-
Brillouin light scattering (BLS) spectroscopy has emerged as a cornerstone technique for investigating elementary excitations in condensed matter systems, offering unique capabilities for the noninvasive characterization of magnon and phonon dynamics. This review examines the fundamental principles, technological evolution, and diverse applications of BLS across multiple research domains. BLS operates through inelastic scattering between photons and quasiparticles (magnons, phonons), enabling precise measurement of excitation frequencies, propagation characteristics, and interaction mechanisms through the detection of characteristic frequency shifts. Since Brillouin's theoretical prediction in 1914 and Gross's experimental verification in 1930, this technique has evolved dramatically. The Sandercock’s revolutionary development of tandem Fabry-Pérot interferometers in the 1970s laid the foundation for modern high-resolution BLS systems, achieving contrast ratios exceeding $ 10^{10} $ and frequency resolution in the MHz range. We detail four advanced BLS configurations: 1) Traditional wave-vector-resolved systems that can precisely measure dispersion relation and detect non-reciprocal spin wave propagation induced by Dzyaloshinskii-Moriya interactions; 2) Micro-focused BLS (μBLS) that can achieve sub-micrometer spatial resolution for nanoscale magnetic structure characterization; 3) Time-resolved BLS (TR-BLS) that provides nanosecond temporal resolution for studying ultrafast dynamics, magnon Bose-Einstein condensation, and nonlinear phenomena; 4) Phase-resolved BLS (PR-BLS) that can directly measure wave vector and phase through electro-optical modulation. Beyond traditional magnonic applications, BLS demonstrates remarkable versatility in phonon research and magnetoacoustic coupling studies. The technique's polarization-sensitive detection can simultaneously investigate the magnon-phonon hybrid states and energy transfer mechanisms. Notably, BLS has successfully expanded into biomedical applications, exhibiting non-contact characterization of cellular and tissue viscoelastic properties at GHz frequencies and revealing disease-related biomechanical changes. As BLS technology continues to advance through improved instrumentation and novel methods, it serves as an indispensable platform spanning quantum materials research, magnonic device development, and cellular mechanobiology, positioning itself at the forefront of interdisciplinary science, thus bridging condensed matter physics, materials engineering, and biomedical research. -
Keywords:
- Brillouin light scattering /
- spin wave /
- phonon /
- tandem Fabry-Pérot interferometer
[1] Brillouin L 1914 C. R. Hebd. Acad. Sci. 158 1331
[2] Brillouin L 1922 Ann. Phys. 9 88
Google Scholar
[3] Mandelstam L I 1926 Zh. Russ. Fiz.-Khim. O-va. 58 146
[4] Gross E 1930 Nature 126 201
Google Scholar
[5] Maiman T H 1960 Nature 187 493
Google Scholar
[6] Fleury P, Porto S, Cheesman L, Guggenheim H 1966 Phys. Rev. Lett. 17 84
Google Scholar
[7] Sandercock J R 1970 Opt. Commun. 2 73
Google Scholar
[8] Sandercock J R 1972 Phys. Rev. Lett. 28 237
Google Scholar
[9] Lindsay S, Anderson M, Sandercock J R 1981 Rev. Sci. Instrum. 52 1478
Google Scholar
[10] Madami M, Gubbiotti G, Tacchi S, Carlotti G 2012 Solid State Phys. 63 79
Google Scholar
[11] Sebastian T, Schultheiss K, Obry B, Hillebrands B, Schultheiss H 2015 Front. Phys. 3 35
Google Scholar
[12] Schultheiss H, Schäfer S, Candeloro P, Leven B, Hillebrands B, Slavin A N 2008 Phys. Rev. Lett. 100 047204
Google Scholar
[13] Büttner O, Bauer M, Rueff A, Demokritov S O, Hillebrands B, Slavin A N, Kostylev M, Kalinikos B 2000 Ultrasonics 38 443
Google Scholar
[14] Büttner O, Bauer M, Demokritov S O, Hillebrands B, Kivshar Y S, Grimalsky V, Rapoport Y, Slavin A N 2000 Phys. Rev. B 61 11576
Google Scholar
[15] Demokritov S O, Hillebrands B, Slavin A N 2001 Phys. Rep. 348 441
Google Scholar
[16] Gusev V E, Ruello P 2018 Appl. Phys. Rev. 5 031101
Google Scholar
[17] Bauer M, Büttner O, Demokritov S O, Hillebrands B, Grimalsky V, Rapoport Y, Slavin A N 1998 Phys. Rev. Lett. 81 3769
Google Scholar
[18] Nembach H T, Shaw J M, Weiler M, Jué E, Silva T J 2015 Nat. Phys. 11 825
Google Scholar
[19] Fohr F, Serga A A, Schneider T, Hamrle J, Hillebrands B 2009 Rev. Sci. Instrum. 80 043903
Google Scholar
[20] Yang J, Guo M Y, Li Z L, Wu P, Cai K M, Liu X Z, Peng Y G, Wang Q, Zhu X F 2025 Phys. Rev. Appl. 23 L051001
Google Scholar
[21] Scarcelli G, Yun S H 2008 Nat. Photonics 2 39
Google Scholar
[22] 程光煦 2008 拉曼 布里渊散射 (北京: 科学出版社) 第461页
Cheng G 2008 Raman and Brillouin Scattering (Beijing: Science Press) p461
[23] Jacquinot P 1960 Rep. Prog. Phys. 23 267
Google Scholar
[24] Hillebrands B 2000 Light Scattering in Solids VII: Crystal-Field and Magnetic Excitations (Vol. 75) (Berlin: Springer) p174
[25] Mock R, Hillebrands B, Sandercock J R 1987 J. Phys. E: Sci. Instrum. 20 656
Google Scholar
[26] Sandercock J R 1982 Light Scattering in Solids III: Recent Results, (Vol. 51) (Berlin: Springer) pp173−206
[27] Wang Q 2019 Ph.D. Dissertation (Kaiserslautern: Technische Universität Kaiserslautern
[28] Bozhko D A, Musiienko-Shmarova H Y, Tiberkevich V S, Slavin A N, Syvorotka I I, Hillebrands B, Serga A A 2020 Phys. Rev. Res. 2 023324
Google Scholar
[29] Serga A A, Sandweg C, Vasyuchka V, Jungfleisch M, Hillebrands B, Kreisel A, Kopietz P, Kostylev M 2012 Phys. Rev. B 86 134403
Google Scholar
[30] Böttcher T, Lee K, Heussner F, Jaiswal S, Jakob G, Kläui M, Hillebrands B, Brächer T, Pirro P 2020 ArXiv: 2006.02690v1 [cond-mat.mtrl-sci]
[31] Di K, Zhang V L, Lim H S, Ng S C, Kuok M H, Yu J, Yoon J, Qiu X, Yang H 2015 Phys. Rev. Lett. 114 047201
Google Scholar
[32] Cho J, Kim N H, Lee S, Kim J S, Lavrijsen R, Solignac A, Yin Y, Han D S, van Hoof N J J, Swagten H J M, Koopmans B, You C Y 2015 Nat. Commun. 6 7635
Google Scholar
[33] Song W, Wang X, Wang W, Jiang C, Wang X, Chai G 2020 Phys. Status Solidi RRL 14 2000118
Google Scholar
[34] Damon R W, Eshbach J R 1961 J. Phys. Chem. Solids 19 308
Google Scholar
[35] Sandercock J R, Wettling W 1979 J. Appl. Phys. 50 7784
Google Scholar
[36] Grünberg P, Cottam M, Vach W, Mayr C, Camley R 1982 J. Appl. Phys. 53 2078
Google Scholar
[37] Wang Q, Csaba G, Verba R, Chumak A V, Pirro P 2024 Phys. Rev. Appl. 21 040503
Google Scholar
[38] Chumak A V, Kabos P, Wu M, Abert C, Adelmann C, Adeyeye A O, Akerman J, Aliev F G, Anane A, Awad A, Back C H, Barman A, Bauer G E W, Becherer M, Beginin E N, Bittencourt V A S V, Blanter Y M, Bortolotti P, Boventer I, Bozhko D A, Bunyaev S A, Carmiggelt J J, Cheenikundil R R, Ciubotaru F, Cotofana S, Csaba G, Dobrovolskiy O V, Dubs C, Elyasi M, Fripp K G, Fulara H, Golovchanskiy I A, Gonzalez-Ballestero C, Graczyk P, Grundler D, Gruszecki P, Gubbiotti G, Guslienko K, Haldar A, Hamdioui S, Hertel R, Hillebrands B, Hioki T, Houshang A, Hu C M, Huebl H, Huth M, Iacocca E, Jungfleisch M B, Kakazei G N, Khitun A, Khymyn R, Kikkawa T, Klaui M, Klein O, Klos J W, Knauer S, Koraltan S, Kostylev M, Krawczyk M, Krivorotov I N, Kruglyak V V, Lachance-Quirion D, Ladak S, Lebrun R, Li Y, Lindner M, Macedo R, Mayr S, Melkov G A, Mieszczak S, Nakamura Y, Nembach H T, Nikitin A A, Nikitov S A, Novosad V, Otalora J A, Otani Y, Papp A, Pigeau B, Pirro P, Porod W, Porrati F, Qin H, Rana B, Reimann T, Riente F, Romero-Isart O, Ross A, Sadovnikov A V, Safin A R, Saitoh E, Schmidt G, Schultheiss H, Schultheiss K, Serga A A, Sharma S, Shaw J M, Suess D, Surzhenko O, Szulc K, Taniguchi T, Urbanek M, Usami K, Ustinov A B, van der Sar T, van Dijken S, Vasyuchka V I, Verba R, Kusminskiy S V, Wang Q, Weides M, Weiler M, Wintz S, Wolski S P, Zhang X 2022 IEEE Trans. Magn. 58 1
Google Scholar
[39] Jersch J, Demidov V E, Fuchs H, Rott K, Krzysteczko P, Münchenberger J, Reiss G, Demokritov S O 2010 Appl. Phys. Lett. 97 152502
Google Scholar
[40] Yoshihara A 2023 Materials 16 1038
Google Scholar
[41] Heinz B, Braecher T, Schneider M, Wang Q, Laegel B, Friedel A M, Breitbach D, Steinert S, Meyer T, Kewenig M, Dubs C, Pirro P, Chumak A V 2020 Nano Lett. 20 4220
Google Scholar
[42] Pirro P, Brächer T, Vogt K, Obry B, Schultheiss H, Leven B, Hillebrands B 2011 Phys. Status Solidi B 248 2404
Google Scholar
[43] Vogt K, Fradin F Y, Pearson J E, Sebastian T, Bader S D, Hillebrands B, Hoffmann A, Schultheiss H 2014 Nat. Commun. 5 3727
Google Scholar
[44] Wang Q, Kewenig M, Schneider M, Verba R, Kohl F, Heinz B, Geilen M, Mohseni M, Lägel B, Ciubotaru F, Adelmann C, Dubs C, Cotofana O V Sorin Dan an Dobrovolskiy, Braecher T, Pirro P, Chumak A V 2020 Nat. Electron. 3 765
Google Scholar
[45] Schneider M, Braecher T, Breitbach D, Lauer V, Pirro P, Bozhko D A, Musiienko-Shmarova H Y, Heinz B, Wang Q, Meyer T, Heussner F, Keller S, Papaioannou E T, Laegel B, Loeber T, Dubs C, Slavin A N, Tiberkevich V S, Serga A A, Hillebrands B, Chumak A V 2020 Nat. Nanotechnol. 15 457
Google Scholar
[46] Frey P, Bozhko D A, L'vov V S, Hillebrands B, Serga A A 2021 Phys. Rev. B 104 014420
Google Scholar
[47] Wang Q, Verba R, Davídková K, Heinz B, Tian S, Rao Y, Guo M, Guo X, Dubs C, Pirro P, Chumak A V 2024 Nat. Commun. 15 7577
Google Scholar
[48] Serga A A, Demokritov S O, Hillebrands B, Slavin A N 2004 Phys. Rev. Lett. 92 117203
Google Scholar
[49] Wang Y, Guo M, Davídková K, Verba R, Guo X, Dubs C, Chumak A V, Pirro P, Wang Q 2025 Phys. Rev. Appl. 23 014066
Google Scholar
[50] Wang Q, Verba R, Heinz B, Schneider M, Wojewoda O, Davídková K, Levchenko K, Dubs C, Mauser N J, Urbánek M, Pirro P, Chumak A V 2023 Sci. Adv. 9 eadg4609
Google Scholar
[51] Merbouche H, Divinskiy B, Gouéré D, Lebrun R, El Kanj A, Cros V, Bortolotti P, Anane A, Demokritov S O, Demidov V E 2024 Nat. Commun. 15 1560
Google Scholar
[52] Mathieu C, Synogatch V T, Patton C E 2003 Phys. Rev. B 67 104402
Google Scholar
[53] Schultheiss H, Vogt K, Hillebrands B 2012 Phys. Rev. B 86 054414
Google Scholar
[54] Körber L, Schultheiss K, Hula T, Verba R, Faßbender J, Kákay A, Schultheiss H 2020 Phys. Rev. Lett. 125 207203
Google Scholar
[55] Merbouche H, Divinskiy B, Nikolaev K O, Kaspar C, Pernice W H P, Gouéré D, Lebrun R, Cros V, Ben Youssef J, Bortolotti P, Anane A, Demokritov S O, Demidov V E 2022 Sci. Rep. 12 7246
Google Scholar
[56] Wojewoda O 2020 M. S. Thesis (Brno: Brno University of Technology
[57] Wojewoda O 2024 Ph.D. Dissertation (Brno: Brno University of Technology
[58] Serga A A, Schneider T, Hillebrands B, Demokritov S O, Kostylev M P 2006 Appl. Phys. Lett. 89 063506
Google Scholar
[59] Vogt K, Schultheiss H, Hermsdoerfer S, Pirro P, Serga A A, Hillebrands B 2009 Appl. Phys. Lett. 95 182505
Google Scholar
[60] Schneider T, Serga A A, Neumann T, Hillebrands B, Kostylev M 2008 Phys. Rev. B 77 214411
Google Scholar
[61] Demidov V E, Urazhdin S, Demokritov S O 2009 Appl. Phys. Lett. 95 262509
Google Scholar
[62] Bozhko D A, Vasyuchka V I, Chumak A V, Serga A A 2020 Low Temp. Phys. 46 383
Google Scholar
[63] Bottani C E, Fioretto D 2018 Adv. Phys. X 3 1467281
[64] Palombo F, Fioretto D 2019 Chem. Rev. 119 7833
Google Scholar
[65] Antonacci G, Beck T, Bilenca A, Czarske J, Elsayad K, Guck J, Kim K, Krug B, Palombo F, Prevedel R, Scarcelli G 2020 Biophys. Rev. 12 615
Google Scholar
[66] Landau L, Lifshitz E, Sykes J, Reid W, Dill E H 1960 Phys. Today 13 44
[67] Prevedel R, Diz-Muñoz A, Ruocco G, Antonacci G 2019 Nat. Methods 16 969
Google Scholar
[68] Koski K J, Akhenblit P, McKiernan K, Yarger J L 2013 Nat. Mater. 12 262
Google Scholar
[69] Dutcher J R 1989 Ph. D. Dissertation (Burnaby: Simon Fraser University
[70] Geilen M, Nicoloiu A, Narducci D, Mohseni M, Bechberger M, Ender M, Ciubotaru F, Hillebrands B, Müller A, Adelmann C, Pirro P 2022 Appl. Phys. Lett. 120 242404
Google Scholar
[71] An K, Olsson K S, Weathers A, Sullivan S, Chen X, Li X, Marshall L G, Ma X, Klimovich N, Zhou J, Shi L, Li X 2016 Phys. Rev. Lett. 117 107202
Google Scholar
[72] Kunz Y, Küß M, Schneider M, Geilen M, Pirro P, Albrecht M, Weiler M 2024 Appl. Phys. Lett. 124 152403
Google Scholar
[73] Serga A A, Tiberkevich V S, Sandweg C W, Vasyuchka V I, Bozhko D A, Chumak A V, Neumann T, Obry B, Melkov G A, Slavin A N, Hillebrands B 2014 Nat. Commun. 5 3452
Google Scholar
[74] Bozhko D A, Clausen P, Chumak A V, Kobljanskyj Y V, Hillebrands B, Serga A A 2015 Low Temp. Phys. 41 801
Google Scholar
[75] Scarcelli G, Polacheck W J, Nia H T, Patel K, Grodzinsky A J, Kamm R D, Yun S H 2015 Nat. Methods 12 1132
Google Scholar
[76] Antonacci G, Braakman S 2016 Sci. Rep. 6 37217
Google Scholar
[77] Scarponi F, Mattana S, Corezzi S, Caponi S, Comez L, Sassi P, Morresi A, Paolantoni M, Urbanelli L, Emiliani C, Roscini L, Corte L, Cardinali G, Palombo F, Sandercock J R, Fioretto D 2017 Phys. Rev. X 7 031015
Google Scholar
[78] Mattana S, Mattarelli M, Urbanelli L, Sagini K, Emiliani C, Serra M D, Fioretto D, Caponi S 2018 Light Sci. Appl. 7 17139
Google Scholar
[79] Vaughan J, Randall J 1980 Nature 284 489
Google Scholar
[80] Scarcelli G, Yun S H 2012 Opt. Express 20 9197
Google Scholar
[81] Akilbekova D, Ogay V, Yakupov T, Sarsenova M, Umbayev B, Nurakhmetov A, Tazhin K, Yakovlev V V, Utegulov Z N 2018 J. Biomed. Opt. 23 097004
Google Scholar
[82] Cardinali M A, Di Michele A, Mattarelli M, Caponi S, Govoni M, Dallari D, Brogini S, Masia F, Borri P, Langbein W, Palombo F, Morresi A, Fioretto D 2022 J. R. Soc. Interface 19 20210642
Google Scholar
[83] Palombo F, Masia F, Mattana S, Tamagnini F, Borri P, Langbein W, Fioretto D 2018 Analyst 143 6095
Google Scholar
[84] Conrad C, Gray K M, Stroka K M, Rizvi I, Scarcelli G 2019 Cell. Mol. Bioeng. 12 215
Google Scholar
[85] Zhang J, Fiore A, Yun S H, Kim H, Scarcelli G 2016 Sci. Rep. 6 35398
Google Scholar
-
图 1 布里渊光散射技术的历史发展里程碑及标志性成果 (a) 1966年BLS技术的首次磁学应用: 在FeF2薄膜中观测到自旋波信号, 52 和154 cm–1处的特征峰首次揭示了磁子激发谱[6]; (b) 1981年Sandercock研制的串联法布里-珀罗干涉仪(TFPI), 其突破性的高对比度和宽动态范围特性, 至今仍是BLS系统的核心组件[9]; (c) 2015年界面DMI效应的直接观测: Ni80Fe20/Pt双层薄膜中Stokes/anti-Stokes峰的非对称频率偏移, 为手性磁结构研究提供了关键实验手段[18]; (d) 2008年微聚焦BLS技术突破: 对亚微米尺度(400 nm宽)磁性环中自旋波模式的空间成像, 揭示了尺寸依赖的本征模式分布规律[12]; (e) 1998年超快磁子动力学研究: 时间分辨BLS首次捕捉到磁性薄膜中自旋波波包的时空自聚焦动态过程, 图中展示了不同传播时间下自旋波二维强度分布及其半高宽轮廓[17]; (f) 2009年相位分辨技术突破: 通过磁光调制实现相位敏感测量, 完成了对传播自旋波相位的直接测试, 右侧干涉图样清晰揭示了波包的相位结构[19]; (g) 声表面波演化成像: BLS展示了二维驻波在时间空间中的形成过程[20]; (h) 2008年生物医学应用: 实现了人工晶状体弹性模量的高分辨截面成像, 上图基于频移测量绘制弹性模量分布, 下图利用散射强度作为对比度[21]
Figure 1. Historical milestones and landmark achievements in Brillouin light scattering technology: (a) First magnetic application of BLS technology in 1966: observation of spin wave signals in FeF2 thin films, with characteristic peaks at 52 and 154 cm–1 first revealing the magnon excitation spectrum[6]; (b) tandem Fabry-Pérot interferometer (TFPI) developed by Sandercock in 1981, whose breakthrough high contrast and wide dynamic range characteristics remain the core component of BLS systems to this day[9]; (c) direct observation of interfacial DMI effects in 2015: asymmetric frequency shifts of Stokes/anti-Stokes peaks in Ni80Fe20/Pt bilayer films, providing a key experimental tool for chiral magnetic structure research[18]; (d) micro-focused BLS breakthrough in 2008: spatial imaging of spin wave modes in submicron-scale (400 nm width) magnetic rings, revealing size-dependent eigenmode distribution patterns[12]; (e) ultrafast magnon dynamics research in 1998: time-resolved BLS first captured the spatiotemporal self-focusing dynamics of spin wave packets in magnetic thin films, showing two-dimensional spin wave intensity distributions and their full-width-half-maximum contours at different propagation times[17]; (f) phase-resolved technology breakthrough in 2009: phase-sensitive measurements achieved through magneto-optical modulation, enabling direct detection of propagating spin wave phases, with interference patterns clearly revealing the phase structure of wave packets[19]; (g) surface acoustic wave evolution imaging: BLS demonstrates the formation process of two-dimensional standing waves in time and space[20]; (h) biomedical applications in 2008: high-resolution cross-sectional imaging of elastic modulus in artificial lens achieved, with the upper image showing elastic modulus distribution based on frequency shift measurements and the lower image using scattering intensity as contrast[21].
图 4 (a) 和 (b) 分别为FPI 1和FPI 2的透射级次示意图. 由于镜间距不同, 两个FPI的自由光谱范围(FSR)存在差异; (c) 通过镜间距的偏移, 高阶透射级次被抑制, 只有中心透射级次的光能够同时通过两个FPI并到达光子探测器[27]
Figure 4. (a) and (b) illustrate the transmission orders of FPI 1 and FPI 2, respectively. The difference in mirror spacing leads to variations in the free spectral range (FSR) between the two FPIs. (c) By offsetting the mirror spacing, higher-order transmission orders are suppressed, allowing only the central transmission order to pass through both FPIs and reach the photon detector[27].
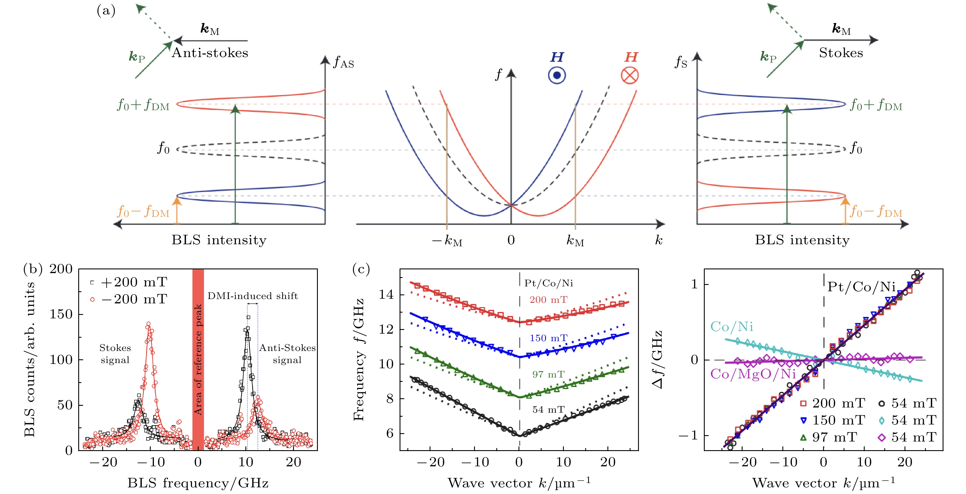
图 6 BLS对自旋波非互易性的研究 (a) DMI导致的BLS中Stokes和anti-Stokes峰频移原理图[18]; (b) DMI引起的BLS谱频移[30]; (c) DMI引起的非对称色散关系及反向传播自旋波频率差随波矢变化[31]
Figure 6. BLS study on spin wave nonreciprocity. (a) Schematic diagram of Stokes and anti-Stokes peak shifts in BLS due to DMI[18]; (b) BLS spectrum shift induced by DMI[30]; (c) asymmetric dispersion relation caused by DMI and variation of frequency difference of backward propagating spin waves with wave vector[31].
图 7 微聚焦布里渊光散射研究 (a) 实验装置示意图及磁子波导扫描电镜图[41], 50 nm宽YIG波导在外部磁场$ \mu_0 H_\text{ext} $= 55 mT作用下沿长轴方向(后向体自旋波模式, BVSW)被磁化, 射频(RF)电流施加到共面波导天线(CPW)激发自旋波. 通过微聚焦BLS进行频率、时间和空间分辨扫描; (b) Ni81Fe19条纹中传播自旋波干涉的二维强度分布图, 通过μBLS测量获得[42]; (c) 自旋波在Y形波导中的强度分布图[43]; (d) 不同频率自旋波在磁子定向耦合器中的二维强度分布图[44]
Figure 7. Micro-focused Brillouin light scattering studies. (a) Schematic of the experimental setup and SEM image of the magnonic waveguide[41]. A 50 nm wide YIG waveguide is magnetized along its long axis (backward volume spin wave mode, BVSW) under an external magnetic field of $ \mu_0 H_\text{ext} $ = 55 mT. Spin waves are excited by applying a radio frequency (RF) current to a coplanar waveguide antenna (CPW). Frequency-, time-, and space-resolved scans are performed using micro-focused BLS. (b) two-dimensional intensity map of propagating spin wave interference in Ni81Fe19 stripes, obtained by μBLS measurement[42]. (c) intensity map of spin waves in a Y-shaped waveguide[43]. (d) two-dimensional intensity maps of spin waves at different frequencies in a magnonic directional coupler[44].
图 8 时间分辨BLS研究示例 (a) 通过快速冷却实现的磁子玻色-爱因斯坦凝聚(BEC)现象, 显示脉冲关闭后磁子能带底部出现显著信号, 暗示BEC形成[45]; (b) 声子-磁子混合态中快速和慢速准粒子波包的时空传播特性, 展示不同传播方向的波包速度差异[46]; (c) 基于双稳态的全磁子中继器, 实现约6倍的自旋波信号放大, 图示不同周期下源与泵浦的工作状态[47]; (d) 二维自旋波波包的非稳态自聚焦过程, 展示强非线性条件下自旋波包的传播和横向收缩现象[48]; (e) 通过直流脉冲产生的非对称奥斯特场实现纳秒级快速切换的磁子单向激发[49]
Figure 8. Examples of time-resolved Brillouin light scattering studies: (a) Magnon Bose-Einstein condensation (BEC) achieved via rapid cooling, showing a significant signal at the bottom of the magnon band after pulse termination, indicating BEC formation[45]; (b) spatiotemporal propagation characteristics of fast and slow quasiparticle wave packets in phonon-magnon hybrid states, demonstrating velocity differences for wave packets propagating in different directions[46]; (c) a bistability-based all-magnon repeater achieving approximately 6-fold spin wave signal amplification, illustrating the operational states of the source and pump at different periods[47]; (d) non-stationary self-focusing process of two-dimensional spin wave packets, showcasing the propagation and transverse contraction of spin wave packets under strong nonlinear conditions[48]; (e) nanosecond-fast switchable unidirectional magnon excitation achieved via an asymmetric Oersted field generated by a DC pulse[49].
图 10 相位分辨BLS测量示例 (a)—(d) 完整重构自旋波相位所需的四次测量[56], 其中(a)为自旋波强度测量(EOM关闭), 结果显示自旋波仅在靠近天线的部分被激发; (b) 为EOM信号强度测量(自旋波激发关闭), 其信号与样品反射率成正比(对于薄膜, 此反射率是恒定的); (c)和(d) 为两个干涉图样(自旋波与EOM信号同时开启), 相对相移为$ \pi/2 $; (e) 从(a)—(d)的测量中重构的相位[56]; (f) 对于2.5 μm×100 μm、厚度40 nm的坡莫合金条, 测量的干涉信号随扫描长度和外部磁场的变化, 黑色(白色)区域代表相长(相消)干涉的位置[59]; (g) 在选定磁场下自旋波相位的完整重构[59]; (h) 激发自旋波的波长随外加磁场的变化[59], 实线表示计算所得的色散关系, 红色圆圈表示从(f)中干涉图样提取的结果, 蓝色方框表示从(f)中相位分布获得的结果
Figure 10. Examples of phase-resolved BLS measurements: (a)–(d) Four measurements required to fully reconstruct the spin wave phase[56], in which panel (a) is the spin wave intensity measurement (EOM off), showing spin waves excited only near the antenna; panel (b) shows the EOM signal intensity measurement (spin wave excitation off), with the signal proportional to the sample reflectivity (constant for thin films); panels (c) and (d) show two interference patterns (spin wave and EOM signal both on) with a relative phase shift of $ \pi/2 $; (e) reconstructed phase from the measurements in (a)–(d)[56]; (f) measured interference signal as a function of scan length and external magnetic field for a permalloy strip with dimensions of 2.5 μm×100 μm and a thickness of 40 nm. Black (white) regions represent the locations of constructive (destructive) interference[59]; (g) complete reconstruction of the spin wave phase under a selected magnetic field[59]; (h) wavelength of the excited spin waves as a function of the applied magnetic field[59]. The solid line represents the calculated dispersion relation. Red circles indicate results extracted from the interference patterns in (f). Blue squares indicate results obtained from the phase distribution in (f).
图 11 布里渊光散射在声子与磁声耦合研究中的应用 (a) 磁性绝缘体材料中磁子和声子峰值频率对热效应的响应: 左图显示随样品台温度升高, 声子数据采用线性拟合(红线), 磁子数据采用二次拟合(蓝线); 右图显示在样品台保持室温条件下, 随加热激光功率增加, 数据采用多项式拟合. 两者共同揭示了两种准粒子的不同热响应特性[71]. (b) YIG中的热磁子-声子BLS谱, 展示了热激发磁子和声子峰, 为研究磁子-声子相互作用提供了参照[62]. (c) 声子动力学的BLS成像研究, 通过光子与声子的非弹性散射, BLS技术实现了声表面波的实时可视化, 图中展示了二维驻波模式的形成过程[20]. (d)—(e) 在磁-声耦合实验中, 通过BLS测试声子信号(d)和磁子信号(e)在不同外加磁场下, 不同传播距离的强度. 图(d)显示随着声表面波传播距离增加, 在共振磁场处逐渐形成两个强度凹陷, 直接反映了磁声耦合导致的声表面波渐进式吸收过程[72]; 图(e)显示磁子激发在铁磁层起始位置处达到最大, 并随着声子振幅的衰减而递减, 揭示了声表面波向自旋波的局域能量转换过程[72]
Figure 11. Applications of Brillouin light scattering in phonon and magnetoacoustic coupling studies. (a) Thermal response of magnon and phonon peak frequencies in a magnetic insulator: The left panel shows phonon data fitted linearly (red line) and magnon data fitted quadratically (blue line) as a function of sample stage temperature; the right panel shows data fitted polynomially as a function of heating laser power with the sample stage at room temperature. Together, they reveal the distinct thermal response characteristics of the two quasiparticles[71]. (b) Thermal magnon-phonon BLS spectra in YIG, showcasing thermally excited magnon and phonon peaks, providing a reference for studying magnon-phonon interactions[62]. (c) BLS imaging study of phonon dynamics: Real-time visualization of surface acoustic waves is achieved through inelastic scattering of photons and phonons, with the figure illustrating the formation process of two-dimensional standing wave modes[20]. (d)–(e) In magnetoacoustic coupling experiments, BLS is used to test phonon signals (d) and magnon signals (e) at different applied magnetic fields and propagation distances. Panel (d) shows the gradual formation of two intensity dips at the resonant magnetic field as the surface acoustic wave propagation distance increases, directly reflecting the progressive absorption of surface acoustic waves due to magnetoacoustic coupling[72]; panel (e) shows that magnon excitation reaches its maximum at the starting position of the ferromagnetic layer and decreases with the attenuation of the phonon amplitude, revealing the localized energy conversion process from surface acoustic waves to spin waves[72].
图 12 布里渊光散射在生物学领域的应用 (a) 微型布里渊-拉曼联用系统(上)及其从同一样品位置获取的关联光谱(下)[64]; (b) μBLS测量的示意图, 展示了三个关键空间尺度: 声学波长尺度$ L_\text{A} $(200 nm, 由入射光波长和样品折射率决定)、光学采集尺度$ L_\text{PSF} $(1—5 μm, 由显微系统点扩散函数决定)和组分尺度$ L_\text{C} $(样品中具有均质力学特性的结构尺寸)[67]; (c) NIH 3T3小鼠胚胎成纤维细胞在高渗透压冲击前后的布里渊显微成像(下)和相差显微成像(上), 比例尺为10 μm, 展示了细胞液-固调节的变化[75]; (d) 环境渗透压对细胞布里渊频移和AFM微压痕测量的影响, 显示布里渊频移与蔗糖浓度呈线性关系[75]; (e) 体外培养的猪主动脉内皮细胞的高分辨率布里渊图像, 清晰显示了细胞核包膜(箭头)和核仁(*)等细胞结构[76]; (f) 白念珠菌生物膜的布里渊光谱分析, 包括光学显微图像、高对比度布里渊光谱及其频率和线宽分布图[77], 红色框大小20 μm×20 μm
Figure 12. Applications of Brillouin light scattering in biology: (a) Miniature Brillouin-Raman microspectrometer (top) and correlated spectra acquired from the same sample location (bottom)[64]; (b) schematic of μBLS measurement illustrating three key spatial scales: acoustic Wwavelength scale $ L_\text{A} $ (200 nm, determined by incident light wavelength and sample refractive index), optical collection scale $ L_\text{PSF} $ (1–5 μm, determined by the point spread function of the microscope system), and component scale $ L_\text{C} $ (structural size with homogeneous mechanical properties in the sample)[67]; (c) Brillouin microscopy (bottom) and phase contrast microscopy (top) images of NIH 3T3 mouse embryonic fibroblasts before and after hyperosmotic shock, scale bar: 10 μm, demonstrating changes in cytoplasmic sol-gel transition[75]; (d) effect of environmental ssmotic pressure on cellular Brillouin frequency shift and AFM nanoindentation measurements, showing a linear relationship between Brillouin frequency shift and sucrose concentration[75]; (e) high-resolution Brillouin image of In Vitro cultured porcine aortic endothelial cells, clearly revealing cellular structures such as the nuclear envelope (arrows) and nucleoli (*)[76]; (f) Brillouin spectral analysis of candida albicans biofilms, including optical microscopic images, high-contrast Brillouin spectra, and frequency and linewidth distribution maps[77], red box size: 20 μm×20 μm.
-
[1] Brillouin L 1914 C. R. Hebd. Acad. Sci. 158 1331
[2] Brillouin L 1922 Ann. Phys. 9 88
Google Scholar
[3] Mandelstam L I 1926 Zh. Russ. Fiz.-Khim. O-va. 58 146
[4] Gross E 1930 Nature 126 201
Google Scholar
[5] Maiman T H 1960 Nature 187 493
Google Scholar
[6] Fleury P, Porto S, Cheesman L, Guggenheim H 1966 Phys. Rev. Lett. 17 84
Google Scholar
[7] Sandercock J R 1970 Opt. Commun. 2 73
Google Scholar
[8] Sandercock J R 1972 Phys. Rev. Lett. 28 237
Google Scholar
[9] Lindsay S, Anderson M, Sandercock J R 1981 Rev. Sci. Instrum. 52 1478
Google Scholar
[10] Madami M, Gubbiotti G, Tacchi S, Carlotti G 2012 Solid State Phys. 63 79
Google Scholar
[11] Sebastian T, Schultheiss K, Obry B, Hillebrands B, Schultheiss H 2015 Front. Phys. 3 35
Google Scholar
[12] Schultheiss H, Schäfer S, Candeloro P, Leven B, Hillebrands B, Slavin A N 2008 Phys. Rev. Lett. 100 047204
Google Scholar
[13] Büttner O, Bauer M, Rueff A, Demokritov S O, Hillebrands B, Slavin A N, Kostylev M, Kalinikos B 2000 Ultrasonics 38 443
Google Scholar
[14] Büttner O, Bauer M, Demokritov S O, Hillebrands B, Kivshar Y S, Grimalsky V, Rapoport Y, Slavin A N 2000 Phys. Rev. B 61 11576
Google Scholar
[15] Demokritov S O, Hillebrands B, Slavin A N 2001 Phys. Rep. 348 441
Google Scholar
[16] Gusev V E, Ruello P 2018 Appl. Phys. Rev. 5 031101
Google Scholar
[17] Bauer M, Büttner O, Demokritov S O, Hillebrands B, Grimalsky V, Rapoport Y, Slavin A N 1998 Phys. Rev. Lett. 81 3769
Google Scholar
[18] Nembach H T, Shaw J M, Weiler M, Jué E, Silva T J 2015 Nat. Phys. 11 825
Google Scholar
[19] Fohr F, Serga A A, Schneider T, Hamrle J, Hillebrands B 2009 Rev. Sci. Instrum. 80 043903
Google Scholar
[20] Yang J, Guo M Y, Li Z L, Wu P, Cai K M, Liu X Z, Peng Y G, Wang Q, Zhu X F 2025 Phys. Rev. Appl. 23 L051001
Google Scholar
[21] Scarcelli G, Yun S H 2008 Nat. Photonics 2 39
Google Scholar
[22] 程光煦 2008 拉曼 布里渊散射 (北京: 科学出版社) 第461页
Cheng G 2008 Raman and Brillouin Scattering (Beijing: Science Press) p461
[23] Jacquinot P 1960 Rep. Prog. Phys. 23 267
Google Scholar
[24] Hillebrands B 2000 Light Scattering in Solids VII: Crystal-Field and Magnetic Excitations (Vol. 75) (Berlin: Springer) p174
[25] Mock R, Hillebrands B, Sandercock J R 1987 J. Phys. E: Sci. Instrum. 20 656
Google Scholar
[26] Sandercock J R 1982 Light Scattering in Solids III: Recent Results, (Vol. 51) (Berlin: Springer) pp173−206
[27] Wang Q 2019 Ph.D. Dissertation (Kaiserslautern: Technische Universität Kaiserslautern
[28] Bozhko D A, Musiienko-Shmarova H Y, Tiberkevich V S, Slavin A N, Syvorotka I I, Hillebrands B, Serga A A 2020 Phys. Rev. Res. 2 023324
Google Scholar
[29] Serga A A, Sandweg C, Vasyuchka V, Jungfleisch M, Hillebrands B, Kreisel A, Kopietz P, Kostylev M 2012 Phys. Rev. B 86 134403
Google Scholar
[30] Böttcher T, Lee K, Heussner F, Jaiswal S, Jakob G, Kläui M, Hillebrands B, Brächer T, Pirro P 2020 ArXiv: 2006.02690v1 [cond-mat.mtrl-sci]
[31] Di K, Zhang V L, Lim H S, Ng S C, Kuok M H, Yu J, Yoon J, Qiu X, Yang H 2015 Phys. Rev. Lett. 114 047201
Google Scholar
[32] Cho J, Kim N H, Lee S, Kim J S, Lavrijsen R, Solignac A, Yin Y, Han D S, van Hoof N J J, Swagten H J M, Koopmans B, You C Y 2015 Nat. Commun. 6 7635
Google Scholar
[33] Song W, Wang X, Wang W, Jiang C, Wang X, Chai G 2020 Phys. Status Solidi RRL 14 2000118
Google Scholar
[34] Damon R W, Eshbach J R 1961 J. Phys. Chem. Solids 19 308
Google Scholar
[35] Sandercock J R, Wettling W 1979 J. Appl. Phys. 50 7784
Google Scholar
[36] Grünberg P, Cottam M, Vach W, Mayr C, Camley R 1982 J. Appl. Phys. 53 2078
Google Scholar
[37] Wang Q, Csaba G, Verba R, Chumak A V, Pirro P 2024 Phys. Rev. Appl. 21 040503
Google Scholar
[38] Chumak A V, Kabos P, Wu M, Abert C, Adelmann C, Adeyeye A O, Akerman J, Aliev F G, Anane A, Awad A, Back C H, Barman A, Bauer G E W, Becherer M, Beginin E N, Bittencourt V A S V, Blanter Y M, Bortolotti P, Boventer I, Bozhko D A, Bunyaev S A, Carmiggelt J J, Cheenikundil R R, Ciubotaru F, Cotofana S, Csaba G, Dobrovolskiy O V, Dubs C, Elyasi M, Fripp K G, Fulara H, Golovchanskiy I A, Gonzalez-Ballestero C, Graczyk P, Grundler D, Gruszecki P, Gubbiotti G, Guslienko K, Haldar A, Hamdioui S, Hertel R, Hillebrands B, Hioki T, Houshang A, Hu C M, Huebl H, Huth M, Iacocca E, Jungfleisch M B, Kakazei G N, Khitun A, Khymyn R, Kikkawa T, Klaui M, Klein O, Klos J W, Knauer S, Koraltan S, Kostylev M, Krawczyk M, Krivorotov I N, Kruglyak V V, Lachance-Quirion D, Ladak S, Lebrun R, Li Y, Lindner M, Macedo R, Mayr S, Melkov G A, Mieszczak S, Nakamura Y, Nembach H T, Nikitin A A, Nikitov S A, Novosad V, Otalora J A, Otani Y, Papp A, Pigeau B, Pirro P, Porod W, Porrati F, Qin H, Rana B, Reimann T, Riente F, Romero-Isart O, Ross A, Sadovnikov A V, Safin A R, Saitoh E, Schmidt G, Schultheiss H, Schultheiss K, Serga A A, Sharma S, Shaw J M, Suess D, Surzhenko O, Szulc K, Taniguchi T, Urbanek M, Usami K, Ustinov A B, van der Sar T, van Dijken S, Vasyuchka V I, Verba R, Kusminskiy S V, Wang Q, Weides M, Weiler M, Wintz S, Wolski S P, Zhang X 2022 IEEE Trans. Magn. 58 1
Google Scholar
[39] Jersch J, Demidov V E, Fuchs H, Rott K, Krzysteczko P, Münchenberger J, Reiss G, Demokritov S O 2010 Appl. Phys. Lett. 97 152502
Google Scholar
[40] Yoshihara A 2023 Materials 16 1038
Google Scholar
[41] Heinz B, Braecher T, Schneider M, Wang Q, Laegel B, Friedel A M, Breitbach D, Steinert S, Meyer T, Kewenig M, Dubs C, Pirro P, Chumak A V 2020 Nano Lett. 20 4220
Google Scholar
[42] Pirro P, Brächer T, Vogt K, Obry B, Schultheiss H, Leven B, Hillebrands B 2011 Phys. Status Solidi B 248 2404
Google Scholar
[43] Vogt K, Fradin F Y, Pearson J E, Sebastian T, Bader S D, Hillebrands B, Hoffmann A, Schultheiss H 2014 Nat. Commun. 5 3727
Google Scholar
[44] Wang Q, Kewenig M, Schneider M, Verba R, Kohl F, Heinz B, Geilen M, Mohseni M, Lägel B, Ciubotaru F, Adelmann C, Dubs C, Cotofana O V Sorin Dan an Dobrovolskiy, Braecher T, Pirro P, Chumak A V 2020 Nat. Electron. 3 765
Google Scholar
[45] Schneider M, Braecher T, Breitbach D, Lauer V, Pirro P, Bozhko D A, Musiienko-Shmarova H Y, Heinz B, Wang Q, Meyer T, Heussner F, Keller S, Papaioannou E T, Laegel B, Loeber T, Dubs C, Slavin A N, Tiberkevich V S, Serga A A, Hillebrands B, Chumak A V 2020 Nat. Nanotechnol. 15 457
Google Scholar
[46] Frey P, Bozhko D A, L'vov V S, Hillebrands B, Serga A A 2021 Phys. Rev. B 104 014420
Google Scholar
[47] Wang Q, Verba R, Davídková K, Heinz B, Tian S, Rao Y, Guo M, Guo X, Dubs C, Pirro P, Chumak A V 2024 Nat. Commun. 15 7577
Google Scholar
[48] Serga A A, Demokritov S O, Hillebrands B, Slavin A N 2004 Phys. Rev. Lett. 92 117203
Google Scholar
[49] Wang Y, Guo M, Davídková K, Verba R, Guo X, Dubs C, Chumak A V, Pirro P, Wang Q 2025 Phys. Rev. Appl. 23 014066
Google Scholar
[50] Wang Q, Verba R, Heinz B, Schneider M, Wojewoda O, Davídková K, Levchenko K, Dubs C, Mauser N J, Urbánek M, Pirro P, Chumak A V 2023 Sci. Adv. 9 eadg4609
Google Scholar
[51] Merbouche H, Divinskiy B, Gouéré D, Lebrun R, El Kanj A, Cros V, Bortolotti P, Anane A, Demokritov S O, Demidov V E 2024 Nat. Commun. 15 1560
Google Scholar
[52] Mathieu C, Synogatch V T, Patton C E 2003 Phys. Rev. B 67 104402
Google Scholar
[53] Schultheiss H, Vogt K, Hillebrands B 2012 Phys. Rev. B 86 054414
Google Scholar
[54] Körber L, Schultheiss K, Hula T, Verba R, Faßbender J, Kákay A, Schultheiss H 2020 Phys. Rev. Lett. 125 207203
Google Scholar
[55] Merbouche H, Divinskiy B, Nikolaev K O, Kaspar C, Pernice W H P, Gouéré D, Lebrun R, Cros V, Ben Youssef J, Bortolotti P, Anane A, Demokritov S O, Demidov V E 2022 Sci. Rep. 12 7246
Google Scholar
[56] Wojewoda O 2020 M. S. Thesis (Brno: Brno University of Technology
[57] Wojewoda O 2024 Ph.D. Dissertation (Brno: Brno University of Technology
[58] Serga A A, Schneider T, Hillebrands B, Demokritov S O, Kostylev M P 2006 Appl. Phys. Lett. 89 063506
Google Scholar
[59] Vogt K, Schultheiss H, Hermsdoerfer S, Pirro P, Serga A A, Hillebrands B 2009 Appl. Phys. Lett. 95 182505
Google Scholar
[60] Schneider T, Serga A A, Neumann T, Hillebrands B, Kostylev M 2008 Phys. Rev. B 77 214411
Google Scholar
[61] Demidov V E, Urazhdin S, Demokritov S O 2009 Appl. Phys. Lett. 95 262509
Google Scholar
[62] Bozhko D A, Vasyuchka V I, Chumak A V, Serga A A 2020 Low Temp. Phys. 46 383
Google Scholar
[63] Bottani C E, Fioretto D 2018 Adv. Phys. X 3 1467281
[64] Palombo F, Fioretto D 2019 Chem. Rev. 119 7833
Google Scholar
[65] Antonacci G, Beck T, Bilenca A, Czarske J, Elsayad K, Guck J, Kim K, Krug B, Palombo F, Prevedel R, Scarcelli G 2020 Biophys. Rev. 12 615
Google Scholar
[66] Landau L, Lifshitz E, Sykes J, Reid W, Dill E H 1960 Phys. Today 13 44
[67] Prevedel R, Diz-Muñoz A, Ruocco G, Antonacci G 2019 Nat. Methods 16 969
Google Scholar
[68] Koski K J, Akhenblit P, McKiernan K, Yarger J L 2013 Nat. Mater. 12 262
Google Scholar
[69] Dutcher J R 1989 Ph. D. Dissertation (Burnaby: Simon Fraser University
[70] Geilen M, Nicoloiu A, Narducci D, Mohseni M, Bechberger M, Ender M, Ciubotaru F, Hillebrands B, Müller A, Adelmann C, Pirro P 2022 Appl. Phys. Lett. 120 242404
Google Scholar
[71] An K, Olsson K S, Weathers A, Sullivan S, Chen X, Li X, Marshall L G, Ma X, Klimovich N, Zhou J, Shi L, Li X 2016 Phys. Rev. Lett. 117 107202
Google Scholar
[72] Kunz Y, Küß M, Schneider M, Geilen M, Pirro P, Albrecht M, Weiler M 2024 Appl. Phys. Lett. 124 152403
Google Scholar
[73] Serga A A, Tiberkevich V S, Sandweg C W, Vasyuchka V I, Bozhko D A, Chumak A V, Neumann T, Obry B, Melkov G A, Slavin A N, Hillebrands B 2014 Nat. Commun. 5 3452
Google Scholar
[74] Bozhko D A, Clausen P, Chumak A V, Kobljanskyj Y V, Hillebrands B, Serga A A 2015 Low Temp. Phys. 41 801
Google Scholar
[75] Scarcelli G, Polacheck W J, Nia H T, Patel K, Grodzinsky A J, Kamm R D, Yun S H 2015 Nat. Methods 12 1132
Google Scholar
[76] Antonacci G, Braakman S 2016 Sci. Rep. 6 37217
Google Scholar
[77] Scarponi F, Mattana S, Corezzi S, Caponi S, Comez L, Sassi P, Morresi A, Paolantoni M, Urbanelli L, Emiliani C, Roscini L, Corte L, Cardinali G, Palombo F, Sandercock J R, Fioretto D 2017 Phys. Rev. X 7 031015
Google Scholar
[78] Mattana S, Mattarelli M, Urbanelli L, Sagini K, Emiliani C, Serra M D, Fioretto D, Caponi S 2018 Light Sci. Appl. 7 17139
Google Scholar
[79] Vaughan J, Randall J 1980 Nature 284 489
Google Scholar
[80] Scarcelli G, Yun S H 2012 Opt. Express 20 9197
Google Scholar
[81] Akilbekova D, Ogay V, Yakupov T, Sarsenova M, Umbayev B, Nurakhmetov A, Tazhin K, Yakovlev V V, Utegulov Z N 2018 J. Biomed. Opt. 23 097004
Google Scholar
[82] Cardinali M A, Di Michele A, Mattarelli M, Caponi S, Govoni M, Dallari D, Brogini S, Masia F, Borri P, Langbein W, Palombo F, Morresi A, Fioretto D 2022 J. R. Soc. Interface 19 20210642
Google Scholar
[83] Palombo F, Masia F, Mattana S, Tamagnini F, Borri P, Langbein W, Fioretto D 2018 Analyst 143 6095
Google Scholar
[84] Conrad C, Gray K M, Stroka K M, Rizvi I, Scarcelli G 2019 Cell. Mol. Bioeng. 12 215
Google Scholar
[85] Zhang J, Fiore A, Yun S H, Kim H, Scarcelli G 2016 Sci. Rep. 6 35398
Google Scholar
Catalog
Metrics
- Abstract views: 1911
- PDF Downloads: 103
- Cited By: 0









DownLoad: