-
Quantum communication can realize secure information transmission based on the fundamental principles of quantum mechanics. Photon is a crucial information carrier in quantum communication. The photonic quantum communication protocols require the transmission of photons or photonic entanglement between communicating parties. However, in this process, photon transmission loss inevitably occurs due to environmental noise. Photon transmission loss significantly reduces the efficiency of quantum communication and even threatens its security, so that it becomes a major obstacle for practical long-distance quantum communication. Quantum noiseless linear amplification (NLA) is a promising method for mitigating photon transmission loss. Through local operations and post-selection, NLA can effectively increase the fidelity of the target state or the average photon number in the output state while perfectly preserving the encoded information of the target state. As a result, employing NLA technology can effectively overcome photon transmission loss and extend the secure communication distance. In this paper, the existing NLA protocols are categorized into two types, i.e. the NLA protocols in DV quantum systems and CV quantum systems. A detailed introduction is given to the quantum scissor (QS)-based NLA protocols for single photons, single-photon polarization qubits, and single-photon spatial entanglement in the DV quantum systems. The QS-based NLA can effectively increase the fidelity of the target states while perfectly preserving its encodings. In recent years, researchers have made efforts to study various improvements to the QS-based NLA protocols. In the CV quantum systems, researchers have adopted parallel multiple QS structure and generalized QS to increase the average photon numbers of the Fock states, coherent states and two-mode squeezed vacuum states. In addition to theoretical advancements, significant progress has also been made in the experimental implementations of NLA. The representative experimental demonstrations of QS-based NLA protocols are summarized. Finally, the future development directions for NLA to facilitate its practical applications are presented. This review can provide theoretical support for practically developing NLA in the future. -
Keywords:
- quantum communication /
- quantum noise-free linear amplification /
- continuous variables /
- discrete variables
[1] Scarani V, Bechmann-Pasquinucci H, Cerf N J, Dušek M, Lütkenhaus N, Peev M 2009 Rev. Mod. Phys. 81 1301
Google Scholar
[2] Briegel H J, Dür W, Cirac J I, Zoller P 1998 Phys. Rev. Lett. 81 5932
Google Scholar
[3] Duan L M, Lukin M, Cirac I, Zoller P 2001 Nature 414 413
Google Scholar
[4] Zhao B, Chen Z B, Chen Y A, Schmiedmayer J, Pan J W 2007 Phys. Rev. Lett. 98 240502
Google Scholar
[5] Briegel H J, Browne D E, Dür W, Raussendorf R, Nest M V den 2009 Nat. Phys. 5 19
Google Scholar
[6] Azuma K, Tamaki K, Lo H K 2015 Nat. Commun. 6 6787
Google Scholar
[7] Goswami S, Dhara S 2023 Phys. Rev. Appl. 20 024048
Google Scholar
[8] Ralph T C, Lund A P 2009 Proceedings of the 9th International Conference 1110 155
[9] Osorio C I, Bruno N, Sangouard N, Zbinden H, Gisin N, Thew R T 2012 Phys. Rev. A 86 023815
Google Scholar
[10] Xiang G Y, Ralph T C, Lund A P, Walk N, Pryde G J 2010 Nat. Photonics 4 316
Google Scholar
[11] Gisin N, Pironio S, Sangouard N 2010 Phys. Rev. Lett. 105 070501
Google Scholar
[12] Curty M, Moroder T 2011 Phys. Rev. A 84 010304
Google Scholar
[13] Pitkanen D, Ma X, Wickert R, Van Loock P, Lütkenhaus N 2011 Phys. Rev. A 84 022325
Google Scholar
[14] Zhang S, Yang S, Zou X, Shi B, Guo G 2012 Phys. Rev. A 86 034302
Google Scholar
[15] Monteiro F, Verbanis E, Vivoli V C, Martin A, Gisin N, Zbinden H, Thew R T 2017 Quantum Sci. Technol. 2 024008
Google Scholar
[16] Meyer-Scott E, Bula M, Bartkiewicz K, Černoch A, Soubusta J, Jennewein T, Lemr K 2013 Phys. Rev. A 88 012327
Google Scholar
[17] Yang S, Zhang S, Zou X, Bi S, Lin X 2013 Phys. Rev. A 87 024302
Google Scholar
[18] Kocsis S, Xiang G Y, Ralph T C, Pryde G J 2013 Nat. Phys. 9 23
Google Scholar
[19] Zhou L, Sheng Y B 2013 J. Opt. Soc. Am. B 30 2737
Google Scholar
[20] Zhou L, Sheng Y B 2015 Laser Phys. Lett. 12 045203
Google Scholar
[21] Ou-Yang Y, Feng Z F, Zhou L, Sheng Y B 2015 Laser Phys. 26 015204
[22] Zhou L, Chen L Q, Zhong W, Sheng Y B 2018 Laser Phys. Lett. 15 015201
Google Scholar
[23] Wang D D, Jin Y Y, Qin S X, Zu H, Zhou L, Zhong W, Sheng Y B 2018 Quantum Inf. Process. 17 56
Google Scholar
[24] Yang G, Zhang Y S, Yang Z R, Zhou L, Sheng Y B 2019 Quantum Inf. Process. 18 317
Google Scholar
[25] Li Y P, Zhang J, Xu B W, Zhou L, Zhong W, Sheng Y B 2020 Quantum Inf. Process. 19 261
Google Scholar
[26] Xu B W, Zhang J, Zhou L, Zhong W, Sheng Y B 2021 Quantum Inf. Process. 20 163
Google Scholar
[27] Feng Y P, Gu J Q, Zhou L, Zhong W, Du M M, Li X Y, Sheng Y B 2024 Quantum Inf. Process. 23 201
Google Scholar
[28] Seshadreesan K P, Krovi H, Guha S 2019 Phys. Rev. A 100 022315
Google Scholar
[29] Winnel M S, Hosseinidehaj N, Ralph T C 2020 Phys. Rev. A 102 063715
Google Scholar
[30] He M, Malaney R, Burnett B A 2021 Phys. Rev. A 103 012414
Google Scholar
[31] Zhong W, Li Y P, Sheng Y B, Zhou L 2022 Europhys. Lett. 140 18003
Google Scholar
[32] Guanzon J J, Winnel M S, Lund A P, Ralph T C 2022 Phys. Rev. Lett. 128 160501
Google Scholar
[33] Zhu Y, Zhu W, Zhong W, Du M, Sheng Y, Zhou L 2023 Chin. Sci. Bull. 68 2411
Google Scholar
[34] Zavatta A, Fiurášek J, Bellini M 2010 Nat. Photonics 5 52
Google Scholar
[35] Chrzanowski H M, Walk N, Assad S M, Janousek J, Hosseini S, Ralph T C, Symul T, Lam P K 2014 Nat. Photonics 8 333
Google Scholar
[36] Ulanov A E, Fedorov I A, Pushkina A A, Kurochkin Y V, Ralph T C, Lvovsky A I 2015 Nat. Photonics 9 764
Google Scholar
[37] Fiurášek J 2024 Opt. Express 32 2527
Google Scholar
[38] Xin J 2024 Opt. Express 32 48541
Google Scholar
[39] Notarnicola M N, Olivares S 2023 Phys. Rev. A 108 022404
Google Scholar
[40] Acín A, Gisin N, Masanes L 2006 Phys. Rev. Lett. 97 120405
Google Scholar
[41] Acín A, Brunner N, Gisin N, Massar S, Pironio S, Scarani V 2007 Phys. Rev. Lett. 98 230501
Google Scholar
[42] Pironio S, Acin A, Brunner N, Gisin N, Massar S, Scarani V 2009 New J. Phys. 11 045021
Google Scholar
[43] Lee H W, Kim J 2000 Phys. Rev. A 63 012305
Google Scholar
[44] Hessmo B, Usachev P, Heydari H, Björk G 2004 Phys. Rev. Lett. 92 180401
Google Scholar
[45] Halenková E, Černoch A, Lemr K, Soubusta J, Drusová S 2012 Appl. Opt. 51 474
Google Scholar
[46] Ferreyrol F, Barbieri M, Blandino R, Fossier S, Tualle-Brouri R, Grangier P 2010 Phys. Rev. Lett. 104 123603
Google Scholar
[47] Lvovsky A I 2004 J. Opt. B: Quantum Semiclassical Opt. 6 S556
Google Scholar
[48] Fiurášek J 2022 Phys. Rev. A 105 062425
Google Scholar
-
图 1 单光子QS-NLA方案原理图[8]. BS(t)和BBS分别是透射率为t和1/2的分束器, D1, D2为理想的单光子探测器. 输入态和辅助单光子态分别从空间模式e和b进入QS. 当探测器D1, D2只有一个探测到单光子, 另一个没有探测到光子时, 该NLA方案运行成功
Figure 1. Schematic diagram of a single-photon QS-NLA protocol[8]. BS(t) and BBS are beam splitters with the transmittance t and 1/2, respectively. D1 and D2 are ideal single-photon detectors. The input state and auxiliary single-photon state enter the QS from the spatial modes e and b, respectively. When one detector detects only a single photon and the other detector does not detect a photon, the NLA scheme runs successfully.
图 2 基于QS的单光子极化量子比特NLA方案原理图[11]. 处于正交偏振态的两个单光子态$ \left| {{1_{\text{H}}}} \right\rangle \otimes \left| {{1_{\text{V}}}} \right\rangle $一起作为辅助态进入QS. PBS代表偏振分束器, 可以完全透射水平偏振(H)的光子, 完全反射垂直偏振(V)的光子. DH, DV, ${\mathrm{D}}_{\rm H'}, {\mathrm{D}}_{\rm V'}$为4个理想单光子探测器
Figure 2. Schematic diagram of a single-photon polarized qubit QS-NLA protocol[11]. Two single-photon states in orthogonal polarization $ \left| {{1_{\text{H}}}} \right\rangle \otimes \left| {{1_{\text{V}}}} \right\rangle $enter the QS together as auxiliary states. Polarization beam splitter (PBS) can totally transmit the horizonal (H) polarization and reflect the vertical (V) polarization. DH, DV, ${\mathrm{D}}_{\rm H'}, {\mathrm{D}}_{\rm V'} $ are four ideal single photon detectors.
图 3 基于QS的单光子极化量子比特NLA方案原理图[18]. QSH和QSV分别为辅助光子为$\left| {{1_{\text{H}}}} \right\rangle $和$\left| {{1_{\text{V}}}} \right\rangle $的理想的单光子QS装置[8], PBS为偏振分束器
Figure 3. Schematic diagram of a single-photon polarization qubit QS-NLA protocol[18]. QSH and QSV are ideal single-photon quantum scissors with the auxiliary photons $\left| {{1_{\text{H}}}} \right\rangle $ and $\left| {{1_{\text{V}}}} \right\rangle $, respectively[8], and PBS is the polarization beam splitter.
图 6 基于纠缠辅助的极化量子比特NLA方案原理图[16]. PPBS1, PPBS2代表部分偏振分束器(partial polarization beam splitter, PPBS). D3和D4是标准偏振分析检测块[45], 每个检测块由一个1/4玻片(quarter wave plate, QWP), 1个PBS和2个理想单光子探测器组成
Figure 6. Schematic diagram of a polarized qubit NLA scheme based on entanglement assistance [16]. PPBS1, PPBS2 stand for partially polarized beam splitter. D3 and D4 are standard polarization analysis blocks[45], each consisting of a quarter wave plate (QWP), a PBS, and two ideal single-photon detectors.
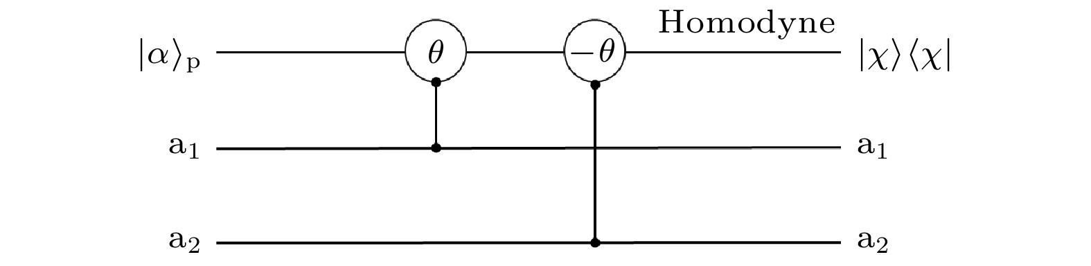
图 7 利用交叉克尔介质构造的非破坏性测量(quantum non-demolition detection, QND)门原理图[20]. 空间模式a1(a2)的光子与相干态$ {\left|\alpha \right\rangle}_{\mathrm{p}} $一起通过交叉克尔介质. 空间模式a1中的单光子将使相干态${\left| \alpha \right\rangle _{\text{p}}}$获得$ \theta $的相移, 而空间模式a2中的单光子将使相干态${\left| \alpha \right\rangle _{\text{p}}}$获得$ - \theta $的相移
Figure 7. Schematic diagram of a quantum nondestructive detection (QND) gate using cross-Kerr nonlinear construction[20]. Photons of spatial mode a1(a2) pass through the cross-Kerr medium together with the reference light ${\left| \alpha \right\rangle _{\text{p}}}$. A single photon in the spatial mode a1 will shift the phase $ \theta $ acquired by the coherent state ${\left| \alpha \right\rangle _{\text{p}}}$, while a single photon in the spatial mode a2 will shift the phase $ - \theta $ it gains.
图 9 基于多个单光子量子剪刀(1-QS)并行的NLA方案示意图[8]. 第一个BBS阵列(N-splitter)可均匀地将输入态分束到N条路径. 第二个BBS阵列用于将N条路径的输出态耦合到一条路径输出. 当所有QS都得到成功的探测器响应且其余N–1个输出端没有探测到光子时, 方案成功
Figure 9. Schematic diagram of multiple 1-QS parallel NLA schemes[8]. The N-splitter is an array of BBSs, which can split the input state into N spatial paths. The second N-splitter is used to couple the beams from N output spatial paths. If all the QSs obtain the successful detector responses and no photons is detected at the other output ports, the protocol is successful.
图 10 基于3光子QS (3-QS)的NLA方案示意图[29]. 本方案采用4端口单光子测量. 在其中3个端口探测到单光子, 另一个端口没有探测到光子的情况下, 该NLA方案运行成功. 当方案运行成功时, 需要对其中一条路径上的光子施加$ \pi /2 $的相移
Figure 10. Schematic diagram of NLA protocol based on generalized three-order quantum scissors (3-QS)[29]. The NLA protocol depends on the four-port joint photon measurement. When three of the four ports each have a single photon and the last port does not have photon, the NLA protocol is successful. $ \pi /2 $ phase shift should be present on the photon in one of the paths.
图 11 基于7光子QS (7-QS)的NLA方案原理图[29]. 本方案在BS(t)的一个输入端输入7光子辅助态. 运行8端口单光子测量方案. 当其中7个端口探测到单光子, 另一个端口没有探测到光子时, 方案运行成功
Figure 11. Schematic diagram of the generalized seven-photon QS-NLA protocol[29]. The NLA protocol depends on the seven-photon auxiliary state and the eight-port single-photon measurement module. When seven of the eight ports each detect a single photon and the other port does not, the NLA protocol is successful.
图 12 基于n光子QS (n-QS)的NLA方案示意图[32] (a) 使用$\left| n \right\rangle $聚束光子作为辅助态(BP方案); (b) 使用n个单光子${ \otimes ^n}\left| 1 \right\rangle $作为辅助态(SP方案)
Figure 12. Schematic diagram of NLA scheme based on n-photon QS [32]: (a) $\left| n \right\rangle $ bunched photons are used as auxiliary state (BP protocol); (b) n single photons ${ \otimes ^n}\left| 1 \right\rangle $ are used as auxiliary state (SP protocol).
图 13 相干态的NLA方案的实验实现[10]. 采用极化编码, 半波片和PBS实现可调谐分束器, 倾斜的QWP实现移相器. 辅助光子是一个单光子, 而输入态是由单光子产生的混合态
Figure 13. Experimental implementation of an NLA protocol of coherent states[10]. In polarization mode, the half-wave plate and PBS are used to achieve a tunable beam splitter, and the inclined quarter-wave plate is a phase shifter. The auxiliary particle is a single photon, while the input state is the mixed state produced by a single photon.
表 1 离散变量量子系统不同NLA方案性能对比
Table 1. Performance comparison of different NLA schemes for DV quantum systems.
方案类型 目标态 增益g 成功概率P 特点 单光子NLA[8] $| 1 \rangle $ $\sqrt {{{( {1 - t} )} /t}} $ $t{\alpha ^{2}} + ( {1 - t} ){\beta ^{2}}$ 保留量子相干性, 但成功概率随增益增加而降低. 单光子极化
量子比特
NLA [11,18]$| {{1_{\text{H}}}} \rangle + | {{1_{\text{V}}}} \rangle $ $\sqrt {{{( {1 - t} )}/t}} $ ${t^2}{\alpha ^2} + t( {1 - t} )( {\beta _{\text{H}}^2 + \beta _{\text{V}}^2} )$ 分别在水平(H)和垂直(V)路径上独立运行QS, 牺牲成功概率来保护极化自由度的编码信息. 单光子纠缠态NLA[14] $\dfrac{{ {| 1 \rangle | 0 \rangle + | 0 \rangle | 1 \rangle } }}{{\sqrt 2 }}$ $ \dfrac{{( {1 - t} )}}{{t + \eta - 2 t\eta }} $ $t( {t + \eta - 2 t\eta } )$ 在空间纠缠态的两条路径同时应用QS, 通过后选择提高纠缠保真度. 具有局域正交压缩操作的
NLA[17]$| 1 \rangle $ $\sqrt {\dfrac{{\cosh \xi ( {1 - t} )}}{t}} $ $\dfrac{{{\alpha ^{2}}t}}{{\cosh {\xi ^3}}} + \dfrac{{{\beta ^{2}}( {1 - t} )}}{{\cosh {\xi ^4}}}$ 引入正交压缩操作, 提升成功概率和增益. 基于纠缠辅助的NLA[16] $| {{1_{\text{H}}}} \rangle + | {{1_{\text{V}}}} \rangle $ $\dfrac{{{{( {3{r^2} - 1} )}^{2}}}}{{{4}{r^{2}}}}$ ${r^2}[ {{{| \alpha |}^2} + {g_{6}}( {{{| {{\beta _{\text{H}}}} |}^2} + {{| {{\beta _{\text{V}}}} |}^2}} )} ]$ 利用双光子纠缠态作为辅助资源, 通过部分偏振分束器(PPBS)实现保真度趋近1, 成功概率不随增益趋零. 同时抵御光子损耗和退相干的NLA [19] $\dfrac{{ {| 1 \rangle | 0 \rangle + | 0 \rangle | 1 \rangle } }}{{\sqrt 2 }}$ $\dfrac{{{\alpha ^{2}}{t_2} + {\beta ^{2}}{t_1} - {t_1}{t_2}}}{{\eta ( {{\alpha ^{2}}{t_2} + {\beta ^{2}}{t_1}} ) + {t_1}{t_2} - 2\eta {t_1}{t_2}}}$ — 同时解决光子丢失和退相干问题 可循环
NLA[20]$\dfrac{{ {| 1 \rangle | 0 \rangle + | 0 \rangle | 1 \rangle } }}{{\sqrt 2 }}$ 每轮增益的总和 每轮成功概率总和 利用交叉克尔介质进行循环操作逐步提高低保真度纠缠态的保真度. 表 2 连续变量量子系统不同NLA方案性能对比
Table 2. Performance comparison of different NLA schemes for CV quantum systems.
NLA方案类型 目标态 增益g 成功概率P 特点 多个1-QS并行[8] 弱相干态 $\sqrt{{{( {1 - t} )}/t}} $ ${t^N}{{\rm e}^{ - ( {1 - {g^2}} ){{| \alpha |}^2}}}$ 放大弱相干态, 成功概率随着分束数量N 的增加而降低 广义量子剪刀[29] Fock态 $\sqrt {{t/{( {1 - t} )}}} $ $\dfrac{3}{8}{\Big( {\dfrac{1}{{{g^2} + 1}}} \Big)^3}( {{{| {{c_0}} |}^2} + {{| {g{c_1}} |}^2} + {{| {{g^2}{c_2}} |}^2} + {{| {{g^3}{c_{3}}} |}^2}} )$ 可对输入Fock态进行(2S – 1)阶截断并
放大, 其中S = 1, 2, 3等n光子量子剪刀[32] Fock态 $\sqrt {{t /{( {1 - t} )}}} $ $\begin{gathered} {P^{{\text{BP}}}} = ( {n + 1} )P \\ {P^{{\text{SP}}}} = {{{{( {n + 1} )}^n}P}/{( {n + 1} )!}} \end{gathered} $ 可以对任意的n阶Fock态进行截断和放大, 有两种实现方式, 可根据截断阶数来选择不同的方案, 得到最优的成功概率 光子加减法[34] $| 0 \rangle + \alpha | 1 \rangle $ — — 在保真度、增益和噪声控制上均
突破经典极限测量[35] 任意输入态 2 — 通过特定滤波函数进行后选择, 得到接近最佳成功概率, 实现任意精度放大 量子催化[36] $| {00} \rangle - \gamma | {11} \rangle $ 1/t ${t^2} + {\gamma ^2}{\tau ^2}$ 可高效恢复纠缠并适用于任意高损耗路径中弱双模压缩态的纠缠蒸馏与放大 -
[1] Scarani V, Bechmann-Pasquinucci H, Cerf N J, Dušek M, Lütkenhaus N, Peev M 2009 Rev. Mod. Phys. 81 1301
Google Scholar
[2] Briegel H J, Dür W, Cirac J I, Zoller P 1998 Phys. Rev. Lett. 81 5932
Google Scholar
[3] Duan L M, Lukin M, Cirac I, Zoller P 2001 Nature 414 413
Google Scholar
[4] Zhao B, Chen Z B, Chen Y A, Schmiedmayer J, Pan J W 2007 Phys. Rev. Lett. 98 240502
Google Scholar
[5] Briegel H J, Browne D E, Dür W, Raussendorf R, Nest M V den 2009 Nat. Phys. 5 19
Google Scholar
[6] Azuma K, Tamaki K, Lo H K 2015 Nat. Commun. 6 6787
Google Scholar
[7] Goswami S, Dhara S 2023 Phys. Rev. Appl. 20 024048
Google Scholar
[8] Ralph T C, Lund A P 2009 Proceedings of the 9th International Conference 1110 155
[9] Osorio C I, Bruno N, Sangouard N, Zbinden H, Gisin N, Thew R T 2012 Phys. Rev. A 86 023815
Google Scholar
[10] Xiang G Y, Ralph T C, Lund A P, Walk N, Pryde G J 2010 Nat. Photonics 4 316
Google Scholar
[11] Gisin N, Pironio S, Sangouard N 2010 Phys. Rev. Lett. 105 070501
Google Scholar
[12] Curty M, Moroder T 2011 Phys. Rev. A 84 010304
Google Scholar
[13] Pitkanen D, Ma X, Wickert R, Van Loock P, Lütkenhaus N 2011 Phys. Rev. A 84 022325
Google Scholar
[14] Zhang S, Yang S, Zou X, Shi B, Guo G 2012 Phys. Rev. A 86 034302
Google Scholar
[15] Monteiro F, Verbanis E, Vivoli V C, Martin A, Gisin N, Zbinden H, Thew R T 2017 Quantum Sci. Technol. 2 024008
Google Scholar
[16] Meyer-Scott E, Bula M, Bartkiewicz K, Černoch A, Soubusta J, Jennewein T, Lemr K 2013 Phys. Rev. A 88 012327
Google Scholar
[17] Yang S, Zhang S, Zou X, Bi S, Lin X 2013 Phys. Rev. A 87 024302
Google Scholar
[18] Kocsis S, Xiang G Y, Ralph T C, Pryde G J 2013 Nat. Phys. 9 23
Google Scholar
[19] Zhou L, Sheng Y B 2013 J. Opt. Soc. Am. B 30 2737
Google Scholar
[20] Zhou L, Sheng Y B 2015 Laser Phys. Lett. 12 045203
Google Scholar
[21] Ou-Yang Y, Feng Z F, Zhou L, Sheng Y B 2015 Laser Phys. 26 015204
[22] Zhou L, Chen L Q, Zhong W, Sheng Y B 2018 Laser Phys. Lett. 15 015201
Google Scholar
[23] Wang D D, Jin Y Y, Qin S X, Zu H, Zhou L, Zhong W, Sheng Y B 2018 Quantum Inf. Process. 17 56
Google Scholar
[24] Yang G, Zhang Y S, Yang Z R, Zhou L, Sheng Y B 2019 Quantum Inf. Process. 18 317
Google Scholar
[25] Li Y P, Zhang J, Xu B W, Zhou L, Zhong W, Sheng Y B 2020 Quantum Inf. Process. 19 261
Google Scholar
[26] Xu B W, Zhang J, Zhou L, Zhong W, Sheng Y B 2021 Quantum Inf. Process. 20 163
Google Scholar
[27] Feng Y P, Gu J Q, Zhou L, Zhong W, Du M M, Li X Y, Sheng Y B 2024 Quantum Inf. Process. 23 201
Google Scholar
[28] Seshadreesan K P, Krovi H, Guha S 2019 Phys. Rev. A 100 022315
Google Scholar
[29] Winnel M S, Hosseinidehaj N, Ralph T C 2020 Phys. Rev. A 102 063715
Google Scholar
[30] He M, Malaney R, Burnett B A 2021 Phys. Rev. A 103 012414
Google Scholar
[31] Zhong W, Li Y P, Sheng Y B, Zhou L 2022 Europhys. Lett. 140 18003
Google Scholar
[32] Guanzon J J, Winnel M S, Lund A P, Ralph T C 2022 Phys. Rev. Lett. 128 160501
Google Scholar
[33] Zhu Y, Zhu W, Zhong W, Du M, Sheng Y, Zhou L 2023 Chin. Sci. Bull. 68 2411
Google Scholar
[34] Zavatta A, Fiurášek J, Bellini M 2010 Nat. Photonics 5 52
Google Scholar
[35] Chrzanowski H M, Walk N, Assad S M, Janousek J, Hosseini S, Ralph T C, Symul T, Lam P K 2014 Nat. Photonics 8 333
Google Scholar
[36] Ulanov A E, Fedorov I A, Pushkina A A, Kurochkin Y V, Ralph T C, Lvovsky A I 2015 Nat. Photonics 9 764
Google Scholar
[37] Fiurášek J 2024 Opt. Express 32 2527
Google Scholar
[38] Xin J 2024 Opt. Express 32 48541
Google Scholar
[39] Notarnicola M N, Olivares S 2023 Phys. Rev. A 108 022404
Google Scholar
[40] Acín A, Gisin N, Masanes L 2006 Phys. Rev. Lett. 97 120405
Google Scholar
[41] Acín A, Brunner N, Gisin N, Massar S, Pironio S, Scarani V 2007 Phys. Rev. Lett. 98 230501
Google Scholar
[42] Pironio S, Acin A, Brunner N, Gisin N, Massar S, Scarani V 2009 New J. Phys. 11 045021
Google Scholar
[43] Lee H W, Kim J 2000 Phys. Rev. A 63 012305
Google Scholar
[44] Hessmo B, Usachev P, Heydari H, Björk G 2004 Phys. Rev. Lett. 92 180401
Google Scholar
[45] Halenková E, Černoch A, Lemr K, Soubusta J, Drusová S 2012 Appl. Opt. 51 474
Google Scholar
[46] Ferreyrol F, Barbieri M, Blandino R, Fossier S, Tualle-Brouri R, Grangier P 2010 Phys. Rev. Lett. 104 123603
Google Scholar
[47] Lvovsky A I 2004 J. Opt. B: Quantum Semiclassical Opt. 6 S556
Google Scholar
[48] Fiurášek J 2022 Phys. Rev. A 105 062425
Google Scholar
Catalog
Metrics
- Abstract views: 1529
- PDF Downloads: 74
- Cited By: 0









DownLoad: