-
Refractory multi-principal element alloys (RMPEAs)have become a hotspot in materials science research in recent years due to their excellent high-temperature mechanical properties and broad application prospects. However, the unique deformation mechanisms and mechanical behaviors of the NbTaTiZr quaternary RMPEA under extreme conditions such as high temperature and high strain rate are still unclear, limiting its further design and engineering applications. In order to reveal in depth the dynamic response of this alloy on an atomic scale, this study develops a high-accuracy machine learning potential (MLP) for the NbTaTiZr quaternary alloy and combines it with large-scale molecular dynamics (MD) simulations to systematically investigate the effects of crystallographic orientation, strain rate, temperature, and chemical composition on the mechanical properties and microstructural evolution mechanisms of the alloy under compressive loading. The results show that the NbTaTiZr alloy exhibits significant mechanical and structural anisotropy during uniaxial compression. The alloy exhibits the highest yield strength when loaded along the [111] crystallographic direction, while it shows the lowest yield strength when compressed along the [110] direction, where twinning is more likely to occur. Under compression along the [100] direction, the primary deformation mechanisms include local disordering transitions and dislocation slip, with 1/2$ \left\langle{111}\right\rangle $ dislocations being the dominant type. When the strain rate increases to 1010 s–1, the yield strength of the alloy is significantly enhanced, accompanied by a notable increase in the proportion of amorphous or disordered structures, indicating that high strain rate loading suppresses dislocation nucleation and motion while promoting disordering transitions. Simulations at varying temperatures indicate that the alloy maintains a high strength level even at temperatures as high as 2100 K. Compositional analysis further indicates that increasing the atomic percentage of Nb or Ta effectively enhances the yield strength of the alloy, whereas an increase in Ti or Zr content adversely affects the strength. By combining MLP with MD methods, this study elucidates the anisotropic characteristics of the mechanical behavior and the strain rate dependence of disordering transitions in the NbTaTiZr RMPEA under combination of high strain rate and high temperature, providing an important theoretical basis and simulation foundation for optimizing and designing novel material under extreme environments.
-
Keywords:
- multi-principal-element alloys /
- isothermal compression /
- machine learning potential /
- mechanical properties
[1] Senkov O N, Wilks G B, Miracle D B, Chuang C P, Liaw P K 2010 Intermetallics 18 1758
Google Scholar
[2] Senkov O N, Scott J M, Senkova S V, Miracle D B, Woodward C F 2011 J. Alloys Compd. 509 6043
Google Scholar
[3] Senkov O N, Senkova S V, Woodward C, Miracle D B 2013 Acta Mater. 61 1545
Google Scholar
[4] Li X G, Chen C, Zheng H, Zuo Y X, Ong S Y P 2020 npj Comput. Mater. 6 10
Google Scholar
[5] Senkov O N, Wilks G B, Scott J M, Miracle D B 2011 Intermetallics 19 698
Google Scholar
[6] Senkov O N, Scott J M, Senkova S V, Meisenkothen F, Miracle D B, Woodward C F 2012 J. Mater. Sci. 47 4062
Google Scholar
[7] Shittu J, Rietema C J, Juhasz M, Ellyson B, Elder K L M, Bocklund B J, Sims Z C, Li T T, Henderson H B, Berry J 2024 J. Alloys Compd. 977 11
Google Scholar
[8] 郭孜涵, 陈闯, 涂益良, 唐恩凌 2024 高压物理学报 38 102
Guo Z H, Chen C, Tu Y L, Tang E L 2024 Chin. J. High Pressure Phys. 38 102
[9] 罗小平, 李绪海, 唐泽明, 李治国, 陈森, 王媛, 俞宇颖, 胡建波 2024 高压物理学报 38 064101
Luo X P, Li X H, Tang Z M, Li Z G, Chen S, Wang Y, Yu Y Y, Hu J B 2024 Chin. J. High Pressure Phys. 38 064101
[10] Xiang T, Cai Z Y, Du P, Li K, Zhang Z W, Xie G Q 2021 J. Mater. Sci. Technol 90 150
Google Scholar
[11] Wang H, Niu Z Y, Chen C G, Chen H Q, Zhu X Y, Zhou F, Zhang X B, Liu X J, Wu Y, Jiang S H 2022 Mater. Charact. 193 112265
Google Scholar
[12] Wu Y N, Zhang Y, Li Z Y, Liu Z, Zhao E J, Liu J S 2024 J. Mater. Res. Technol. 30 8854
Google Scholar
[13] Wang R X, Tang Y, Li S, Zhang H, Ye Y C, Zhu L A, Ai Y L, Bai S X 2019 Mater. Des. 162 256
Google Scholar
[14] 王睿鑫 2018 硕士学位论文 (长沙: 国防科技大学)
Wang R X 2018 M.S. Thesis (Changsha: National University of Defense Technology
[15] Wang R X, Tang Y, Li S, Ai Y L, Li Y Y, Xiao B, Zhu L A, Liu X Y, Bai S X 2020 J. Alloys Compd. 825 154099
Google Scholar
[16] Lo K, Murakami H, Glatzel U, Yeh J, Gorsse S, Yeh A C 2022 Int. J. Refract. Met. Hard Mater 108 105918
Google Scholar
[17] 刘泽涛, 陈博, 令伟栋, 包南云, 康冬冬, 戴佳钰 2022 物理学报 71 037102
Google Scholar
Liu Z T, Chen B, Ling W D, Bao N Y, Kang D D, Dai J Y 2022 Acta Phys. Sin. 71 037102
Google Scholar
[18] 闻鹏, 陶钢 2022 物理学报 71 246101
Google Scholar
Wen P, Tao G 2022 Acta Phys. Sin. 71 246101
Google Scholar
[19] Zhou X Y, Wu H H, Wu Y, Liu X J, Peng X Y, Hou S, Lu Z P 2024 Acta Mater. 281 120364
Google Scholar
[20] 李甲, 冯慧, 陈阳, 李理, 田圆圆, 谭福盛, 彭静, 陈浩天, 方棋洪 2020 固体力学学报 41 16
Li J, Feng H, Chen Y, Li L, Tian Y Y, Tan F S, Peng J, Chen H T, Fang Q H 2020 Chin. J. Solid Mech. 41 16
[21] Ferrari A, Körmann F, Asta M, Neugebauer J 2023 Nat. Comput. Sci. 3 221
Google Scholar
[22] Wen T Q, Zhang L F, Wang H, Weinan E, Srolovitz D J 2022 Mater. Futures 1 022601
Google Scholar
[23] Qiu R, Zeng Q Y, Han J S, Chen K, Kang D D, Yu X X, Dai J Y 2025 Phys. Rev. B 111 064103
Google Scholar
[24] Chang X J, Chen B, Zeng Q Y, Wang H, Chen K G, Tong Q C, Yu X X, Kang D D, Zhang S, Guo F Y, Hou Y, Zhao Z X, Yao Y S, Ma Y M, Dai J Y 2024 Nat. Commun. 15 8543
Google Scholar
[25] Chang X J, Kang D D, Chen B, Dai J Y 2025 Chin. Phys. Lett. 42 053704
Google Scholar
[26] Guo F Y, Chen B, Zeng Q Y, Yu X X, Chen K G, Kang D D, Du Y, Wu J H, Dai J Y 2023 J. Chem. Phys. 159 204702
Google Scholar
[27] Wu L P, Li T 2024 J. Mech. Phys. Solids 187 105639
Google Scholar
[28] Wang T Y, Li J Y, Wang M, Li C Z, Su Y Q, Xu S Q, Li X G 2024 npj Comput. Mater. 10 143
Google Scholar
[29] Xiao R L, Wang Q, Qin J Y, Zhao J F, Ruan Y, Wang H P, Li H, Wei B 2023 J. Appl. Phys. 133 085102
Google Scholar
[30] Zhang Y Z, Wang H D, Chen W J, Zeng J Z, Zhang L F, Wang H, Weinan E 2019 Comput. Phys. Commun. 253 107206
Google Scholar
[31] Yang F H, Zeng Q Y, Chen B, Kang D D, Zhang S, Wu J H, Yu X X, Dai J Y 2022 Chin. Phys. Lett. 39 116301
Google Scholar
[32] Han J, Zeng Q Y, Chen K, Yu X, Dai J Y 2023 Nanomaterials 13 1576
Google Scholar
[33] 曾启昱, 陈博, 康冬冬, 戴佳钰 2023 物理学报 72 187102
Google Scholar
Zeng Q Y, Chen B, Kang D D, Dai J Y 2023 Acta Phys. Sin. 72 187102
Google Scholar
[34] 高天雨, 曾启昱, 陈博, 康冬冬, 戴佳钰 2024 金属学报 60 1439
Gao T Y, Zeng Q Y, Chen B, Kang D D, Dai J Y 2024 Acta Metall. Sin. 60 1439
[35] Kresse G, Furthmüller J 1996 Phys. Rev. B 54 11169
Google Scholar
[36] Kresse G, Furthmüller J 1996 Comput. Mater. Sci 6 15
Google Scholar
[37] Perdew J P, Burke K, Ernzerhof M 1996 Phys. Rev. Lett. 77 3865
Google Scholar
[38] Kresse G, Joubert D 1999 Phys. Rev. B 59 1758
Google Scholar
[39] Zeng J Z, Zhang D, Lu D H, et al. 2023 J. Chem. Phys. 159 054801
Google Scholar
[40] Zhang D, Bi H R, Dai F Z, Jiang W R, Liu X Z, Zhang L F, Wang H 2024 npj Comput. Mater. 10 94
Google Scholar
[41] Wang V, Xu N, Liu J C, Tang G, Geng W T 2019 Comput. Phys. Commun. 267 108033
Google Scholar
[42] Stukowski A 2009 Modell. Simul. Mater. Sci. Eng. 18 015012
Google Scholar
[43] Stukowski A 2012 Modell. Simul. Mater. Sci. Eng. 20 045021
Google Scholar
[44] Stukowski A, Bulatov V V, Arsenlis A 2012 Modell. Simul. Mater. Sci. Eng. 20 085007
Google Scholar
[45] Liu X R, Chang L, Ma T H, Zhou C Y 2023 Mater. Today Commun. 36 106523
Google Scholar
[46] Santos-Florez P A, Dai S C, Yao Y, Yanxon H, Li L, Wang Y J, Zhu Q, Yu X X 2023 Acta Mater. 255 119041
Google Scholar
[47] Pan Y, Fu T, Duan M Y, Li C Y, Hu H, Peng X H 2024 ACS Appl. Nano Mater. 7 8121
Google Scholar
[48] Zhang Q, Huang R R, Zhang X, Cao T Q, Xue Y F, Li X Y 2021 Nano Lett. 21 3671
Google Scholar
[49] Hu Y Q, Ding S H, Xu J F, Zhang Y H, Wu W W, Xia R 2023 J. Mater. Res. Technol. 25 285
Google Scholar
[50] Wu Y C, Shao J L 2023 Int. J. Plast. 169 103730
Google Scholar
[51] Wang Q, Gong J H, Chen W Q, Tian Y 2024 Mater. Today Commun. 38 108187
Google Scholar
[52] Wang J, Ma Q L, Cheng H P, Yu H C, Zhang S X, Shang H C, Zhang G Q, Wang W B 2023 Materials 16 5126
Google Scholar
[53] Jiang J, Chen P W, Qiu J L, Sun W F, Saikov I, Shcherbakov V, Alymov M 2021 Mater. Today Commun. 28 102525
Google Scholar
[54] 李健, 郭晓璇, 马胜国, 李志强, 辛浩 2021 高压物理学报 35 9
Li J, Guo X X, Ma S G, Li Z Q, Xin H 2021 Chin. J. High Pressure Phys. 35 9
-
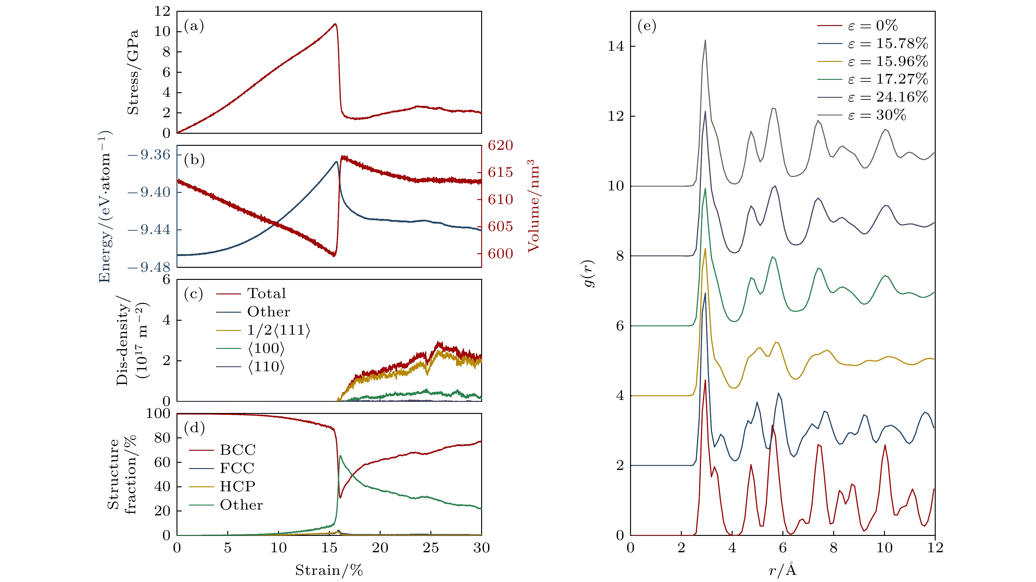
图 3 在300 K, 109 s–1条件下, NbTaTiZr沿[100]晶向压缩的各性质随压缩应变的变化规律 (a) 压缩应力; (b) 能量和体积; (c) 位错密度; (d) 相结构. (e) 不同应变下的径向分布函数
Figure 3. Evolution of properties for NbTaTiZr under uniaxial compression along the [100] crystalline orientation as a function of compressive strain at 300 K and a strain rate of 109 s–1: (a) Compressive stress; (b) energy and volume; (c) dislocation density; (d) phase structure. (e) Radial distribution functions at different strain levels.
图 4 300 K, 109 s–1沿[100]晶向压缩结构时, 应变分别为15.78%, 15.96%, 17.27%, 24.16%, 30%时的位错密度(a1)—(e1)和相结构分布(a2)—(e2). 蓝色代表BCC, 红色代表HCP, 绿色代表FCC, 灰色代表其他结构
Figure 4. Dislocation density (a1)–(e1) and phase structure distribution (a2)–(e2) in NbTaTiZr under uniaxial compression along the [100] orientation at 300 K and a strain rate of 109 s–1, shown at compressive strains of 15.78%, 15.96%, 17.27%, 24.16%, and 30%. Blue represents BCC, red represents HCP, green represents FCC, and grey represents other structures.
图 6 300 K, 109 s–1条件下沿[110]晶向压缩, 应变不同时的原子结构(a1)—(a4)和剪应变分布(b1)—(b4) (a1), (b1) 8.3%; (a2), (b2) 8.6%; (a3), (b3) 8.9%; (a4), (b4) 14.9%
Figure 6. Atomic structures (a1)—(a4) and shear strain distribution (b1)—(b4) in NbTaTiZr under uniaxial compression along the [110] orientation at 300 K and 109 s–1 for varying strains: (a1), (b1) 8.3%; (a2), (b2) 8.6%; (a3), (b3) 8.9%; (a4), (b4) 14.9%.
图 7 300 K, 109 s–1沿[111]晶向压缩结构时, 应变分别为16.7%, 17.4%, 18.7%, 24%, 30%时的位错密度(a1)—(e1)和相结构分布(a2)—(e2), 其中蓝色代表BCC, 红色代表HCP, 绿色代表FCC, 灰色代表其他结构 (a1), (a2) 16.7%; (b1), (b2) 17.4%; (c1), (c2) 18.7%; (d1), (d2) 24%; (e1), (e2) 30%
Figure 7. Dislocation density (a1)–(e1) and phase structure distribution (a2)–(e2) in NbTaTiZr under uniaxial compression along the [111] orientation at 300 K and a strain rate of 109 s–1 for varying strains, and blue represents BCC, red represents HCP, green represents FCC, and grey represents other structures: (a1), (a2) 16.7%; (b1), (b2) 17.4%; (c1), (c2) 18.7%; (d1), (d2) 24%; (e1), (e2) 30%.
图 9 [100], [110]和[111]晶向在108 s–1, 109 s–1, 1010 s–1应变率条件下的屈服强度(a)和无序结构比例(b); 108 s–1, 1010 s–1应变率条件下[110]晶向(c)和 [111]晶向(d)的位错密度随应变的变化
Figure 9. Yield strength (a) and disordered structure proportion (b) under [100], [110], and [111] crystal orientations at strain rates of 108 s–1, 109 s–1, and 1010 s–1; dislocation density versus strain for [110] orientation (c) and [111] orientation (d) at strain rates of 108 s–1 and 1010 s–1.
图 10 应变为28%时, 位错组态在应变率108 s–1 (a1)—(a3)和1010 s–1 (b1)—(b3)下的分布, 灰色原子表示无序原子 (a1), (b1) [100]晶向; (a2), (b2) [110]晶向; (a3), (b3) [111]晶向
Figure 10. Dislocation configurations at 28% strain under strain rates of 108 s–1 (a1)–(a3) and 1010 s–1 (b1)–(b3), and the gray atoms indicate disordered atomic configurations: (a1), (b1) [100] crystallographic orientations; (a2), (b2) [110] crystallographic orientations; (a3), (b3) [111] crystallographic orientations.
表 1 DP模型预测值和DFT计算结与实验值的比较
Table 1. Comparison of DP model predictions with DFT calculations and experimental values.
Method Tm/K C11/GPa C12/GPa C44/GPa B/GPa G/GPa μ NbTaTiZr DP 2361 170 129 30 142 32 0.43 Exp/DFT 2440 (3.2%) 179 (5.0%) 134 (3.7%) 33 (10%) 151 (6.0%) 27 (18.5%) 0.42 (2.4%) -
[1] Senkov O N, Wilks G B, Miracle D B, Chuang C P, Liaw P K 2010 Intermetallics 18 1758
Google Scholar
[2] Senkov O N, Scott J M, Senkova S V, Miracle D B, Woodward C F 2011 J. Alloys Compd. 509 6043
Google Scholar
[3] Senkov O N, Senkova S V, Woodward C, Miracle D B 2013 Acta Mater. 61 1545
Google Scholar
[4] Li X G, Chen C, Zheng H, Zuo Y X, Ong S Y P 2020 npj Comput. Mater. 6 10
Google Scholar
[5] Senkov O N, Wilks G B, Scott J M, Miracle D B 2011 Intermetallics 19 698
Google Scholar
[6] Senkov O N, Scott J M, Senkova S V, Meisenkothen F, Miracle D B, Woodward C F 2012 J. Mater. Sci. 47 4062
Google Scholar
[7] Shittu J, Rietema C J, Juhasz M, Ellyson B, Elder K L M, Bocklund B J, Sims Z C, Li T T, Henderson H B, Berry J 2024 J. Alloys Compd. 977 11
Google Scholar
[8] 郭孜涵, 陈闯, 涂益良, 唐恩凌 2024 高压物理学报 38 102
Guo Z H, Chen C, Tu Y L, Tang E L 2024 Chin. J. High Pressure Phys. 38 102
[9] 罗小平, 李绪海, 唐泽明, 李治国, 陈森, 王媛, 俞宇颖, 胡建波 2024 高压物理学报 38 064101
Luo X P, Li X H, Tang Z M, Li Z G, Chen S, Wang Y, Yu Y Y, Hu J B 2024 Chin. J. High Pressure Phys. 38 064101
[10] Xiang T, Cai Z Y, Du P, Li K, Zhang Z W, Xie G Q 2021 J. Mater. Sci. Technol 90 150
Google Scholar
[11] Wang H, Niu Z Y, Chen C G, Chen H Q, Zhu X Y, Zhou F, Zhang X B, Liu X J, Wu Y, Jiang S H 2022 Mater. Charact. 193 112265
Google Scholar
[12] Wu Y N, Zhang Y, Li Z Y, Liu Z, Zhao E J, Liu J S 2024 J. Mater. Res. Technol. 30 8854
Google Scholar
[13] Wang R X, Tang Y, Li S, Zhang H, Ye Y C, Zhu L A, Ai Y L, Bai S X 2019 Mater. Des. 162 256
Google Scholar
[14] 王睿鑫 2018 硕士学位论文 (长沙: 国防科技大学)
Wang R X 2018 M.S. Thesis (Changsha: National University of Defense Technology
[15] Wang R X, Tang Y, Li S, Ai Y L, Li Y Y, Xiao B, Zhu L A, Liu X Y, Bai S X 2020 J. Alloys Compd. 825 154099
Google Scholar
[16] Lo K, Murakami H, Glatzel U, Yeh J, Gorsse S, Yeh A C 2022 Int. J. Refract. Met. Hard Mater 108 105918
Google Scholar
[17] 刘泽涛, 陈博, 令伟栋, 包南云, 康冬冬, 戴佳钰 2022 物理学报 71 037102
Google Scholar
Liu Z T, Chen B, Ling W D, Bao N Y, Kang D D, Dai J Y 2022 Acta Phys. Sin. 71 037102
Google Scholar
[18] 闻鹏, 陶钢 2022 物理学报 71 246101
Google Scholar
Wen P, Tao G 2022 Acta Phys. Sin. 71 246101
Google Scholar
[19] Zhou X Y, Wu H H, Wu Y, Liu X J, Peng X Y, Hou S, Lu Z P 2024 Acta Mater. 281 120364
Google Scholar
[20] 李甲, 冯慧, 陈阳, 李理, 田圆圆, 谭福盛, 彭静, 陈浩天, 方棋洪 2020 固体力学学报 41 16
Li J, Feng H, Chen Y, Li L, Tian Y Y, Tan F S, Peng J, Chen H T, Fang Q H 2020 Chin. J. Solid Mech. 41 16
[21] Ferrari A, Körmann F, Asta M, Neugebauer J 2023 Nat. Comput. Sci. 3 221
Google Scholar
[22] Wen T Q, Zhang L F, Wang H, Weinan E, Srolovitz D J 2022 Mater. Futures 1 022601
Google Scholar
[23] Qiu R, Zeng Q Y, Han J S, Chen K, Kang D D, Yu X X, Dai J Y 2025 Phys. Rev. B 111 064103
Google Scholar
[24] Chang X J, Chen B, Zeng Q Y, Wang H, Chen K G, Tong Q C, Yu X X, Kang D D, Zhang S, Guo F Y, Hou Y, Zhao Z X, Yao Y S, Ma Y M, Dai J Y 2024 Nat. Commun. 15 8543
Google Scholar
[25] Chang X J, Kang D D, Chen B, Dai J Y 2025 Chin. Phys. Lett. 42 053704
Google Scholar
[26] Guo F Y, Chen B, Zeng Q Y, Yu X X, Chen K G, Kang D D, Du Y, Wu J H, Dai J Y 2023 J. Chem. Phys. 159 204702
Google Scholar
[27] Wu L P, Li T 2024 J. Mech. Phys. Solids 187 105639
Google Scholar
[28] Wang T Y, Li J Y, Wang M, Li C Z, Su Y Q, Xu S Q, Li X G 2024 npj Comput. Mater. 10 143
Google Scholar
[29] Xiao R L, Wang Q, Qin J Y, Zhao J F, Ruan Y, Wang H P, Li H, Wei B 2023 J. Appl. Phys. 133 085102
Google Scholar
[30] Zhang Y Z, Wang H D, Chen W J, Zeng J Z, Zhang L F, Wang H, Weinan E 2019 Comput. Phys. Commun. 253 107206
Google Scholar
[31] Yang F H, Zeng Q Y, Chen B, Kang D D, Zhang S, Wu J H, Yu X X, Dai J Y 2022 Chin. Phys. Lett. 39 116301
Google Scholar
[32] Han J, Zeng Q Y, Chen K, Yu X, Dai J Y 2023 Nanomaterials 13 1576
Google Scholar
[33] 曾启昱, 陈博, 康冬冬, 戴佳钰 2023 物理学报 72 187102
Google Scholar
Zeng Q Y, Chen B, Kang D D, Dai J Y 2023 Acta Phys. Sin. 72 187102
Google Scholar
[34] 高天雨, 曾启昱, 陈博, 康冬冬, 戴佳钰 2024 金属学报 60 1439
Gao T Y, Zeng Q Y, Chen B, Kang D D, Dai J Y 2024 Acta Metall. Sin. 60 1439
[35] Kresse G, Furthmüller J 1996 Phys. Rev. B 54 11169
Google Scholar
[36] Kresse G, Furthmüller J 1996 Comput. Mater. Sci 6 15
Google Scholar
[37] Perdew J P, Burke K, Ernzerhof M 1996 Phys. Rev. Lett. 77 3865
Google Scholar
[38] Kresse G, Joubert D 1999 Phys. Rev. B 59 1758
Google Scholar
[39] Zeng J Z, Zhang D, Lu D H, et al. 2023 J. Chem. Phys. 159 054801
Google Scholar
[40] Zhang D, Bi H R, Dai F Z, Jiang W R, Liu X Z, Zhang L F, Wang H 2024 npj Comput. Mater. 10 94
Google Scholar
[41] Wang V, Xu N, Liu J C, Tang G, Geng W T 2019 Comput. Phys. Commun. 267 108033
Google Scholar
[42] Stukowski A 2009 Modell. Simul. Mater. Sci. Eng. 18 015012
Google Scholar
[43] Stukowski A 2012 Modell. Simul. Mater. Sci. Eng. 20 045021
Google Scholar
[44] Stukowski A, Bulatov V V, Arsenlis A 2012 Modell. Simul. Mater. Sci. Eng. 20 085007
Google Scholar
[45] Liu X R, Chang L, Ma T H, Zhou C Y 2023 Mater. Today Commun. 36 106523
Google Scholar
[46] Santos-Florez P A, Dai S C, Yao Y, Yanxon H, Li L, Wang Y J, Zhu Q, Yu X X 2023 Acta Mater. 255 119041
Google Scholar
[47] Pan Y, Fu T, Duan M Y, Li C Y, Hu H, Peng X H 2024 ACS Appl. Nano Mater. 7 8121
Google Scholar
[48] Zhang Q, Huang R R, Zhang X, Cao T Q, Xue Y F, Li X Y 2021 Nano Lett. 21 3671
Google Scholar
[49] Hu Y Q, Ding S H, Xu J F, Zhang Y H, Wu W W, Xia R 2023 J. Mater. Res. Technol. 25 285
Google Scholar
[50] Wu Y C, Shao J L 2023 Int. J. Plast. 169 103730
Google Scholar
[51] Wang Q, Gong J H, Chen W Q, Tian Y 2024 Mater. Today Commun. 38 108187
Google Scholar
[52] Wang J, Ma Q L, Cheng H P, Yu H C, Zhang S X, Shang H C, Zhang G Q, Wang W B 2023 Materials 16 5126
Google Scholar
[53] Jiang J, Chen P W, Qiu J L, Sun W F, Saikov I, Shcherbakov V, Alymov M 2021 Mater. Today Commun. 28 102525
Google Scholar
[54] 李健, 郭晓璇, 马胜国, 李志强, 辛浩 2021 高压物理学报 35 9
Li J, Guo X X, Ma S G, Li Z Q, Xin H 2021 Chin. J. High Pressure Phys. 35 9
Catalog
Metrics
- Abstract views: 1753
- PDF Downloads: 181
- Cited By: 0









DownLoad: