-
The quantum phonon laser state is a vibrational state generated by phonon coherent amplification technology based on the principles of quantum mechanics. Its core feature is to achieve coherent excitation and manipulation of phonon quantum states through precise control of phonon dynamics. This technology has broken through the classical physical limits of the traditional phonon laser state, providing a brand-new research method for quantum information technology. Previous research on quantum phonon laser states mainly focused on quantum van der Bohr oscillators. Quantum van der Bohr oscillators, as typical representatives of nonlinear quantum systems, have demonstrated significant theoretical value and broad application prospects in trapped-ion systems in recent years. These research breakthroughs not only successfully expand the research scope of traditional nonlinear dynamics to the quantum domain, but more importantly, provide a brand-new experimental platform and theoretical framework for exploring quantum nonlinear phenomena. Although the realization of quantum phonon laser state has been verified in two-ion systems, its practical application still faces significant challenges. The present paper explores how a single trapped ion generates quantum phonon laser states based on the three-level model. By numerically solving the quantum master equation, the steady-state characteristics of the phonon laser state are systematically analyzed, with a focus on the quantum statistical behavior of the system, including the evolution laws of the Wigner quasi-probability distribution function and the second-order correlation function. This paper also presents a specific experimental scheme, which is based on a single trapped 40Ca+ ion and uses a dual-color light field composed of a blue-sideband and a red-sideband lasers to generate quantum phonon laser states. By introducing the characteristic function of motion quantum states, the precise quantum state tomography of phonon laser states is achieved, thus providing a new approach for characterizing quantum states. In addition, there is a two-level model discussing the threshold effect of phonon lasers. However, it is found that the three-level model constructed in the present paper has significantly different phonon laser thresholds compared with the two-level model, and the three-level model can more accurately describe the physical mechanisms of complex quantum phonon laser states. -
Keywords:
- trapped ions /
- Wigner function /
- phonon laser state
[1] Qiao H, Dumur É, Andersson G, Yan H, Chou M H, Grebel J, Conner C R, Joshi Y J, Miller J M, Pover R G, Wu X, Cleland A N 2023 Science 380 1030
Google Scholar
[2] Kuang T F, Huang R, Xiong W, Zuo Y L, Han X, Franco N, Qiu C W, Luo H, Jing H, Xiao G Z 2023 Nat. Phys. 19 414
Google Scholar
[3] Xiao G Z, Kuang T F, He Y T, Chen X L, Xiong W, Han X, Tan Z Q, Luo H, Jing H 2024 eLight 4 17
Google Scholar
[4] Cleland A Y, Wollack E A, Safavi-Naeini A H 2024 Nat. Commun. 15 4979
Google Scholar
[5] Wang H M, Liu X B, Hu S Q, Chen D Q, Chen Q, Zhang C, Guan M X, Meng S 2023 Sci. Adv. 9 33
Google Scholar
[6] Leibfried D, Blatt R, Monroe C, Wineland D 2003 Rev. Mod. Phys. 75 281
Google Scholar
[7] Vahala K, Herrmann M, Knünz S, Batteiger V, Saathoff G, Hänsch T W, Udem Th 2009 Nat. Phys. 5 682
Google Scholar
[8] Xie Y, Wan W, Wu H Y, Zhou F, Chen L, Feng M 2013 Phys. Rev. A 87 053402
Google Scholar
[9] Pikovsky A, Rosenblum M, Kurths J 2001 Synchronization: A Universal Concept in Nonlinear Sciences (Cambridge: Cambridge University Press
[10] Lee T E, Sadeghpour H R 2013 Phys. Rev. Lett. 111 234101
Google Scholar
[11] Knünz S, Herrmann M, Batteiger V, Saathoff1 G, Hänsch T W, Vahala K, Udem Th 2010 Phys. Rev. Lett. 105 013004
Google Scholar
[12] Liu Z C, Wei Y Q, Chen L, Li J, Dai S Q, Zhou F, Feng M 2021 Phys. Rev. Appl. 16 044007
Google Scholar
[13] Zhang Q K, Yang C, Sheng J T, Wu H B 2022 Proc. Natl. Acad. Sci. U.S.A. 52 119
Google Scholar
[14] Ripin A, Peng R, Zhang X W, Chakravarthi S, He M H, Xu X D, Fu K M, Cao T, Li M 2023 Nat. Nanotechnol. 18 1020
Google Scholar
[15] Häffner H, Roos C F, Blatt R 2008 Phys. Rep. 469 155
Google Scholar
[16] Blatt R, Roos C F 2012 Nat. Phys. 8 277
Google Scholar
[17] Monroe C, Kim J 2013 Science 339 1164
Google Scholar
[18] Akerman N, Kotler S, Glickman Y, Dallal Y, Keselman A, Ozeri R 2010 Phys. Rev. A 82 061402
Google Scholar
[19] Lee T E, Cross M C 2011 Phys. Rev. Lett. 106 143001
Google Scholar
[20] Li Y T, Li H H, Zhu Y, Zhang M, Yang J Z 2011 Phys. Rev. E 84 066212
Google Scholar
[21] Lin G D, Duan L M 2011 New J. Phys. 13 075015
Google Scholar
[22] Petri C, Meyer S, Lenz F, Schmelcher P 2011 New J. Phys. 13 023006
Google Scholar
[23] Dutta S, Cooper N R 2019 Phys. Rev. Lett. 123 250401
Google Scholar
[24] Wächtler C W, Platero G 2023 Phys. Rev. Res. 5 023021
Google Scholar
[25] Grudinin I S, Lee H, Painter O, Vahala K J 2010 Phys. Rev. Lett. 104 083901
Google Scholar
[26] Kemiktarak U, Durand M, Metcalfe M, Lawall J 2014 Phys. Rev. Lett. 113 030802
Google Scholar
[27] Cohen J D, Meenehan S M, MacCabe G S, Gröblacher S, Safavi-Naeini A H, Marsili F, Shaw M D, Painter O 2015 Nature 520 522
Google Scholar
[28] Pettit R M, Ge W C, Kumar P, Luntz-Martin D R, Schultz J T, Neukirch L P, Bhattacharya M, Vamivakas A N 2019 Nat. Photonics 13 402
Google Scholar
[29] Wen Y T, Ares N, Schupp F J, Pei T, Briggs G A D, Laird E A 2020 Nat. Phys. 16 75
Google Scholar
[30] Behrle T, Nguyen T L, Reiter F, Baur D, Neeve B, Stadler M, Marinelli M, Lancellotti F, Yelin S F, Home J P 2023 Phys. Rev. Lett. 131 043605
Google Scholar
[31] Flühmann C, Home J P 2020 Phys. Rev. Lett. 125 043602
Google Scholar
[32] He S W, Deng Z J, Xie Y, Wang Y Y, Chen P X 2024 Opt. Express. 32 13998
Google Scholar
[33] 何思文 2024 硕士学位论文 (长沙: 国防科技大学)
He S W 2024 M. S. Thesis (Changsha: National University of Defense Technology
[34] Loudon R 2000 The Quantum Theory of Light (Oxford: Oxford University Press
[35] Scully M O, Zubairy M S 1997 Quantum Optics (Cambridge, England: Cambridge University Press
[36] Xie J, Zhang A N, Cao N P, Xu H C, Zheng K M, Poon Y T, Sze N S, Xu P, Zeng B, Zhang L J 2020 Phys. Rev. Lett. 125 150401
Google Scholar
[37] 张智明 2015 量子光学(北京: 科学出版社)第126页
Zhang Z M 2015 Quantum Optics (Beijing: Science Press) p126
-
图 1 生成量子声子激光态的三能级模型 (a) 双色光场产生声子激光态示意图. 蓝色和红色箭头线分别表示蓝边带加热和红边带冷却的激光场, 加热和冷却相互竞争以保持声子激光态的稳定振幅. (b) 离子能级结构
Figure 1. Three-level model for generating quantum phonon laser. (a) Schematic diagram of phonon laser generated by two-color light field. The ion vibrates in the potential well, where the blue-sideband heating and red-sideband cooling processes of the ion are represented by blue and red arrows, respectively, and the heating and cooling compete with each other to maintain a stable amplitude of the phonon laser. (b) The internal energy level structure of the ion.
图 2 (a) 相图, 其中横、纵坐标都取以10为底的对数. A区域为热态区域, B区域为声子激光态区域, C区域为结果不收敛区域, 虚曲线L1是热态与声子激光态的分界线, 虚曲线L2则为声子数是否收敛的分界线; (b) 平均声子数随${g_{\text{h}}}$的变化, 其中平均声子数取以10为底的对数. 平均声子数先是快速上升, 之后会迅速收敛至稳定值; (c) D1(–0.824, 0.301)点的稳态Wigner准概率分布, 对应参数为${g_{\text{h}}} = 0.15$, ${g_{\text{c}}} = 2$; (d) D2(0.477, 0.301)点的稳态Wigner准概率分布, 对应参数为${g_{\text{h}}} = 3$, ${g_{\text{c}}} = 2$
Figure 2. (a) Phase diagram, where the horizontal and vertical coordinates and the average number of phonons are denoted by logarithms with base 10. Number of truncation is 600. Region A is the thermal state region, region B is the phonon laser region, and region C is the non-converging region. The dashed curve L1 is the boundary between the thermal state and the phonon laser, and the dashed curve L2 is the boundary between the converging and diverging regions; (b) the mean phonon number changes with ${g_{\text{h}}}$. The average phonon number first goes up quickly, and then converges to a stable value; (c) D1(–0.8239, 0.301) steady state Wigner quasi-probability distribution, with the parameters ${g_{\text{h}}} = 0.15, {\text{ }}{g_{\text{c}}} = 2$; (d) D2(0.4771, 0.301) steady state Wigner quasi-probability distribution, with the parameters ${g_{\text{h}}} = 3, {\text{ }}{g_{\text{c}}} = 2$.
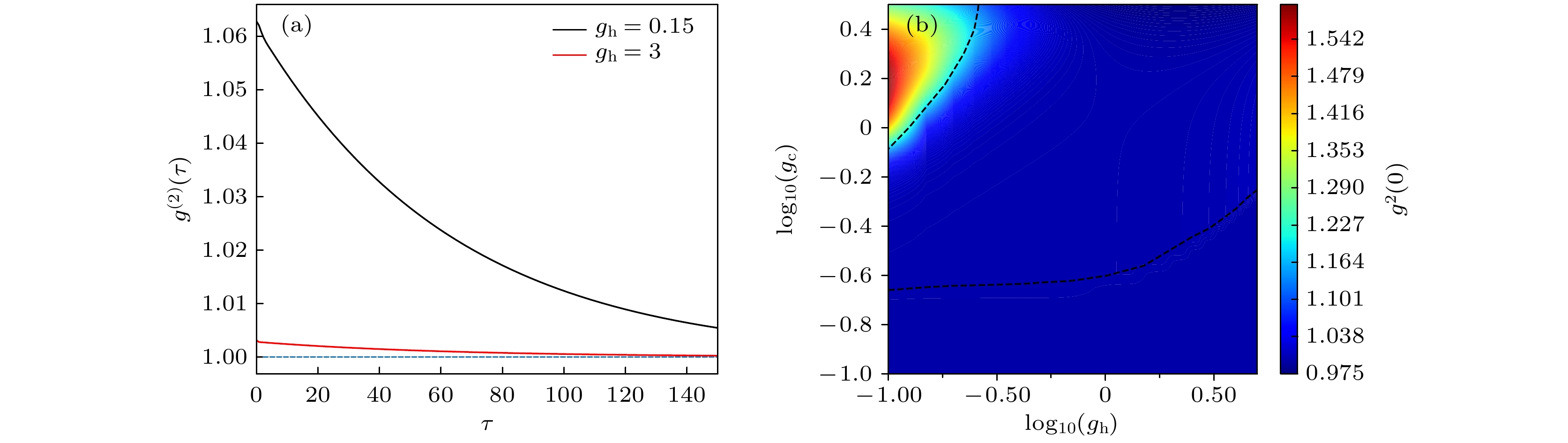
图 3 (a)声子激光态阈值上下的二阶关联函数${g^{(2)}}(\tau )$, 相关参数${g_{\text{c}}} = 2$; (b) 零时间延迟情况下的二阶关联函数${g^{(2)}}(0)$
Figure 3. (a) Second-order correlation function ${g^{(2)}}(\tau )$ above and below the phonon laser threshold, where the parameter is ${g_{\text{c}}} = 2$; (b) second-order correlation function ${g^{(2)}}(0)$ with zero time delay.
图 4 (a) 40Ca+内部能级结构图. 蓝线和红线分别代表蓝边带加热和红边带冷却. (b)蓝边带加热和红边带冷却过程的示意图
Figure 4. (a) Internal energy level scheme. The blue and red lines represent blue-sideband heating and red-sideband cooling, respectively. (b) Schematic diagram of the blue-sideband heating process and the red-sideband cooling process.
-
[1] Qiao H, Dumur É, Andersson G, Yan H, Chou M H, Grebel J, Conner C R, Joshi Y J, Miller J M, Pover R G, Wu X, Cleland A N 2023 Science 380 1030
Google Scholar
[2] Kuang T F, Huang R, Xiong W, Zuo Y L, Han X, Franco N, Qiu C W, Luo H, Jing H, Xiao G Z 2023 Nat. Phys. 19 414
Google Scholar
[3] Xiao G Z, Kuang T F, He Y T, Chen X L, Xiong W, Han X, Tan Z Q, Luo H, Jing H 2024 eLight 4 17
Google Scholar
[4] Cleland A Y, Wollack E A, Safavi-Naeini A H 2024 Nat. Commun. 15 4979
Google Scholar
[5] Wang H M, Liu X B, Hu S Q, Chen D Q, Chen Q, Zhang C, Guan M X, Meng S 2023 Sci. Adv. 9 33
Google Scholar
[6] Leibfried D, Blatt R, Monroe C, Wineland D 2003 Rev. Mod. Phys. 75 281
Google Scholar
[7] Vahala K, Herrmann M, Knünz S, Batteiger V, Saathoff G, Hänsch T W, Udem Th 2009 Nat. Phys. 5 682
Google Scholar
[8] Xie Y, Wan W, Wu H Y, Zhou F, Chen L, Feng M 2013 Phys. Rev. A 87 053402
Google Scholar
[9] Pikovsky A, Rosenblum M, Kurths J 2001 Synchronization: A Universal Concept in Nonlinear Sciences (Cambridge: Cambridge University Press
[10] Lee T E, Sadeghpour H R 2013 Phys. Rev. Lett. 111 234101
Google Scholar
[11] Knünz S, Herrmann M, Batteiger V, Saathoff1 G, Hänsch T W, Vahala K, Udem Th 2010 Phys. Rev. Lett. 105 013004
Google Scholar
[12] Liu Z C, Wei Y Q, Chen L, Li J, Dai S Q, Zhou F, Feng M 2021 Phys. Rev. Appl. 16 044007
Google Scholar
[13] Zhang Q K, Yang C, Sheng J T, Wu H B 2022 Proc. Natl. Acad. Sci. U.S.A. 52 119
Google Scholar
[14] Ripin A, Peng R, Zhang X W, Chakravarthi S, He M H, Xu X D, Fu K M, Cao T, Li M 2023 Nat. Nanotechnol. 18 1020
Google Scholar
[15] Häffner H, Roos C F, Blatt R 2008 Phys. Rep. 469 155
Google Scholar
[16] Blatt R, Roos C F 2012 Nat. Phys. 8 277
Google Scholar
[17] Monroe C, Kim J 2013 Science 339 1164
Google Scholar
[18] Akerman N, Kotler S, Glickman Y, Dallal Y, Keselman A, Ozeri R 2010 Phys. Rev. A 82 061402
Google Scholar
[19] Lee T E, Cross M C 2011 Phys. Rev. Lett. 106 143001
Google Scholar
[20] Li Y T, Li H H, Zhu Y, Zhang M, Yang J Z 2011 Phys. Rev. E 84 066212
Google Scholar
[21] Lin G D, Duan L M 2011 New J. Phys. 13 075015
Google Scholar
[22] Petri C, Meyer S, Lenz F, Schmelcher P 2011 New J. Phys. 13 023006
Google Scholar
[23] Dutta S, Cooper N R 2019 Phys. Rev. Lett. 123 250401
Google Scholar
[24] Wächtler C W, Platero G 2023 Phys. Rev. Res. 5 023021
Google Scholar
[25] Grudinin I S, Lee H, Painter O, Vahala K J 2010 Phys. Rev. Lett. 104 083901
Google Scholar
[26] Kemiktarak U, Durand M, Metcalfe M, Lawall J 2014 Phys. Rev. Lett. 113 030802
Google Scholar
[27] Cohen J D, Meenehan S M, MacCabe G S, Gröblacher S, Safavi-Naeini A H, Marsili F, Shaw M D, Painter O 2015 Nature 520 522
Google Scholar
[28] Pettit R M, Ge W C, Kumar P, Luntz-Martin D R, Schultz J T, Neukirch L P, Bhattacharya M, Vamivakas A N 2019 Nat. Photonics 13 402
Google Scholar
[29] Wen Y T, Ares N, Schupp F J, Pei T, Briggs G A D, Laird E A 2020 Nat. Phys. 16 75
Google Scholar
[30] Behrle T, Nguyen T L, Reiter F, Baur D, Neeve B, Stadler M, Marinelli M, Lancellotti F, Yelin S F, Home J P 2023 Phys. Rev. Lett. 131 043605
Google Scholar
[31] Flühmann C, Home J P 2020 Phys. Rev. Lett. 125 043602
Google Scholar
[32] He S W, Deng Z J, Xie Y, Wang Y Y, Chen P X 2024 Opt. Express. 32 13998
Google Scholar
[33] 何思文 2024 硕士学位论文 (长沙: 国防科技大学)
He S W 2024 M. S. Thesis (Changsha: National University of Defense Technology
[34] Loudon R 2000 The Quantum Theory of Light (Oxford: Oxford University Press
[35] Scully M O, Zubairy M S 1997 Quantum Optics (Cambridge, England: Cambridge University Press
[36] Xie J, Zhang A N, Cao N P, Xu H C, Zheng K M, Poon Y T, Sze N S, Xu P, Zeng B, Zhang L J 2020 Phys. Rev. Lett. 125 150401
Google Scholar
[37] 张智明 2015 量子光学(北京: 科学出版社)第126页
Zhang Z M 2015 Quantum Optics (Beijing: Science Press) p126
Catalog
Metrics
- Abstract views: 1233
- PDF Downloads: 29
- Cited By: 0









DownLoad: