-
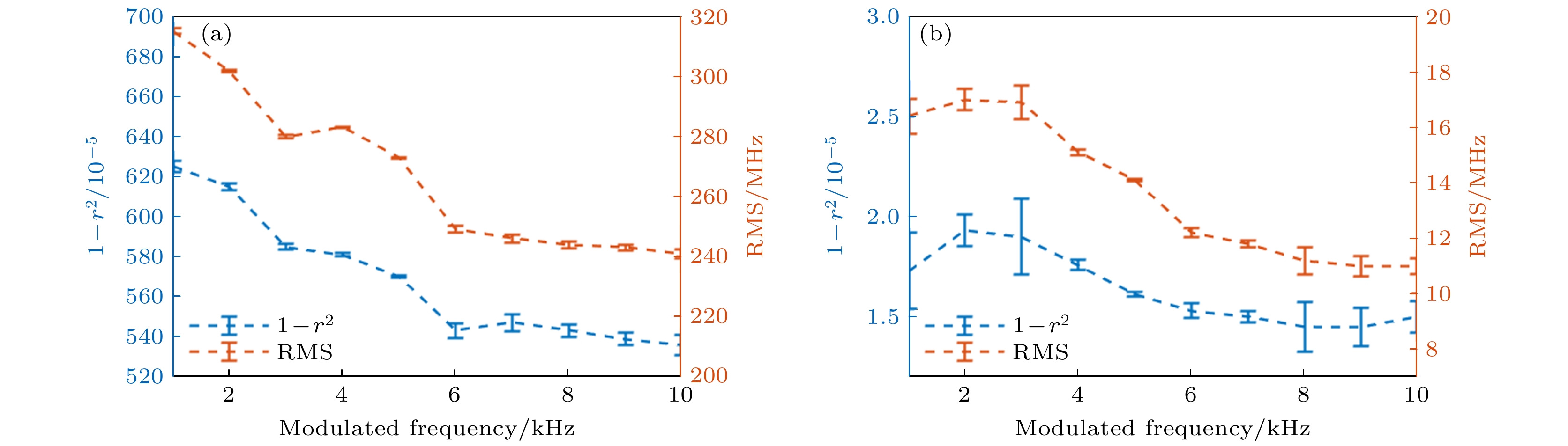
发射源的高度扫频线性是调频连续波激光雷达实现高精确测量的必备条件. 针对目前基于电流调制分布式反馈半导体激光器产生的调频连续波信号存在扫频非线性问题, 本文提出了基于前馈神经网络的扫频非线性预失真方案. 该方案首先通过实验获取分布式反馈半导体激光器在调制电流为锯齿波情形下输出的时频曲线; 将锯齿波调制电流作为输入, 时频曲线作为输出, 基于前馈神经网络获取输入到输出的非线性映射关系; 接下来, 利用反向传播算法生成能补偿分布式反馈半导体激光器输出非线性的预失真调制电流波形. 针对调制电流频率处于1—10 kHz的情形进行实验研究, 结果表明, 采用基于前馈神经网络的扫频非线性矫正方案后, 分布式反馈半导体激光器所产生的调频连续波信号的扫频非线性从之前的10–3量级降低到10–5量级; 残差均方根值从之前的百MHz量级降低到十MHz量级. 本文提出的扫频非线性预失真校正方案有望为高精度的调频连续波激光雷达系统的扫频信号线性化技术提供新思路.To address the frequency sweeping nonlinearity of frequency-modulated continuous-wave signals generated by a current-modulated distributed feedback laser diode, we propose and experimentally demonstrate a pre-distortion method based on a feedforward neural network. For this method, the beat frequency signals of the distributed feedback laser diode under a sawtooth-waveform current modulation are first experimentally obtained, and then the time-frequency curves of the distributed feedback laser diode output are obtained by performing a Hilbert transform on the beat signals. Subsequently, three-layer feedforward neural networks with 10, 5, and 3 hidden-layer neurons are constructed, respectively. By taking the driving current and the time-frequency curves as the input and output of the feedforward neural network, respectively, the nonlinear mapping relationship between them is established. Finally, a backpropagation algorithm is utilized to obtain the pre-distortion modulation current. Taking this current under the modulation frequency from 1 kHz to 10 kHz to drive the distributed feedback semiconductor laser (DFB-LD), the performance of the generated frequency-modulated continuous-wave (FMCW) signals is analyzed. We use nonlinear regression coefficients and residual root mean square values to characterize the performance. For the modulation frequency set at 4 kHz, the frequency sweeping nonlinearity and the residual root mean square value are reduced from 5.29×10–3 and 281 MHz to 1.77×10–5 and 15.15 MHz, respectively. With the modulation frequency fixed at 6 kHz, the frequency sweeping nonlinearity decreases from 5.58×10–3 to 1.52×10–5 and the residual root mean square declines from 251.98 MHz to 12.17 MHz in the proposed scheme. Across the entire tested frequency range from 1 kHz to 10 kHz, the nonlinearity remains stable at ~10–5 after adopting the pre-distortion scheme, with RMS values consistently below 20 MHz. The proposed method is expected to provide a new scheme for the linearization technology of the sweep signal in high-precision frequency-modulated continuous-wave light detection and ranging systems.
-
Keywords:
- frequency sweeping nonlinearity /
- feedforward neural network /
- pre-distortion /
- backpropagation algorithm
[1] Golconda S 2010 Ph. D. Dissertation (Lafayette: University of Louisiana at Lafayette
[2] Bețco D, Pârvu P V, Ciudin S 2024 Acta Astronaut. 216 55
Google Scholar
[3] Behera L, Agarwal S, Sandhan T, Sharma P, Kumar A, Ranjan A, Watsa S, Singh A, Kasina J S 2025 Int. J. Intell. Unmanne 13 92
Google Scholar
[4] Rablau C 2019 Fifteenth Conference on Education and Training in Optics and Photonics: ETOP 2019 Quebec, Canada, May 21–24, 2019 p11143
[5] Bhardwaj A, Sam L, Bhardwaj A, Martín-Torres F J 2016 Remote Sens. Environ. 177 125
Google Scholar
[6] Wang Q P, Xia G Q, Xie Y K, Ou P, He C T, Hu S, Zhang F L, Zhao M R, Wu Z M 2024 IEEE J. Quant. Elect. 60 2200408
Google Scholar
[7] 梁虹, 应康, 王迪, 魏金金, 李璇, 皮浩洋, 魏芳, 蔡海文 2021 中国激光 48 1606001
Google Scholar
Liang H, Ying K, Wang D Wei J J, Li X, Pi H Y, Wei F, Cai H W 2021 Chin. J. Lasers 48 1606001
Google Scholar
[8] Yang J W, Meng Y, Hu X L, Yang T X, Wang Z Y, Jia D F, Ge C F 2024 J. Lightw. Technol. 42 1870
Google Scholar
[9] Liu C X, Guo Y Y, Xu R Y, Lu L J, Li Y, Chen J P, Zhou L J 2024 Laser Photon. Rev. 18 2300882
Google Scholar
[10] Zhou P, Zhang R H, Li N Q, Jiang Z D, Pan S L 2022 J. Lightw. Technol. 40 2862
Google Scholar
[11] Yao Z Y, Mauldin T, Hefferman G, Wei T 2019 IEEE J. Sel. Top. Quant. Electron. 25 1502605
Google Scholar
[12] Na Q X, Xie Q J, Zhang N, Zhang L X, Li Y Z, Chen B S, Peng T, Zuo G M, Zhuang D W, Song J F 2023 Opt. Laser Eng. 164 107523
Google Scholar
[13] Knipp S 2018 M. S. Thesis (Kingston: University of Rhode Island
[14] Lin C X, Wang Y F, Tan Y D 2023 J. Lightw. Technol. 41 2846
Google Scholar
[15] Baumann E, Giorgetta F R, Coddington I, Sinclair L C, Knabe K, Swann W C, Newbury N R 2013 Opt. Lett. 38 2026
Google Scholar
[16] Xie W L, Meng Y X, Feng Y X, Zhou H J, Zhang L, Wei W, Dong Y 2021 Opt. Express 29 604
Google Scholar
[17] Satyan N, Vasilyev A, Rakuljic G, Leyva V, Yariv A 2009 Opt. Express 17 15991
Google Scholar
[18] Satyan N, Vasilyev A, Rakuljic G, White J O, Yariv A 2012 Opt. Express 20 25213
Google Scholar
[19] Zhang X S, Pouls J, Wu M C 2019 Opt. Express 27 9965
Google Scholar
[20] Cao X Y, Wu K, Li C, Zhang G J, Chen J P 2021 J. Opt. Soc. Am. B 38 D8
Google Scholar
[21] Li P, Zhang Y T, Yao J Q 2022 Remote Sens. 14 3455
Google Scholar
[22] Jiang Y C, Hu M, Xu M M, Li H Z, Zhou X F, Bi M H, Pan S Q, Liu C 2024 IEEE J. Quant. Elect. 60 1400107
Google Scholar
[23] Fang C, Ruan Y X, Guo Q H, Yu Y G 2025 Opt. Laser Technol. 180 111449
Google Scholar
-
图 3 基于FNN的FMCW LiDAR扫频非线性预失真方案 (a) 基于FNN的FMCW LiDAR扫频非线性预失真方案的实验系统; (b) 构建的FNN示意图
Fig. 3. FNN-based frequency sweep nonlinearity pre-distortion scheme for FMCW LiDAR: (a) Experimental system of the FNN-based frequency sweep nonlinearity pre-distortion scheme for FMCW LiDAR; (b) schematic diagram of the constructed FNN.
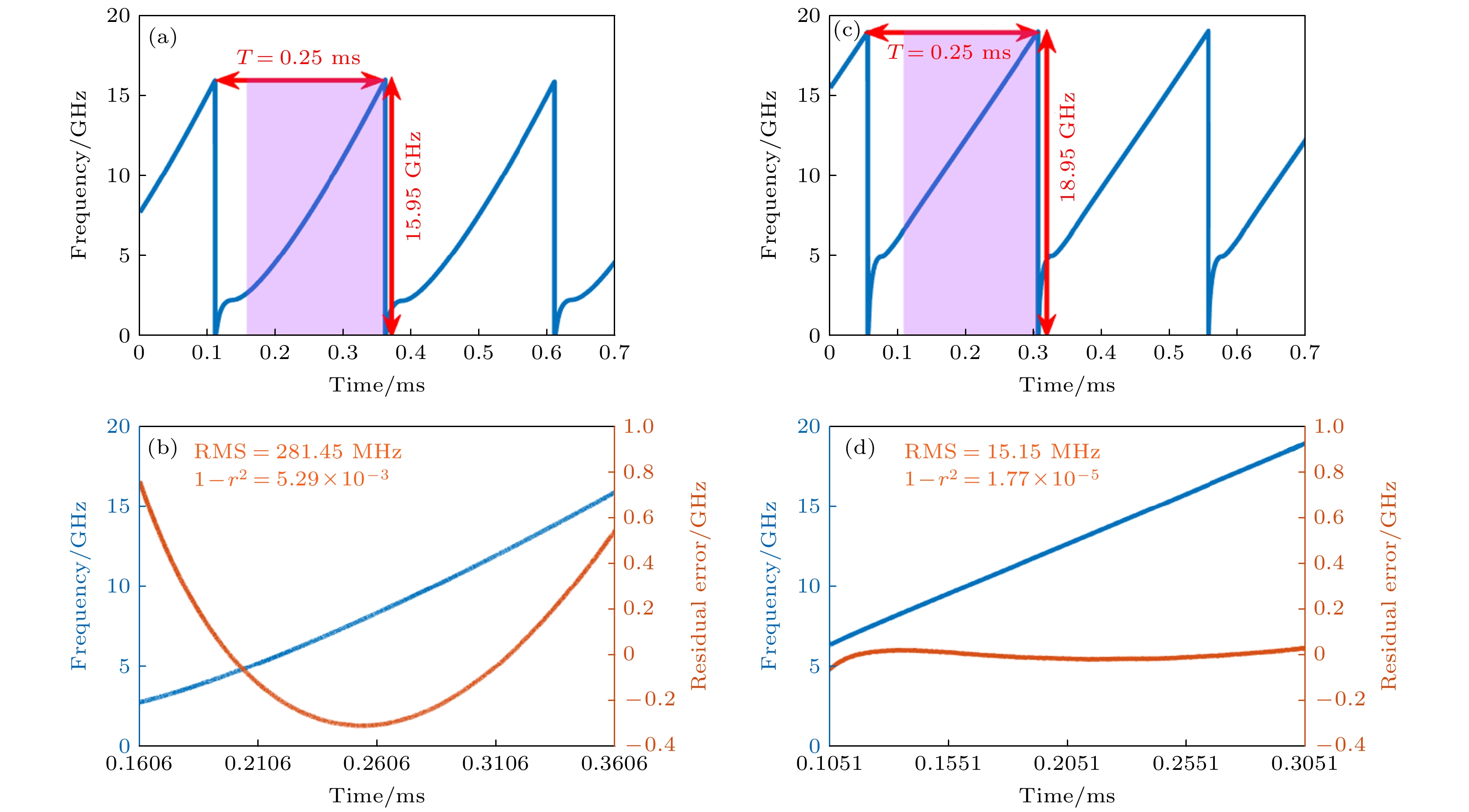
图 6 在4 kHz调制频率下FMCW信号频率随时间的变化曲线(a), (c)和感兴趣区域内频率随时间的变化(蓝色)以及残差随时间的变化(橙色) (b), (d) (a), (b) 预失真前; (c), (d) 预失真后
Fig. 6. Time-varying frequency curve of the FMCW signal at a 4 kHz modulation frequency (a), (c) and time-varying frequency (blue) and residual error (orange) within the interested time window(b), (d): (a), (b) Without pre-distortion; (c), (d) with pre-distortion.
图 8 在6 kHz调制频率下FMCW信号频率随时间的变化曲线(a), (c)和感兴趣区域内频率随时间的变化(蓝色)以及残差随时间的变化(橙色)(b), (d) (a), (b) 预失真前; (c), (d) 预失真后
Fig. 8. Time-varying frequency curve of the FMCW signal at a 6 kHz modulation frequency (a), (c) and time-varying frequency (blue) and residual error (orange) within the interested time window (b), (d): (a), (b) Without pre-distortion; (c), (d) with pre-distortion.
-
[1] Golconda S 2010 Ph. D. Dissertation (Lafayette: University of Louisiana at Lafayette
[2] Bețco D, Pârvu P V, Ciudin S 2024 Acta Astronaut. 216 55
Google Scholar
[3] Behera L, Agarwal S, Sandhan T, Sharma P, Kumar A, Ranjan A, Watsa S, Singh A, Kasina J S 2025 Int. J. Intell. Unmanne 13 92
Google Scholar
[4] Rablau C 2019 Fifteenth Conference on Education and Training in Optics and Photonics: ETOP 2019 Quebec, Canada, May 21–24, 2019 p11143
[5] Bhardwaj A, Sam L, Bhardwaj A, Martín-Torres F J 2016 Remote Sens. Environ. 177 125
Google Scholar
[6] Wang Q P, Xia G Q, Xie Y K, Ou P, He C T, Hu S, Zhang F L, Zhao M R, Wu Z M 2024 IEEE J. Quant. Elect. 60 2200408
Google Scholar
[7] 梁虹, 应康, 王迪, 魏金金, 李璇, 皮浩洋, 魏芳, 蔡海文 2021 中国激光 48 1606001
Google Scholar
Liang H, Ying K, Wang D Wei J J, Li X, Pi H Y, Wei F, Cai H W 2021 Chin. J. Lasers 48 1606001
Google Scholar
[8] Yang J W, Meng Y, Hu X L, Yang T X, Wang Z Y, Jia D F, Ge C F 2024 J. Lightw. Technol. 42 1870
Google Scholar
[9] Liu C X, Guo Y Y, Xu R Y, Lu L J, Li Y, Chen J P, Zhou L J 2024 Laser Photon. Rev. 18 2300882
Google Scholar
[10] Zhou P, Zhang R H, Li N Q, Jiang Z D, Pan S L 2022 J. Lightw. Technol. 40 2862
Google Scholar
[11] Yao Z Y, Mauldin T, Hefferman G, Wei T 2019 IEEE J. Sel. Top. Quant. Electron. 25 1502605
Google Scholar
[12] Na Q X, Xie Q J, Zhang N, Zhang L X, Li Y Z, Chen B S, Peng T, Zuo G M, Zhuang D W, Song J F 2023 Opt. Laser Eng. 164 107523
Google Scholar
[13] Knipp S 2018 M. S. Thesis (Kingston: University of Rhode Island
[14] Lin C X, Wang Y F, Tan Y D 2023 J. Lightw. Technol. 41 2846
Google Scholar
[15] Baumann E, Giorgetta F R, Coddington I, Sinclair L C, Knabe K, Swann W C, Newbury N R 2013 Opt. Lett. 38 2026
Google Scholar
[16] Xie W L, Meng Y X, Feng Y X, Zhou H J, Zhang L, Wei W, Dong Y 2021 Opt. Express 29 604
Google Scholar
[17] Satyan N, Vasilyev A, Rakuljic G, Leyva V, Yariv A 2009 Opt. Express 17 15991
Google Scholar
[18] Satyan N, Vasilyev A, Rakuljic G, White J O, Yariv A 2012 Opt. Express 20 25213
Google Scholar
[19] Zhang X S, Pouls J, Wu M C 2019 Opt. Express 27 9965
Google Scholar
[20] Cao X Y, Wu K, Li C, Zhang G J, Chen J P 2021 J. Opt. Soc. Am. B 38 D8
Google Scholar
[21] Li P, Zhang Y T, Yao J Q 2022 Remote Sens. 14 3455
Google Scholar
[22] Jiang Y C, Hu M, Xu M M, Li H Z, Zhou X F, Bi M H, Pan S Q, Liu C 2024 IEEE J. Quant. Elect. 60 1400107
Google Scholar
[23] Fang C, Ruan Y X, Guo Q H, Yu Y G 2025 Opt. Laser Technol. 180 111449
Google Scholar
计量
- 文章访问数: 410
- PDF下载量: 15
- 被引次数: 0








下载: