-
全光纤频率转换技术具有重要的科学和现实意义, 设计兼备机械性能和转换效率的特种光纤, 并降低其制备难度, 是该技术实用化面临的关键挑战. 本文设计了具有简单结构的高数值孔径常规单包层光纤(conventional single-cladding fiber, CSCF)、微纳光纤(microfiber, MF)及W型双包层光纤(W-type double-cladding fiber, WDCF), 并通过理论分析和数值模拟比较了这三种光纤从红外到紫外波段的三次谐波转换特性. 采用1064 nm泵浦波长作设计, 谐波输出波长为355 nm. 研究结果表明, CSCF和WDCF均具有固态包层, 且纤芯直径可大于2 μm, 机械性能良好; MF光纤可以实现的转换效率最高, 但光纤结构脆弱, 机械性能较差, 且对制备精度要求严苛. WDCF融合了CSCF和MF的优势, 单段光纤的转换效率接近2%, 四段级联后约为16%, 纤芯直径误差宽容度为±3 nm, 分别是CSCF的3倍和MF的10倍, 制备难度较低, 为紫外波段的全光纤三次谐波转换提供了一种具有实际可行性的选择方案.
Ultraviolet fiber lasers are highly desired in different fields such as lithography, laser processing, optical communications, optical storage, and biomedicine. On the other hand, all-fiber frequency conversion technology is of great significance in scientific research and practical applications, as it provides an alternative to the current solutions based on nonlinear crystals. Developing special optical fibers with both suitable mechanical performance and conversion efficiency and reducing the difficulty in their preparing are the key challenges in bringing this novel technology into practical application. In this work, three step-index optical fibers with simple structure are designed, they being a conventional single-cladding fiber (CSCF) with high numerical aperture, a microfiber (MF), and a W-type double-cladding fiber (WDCF), and the third-harmonic generation in ultraviolet band is studied by using them, respectively. The fundamental (pump) wavelength used in this work is 1064 nm and the third-harmonic wavelength is 355 nm. In order to achieve good transmission in the ultraviolet band, the cores of all three optical fibers are designed to be made of pure silica glass, and the core diameters are determined according to the phase matching condition for the fundamental wave and the third harmonic, by solving the eigenvalue equations. The cladding of CSCF is fluorine-doped silica glass, and the cladding of MF is air; for WDCF, the inner cladding and outer cladding are fluorine-doped silica glass and fluoroplastics, respectively. Both the CSCF and the WDCF have solid cladding, and their core diameters can be greater than 2 μm, so they have adequate mechanical properties. In comparison, due to the air cladding and thin core (the core diameter has to be less than 1 μm for phase matching), the MF is fragile in structure and thus its mechanical performance is rather poor. The conversion efficiencies of these three fibers are investigated in detail, by solving numerically the coupled mode equations for the pump and the third harmonic with the Runge-Kutta method. The effect of random fiber roughness (i.e. core diameter fluctuation) and enhancement in conversion efficiency by cascading the fibers are also analyzed. The results show that the conversion efficiency in MF is the highest, with an efficiency of 2% for a 5-mm-long single MF segment and over 20% for cascaded MFs; however, MF requires strict fabrication accuracy, and the tolerance of core diameter is only ± 0.3 nm. The CSCF has the lowest conversion efficiency, which is 0.1% for a 50-mm-long single segment and at the level of about 1% after cascading, and the tolerance of core diameter is ± 1 nm. The conversion efficiency of WDCF is between those of CSCF and MF, nearly 2% with a 50-mm-long segment and about 16% when four such segments are cascaded; WDCF bears core diameter tolerance of ± 3 nm, which is three times that of CSCF and 10 times that of MF. Therefore, the W-type double-cladding fiber WDCF actually integrates the advantages of conventional single-cladding fiber CSCF and microfiber MF, showing both satisfactory mechanical performance and conversion efficiency, as well as reduced fabrication difficulty, which provides a promising solution for all-fiber third-harmonic generation in the ultraviolet band. -
Keywords:
- third-harmonic generation /
- ultraviolet band /
- single-cladding optical fiber /
- double-cladding optical fiber
[1] 周朴, 冷进勇, 肖虎, 马鹏飞, 许将明, 刘伟, 姚天甫, 张汉伟, 黄良金, 潘志勇 2021 中国激光 48 2000001
Google Scholar
Zhou P, Leng J Y, Xiao H, Ma P F, Xu J M, Liu W, Yao T F, Zhang H W, Huang L J, Pan Z Y 2021 Chin. J. Lasers 48 2000001
Google Scholar
[2] Lü X L, Peng Y J, Wang W Y, Zhao Y N, Zhu X Y, Leng Y X 2021 High Power Laser Sci. 9 e38
Google Scholar
[3] Fu Q, Hanrahan N, Xu L, Lane S, Lin D, Jung Y, Mahajan S, Richardson D J 2021 Opt. Express 29 42485
Google Scholar
[4] Bencheikh K, Richard S, Mélin G, Krabshuis G, Gooijer F, Levenson J 2012 Opt. Lett. 37 289
Google Scholar
[5] Cheng T, Gao W, Liao M, Duan Z, Deng D, Matsumoto M, Misumi T, Suzuki T, Ohishi Y 2014 Opt. Lett. 39 1005
Google Scholar
[6] Gabriagues J 1983 Opt. Lett. 8 183
Google Scholar
[7] Grubsky V, Savchenko A 2005 Opt. Express 13 6798
Google Scholar
[8] Efimov A, Taylor A, Omenetto F, Knight J, Wadsworth W, Russell P 2003 Opt. Express 11 2567
Google Scholar
[9] 滕欢, 柴路, 王清月, 胡明列 2017 物理学报 66 044205
Google Scholar
Teng H, Chai L, Wang Q Y, Hu M L 2017 Acta Phys. Sin. 66 044205
Google Scholar
[10] Boivin M, El-Amraoui M, Ledemi Y, Morency S, Vallée R, Messaddeq Y 2014 Opt. Mater. Express 4 1740
Google Scholar
[11] Snyder A W, Love J D 1983 Optical Waveguide Theory (New York: Chapman and Hall) pp248–254
[12] Brunet C, Bélanger P A, Rusch L A 2016 J. Lightwave Technol. 34 3094
Google Scholar
[13] Tsao C 1992 Optical Fibre Waveguide Analysis (New York: Oxford University Press) pp298–369
[14] Kong M, Shi B 2006 Fiber Integrated Opt. 25 305
Google Scholar
[15] Jiang X J, Zhang D D, Lee T, Brambilla G 2018 Opt. Lett. 43 2728
Google Scholar
[16] Jiang X J, Chen Z N, Lee T, Brambilla G 2020 Opt. Lett. 45 3272
Google Scholar
[17] Malitson I H 1965 J. Opt. Soc. Am. 55 1205
Google Scholar
[18] Tan C Z 1998 J. Non-Cryst. Solids 223 158
Google Scholar
[19] Lee T, Jung Y, Codemard C, Ding M, Broderick N, Brambilla G 2012 Opt. Express 20 8503
Google Scholar
[20] Refractive Index Database https://refractiveindex.info/ [2025-1-25]
[21] Agrawal G P 2019 Nonlinear Fiber Optics (London: Academic) pp476,477
[22] Jiang X J, Lee T, Chen M M, Sun Q, He J, Brambilla G 2019 Opt. Lett. 44 4191
Google Scholar
-
图 2 光纤折射率示意图 (a)单包层光纤的横截面; (b)单包层光纤折射率随半径的分布; (c) W型双包层光纤的横截面; (d) W型双包层光纤折射率随半径的分布
Fig. 2. Refractive index diagram of optical fiber: (a) Cross-section of single-cladding fiber; (b) refractive index distribution in radius of single-cladding fiber; (c) cross-section of W-type double-cladding fiber; (d) refractive index distribution in radius of W-type double-cladding fiber.
图 3 基频波和三次谐波不同模式的有效折射率$ {n}^{{\mathrm{e}}{\mathrm{f}}{\mathrm{f}}} $与纤芯直径 $ {d}_{1} $的关系 (a)常规单包层光纤CSCF; (b)微纳光纤MF; (c)双包层光纤WDCF, 基频波长$ {\lambda }_{1}=1064\;{\mathrm{n}}{\mathrm{m}} $
Fig. 3. Dependence of effective refractive index $ {n}^{{\mathrm{e}}{\mathrm{f}}{\mathrm{f}}} $ of the fundamental wave and the third harmonic on core diameter d1: (a) CSCF; (b) MF; (c) WDCF. The fundamental wavelength is $ {\lambda }_{1}=1064\;{\mathrm{n}}{\mathrm{m}} $.
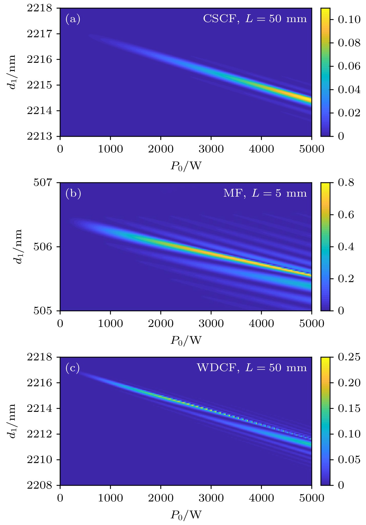
图 6 纤芯直径不同时总相位失配量$ {\delta \beta }_{\rm t} $随泵浦光功率P0的变化 (a)常规单包层光纤CSCF, 长度为50 mm, 纤芯直径分别为$ {d}_{1}=2217,\; 2216, \;2215\;{\mathrm{ }}{\mathrm{ }}{\mathrm{ }}{\mathrm{ }}{\mathrm{n}}{\mathrm{m}} $; (b)微纳光纤MF, 长度为5 mm, 纤芯直径分别为$ {d}_{1}=506.3, \;506, \;505.7\;{\mathrm{ }}{\mathrm{ }}{\mathrm{ }}{\mathrm{ }}{\mathrm{n}}{\mathrm{m}} $; (c)双包层光纤WDCF, 长度为50 mm, 纤芯直径分别为$ {d}_{1}= $$ 2217, \;2214, \;2211\;{\mathrm{ }}{\mathrm{ }}{\mathrm{ }}{\mathrm{ }}{\mathrm{n}}{\mathrm{m}} $
Fig. 6. Total mismatch in propagation constant $ {\delta \beta }_{\rm t} $ versus input pump power P0 for different core diameters: (a) CSCF in 50 mm length, core diameters are $ {d}_{1}=2217,\; 2216, $$ 2215\;{\mathrm{ }}{\mathrm{ }}{\mathrm{ }}{\mathrm{ }}{\mathrm{n}}{\mathrm{m}} $; (b) MF in 5 mm length, core diameters are $ {d}_{1}=506.3, $$ 506, \;505.7\;{\mathrm{ }}{\mathrm{ }}{\mathrm{ }}{\mathrm{ }}{\mathrm{n}}{\mathrm{m}} $; (c) WDCF in 50 mm length, core diameters are $ {d}_{1}=2217,\; 2214, \;2211{\mathrm{ }}{\mathrm{ }}{\mathrm{ }}\;{\mathrm{ }}{\mathrm{n}}{\mathrm{m}} $.
图 7 级联单元数N不同时三次谐波转换效率$ \eta $随泵浦光功率P0的变化 (a)转换光纤为常规单包层光纤CSCF, 长度LTF = 50 mm; (b)转换光纤为微纳光纤MF, 长度LTF = 5 mm; (c)转换光纤为双包层光纤WDCF, 长度LTF = 50 mm. 泵浦光波长$ {\lambda }_{1}=1064\;{\mathrm{n}}{\mathrm{m}} $, 转换光纤粗糙度σ = 0.3 nm; 传导光纤为标准阶跃型光纤(纤芯直径9 μm, 长度LGF = 20 cm)
Fig. 7. Third harmonic conversion efficiency versus input pump power for cascading system of different unit number N: (a) CSCF as the third-harmonic generation fiber (TF), with length LTF = 50 mm; (b) MF as the TF, with length LTF = 5 mm; (c) WDCF as the TF, with length LTF = 50 mm. The pump wavelength is $ {\lambda }_{1}=1064\;{\mathrm{n}}{\mathrm{m}} $, and the TFs are of roughness (σ = 0.3 nm). The guiding fibers (GFs) are standard step-index fibers (9 μm core diameter, length LGF = 20 cm).
表 1 光纤的基本参数(基频波长$ {\lambda }_{1}=1064\;{\mathrm{n}}{\mathrm{m}} $, 三次谐波波长$ {\lambda }_{3}=355\;{\mathrm{n}}{\mathrm{m}} $)
Table 1. Basic parameters of optical fibers (fundamental wavelength $ {\lambda }_{1} = 1064\;{\mathrm{n}}{\mathrm{m}} $, third-harmonic wavelength $ {\lambda }_{3} = 355\;{\mathrm{n}}{\mathrm{m}} $)
基本参数 光纤类型 CSCF MF WDCF 纤芯材料 纯silica 纯silica 纯silica 内包层材料 掺氟silica 空气 掺氟silica 外包层材料 无 无 氟塑料 基频折射率[n1, n2, n3] [1.45, 1.33, —] [1.45, 1, —] [1.45, 1.33, 1.37] 三次谐波折射率[n1, n2, n3] [1.48, 1.36, —] [1.48, 1, —] [1.48, 1.36, 1.40] 基频模式 HE11(λ1) HE11(λ1) HE11(λ1) 三次谐波模式 HE13(λ3) HE12(λ3) HE13(λ3) 纤芯直径d1/nm 2217.3 506.5 2217.4 包层直径[d2, d3]/μm [125, —] [$\infty$, —] [6, 125] 光纤长度L/mm 50 5 50 非线性重叠积分J3/μm–2 0.0092 0.7266 0.0344 基频功率损耗系数$ {\alpha }_{1}$/(dB·m–1) 0.08 2 0.08 谐波功率损耗系数$ {\alpha }_{3} $/(dB·m–1) 0.8 20 0.8 表 2 三种光纤的特性对比(泵浦光波长$ {\lambda }_{1}= 1064\;{\mathrm{n}}{\mathrm{m}} $, 光纤粗糙度σ = 0.3 nm)
Table 2. Comparison of characteristics of three fibers (pump wavelength is $ {\lambda }_{1}=1064\;{\mathrm{n}}{\mathrm{m}} $, and the TFs are of roughness σ = 0.3 nm).
特性 光纤类型 CSCF MF WDCF 机械强度 较强 弱 较强 优化的纤芯直径/nm 2216 506 2214 纤芯直径误差宽容度/nm ±1 ±0.3 ±3 $ {\eta }^{{\mathrm{m}}{\mathrm{a}}{\mathrm{x}}} $ (N = 1)/% 0.1 2.8 1.8 $ {\eta }^{{\mathrm{m}}{\mathrm{a}}{\mathrm{x}}} $ (N = 4)/% 1.4 22.9 16.0 -
[1] 周朴, 冷进勇, 肖虎, 马鹏飞, 许将明, 刘伟, 姚天甫, 张汉伟, 黄良金, 潘志勇 2021 中国激光 48 2000001
Google Scholar
Zhou P, Leng J Y, Xiao H, Ma P F, Xu J M, Liu W, Yao T F, Zhang H W, Huang L J, Pan Z Y 2021 Chin. J. Lasers 48 2000001
Google Scholar
[2] Lü X L, Peng Y J, Wang W Y, Zhao Y N, Zhu X Y, Leng Y X 2021 High Power Laser Sci. 9 e38
Google Scholar
[3] Fu Q, Hanrahan N, Xu L, Lane S, Lin D, Jung Y, Mahajan S, Richardson D J 2021 Opt. Express 29 42485
Google Scholar
[4] Bencheikh K, Richard S, Mélin G, Krabshuis G, Gooijer F, Levenson J 2012 Opt. Lett. 37 289
Google Scholar
[5] Cheng T, Gao W, Liao M, Duan Z, Deng D, Matsumoto M, Misumi T, Suzuki T, Ohishi Y 2014 Opt. Lett. 39 1005
Google Scholar
[6] Gabriagues J 1983 Opt. Lett. 8 183
Google Scholar
[7] Grubsky V, Savchenko A 2005 Opt. Express 13 6798
Google Scholar
[8] Efimov A, Taylor A, Omenetto F, Knight J, Wadsworth W, Russell P 2003 Opt. Express 11 2567
Google Scholar
[9] 滕欢, 柴路, 王清月, 胡明列 2017 物理学报 66 044205
Google Scholar
Teng H, Chai L, Wang Q Y, Hu M L 2017 Acta Phys. Sin. 66 044205
Google Scholar
[10] Boivin M, El-Amraoui M, Ledemi Y, Morency S, Vallée R, Messaddeq Y 2014 Opt. Mater. Express 4 1740
Google Scholar
[11] Snyder A W, Love J D 1983 Optical Waveguide Theory (New York: Chapman and Hall) pp248–254
[12] Brunet C, Bélanger P A, Rusch L A 2016 J. Lightwave Technol. 34 3094
Google Scholar
[13] Tsao C 1992 Optical Fibre Waveguide Analysis (New York: Oxford University Press) pp298–369
[14] Kong M, Shi B 2006 Fiber Integrated Opt. 25 305
Google Scholar
[15] Jiang X J, Zhang D D, Lee T, Brambilla G 2018 Opt. Lett. 43 2728
Google Scholar
[16] Jiang X J, Chen Z N, Lee T, Brambilla G 2020 Opt. Lett. 45 3272
Google Scholar
[17] Malitson I H 1965 J. Opt. Soc. Am. 55 1205
Google Scholar
[18] Tan C Z 1998 J. Non-Cryst. Solids 223 158
Google Scholar
[19] Lee T, Jung Y, Codemard C, Ding M, Broderick N, Brambilla G 2012 Opt. Express 20 8503
Google Scholar
[20] Refractive Index Database https://refractiveindex.info/ [2025-1-25]
[21] Agrawal G P 2019 Nonlinear Fiber Optics (London: Academic) pp476,477
[22] Jiang X J, Lee T, Chen M M, Sun Q, He J, Brambilla G 2019 Opt. Lett. 44 4191
Google Scholar
计量
- 文章访问数: 1826
- PDF下载量: 28
- 被引次数: 0








下载: