Search

Article

x

留言板

尊敬的读者、作者、审稿人, 关于本刊的投稿、审稿、编辑和出版的任何问题, 您可以本页添加留言。我们将尽快给您答复。谢谢您的支持!

姓名
邮箱
手机号码
标题
留言内容
验证码

Influence of alloying elements on the thermodynamic and elastic properties of palladium based alloys and database construction

ZHU Hanyu CHONG Xiaoyu GAO Xingyu WU Haijun LI Zulai FENG Jing SONG Haifeng

Citation:

Influence of alloying elements on the thermodynamic and elastic properties of palladium based alloys and database construction

ZHU Hanyu, CHONG Xiaoyu, GAO Xingyu, WU Haijun, LI Zulai, FENG Jing, SONG Haifeng
cstr: 32037.14.aps.74.20251058
Article Text (iFLYTEK Translation)
PDF
HTML
Get Citation
  • The lower friction coefficient and superior mechanical properties of palladium (Pd) alloys make them potentially advantageous for use in high-precision instruments and devices that require long-term stable performance. However, the high cost of raw materials and experimental expenses result in a lack of fundamental data, which hinders the design of high-performance Pd alloys. Therefore, in this study, first-principles calculations are used to determine the lattice constant and elastic modulus of Pd. A model of dilute solid solutions formed by Pd with 33 alloying elements including Al, Si, Sc, Ti, V, Cr, Mn, Fe, Co, Ni, and others, is established. The mixing enthalpy, elastic constant, and elastic modulus are calculated. The results show that, all other alloying elements except for Mn, Fe, Co, Ni, Ru, Rh, Os, and Ir can form solid solutions with Pd. Alloying elements from both sides of the periodic table enhance the ductility of Pd solid solutions, with La, Ag, and Zn having the most significant effects, while Cu and Hf reduce the ductility of Pd. Differential charge density analysis indicates that the electron cloud formed after doping with Ag is spherically distributed, thereby improving ductility. After doping with Hf, the degree of delocalization around the atoms is maximized, indicating a strong ionic bond between Hf and Pd, which results in a higher hardness of Pd31Hf. The datasets presented in this paper are openly available at https://www.doi.org/10.57760/sciencedb.j00213.00186.
      Corresponding author: CHONG Xiaoyu, xiaoyuchong@kust.edu.cn ; GAO Xingyu, gao_xingyu@iapcm.ac.cn
    • Funds: Project supported by the Key Research and Development Program of Yunnan Province, China (Grant No. 202403AA080016).
    [1]

    高书亮, 樊思思, 袁成, 曹军伟 2023 航空兵器 30 11Google Scholar

    Gao S L, Fan S S, Yuan C, Cao J W 2023 Aero Weapon. 30 11Google Scholar

    [2]

    Xu X, Lv J X, Wang Y, Li M, Wang Z, Wang H 2025 Mater. Genome Eng. Adv. 3 e69Google Scholar

    [3]

    焦磊 2018 硕士学位论文 (北京: 北京工业大学)

    Jiao L 2018 M. S. Thesis ( Beijing: Beijing University of Technology

    [4]

    马晓东 余建军 赵涛 2016 山东工业技术 19 2Google Scholar

    Ma X D, Yu J J, Zhao T 2016 Shandong Ind. Technol. 19 2Google Scholar

    [5]

    宿彦京, 付华栋, 白洋, 姜雪, 谢建新 2020 金属学报 56 1313Google Scholar

    Su Y J, Fu H D, Bai Y, Jiang X, Xie J X 2020 Acta Metall. Sin. 56 1313Google Scholar

    [6]

    Wang Z R, Qin M Y, Zhang P, Xu Y G, Que S T, Yan F, Xiang X D 2025 Mater. Genome Eng. Adv. 3 e70010Google Scholar

    [7]

    汪洪, 向勇, 项晓东, 陈立泉 2015 科技导报 33 13Google Scholar

    Wang H, Xiang Y, Xiang X D, Chen L Q 2015 Sci. Technol. Rev. 33 13Google Scholar

    [8]

    Guo Z K, Li R, He X F, Guo J, Ju S H 2024 Mater. Genome Eng. Adv. 2 e73Google Scholar

    [9]

    Meng H Y, Huang J, Zhao T H, Zhang X Y, Tong Y, Qu J L, Li W D, Jiang L, Meng F C, Chen S Y 2025 Mater. Genome Eng. Adv. 9 e70002Google Scholar

    [10]

    Wang W Y, Tang B, Shang S L, Wang J, Li S, Wang Y, Zhu J, Wei S, Wang J, Darling K A, Mathaudhu S N, Wang Y, Ren Y, Hui X D, Kecskes L J, Li J, Liu Z K 2019 Acta Mater. 170 231Google Scholar

    [11]

    Xia Y X, He J G, Chen N F, Chen J K 2024 Rare Metals 43 3460Google Scholar

    [12]

    Chong X Y, Paz Soldan Palma J, Wang Y, Shang S L, Drymiotis F, Ravi V A, Star K E, Fleurial J P, Liu Z K 2021 Acta Mater. 217 117169Google Scholar

    [13]

    Hu Y C, Tian J 2023 J. Mater. Informat. 3 1Google Scholar

    [14]

    Wang W Y, Gan B, Lin D, Wang J, Wang Y, Tang B, Kou H C, Shang S L, Wang Y, Gao X Y, Song H F, Hui X D, Kecskes L J, Xia Z H, Dahmen K A, Liaw P K, Li J S, Liu Z K 2020 J. Mater. Sci. Technol. 53 192Google Scholar

    [15]

    Zou C, Li J, Wang W Y, Zhang Y, Lin D, Yuan R, Wang X, Tang B, Wang J, Gao X Y, Kou H, Hui X D, Zeng X Q, Ma Q, Song H F, Liu Z K, Xu D S 2021 Acta Mater. 202 211Google Scholar

    [16]

    Liao M Q, Liu Y, Min L, Lai Z H, Han T Y, Yang D, Zhu J C 2018 Intermetallics. 101 152Google Scholar

    [17]

    Birch F 1947 Phys. Rev. 71 809Google Scholar

    [18]

    Shang S L, Wang Y, Kim D, Liu Z K 2010 Comput. Mater. Sci. 47 1040Google Scholar

    [19]

    周云轩 2021 博士学位论文 (昆明: 昆明理工大学)

    Zhou Y X 2021 Ph. D. Dissertation ( Kunming: Kunming University of Science and Technology

    [20]

    Chong X Y, Wei Y, Liang Y X, Shang S L, Li C, Zhang A M, Wei Y, Gao X Y, Wang Y, Feng J, Chen L, Song H F, Liu Z K 2023 J. Mater. Inf. 3 21Google Scholar

    [21]

    Teter D M, Gibbs G V, Boisen M B Jr, Allan D C, Teter M P 1995 Phys. Rev. B 52 8064Google Scholar

    [22]

    Huang Z H, Liu G T, Zhang B F, Yan M F, Fu Y D 2020 Phys. Lett. A 384 126797Google Scholar

    [23]

    Su Y, Liang C X, Wang D 2023 J. Mater. Inf. 3 14Google Scholar

    [24]

    Duan Y H, Sun Y, Peng M J, Zhou S G 2014 J. Alloys Compd. 595 14Google Scholar

    [25]

    Tang B Y, Chen P, Li D L, Yi J X, Wen L, Peng L M, Ding W J 2010 J. Alloys Compd. 492 416Google Scholar

    [26]

    Wang Y, Liao M Q, Bocklund B J, Gao P, Shang S L, Kim H J, Beese A M, Chen L Q, Liu Z K 2021 Calphad 75 102355Google Scholar

    [27]

    Liu Y, Lu Y H, Wang W, Li J, Zhang Y, Yin J, Pan X Q, Chen Y, Li J S, Song H F 2023 J. Mater. Inf. 3 17Google Scholar

    [28]

    Chen R T, Li E, Zou Y 2024 J. Mater. Inf. 4 26Google Scholar

    [29]

    Perdew J P, Ruzsinszky A, Csonka G I, Vydrov O A, Scuseria G E, Constantin L A, Zhou X, Burke K 2008 Phys. Rev. Lett. 100 136406Google Scholar

    [30]

    Vega L, Vines F 2020 J. Comput. Chem. 41 2598Google Scholar

    [31]

    Tretiakov K V, Wojciechowski K W 2008 J. Non-Cryst. Solids 354 35Google Scholar

    [32]

    Ji H, Yin J, Wei G, Lai W S, Liu B X, Liu J B 2023 Rare Metals 42 1663Google Scholar

    [33]

    Li R Y, Duan Y H 2016 Philos. Mag. 96 972Google Scholar

    [34]

    Ozisik H B, Deligoz E, Ozisik H, Ateser E 2020 Mater. Res. Express 7 025004Google Scholar

    [35]

    Kenneth Barbalace https://EnvironmentalChemistry.com/yogi/periodic/Pd.html [2025-10-12]

    [36]

    Samsonov G V 1968 Handbook of the Physicochemical Properties of the Elements (New York: Springer New

    [37]

    彭红建, 谢佑卿, 陶辉锦 2006 中国有色金属学报 16 100Google Scholar

    Peng H J, Xie Y Q, Tao H J 2006 Trans. Nonferrous Met. Soc. China 16 100Google Scholar

    [38]

    段亚娟, 乔吉超 2022 物理学报 71 086101Google Scholar

    Duan Y J, Qiao J C 2022 Acta Phys. Sin. 71 086101Google Scholar

    [39]

    Zhang X Z, Wang D T, Nagaumi H, Wang R, Wu Z B, Zhang M H, Gao D S, Chen H, Wang P F, Zhou P F, Zhou Y X, Wang Z X, Li T L 2025 Mater. Genome Eng. Adv. 3 e70008Google Scholar

    [40]

    Born M 1939 J. Chem. Phys. 7 591Google Scholar

    [41]

    Wang G C, Jiang Y H, Li Z L, Chong X Y, Feng J 2021 Ceram. Int. 47 4758Google Scholar

    [42]

    Xu X W, Fu K, Li L L, Lu Z M, Zhang X H, Fan Y, Lin J, Liu G D, Luo H Z, Tang C C 2013 Physica B 419 105Google Scholar

    [43]

    Tan F Q, Bai Q G, Yu B, Wang J F, Zhang Z H 2024 Rare Metals 43 5305Google Scholar

    [44]

    庄严, 陈敬超, 吕连灏 2015 材料导报 29 150Google Scholar

    Yan Z, Chen J C, Lv L U 2015 Mater. Rev. 29 150Google Scholar

    [45]

    Li W, Zhang Y L, Cheng X, Wang J Q, Yang B, Guo H G 2022 Sep. Purif. Technol. 282 119967

    [46]

    Chen F Q, Ding J Q, Guo K Q, Yang L, Zhang Z G, Yang Q W, Yang Y W, Bao Z B, He Y, Ren Q L 2021 Angew. Chem. Int. Ed. 60 2341Google Scholar

    [47]

    Ma W, Huang H, Ding W, Guo S, Liu H X, Cheng X N 2023 Rare Metals 42 1670Google Scholar

  • 图 1  (a) Pd超胞模型; (b) Pd的能量-体积曲线; (c) Pd的弹性模量与实验值对比

    Figure 1.  (a) Supercell models of Pd; (b) the energy-volume curves for Pd; (c) comparison of the elastic modulus of Pd with experimental values.

    图 2  Pd31X晶体结构示意图

    Figure 2.  Crystal structure of Pd31X.

    图 3  Pd31X (X = Al, Si, Sc, Ti, V, Cr, Mn, Fe, Co, Ni, Cu, Zn, Ga, Y, Zr, Nb, Mo, Tc, Ru, Rh, Pd, Ag, Cd, La, Ce, Hf, Ta, W, Re, Os, Ir, Pt, Th)的能量-体积曲线

    Figure 3.  Energy-volume curves for Pd31X (X = Al, Si, Sc, Ti, V, Cr, Mn, Fe, Co, Ni, Cu, Zn, Ga, Y, Zr, Nb, Mo, Tc, Ru, Rh, Pd, Ag, Cd, La, Ce, Hf, Ta, W, Re, Os, Ir, Pt, Th).

    图 4  原子弛豫(a)和完全弛豫(b)策略下Ir-X二元合金的混合焓的三点拟合

    Figure 4.  Three-point fitting of the mixing enthalpy of Ir-X binary alloys under atomic relaxation (a) and complete relaxation (b) strategies.

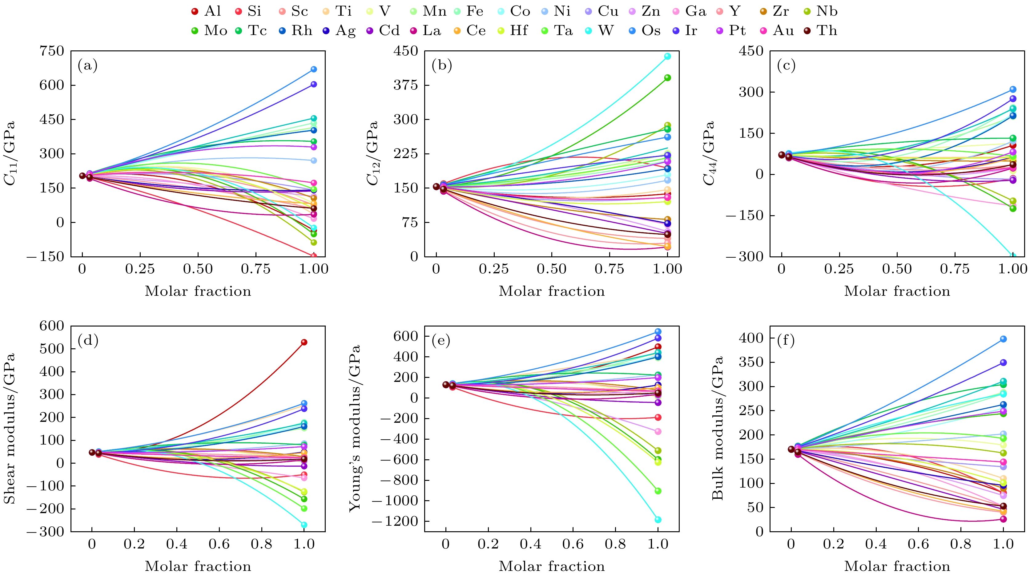
    图 5  钯基稀固溶体合金的弹性特性 (a) 体模量; (b) 剪切模量; (c) 杨氏模量; (d) 泊松比

    Figure 5.  Elastic properties of Pd-based dilute alloys: (a) Bulk modulus; (b) shear modulus; (c) Young’s modulus; (d) Poisson’s ratio.

    图 6  通过R-K多项式得到的Pd-X二元合金的弹性常数和弹性模量

    Figure 6.  Elastic constants and elastic modulus of Pd-X binary alloys obtained through R-K polynomials.

    图 7  钯基稀固溶体合金在完全弛豫策略下的泊松比与B/G的关系

    Figure 7.  Poisson’s ratio and B/G relationship of dilute Pd-based alloys under the complete relaxation strategy in terms of computational materials science.

    图 8  差分电荷密度 (a) (111)面; (b) (100)面

    Figure 8.  Differential charge density: (a) (111) plane; (b) (100) plane.

    表 1  Pd稀固溶体原子及完全松弛豫略下的体积(V )、混合焓(ΔH )与零阶相互作用参数(0L)

    Table 1.  Volume (V ), mixing enthalpy (ΔH ), and zero-order interaction parameter (0L) for atomic and complete relaxation strategies of Pd dilute solid solution.

    $ {\text{P}}{{\text{d}}_{31}}X $ Atom relaxing strategy Full relaxing strategy Solid solubility
    V/(Å3·unit cell–1) ΔH/(J·mol–1) 0L V/(Å3·unit cell–1) ΔH/(J·mol–1) 0L
    Al 487.87 –8564.71 –282911.59 486.32 –8681.80 –286779.56 5%
    Si 487.87 –7619.23 –251680.33 484.34 –7644.04 –252499.95 6.00%
    Sc 487.87 –11153.07 –368411.25 491.01 –11418.30 –377172.35 10%
    Ti 487.87 –10113.64 –334076.21 487.22 –10255.70 –338768.78 6%
    V 487.87 –6175.68 –203996.75 485.01 –6249.44 –206433.24 10%
    Cr 487.87 –1968.7 –65030.61 485.57 –1897.47 –62677.72 12%
    Mn 487.87 1093.49 36120.32 483.34 962.92 31807.49 15%
    Fe 487.87 2205.78 72862.04 483.35 2006.79 66288.66 10%
    Co 487.87 1678.78 55453.81 483.60 1427.42 47151.00 3%
    Ni 487.87 524.51 17325.86 484.15 270.46 8933.84 完全互溶
    Cu 487.87 –766.65 –25324.15 485.30 –997.37 –32945.41 20%
    Zn 487.87 –4513.42 –149088.54 486.68 –4589.15 –151590.11 7%
    Ga 487.87 –6361.88 –210147.41 487.05 –6472.09 –213787.63
    Y 487.87 –10057.30 –332215.41 496.61 –10411.01 –343899.13 8%
    Zr 487.87 –11826.39 –390652.51 492.53 –12047.20 –397946.22 8%
    Nb 487.87 –9494.62 –313628.61 489.21 –9616.53 –317655.76 15%
    Mo 487.87 –5023.61 –165941.15 487.39 –5089.07 –168103.51 23%
    Tc 487.87 –973.48 –32156.31 486.18 –1072.43 –35424.78 25%—86%
    Ru 487.87 1059.92 35011.71 486.21 995.81 32893.73 4%
    Rh 487.87 814.70 26911.42 486.61 531.91 17570.24 8%
    Ag 487.87 –18.04 –595.92 490.16 –128.24 –4236.11 完全互溶
    Cd 487.87 –3068.11 –101346.48 492.11 –3208.36 –105979.25
    La 487.87 –8248.78 –272475.91 501.57 –8649.21 –285703.03
    Ce 487.87 –11290.17 –372939.69 497.96 –11613.00 –383603.62 17%
    Hf 487.87 –12565.04 –415051.67 491.86 –12765.53 –421674.24 12%
    Ta 487.87 –10076.76 –332858.26 489.28 –10186.26 –336475.27 4%
    W 487.87 –5839.20 –192881.85 487.40 –5887.76 –194485.85 28%
    Re 487.87 –1398.74 –46203.54 487.82 –1356.74 –44816.19 18%
    Os 487.87 1196.45 39521.60 486.10 1091.13 36042.65 9%
    Ir 487.87 1114.98 36830.25 486.88 910.96 30091.00 3%
    Pt 487.87 –229.64 –7585.51 488.04 –509.93 –16844.30 完全互溶
    Au 487.87 –458.08 –15131.47 490.65 –733.56 –24231.25 完全互溶
    Th 487.87 –12313.59 –406745.80 501.50 –12676.97 –418748.79
    DownLoad: CSV

    表 2  完全驰豫下的钯基稀固溶体合金的计算弹性性能(GPa), 包括弹性常数$ {C_{ij}} $、体模量、剪切模量、杨氏模量、B/G和泊松比

    Table 2.  Calculated elastic properties (GPa) of Pd-based dilute alloys in full relaxing strategy, including Elastic constants $ {C_{ij}} $, bulk modulus, shear modulus, Young’s modulus, B/G and Poisson’s ratio.

    $ {\text{P}}{{\text{d}}_{31}}X $ C11 C12 C44 G B E B/G υ $ {\text{P}}{{\text{d}}_{31}}X $ C11 C12 C44 G B E B/G υ
    Al 207 151 65 47 170 128 3.643 0.374 Tc 215 158 75 51 177 140 3.463 0.368
    Si 197 160 61 38 172 106 4.548 0.398 Ru 213 155 69 49 174 134 3.550 0.371
    Sc 208 147 68 49 167 135 3.383 0.365 Rh 213 153 64 47 173 130 3.674 0.375
    Ti 212 151 71 51 171 138 3.381 0.365 Ag 200 151 64 43 168 120 3.859 0.381
    V 212 153 73 50 173 138 3.432 0.367 Cd 199 150 64 44 167 120 3.820 0.380
    Cr 211 153 74 51 172 139 3.375 0.365 La 193 143 61 42 160 116 3.784 0.379
    Mn 213 155 70 49 174 135 3.544 0.371 Ce 199 147 64 44 165 122 3.720 0.377
    Fe 212 154 66 47 173 130 3.655 0.375 Hf 210 150 70 50 170 137 3.405 0.366
    Co 212 152 64 47 172 129 3.659 0.375 Ta 213 154 74 51 174 140 3.403 0.366
    Ni 211 151 63 47 171 129 3.654 0.375 W 212 156 77 51 175 140 3.409 0.366
    Cu 207 151 66 47 169 129 3.611 0.373 Re 213 155 75 50 174 140 3.402 0.366
    Zn 203 152 64 44 169 122 3.814 0.379 Os 214 157 74 51 176 138 3.486 0.369
    Ga 205 152 63 45 169 123 3.791 0.379 Ir 213 156 67 48 175 131 3.684 0.376
    Y 202 145 66 47 164 129 3.471 0.369 Pt 214 153 63 47 174 129 3.689 0.376
    Zr 210 150 70 50 170 136 3.418 0.367 Au 207 151 65 46 170 127 3.666 0.375
    Nb 211 153 74 51 172 139 3.375 0.365 Th 198 148 64 44 165 121 3.742 0.377
    Mo 212 155 76 51 174 140 3.393 0.366
    DownLoad: CSV
  • [1]

    高书亮, 樊思思, 袁成, 曹军伟 2023 航空兵器 30 11Google Scholar

    Gao S L, Fan S S, Yuan C, Cao J W 2023 Aero Weapon. 30 11Google Scholar

    [2]

    Xu X, Lv J X, Wang Y, Li M, Wang Z, Wang H 2025 Mater. Genome Eng. Adv. 3 e69Google Scholar

    [3]

    焦磊 2018 硕士学位论文 (北京: 北京工业大学)

    Jiao L 2018 M. S. Thesis ( Beijing: Beijing University of Technology

    [4]

    马晓东 余建军 赵涛 2016 山东工业技术 19 2Google Scholar

    Ma X D, Yu J J, Zhao T 2016 Shandong Ind. Technol. 19 2Google Scholar

    [5]

    宿彦京, 付华栋, 白洋, 姜雪, 谢建新 2020 金属学报 56 1313Google Scholar

    Su Y J, Fu H D, Bai Y, Jiang X, Xie J X 2020 Acta Metall. Sin. 56 1313Google Scholar

    [6]

    Wang Z R, Qin M Y, Zhang P, Xu Y G, Que S T, Yan F, Xiang X D 2025 Mater. Genome Eng. Adv. 3 e70010Google Scholar

    [7]

    汪洪, 向勇, 项晓东, 陈立泉 2015 科技导报 33 13Google Scholar

    Wang H, Xiang Y, Xiang X D, Chen L Q 2015 Sci. Technol. Rev. 33 13Google Scholar

    [8]

    Guo Z K, Li R, He X F, Guo J, Ju S H 2024 Mater. Genome Eng. Adv. 2 e73Google Scholar

    [9]

    Meng H Y, Huang J, Zhao T H, Zhang X Y, Tong Y, Qu J L, Li W D, Jiang L, Meng F C, Chen S Y 2025 Mater. Genome Eng. Adv. 9 e70002Google Scholar

    [10]

    Wang W Y, Tang B, Shang S L, Wang J, Li S, Wang Y, Zhu J, Wei S, Wang J, Darling K A, Mathaudhu S N, Wang Y, Ren Y, Hui X D, Kecskes L J, Li J, Liu Z K 2019 Acta Mater. 170 231Google Scholar

    [11]

    Xia Y X, He J G, Chen N F, Chen J K 2024 Rare Metals 43 3460Google Scholar

    [12]

    Chong X Y, Paz Soldan Palma J, Wang Y, Shang S L, Drymiotis F, Ravi V A, Star K E, Fleurial J P, Liu Z K 2021 Acta Mater. 217 117169Google Scholar

    [13]

    Hu Y C, Tian J 2023 J. Mater. Informat. 3 1Google Scholar

    [14]

    Wang W Y, Gan B, Lin D, Wang J, Wang Y, Tang B, Kou H C, Shang S L, Wang Y, Gao X Y, Song H F, Hui X D, Kecskes L J, Xia Z H, Dahmen K A, Liaw P K, Li J S, Liu Z K 2020 J. Mater. Sci. Technol. 53 192Google Scholar

    [15]

    Zou C, Li J, Wang W Y, Zhang Y, Lin D, Yuan R, Wang X, Tang B, Wang J, Gao X Y, Kou H, Hui X D, Zeng X Q, Ma Q, Song H F, Liu Z K, Xu D S 2021 Acta Mater. 202 211Google Scholar

    [16]

    Liao M Q, Liu Y, Min L, Lai Z H, Han T Y, Yang D, Zhu J C 2018 Intermetallics. 101 152Google Scholar

    [17]

    Birch F 1947 Phys. Rev. 71 809Google Scholar

    [18]

    Shang S L, Wang Y, Kim D, Liu Z K 2010 Comput. Mater. Sci. 47 1040Google Scholar

    [19]

    周云轩 2021 博士学位论文 (昆明: 昆明理工大学)

    Zhou Y X 2021 Ph. D. Dissertation ( Kunming: Kunming University of Science and Technology

    [20]

    Chong X Y, Wei Y, Liang Y X, Shang S L, Li C, Zhang A M, Wei Y, Gao X Y, Wang Y, Feng J, Chen L, Song H F, Liu Z K 2023 J. Mater. Inf. 3 21Google Scholar

    [21]

    Teter D M, Gibbs G V, Boisen M B Jr, Allan D C, Teter M P 1995 Phys. Rev. B 52 8064Google Scholar

    [22]

    Huang Z H, Liu G T, Zhang B F, Yan M F, Fu Y D 2020 Phys. Lett. A 384 126797Google Scholar

    [23]

    Su Y, Liang C X, Wang D 2023 J. Mater. Inf. 3 14Google Scholar

    [24]

    Duan Y H, Sun Y, Peng M J, Zhou S G 2014 J. Alloys Compd. 595 14Google Scholar

    [25]

    Tang B Y, Chen P, Li D L, Yi J X, Wen L, Peng L M, Ding W J 2010 J. Alloys Compd. 492 416Google Scholar

    [26]

    Wang Y, Liao M Q, Bocklund B J, Gao P, Shang S L, Kim H J, Beese A M, Chen L Q, Liu Z K 2021 Calphad 75 102355Google Scholar

    [27]

    Liu Y, Lu Y H, Wang W, Li J, Zhang Y, Yin J, Pan X Q, Chen Y, Li J S, Song H F 2023 J. Mater. Inf. 3 17Google Scholar

    [28]

    Chen R T, Li E, Zou Y 2024 J. Mater. Inf. 4 26Google Scholar

    [29]

    Perdew J P, Ruzsinszky A, Csonka G I, Vydrov O A, Scuseria G E, Constantin L A, Zhou X, Burke K 2008 Phys. Rev. Lett. 100 136406Google Scholar

    [30]

    Vega L, Vines F 2020 J. Comput. Chem. 41 2598Google Scholar

    [31]

    Tretiakov K V, Wojciechowski K W 2008 J. Non-Cryst. Solids 354 35Google Scholar

    [32]

    Ji H, Yin J, Wei G, Lai W S, Liu B X, Liu J B 2023 Rare Metals 42 1663Google Scholar

    [33]

    Li R Y, Duan Y H 2016 Philos. Mag. 96 972Google Scholar

    [34]

    Ozisik H B, Deligoz E, Ozisik H, Ateser E 2020 Mater. Res. Express 7 025004Google Scholar

    [35]

    Kenneth Barbalace https://EnvironmentalChemistry.com/yogi/periodic/Pd.html [2025-10-12]

    [36]

    Samsonov G V 1968 Handbook of the Physicochemical Properties of the Elements (New York: Springer New

    [37]

    彭红建, 谢佑卿, 陶辉锦 2006 中国有色金属学报 16 100Google Scholar

    Peng H J, Xie Y Q, Tao H J 2006 Trans. Nonferrous Met. Soc. China 16 100Google Scholar

    [38]

    段亚娟, 乔吉超 2022 物理学报 71 086101Google Scholar

    Duan Y J, Qiao J C 2022 Acta Phys. Sin. 71 086101Google Scholar

    [39]

    Zhang X Z, Wang D T, Nagaumi H, Wang R, Wu Z B, Zhang M H, Gao D S, Chen H, Wang P F, Zhou P F, Zhou Y X, Wang Z X, Li T L 2025 Mater. Genome Eng. Adv. 3 e70008Google Scholar

    [40]

    Born M 1939 J. Chem. Phys. 7 591Google Scholar

    [41]

    Wang G C, Jiang Y H, Li Z L, Chong X Y, Feng J 2021 Ceram. Int. 47 4758Google Scholar

    [42]

    Xu X W, Fu K, Li L L, Lu Z M, Zhang X H, Fan Y, Lin J, Liu G D, Luo H Z, Tang C C 2013 Physica B 419 105Google Scholar

    [43]

    Tan F Q, Bai Q G, Yu B, Wang J F, Zhang Z H 2024 Rare Metals 43 5305Google Scholar

    [44]

    庄严, 陈敬超, 吕连灏 2015 材料导报 29 150Google Scholar

    Yan Z, Chen J C, Lv L U 2015 Mater. Rev. 29 150Google Scholar

    [45]

    Li W, Zhang Y L, Cheng X, Wang J Q, Yang B, Guo H G 2022 Sep. Purif. Technol. 282 119967

    [46]

    Chen F Q, Ding J Q, Guo K Q, Yang L, Zhang Z G, Yang Q W, Yang Y W, Bao Z B, He Y, Ren Q L 2021 Angew. Chem. Int. Ed. 60 2341Google Scholar

    [47]

    Ma W, Huang H, Ding W, Guo S, Liu H X, Cheng X N 2023 Rare Metals 42 1670Google Scholar

  • [1] Liu Zhi-Cheng, Zhou Jie, Chen Fan, Peng Biao, Peng Wen-Yi, Zhang Ai-Sheng, Deng Xiao-Hua, Luo Xian-Zhi, Liu Ri-Xin, Liu De-Wu, Huang Yu, Yan Jun. First-principles study of influence of Si on γ phase in Inconel 718 alloy. Acta Physica Sinica, 2023, 72(18): 186301. doi: 10.7498/aps.72.20230583
    [2] Zhang Jiang-Lin, Wang Zhong-Min, Wang Dian-Hui, Hu Chao-Hao, Wang Feng, Gan Wei-Jiang, Lin Zhen-Kun. First principles study of V/Pd interface interactions and their hydrogen absorption properties. Acta Physica Sinica, 2023, 72(16): 168801. doi: 10.7498/aps.72.20230132
    [3] Zhang Bo-Kai. Microscopic theory for elastic modulus of colloidal polymers: Effect of bond length. Acta Physica Sinica, 2021, 70(12): 126401. doi: 10.7498/aps.70.20210128
    [4] Fu Xian-Kai, Chen Wan-Qi, Jiang Zhong-Sheng, Yang Bo, Zhao Xiang, Zuo Liang. First-principles investigation on elastic, electronic, and optical properties of Ti3O5. Acta Physica Sinica, 2019, 68(20): 207301. doi: 10.7498/aps.68.20190664
    [5] Yan Shun-Tao, Jiang Zhen-Yi. First principles study of the effect of Cu doping on the martensitic transformation of TiNi alloy. Acta Physica Sinica, 2017, 66(13): 130501. doi: 10.7498/aps.66.130501
    [6] Zhang Chao-Min, Jiang Yong, Yin Deng-Feng, Tao Hui-Jin, Sun Shun-Ping, Yao Jian-Gang. Effects of point defect concentrations on elastic properties of off-stoichiometric L12-type A13Sc. Acta Physica Sinica, 2016, 65(7): 076101. doi: 10.7498/aps.65.076101
    [7] Ma Lei, Wang Xu, Shang Jia-Xiang. Effect of Pd in NiTi on the martensitic transformation temperatures and hysteresis: a first-principles study. Acta Physica Sinica, 2014, 63(23): 233103. doi: 10.7498/aps.63.233103
    [8] Fan Kai-Min, Yang Li, Sun Qing-Qiang, Dai Yun-Ya, Peng Shu-Ming, Long Xing-Gui, Zhou Xiao-Song, Zu Xiao-Tao. First-principles study on elastic properties of hexagonal phase ErAx (A=H, He). Acta Physica Sinica, 2013, 62(11): 116201. doi: 10.7498/aps.62.116201
    [9] Zhou Ping, Wang Xin-Qiang, Zhou Mu, Xia Chuan-Hui, Shi Ling-Na, Hu Cheng-Hua. First-principles study of pressure induced phase transition, electronic structure and elastic properties of CdS. Acta Physica Sinica, 2013, 62(8): 087104. doi: 10.7498/aps.62.087104
    [10] Ru Qiang, Li Yan-Ling, Hu She-Jun, Peng Wei, Zhang Zhi-Wen. The investigation of lithium insertion mechanism for Sn3InSb4 alloy based on first-principle calculation. Acta Physica Sinica, 2012, 61(3): 038210. doi: 10.7498/aps.61.038210
    [11] Song Yun-Fei, Yu Guo-Yang, Yin He-Dong, Zhang Ming-Fu, Liu Yu-Qiang, Yang Yan-Qiang. Temperature dependence of elastic modulus of single crystal sapphire investigated by laser ultrasonic. Acta Physica Sinica, 2012, 61(6): 064211. doi: 10.7498/aps.61.064211
    [12] Zhang Zheng-Gang, Ta De-An. Study of bone fatigue evaluation with ultrasonic guide waves based on elastic modulus. Acta Physica Sinica, 2012, 61(13): 134304. doi: 10.7498/aps.61.134304
    [13] Wang Yu-Mei, Pei Hui-Xia, Ding Jun, Wen Li-Wei. First-principles study of magnetism and electronic structureof Sb-containing half-Heusler alloys. Acta Physica Sinica, 2011, 60(4): 047110. doi: 10.7498/aps.60.047110
    [14] Hu Yu-Ping, Ping Kai-Bin, Yan Zhi-Jie, Yang Wen, Gong Chang-Wei. First-principles calculations of structure and magnetic properties of -Fe(Si)phase precipitated in the Finemet alloy. Acta Physica Sinica, 2011, 60(10): 107504. doi: 10.7498/aps.60.107504
    [15] Fan Kai-Min, Yang Li, Peng Shu-Ming, Long Xing-Gui, Wu Zhong-Cheng, Zu Xiao-Tao. First-principles calculation for elastic constantsof α-ScDx(D=H, He). Acta Physica Sinica, 2011, 60(7): 076201. doi: 10.7498/aps.60.076201
    [16] Jiang Xue-Fan, Luo Li-Jin, Jiang Qing, Zhong Chong-Gui, Tan Zhi-Zhong, Quan Hong-Rui. First-principle prediction of magnetic shape memory effect of Heusler alloy Mn2NiGe. Acta Physica Sinica, 2010, 59(11): 8037-8041. doi: 10.7498/aps.59.8037
    [17] Li Shi-Na, Liu Yong. First-principles calculation of elastic and thermodynamic properties of copper nitride. Acta Physica Sinica, 2010, 59(10): 6882-6888. doi: 10.7498/aps.59.6882
    [18] Wang Na, Tang Bi-Yu. Structural,elastic and electronic properties of L12 aluminum phases from first principles calculation. Acta Physica Sinica, 2009, 58(13): 230-S234. doi: 10.7498/aps.58.230
    [19] Zhu Jian-Xin, Li Yong-Hua, Meng Fan-Ling, Liu Chang-Sheng, Zheng Wei-Tao, Wang Yu-Ming. A first principles investigation on NiTi alloy. Acta Physica Sinica, 2008, 57(11): 7204-7209. doi: 10.7498/aps.57.7204
    [20] Yu Xiao, Luo Xiao-Guang, Chen Gui-Feng, Shen Jun, Li Yang-Xian. First principle calculation of structural, elastic and electronic properties of XHfO3(X=Ba, Sr). Acta Physica Sinica, 2007, 56(9): 5366-5370. doi: 10.7498/aps.56.5366
Metrics
  • Abstract views:  393
  • PDF Downloads:  1
  • Cited By: 0
Publishing process
  • Received Date:  06 August 2025
  • Accepted Date:  19 October 2025
  • Available Online:  05 November 2025
  • Published Online:  20 December 2025
  • /

    返回文章
    返回