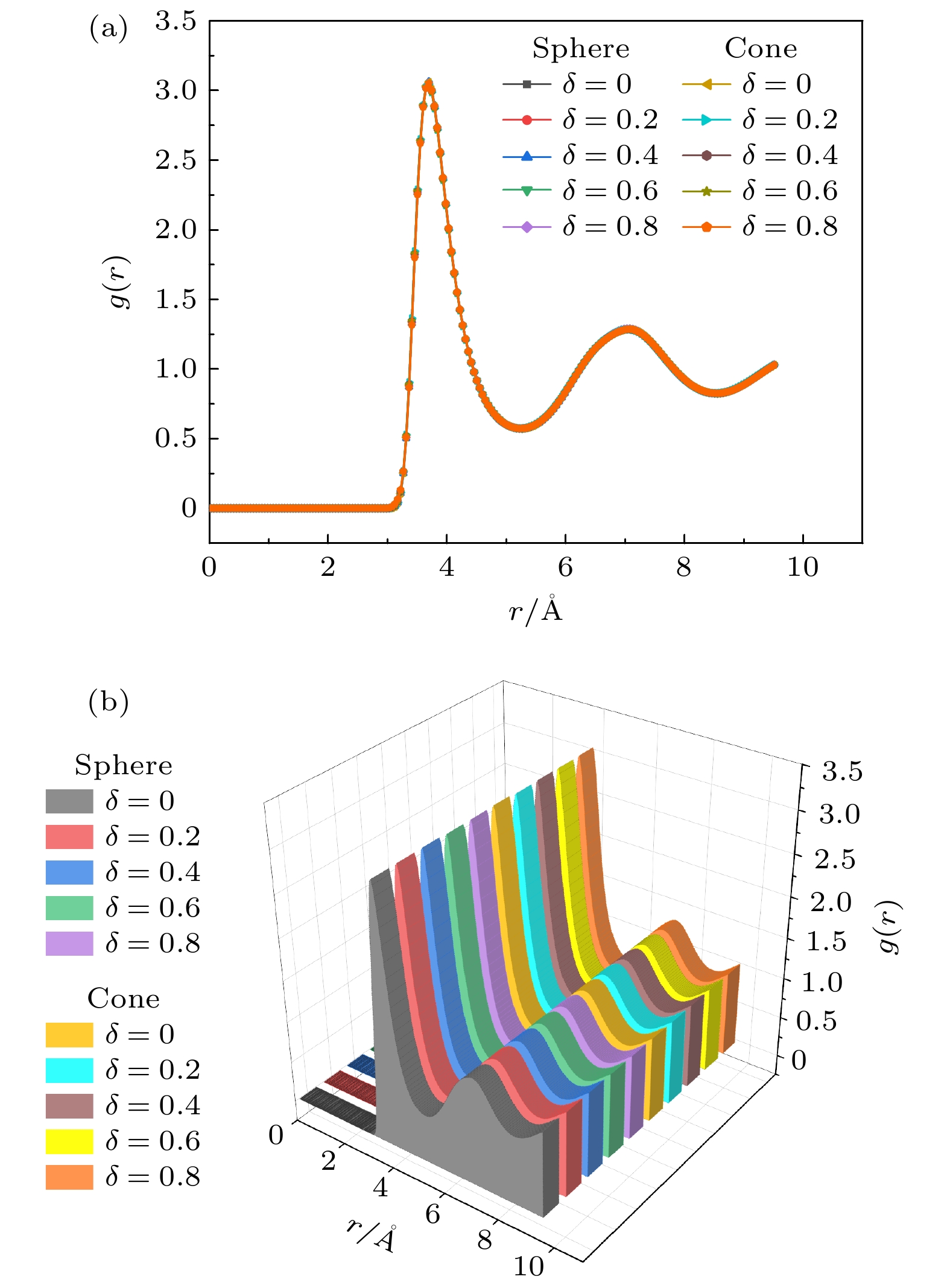
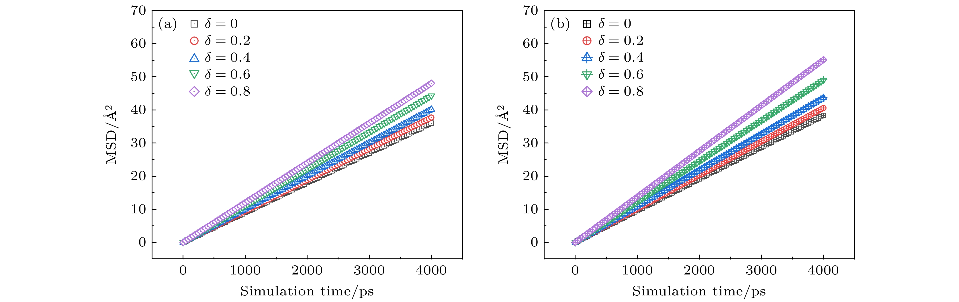
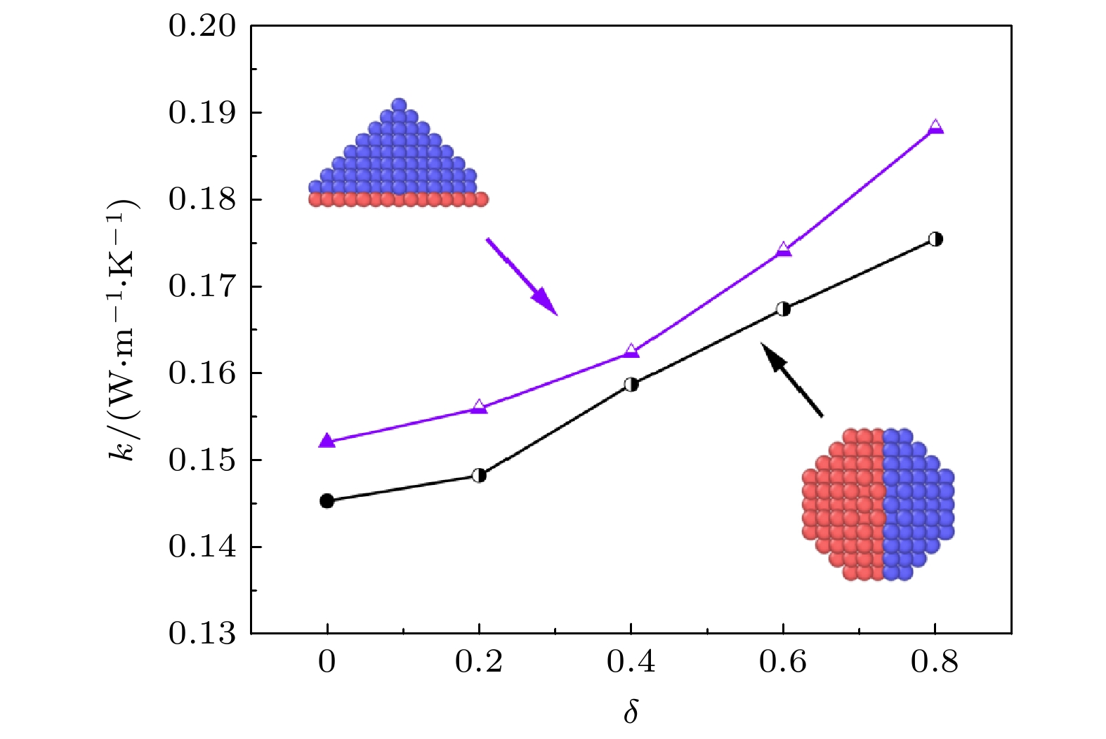
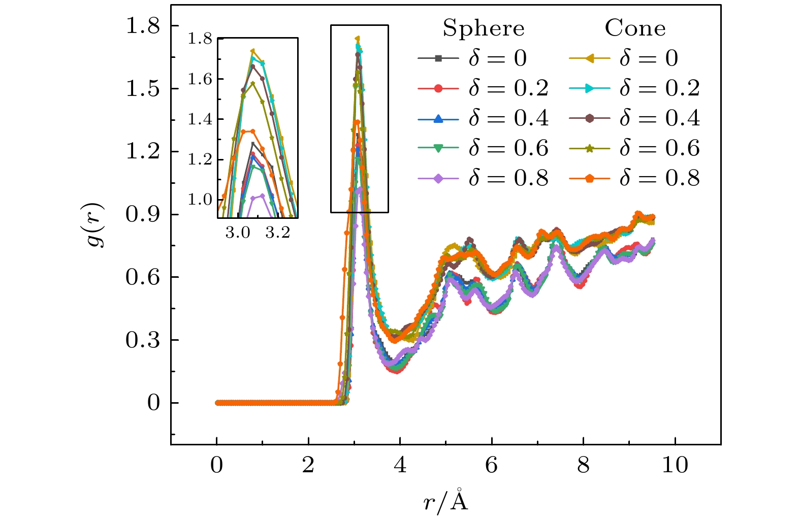
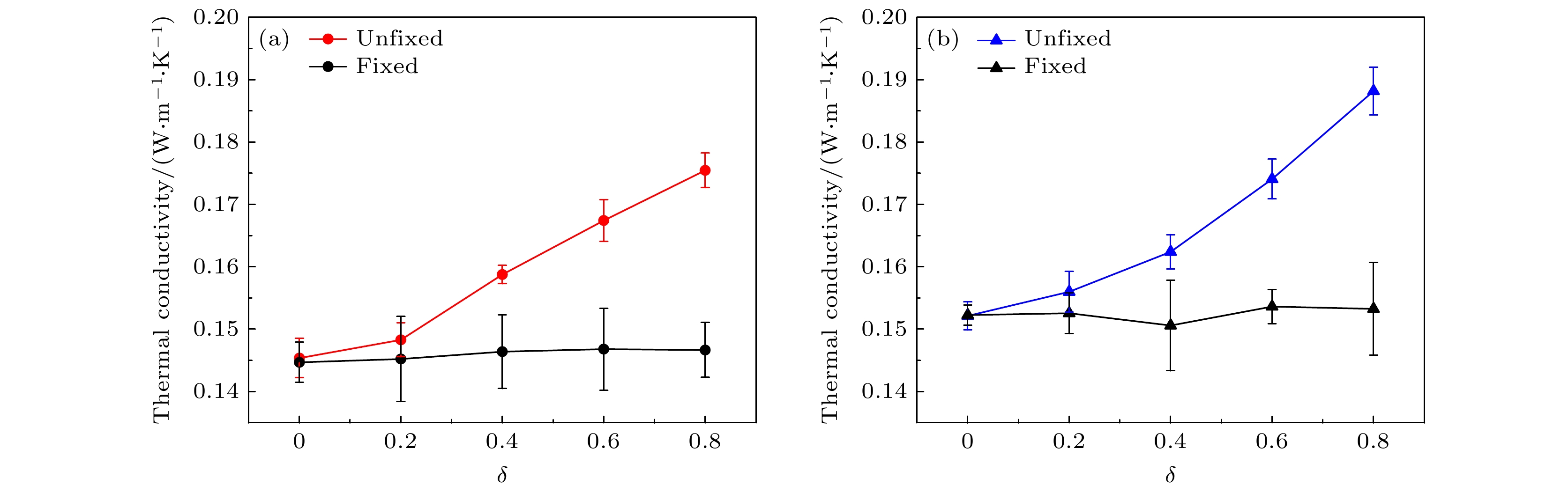
It has been reported that the thermal conductivity of the nanofluids can be enhanced by adding Janus nanoparticles into the base fluid. Additionally, the non-spherical nanoparticles also affect the thermal characteristics of nanofluids. In this work, conical nanoparticles are designed as Janus nanoparticles with hydrophilic side and hydrophobic bottom, which are suspended in the base fluid to form cone-shaped Janus nanofluids. By using molecular dynamics (MD) simulations, it is found that the thermal conductivity of conical Janus nanofluids can be enhanced by 43.4% compared with that of the base fluid, whereas the spherical Janus nanofluids indicate an increase of 33.7% under the same volume fraction. According to MD simulation results of the RDF and diffusion coefficients of solid particle and base fluid, the increased thermal conductivity observed in conical nanofluids can be attributed to the higher liquid layer density and the enhanced Brownian motion of the conical particles. For Janus nanofluids, the asymmetrical structure of Janus nanoparticles leads to higher diffusion coefficient than that of normal particles, which enhances the colliding possibility of Janus nanoparticles with surrounding liquid molecules, thus resulting in enhanced heat transfer in Janus nanofluids. In this paper, both fixed and unfixed particles are considered to explore the influence of particle diffusion on nanofluids. Under the fixed condition, the Brownian motion of the nanoparticles is artificially excluded, while under the unfixed condition, the particle can diffuse in the base liquid. It is found that for both spherical and conical Janus nanofluids, the thermal conductivity of Janus nanofluids gradually increases with the augment of asymmetry parameter δ under unfixed conditions. However, under fixed conditions, the thermal conductivity of Janus nanofluids is almost independent of the parameter δ. Therefore, the enhanced Brownian motion of the non-spherical particles is a likely reason of the increased thermal conductivity observed in conical Janus nanofluids. The combination of non-spherical particles and Janus particles provides a promising idea for designing nanofluids with high thermal conductivity.
-
Keywords:
- nanofluids /
- non-spherical particles /
- Janus particles /
- thermal conductivity /
- molecular dynamics simulation
[1] Wang X F, Ren X X, Qiu C, Cao Y F, Taleb T, Leung V C M 2021 IEEE Netw. 35 280
Google Scholar
[2] Liu M S, Lin M C, Tsai C Y, Wang C C 2006 Int. J. Heat Mass Transf. 49 3028
Google Scholar
[3] Choi S U S, Zhang Z G, Yu W, Lockwood F E, Grulke E A 2001 Appl. Phys. Lett. 79 2252
Google Scholar
[4] Han X F, Lu L W, Yan S Y, Yang X H, Tian R, Zhao X Y 2021 J. Therm. Sci. 30 1581
Google Scholar
[5] Xuan Y M, Li Q 2000 Int. J. Heat Mass Transf. 21 58
Google Scholar
[6] Liu B, Liang W H, Luo Z M, Sarvar S, Fereidooni L, Kasaeian A 2024 Mol. Liq. 414 126052
Google Scholar
[7] Xuan Y M, Duan H L, Li Q 2014 RSC Adv. 4 16206
Google Scholar
[8] Rapp B, Hussam A 2023 J. Appl. Phys. 133 134302
Google Scholar
[9] Dai J H, Zhai Y L, Li Z H, Wang H 2024 J. Mol. Liq. 400 124518
Google Scholar
[10] Yu W, Choi S U S 2004 J. Nanopart. Res. 6 355
Google Scholar
[11] 齐凯, 朱星光, 王军, 夏国栋 2024 物理学报 73 156801
Google Scholar
Qi K, Zhu X G, Wang J, Xia G D 2024 Acta Phys. Sin. 73 156801
Google Scholar
[12] Liu W W, Cui J, Wang J 2023 Phys. Fluids. 35 032004
Google Scholar
[13] Xue L, Keblinski P, Phillpot S R, Choi S U S, Eastman J A 2004 Int. J. Heat Mass Transf. 47 4277
Google Scholar
[14] 张智奇, 钱胜, 王瑞金, 朱泽飞 2019 物理学报 68 054401
Google Scholar
Zhang Z Q, Qian S, Wang R J, Zhu Z F 2019 Acta Phys. Sin. 68 054401
Google Scholar
[15] Karthik V, Sahoo S, Pabi S K, Ghosh S 2013 Int. J. Therm. Sci. 64 53
Google Scholar
[16] 刘旺旺, 张克学, 王军, 夏国栋 2024 物理学报 73 075101
Google Scholar
Liu W W, Zhang K X, Wang J, Xia G D 2024 Acta Phys. Sin. 73 075101
Google Scholar
[17] Wang R J, Qian S, Zhang Z Q 2018 Int. J. Heat Mass Transf. 127 1138
Google Scholar
[18] Dolatabadi N, Rahmani R, Rahnejat H, Garner C P 2019 RSC Adv. 9 2516
Google Scholar
[19] Roni M R H, Shahadat M R B, Morshed A M M 2021 Micro Nano Lett. 16 221
Google Scholar
[20] Li L, Zhang Y W, Ma H B, Yang M 2010 J. Nanopart. Res. 12 811
Google Scholar
[21] Sarkar S, Selvam R P 2007 J. Appl. Phys. 102 074302
Google Scholar
[22] Du J Y, Su Q M, Li L, Wang R J, Zhu Z F 2021 Int. Commun. Heat Mass Transf. 127 105501
Google Scholar
[23] Pang C W, Jung J, Kang Y T 2014 Int. J. Heat Mass Transf. 72 392
Google Scholar
[24] Zhou L, Zhu J W, Zhao Y F, Ma H H 2022 Int. J. Heat Mass Transf. 183 122124
Google Scholar
[25] Wang X W, Xu X F, Choi S U S 1999 J. Thermophys. Heat Transf. 13 474
Google Scholar
[26] Cui W Z, Shen Z J, Yang J G, Wu S H, Bai M L 2014 RSC Adv. 4 55580
Google Scholar
[27] 朱大海, 于伟, 朱桂华, 张迎春, 谢华清 2020 科学通报 65 222
Google Scholar
Zhu D H, Yu W, Zhu G H, Zhang Y C, Xie H Q 2020 Chin. Sci. Bull. 65 222
Google Scholar
[28] 王军, 崔鑫, 夏国栋 2023 北京工业大学学报 49 1116
Google Scholar
Wang J, Cui X, Xia G D 2023 J. Beijing Univ. Technol. 49 1116
Google Scholar
[29] Li D, Hong B Y, Fang W J, Guo Y S, Lin R S 2010 Ind. Eng. Chem. Res. 49 1697
Google Scholar
[30] Murshed S M S, Leong K C, Yang C 2005 Int. J. Therm. Sci. 44 367
Google Scholar
[31] 李康睿, 王军, 夏国栋 2025 物理学报 74 064701
Google Scholar
Li K R, Wang J, Xia G D 2025 Acta Phys. Sin. 74 064701
Google Scholar
[32] Yu L Y, Liu D, Botz F 2012 Exp. Therm. Fluid Sci. 37 72
Google Scholar
[33] 侯泉文, 曹炳阳, 过增元 2009 物理学报 58 7809
Google Scholar
Hou Q W, Cao B Y, Guo Z Y 2009 Acta Phys. Sin. 58 7809
Google Scholar
[34] Jabbari F, Rajabpour A, Saedodin S 2021 Microfluid. Nanofluid. 25 102
Google Scholar
[35] Zhang L Y, Yu Wei, Zhu D H, Xie H Q, Huang G W 2017 J. Nanomater. 2017 5802016
Google Scholar
[36] Cui X, Wang J, Xia G D 2022 Nanoscale 14 99
Google Scholar
[37] Kobayashi Y, Arai N 2019 J. Electrochem. Soc. 166 B3223
Google Scholar
[38] Hong L, Jiang S, Granick S 2006 Langmuir. 22 9495
Google Scholar
[39] Zhao H, Liang F X, Qu X Z, Wang Q, Yang Z Z 2015 Macromolecules. 48 700
Google Scholar
[40] Rudyak V Y, Krasnolutskii S L 2017 Tech. Phys. 62 1456
Google Scholar
[41] Huang J, Sang L X, Yang Q F, Wu Y T 2024 Sol. Energy Mater. Sol. Cells. 277 113150
Google Scholar
[42] Koo J, Kleinstreuer C 2004 J. Nanopart. Res. 6 577
Google Scholar
[43] Naghizadeh J, Rice S A 1962 J. Chem. Phys. 36 2710
Google Scholar
-
-
[1] Wang X F, Ren X X, Qiu C, Cao Y F, Taleb T, Leung V C M 2021 IEEE Netw. 35 280
Google Scholar
[2] Liu M S, Lin M C, Tsai C Y, Wang C C 2006 Int. J. Heat Mass Transf. 49 3028
Google Scholar
[3] Choi S U S, Zhang Z G, Yu W, Lockwood F E, Grulke E A 2001 Appl. Phys. Lett. 79 2252
Google Scholar
[4] Han X F, Lu L W, Yan S Y, Yang X H, Tian R, Zhao X Y 2021 J. Therm. Sci. 30 1581
Google Scholar
[5] Xuan Y M, Li Q 2000 Int. J. Heat Mass Transf. 21 58
Google Scholar
[6] Liu B, Liang W H, Luo Z M, Sarvar S, Fereidooni L, Kasaeian A 2024 Mol. Liq. 414 126052
Google Scholar
[7] Xuan Y M, Duan H L, Li Q 2014 RSC Adv. 4 16206
Google Scholar
[8] Rapp B, Hussam A 2023 J. Appl. Phys. 133 134302
Google Scholar
[9] Dai J H, Zhai Y L, Li Z H, Wang H 2024 J. Mol. Liq. 400 124518
Google Scholar
[10] Yu W, Choi S U S 2004 J. Nanopart. Res. 6 355
Google Scholar
[11] 齐凯, 朱星光, 王军, 夏国栋 2024 物理学报 73 156801
Google Scholar
Qi K, Zhu X G, Wang J, Xia G D 2024 Acta Phys. Sin. 73 156801
Google Scholar
[12] Liu W W, Cui J, Wang J 2023 Phys. Fluids. 35 032004
Google Scholar
[13] Xue L, Keblinski P, Phillpot S R, Choi S U S, Eastman J A 2004 Int. J. Heat Mass Transf. 47 4277
Google Scholar
[14] 张智奇, 钱胜, 王瑞金, 朱泽飞 2019 物理学报 68 054401
Google Scholar
Zhang Z Q, Qian S, Wang R J, Zhu Z F 2019 Acta Phys. Sin. 68 054401
Google Scholar
[15] Karthik V, Sahoo S, Pabi S K, Ghosh S 2013 Int. J. Therm. Sci. 64 53
Google Scholar
[16] 刘旺旺, 张克学, 王军, 夏国栋 2024 物理学报 73 075101
Google Scholar
Liu W W, Zhang K X, Wang J, Xia G D 2024 Acta Phys. Sin. 73 075101
Google Scholar
[17] Wang R J, Qian S, Zhang Z Q 2018 Int. J. Heat Mass Transf. 127 1138
Google Scholar
[18] Dolatabadi N, Rahmani R, Rahnejat H, Garner C P 2019 RSC Adv. 9 2516
Google Scholar
[19] Roni M R H, Shahadat M R B, Morshed A M M 2021 Micro Nano Lett. 16 221
Google Scholar
[20] Li L, Zhang Y W, Ma H B, Yang M 2010 J. Nanopart. Res. 12 811
Google Scholar
[21] Sarkar S, Selvam R P 2007 J. Appl. Phys. 102 074302
Google Scholar
[22] Du J Y, Su Q M, Li L, Wang R J, Zhu Z F 2021 Int. Commun. Heat Mass Transf. 127 105501
Google Scholar
[23] Pang C W, Jung J, Kang Y T 2014 Int. J. Heat Mass Transf. 72 392
Google Scholar
[24] Zhou L, Zhu J W, Zhao Y F, Ma H H 2022 Int. J. Heat Mass Transf. 183 122124
Google Scholar
[25] Wang X W, Xu X F, Choi S U S 1999 J. Thermophys. Heat Transf. 13 474
Google Scholar
[26] Cui W Z, Shen Z J, Yang J G, Wu S H, Bai M L 2014 RSC Adv. 4 55580
Google Scholar
[27] 朱大海, 于伟, 朱桂华, 张迎春, 谢华清 2020 科学通报 65 222
Google Scholar
Zhu D H, Yu W, Zhu G H, Zhang Y C, Xie H Q 2020 Chin. Sci. Bull. 65 222
Google Scholar
[28] 王军, 崔鑫, 夏国栋 2023 北京工业大学学报 49 1116
Google Scholar
Wang J, Cui X, Xia G D 2023 J. Beijing Univ. Technol. 49 1116
Google Scholar
[29] Li D, Hong B Y, Fang W J, Guo Y S, Lin R S 2010 Ind. Eng. Chem. Res. 49 1697
Google Scholar
[30] Murshed S M S, Leong K C, Yang C 2005 Int. J. Therm. Sci. 44 367
Google Scholar
[31] 李康睿, 王军, 夏国栋 2025 物理学报 74 064701
Google Scholar
Li K R, Wang J, Xia G D 2025 Acta Phys. Sin. 74 064701
Google Scholar
[32] Yu L Y, Liu D, Botz F 2012 Exp. Therm. Fluid Sci. 37 72
Google Scholar
[33] 侯泉文, 曹炳阳, 过增元 2009 物理学报 58 7809
Google Scholar
Hou Q W, Cao B Y, Guo Z Y 2009 Acta Phys. Sin. 58 7809
Google Scholar
[34] Jabbari F, Rajabpour A, Saedodin S 2021 Microfluid. Nanofluid. 25 102
Google Scholar
[35] Zhang L Y, Yu Wei, Zhu D H, Xie H Q, Huang G W 2017 J. Nanomater. 2017 5802016
Google Scholar
[36] Cui X, Wang J, Xia G D 2022 Nanoscale 14 99
Google Scholar
[37] Kobayashi Y, Arai N 2019 J. Electrochem. Soc. 166 B3223
Google Scholar
[38] Hong L, Jiang S, Granick S 2006 Langmuir. 22 9495
Google Scholar
[39] Zhao H, Liang F X, Qu X Z, Wang Q, Yang Z Z 2015 Macromolecules. 48 700
Google Scholar
[40] Rudyak V Y, Krasnolutskii S L 2017 Tech. Phys. 62 1456
Google Scholar
[41] Huang J, Sang L X, Yang Q F, Wu Y T 2024 Sol. Energy Mater. Sol. Cells. 277 113150
Google Scholar
[42] Koo J, Kleinstreuer C 2004 J. Nanopart. Res. 6 577
Google Scholar
[43] Naghizadeh J, Rice S A 1962 J. Chem. Phys. 36 2710
Google Scholar
Catalog
Metrics
- Abstract views: 1346
- PDF Downloads: 53
- Cited By: 0









DownLoad: