-
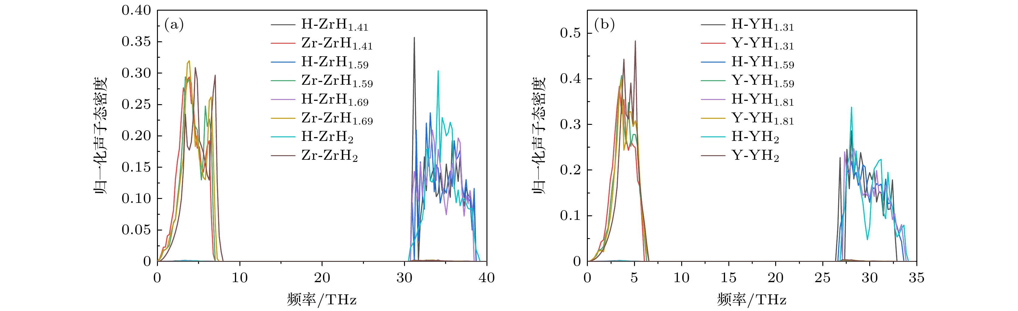
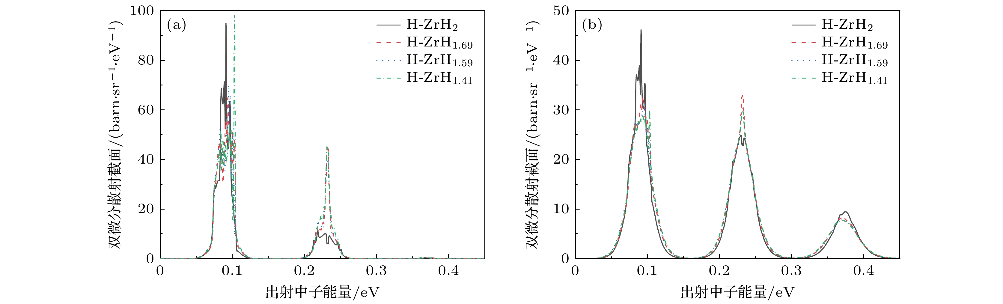
Metal hydrides are promising moderator materials in advanced reactors, where their thermal neutron scattering cross sections significantly affect the accuracy of reactor design. This study uses special quasi random structure (SQS) and first-principles lattice dynamics methods to calculate parameters such as the phonon densities of states of sub-stoichiometric zirconium hydride (ZrHx) and yttrium hydride (YHx). Based on these parameters, thermal scattering law (TSL) data for sub-stoichiometric hydrides are generated using the nuclear data processing code NECP-Atlas. The influences of hydrogen content on the thermal scattering cross sections of hydrides and the effective multiplication factor (keff) values of critical assemblies are analyzed. The result shows that variations in hydrogen content within hydrides lead to differences in thermal scattering cross sections, consequently affecting the neutron transport calculations of nuclear reactor. For the ICT003 and ICT013 benchmarks loaded with ZrHx (with H/Zr ≈ 1.6), using the TSL data derived from ZrHx with other hydrogen content results in a maximum deviation of 104 pcm in keff. For the HCM003 benchmarks loaded with ZrH2, the use of TSL from ZrHx with other hydrogen content leads to a maximum deviation of 147 pcm in keff.
-
Keywords:
- zirconium hydride /
- yttrium hydride /
- thermal scattering law data /
- thermal neutron scattering cross section
[1] Handbook on the Material Properties of Yttrium Hydride for High Temperature Moderator Applications, Hu X X, Wang H, Linton K, Le Coq A, Terrani K A https://www.osti.gov/servlets/purl/1808171/ [2021-7-15]
[2] Paramonov D V, El-Genk M S 1994 Nucl. Technol. 108 157
Google Scholar
[3] Evans J A, Sweet R T, Medvedev P G, Wagner A R, Parisi C, Lange T L, Perez E, Rice F, Jue J F, Woolstenhulme E, Arafat Y 2024 J. Nucl. Mater. 598 25
Google Scholar
[4] Snoj L, Zerovnik G, Trkov A 2012 Appl. Radiat. Isotopes 70 483
Google Scholar
[5] Betzler B R, Ade B J, Jain P K, Wysocki A, Chesser P C, Kirkland W M, Cetiner M S, Bergeron A, Heidet F, Terrani K 2022 Nucl. Sci. Eng. 196 1399
Google Scholar
[6] Mehta V, Vogel S, Kotlyar D, Cooper M 2022 Metals 12 199
Google Scholar
[7] Wang X, Tang M, Jiang M X, Chen Y C, Liu Z X, Deng H Q 2024 Chin. Phys. B 33 076103
Google Scholar
[8] Mehta V K, Vogel S C, Shivprasad A P, Luther E P, Andersson D A, Rao D V, Kotlyar D, Clausen B, Cooper M W D 2021 J. Nucl. Mater. 547 152837
Google Scholar
[9] ENDF-6 Formats Manual, Brown D A https://www.nndc.bnl.gov/endfdocs/ENDF-102-2023.pdf [2023-9-28]
[10] Tang Y Q, Zu T J, Yi S Y, Cao L Z, Wu H C 2020 Annals of Nuclear Energy 153 108044
Google Scholar
[11] Squires G L 1996 Introduction to the Theory of Thermal Neutron Scattering (Massachusetts: Courier Corporation) p30
[12] Zu T J, Tang Y Q, Wang L P, Cao L Z, Wu H C 2021 Ann. Nucl. Energy 161 108489
Google Scholar
[13] Wang L P, Wan C H, Cao L Z, Wu H C, Sjstrand H 2021 Ann. Nucl. Energy 151 107920
Google Scholar
[14] Švajger I, Fleming N, Hawari A, Laramee B, Noguere G, Snoj L, Trkov A 2025 Nucl. Eng. Technol. 57 103834
Google Scholar
[15] Mehta V K, Cooper M W D, Wilkerson R B, Kotlyar D, Rao D V, Vogel S C 2021 Nucl. Sci. Eng. 195 563
Google Scholar
[16] Mehta V K, Rehn D A, Olsson P A T 2024 J. Nucl. Eng. 5 330
Google Scholar
[17] Trainer A, Forget B, Holmes J, Wormald J, Zerkle M 2025 Ann. Nucl. Energy 212 111034
Google Scholar
[18] Wormald J, Zerkle M, Holmes J 2021 J. Nucl. Eng. 2 105
Google Scholar
[19] Zerkle M L, Holmes J C, Wormald J L 2021 EPJ Web Conf. 247 09015
Google Scholar
[20] Ge Z G, Xu R R, Wu H C, Zhang Y, Chen G C, Jin Y L, Shu N C, Chen Y J, Tao X, Tian Y, Liu P, Qian J, Wang J M, Zhang H Y, Liu L L, Huang X L 2020 EPJ Web Conf. 239 09001
Google Scholar
[21] Zu T J, Wu C Y, Feng H, Ma Y T, Cao L Z, Wu H C, Tang Y Q 2024 Prog. Nucl. Energy 177 105420
Google Scholar
[22] Placzek G 1952 Phys. Rev. 86 377
Google Scholar
[23] Coherent Scattering Law for Polycrystalline Beryllium, Borgonovi G M https://www.osti.gov/servlets/purl/4049796 [1969-5-16]
[24] Fleming N C 2021 Ph. D. Dissertation (North Carolina: North Carolina State University
[25] Jain A, Ong S P, Hautier G, Chen W, Richards W D, Dacek S, Cholia S, Gunter D, Skinner D, Ceder G, Persson K A 2013 APL Mater. 1 011002
Google Scholar
[26] Kresse G, Furthmüller J 1996 Comput. Mater. Sci. 6 15
Google Scholar
[27] Gonze X, Lee C 1997 Phys. Rev. B 55 10355
Google Scholar
[28] Gajdos M, Hummer K, Kresse G, Furthmueller J, Bechstedt F 2006 Phys. Rev. B 73 045112
Google Scholar
[29] He Q M, Zheng Q, Li J, Wu H C, Shen W, Cao L Z, Liu Z Y, Xu J L 2021 Ann. Nucl. Energy 151 107978
Google Scholar
[30] Briggs J B, Scott L, Nouri A 2003 Nucl. Sci. Eng. 145 1
Google Scholar
-
图 4 不同氢含量下ZrHx的热散射截面 (a) 氢的非弹性散射截面; (b) 氢的非相干弹性散射截面; (c) 锆的非弹性散射截面; (d) 锆的相干弹性散射截面
Figure 4. Thermal scattering cross sections of ZrHx with different hydrogen contents: (a) Inelastic scattering cross section of H; (b) incoherent elastic scattering cross section of H; (c) inelastic scattering cross section of Zr; (d) coherent elastic scattering cross section of Zr
图 5 不同氢含量下YHx的热散射截面 (a) 氢的非弹性散射截面; (b) 氢的非相干弹性散射截面; (c) 钇的非弹性散射截面; (d) 钇的相干弹性散射截面
Figure 5. Thermal scattering cross sections of YHx with different hydrogen contents: (a) Inelastic scattering cross section of H; (b) incoherent elastic scattering cross section of H; (c) inelastic scattering cross section of Y; (d) coherent elastic scattering cross section of Y.
表 1 ICT003和ICT013系列基准题有效增殖系数计算结果
Table 1. The calculated effective multiplication factor for the ICT003 and ICT013 benchmarks.
基准题序号 ZrH1.59 ZrH2 ZrH1.69 ZrH1.41 keff keff 偏差/pcm keff 偏差/pcm keff 偏差/pcm ICT003_1 1.00308 1.00205 –103 1.00375 67 1.00412 104 ICT003_2 1.00791 1.00697 –94 1.00866 75 1.00864 73 ICT013_1 1.01204 1.01194 –10 1.01263 59 1.01274 70 ICT013_2 1.01189 1.01167 –22 1.01256 67 1.01272 83 表 2 HCM003系列基准题有效增殖系数计算结果
Table 2. The calculated effective multiplication factor for the HCM003 benchmarks.
基准题序号 ZrH2 ZrH1.69 ZrH1.59 ZrH1.41 keff keff 偏差/pcm keff 偏差/pcm keff 偏差/pcm HCM003_1 0.99760 0.99673 –87 0.99764 4 0.99705 –55 HCM003_2 0.99798 0.99692 –106 0.99776 –22 0.99686 –112 HCM003_3 0.99778 0.99685 –93 0.99745 –33 0.99689 –89 HCM003_4 0.99818 0.99718 –100 0.99784 –34 0.99693 –125 HCM003_5 0.99838 0.99691 –147 0.99789 –49 0.99707 –131 HCM003_6 0.99795 0.99678 –117 0.99741 –54 0.99705 –90 -
[1] Handbook on the Material Properties of Yttrium Hydride for High Temperature Moderator Applications, Hu X X, Wang H, Linton K, Le Coq A, Terrani K A https://www.osti.gov/servlets/purl/1808171/ [2021-7-15]
[2] Paramonov D V, El-Genk M S 1994 Nucl. Technol. 108 157
Google Scholar
[3] Evans J A, Sweet R T, Medvedev P G, Wagner A R, Parisi C, Lange T L, Perez E, Rice F, Jue J F, Woolstenhulme E, Arafat Y 2024 J. Nucl. Mater. 598 25
Google Scholar
[4] Snoj L, Zerovnik G, Trkov A 2012 Appl. Radiat. Isotopes 70 483
Google Scholar
[5] Betzler B R, Ade B J, Jain P K, Wysocki A, Chesser P C, Kirkland W M, Cetiner M S, Bergeron A, Heidet F, Terrani K 2022 Nucl. Sci. Eng. 196 1399
Google Scholar
[6] Mehta V, Vogel S, Kotlyar D, Cooper M 2022 Metals 12 199
Google Scholar
[7] Wang X, Tang M, Jiang M X, Chen Y C, Liu Z X, Deng H Q 2024 Chin. Phys. B 33 076103
Google Scholar
[8] Mehta V K, Vogel S C, Shivprasad A P, Luther E P, Andersson D A, Rao D V, Kotlyar D, Clausen B, Cooper M W D 2021 J. Nucl. Mater. 547 152837
Google Scholar
[9] ENDF-6 Formats Manual, Brown D A https://www.nndc.bnl.gov/endfdocs/ENDF-102-2023.pdf [2023-9-28]
[10] Tang Y Q, Zu T J, Yi S Y, Cao L Z, Wu H C 2020 Annals of Nuclear Energy 153 108044
Google Scholar
[11] Squires G L 1996 Introduction to the Theory of Thermal Neutron Scattering (Massachusetts: Courier Corporation) p30
[12] Zu T J, Tang Y Q, Wang L P, Cao L Z, Wu H C 2021 Ann. Nucl. Energy 161 108489
Google Scholar
[13] Wang L P, Wan C H, Cao L Z, Wu H C, Sjstrand H 2021 Ann. Nucl. Energy 151 107920
Google Scholar
[14] Švajger I, Fleming N, Hawari A, Laramee B, Noguere G, Snoj L, Trkov A 2025 Nucl. Eng. Technol. 57 103834
Google Scholar
[15] Mehta V K, Cooper M W D, Wilkerson R B, Kotlyar D, Rao D V, Vogel S C 2021 Nucl. Sci. Eng. 195 563
Google Scholar
[16] Mehta V K, Rehn D A, Olsson P A T 2024 J. Nucl. Eng. 5 330
Google Scholar
[17] Trainer A, Forget B, Holmes J, Wormald J, Zerkle M 2025 Ann. Nucl. Energy 212 111034
Google Scholar
[18] Wormald J, Zerkle M, Holmes J 2021 J. Nucl. Eng. 2 105
Google Scholar
[19] Zerkle M L, Holmes J C, Wormald J L 2021 EPJ Web Conf. 247 09015
Google Scholar
[20] Ge Z G, Xu R R, Wu H C, Zhang Y, Chen G C, Jin Y L, Shu N C, Chen Y J, Tao X, Tian Y, Liu P, Qian J, Wang J M, Zhang H Y, Liu L L, Huang X L 2020 EPJ Web Conf. 239 09001
Google Scholar
[21] Zu T J, Wu C Y, Feng H, Ma Y T, Cao L Z, Wu H C, Tang Y Q 2024 Prog. Nucl. Energy 177 105420
Google Scholar
[22] Placzek G 1952 Phys. Rev. 86 377
Google Scholar
[23] Coherent Scattering Law for Polycrystalline Beryllium, Borgonovi G M https://www.osti.gov/servlets/purl/4049796 [1969-5-16]
[24] Fleming N C 2021 Ph. D. Dissertation (North Carolina: North Carolina State University
[25] Jain A, Ong S P, Hautier G, Chen W, Richards W D, Dacek S, Cholia S, Gunter D, Skinner D, Ceder G, Persson K A 2013 APL Mater. 1 011002
Google Scholar
[26] Kresse G, Furthmüller J 1996 Comput. Mater. Sci. 6 15
Google Scholar
[27] Gonze X, Lee C 1997 Phys. Rev. B 55 10355
Google Scholar
[28] Gajdos M, Hummer K, Kresse G, Furthmueller J, Bechstedt F 2006 Phys. Rev. B 73 045112
Google Scholar
[29] He Q M, Zheng Q, Li J, Wu H C, Shen W, Cao L Z, Liu Z Y, Xu J L 2021 Ann. Nucl. Energy 151 107978
Google Scholar
[30] Briggs J B, Scott L, Nouri A 2003 Nucl. Sci. Eng. 145 1
Google Scholar
Catalog
Metrics
- Abstract views: 1517
- PDF Downloads: 35
- Cited By: 0









DownLoad: