2019 Vol. 68, No. 3
Display Method:
2019, 68(3): 030201.
doi: 10.7498/aps.68.20181567
Abstract:
We present a newly developed algorithm for three-dimensional (3D) magnetotelluric model based on the vector finite element method. In this paper, unstructured grids which are composed of irregular tetrahedrons are used in our finite element model, which can be refined locally and adaptively according to the complex geometry of computational domain or subsurface structure. For obtaining more accurate solutions, secondary field rather than total field is numerically computed, which makes the errors limited to relatively small secondary field. Traditional node-based finite element method does not satisfy the condition that the normal electrical field is discontinuous at the interface of electric separatrix and the electrical current density is divergence-free throughout the regions without source, which obviously violates Maxwell equations. In order to overcome these drawbacks of node-based finite element, vector finite element method is employed to solve the secondary field-based partial differential equation. Moreover, in this study, the heterogeneous permeability is taken into consideration in our algorithm, as a consequence, which can deal with heterogeneous permeability model. The accuracy of our approach is verified by comparing with previously published numerical simulations of a COMMEMI-3D model. The advantages of our approach are also illustrated by the numerical simulations of model with arbitrary topography and complicated anomalous body. In addition, the simulation results of the irregular anomaly and the complex model of arbitrary terrain are both ideal results. It proves that the effect of 3D terrain is more serious and complex than that of two-dimensional (2D) terrain, and dealing with 3D models or data with 2D algorithm may bring in large errors. In the area where the magnetic permeability is abnormal, the magnetic permeability has an important influence on the numerical simulation results, and the magnetic permeability must be treated as an independent parameter in the magnetotellurics survey.
We present a newly developed algorithm for three-dimensional (3D) magnetotelluric model based on the vector finite element method. In this paper, unstructured grids which are composed of irregular tetrahedrons are used in our finite element model, which can be refined locally and adaptively according to the complex geometry of computational domain or subsurface structure. For obtaining more accurate solutions, secondary field rather than total field is numerically computed, which makes the errors limited to relatively small secondary field. Traditional node-based finite element method does not satisfy the condition that the normal electrical field is discontinuous at the interface of electric separatrix and the electrical current density is divergence-free throughout the regions without source, which obviously violates Maxwell equations. In order to overcome these drawbacks of node-based finite element, vector finite element method is employed to solve the secondary field-based partial differential equation. Moreover, in this study, the heterogeneous permeability is taken into consideration in our algorithm, as a consequence, which can deal with heterogeneous permeability model. The accuracy of our approach is verified by comparing with previously published numerical simulations of a COMMEMI-3D model. The advantages of our approach are also illustrated by the numerical simulations of model with arbitrary topography and complicated anomalous body. In addition, the simulation results of the irregular anomaly and the complex model of arbitrary terrain are both ideal results. It proves that the effect of 3D terrain is more serious and complex than that of two-dimensional (2D) terrain, and dealing with 3D models or data with 2D algorithm may bring in large errors. In the area where the magnetic permeability is abnormal, the magnetic permeability has an important influence on the numerical simulation results, and the magnetic permeability must be treated as an independent parameter in the magnetotellurics survey.
2019, 68(3): 030301.
doi: 10.7498/aps.68.20181778
Abstract:
Coherence and complementarity are two important themes in quantum mechanics, which have been widely and thoroughly investigated. Recently, with the rapid development of quantum information theory, various measures have been introduced for quantitatively studying the coherence and complementarity. However, most of these studies are independent of each other in that they focus on only one theme, for example, the wave-particle duality and Heisenberg uncertainty principle are usually regarded as manifestation of Bohr’s complementary principle, while coherence is a quantum feature closely related to quantum superposition. During the past few years, there has been a flurry of research interest in the study of quantum coherence from the quantum resource-theoretic point of view. In this paper, we establish two information conservation relations and employ them to characterize complementarity and quantum coherence. As an illustration of the main results, we discuss these two themes in the Mach-Zehnder interferometer. Our study reveals that these two quantum themes are closely related to each other. Our main results are listed as follows. Firstly, we establish two information conservation relations, one is based on " Bures distance versus fidelity” and the other based on " symmetry versus asymmetry”. Then we employ these information conservation relations to investigate coherence and complementarity. Specifically, we provide an explanation of the " Bures distance versus fidelity” trade-off relation from the information conservation perspective, establish the link between the information conservation relation and wave-particle duality, and derive the famous Englert inequality concerning " fringe visibility versus path distinguishability” from the information conservation relation. Furthermore, in the general framework of state-channel interaction, we derive " symmetry versus asymmetry” trade-off relation and explain it as an information conservation relation, reveal its intrinsic relations with coherence and complementarity. Lastly, we demonstrate that the two information conservation relations are closely interrelated, and we also discuss the coherence, decoherence and complementarity in the Mach-Zehnder interferometer, explicitly, we reveal that the Bures distance can be regarded as a lower bound of the asymmetry of state-channel interaction while fidelity is an upper bound of the symmetry of state-channel interaction. We expect that our information conservation relation can provide a unified framework for the study of coherence and complementarity.
Coherence and complementarity are two important themes in quantum mechanics, which have been widely and thoroughly investigated. Recently, with the rapid development of quantum information theory, various measures have been introduced for quantitatively studying the coherence and complementarity. However, most of these studies are independent of each other in that they focus on only one theme, for example, the wave-particle duality and Heisenberg uncertainty principle are usually regarded as manifestation of Bohr’s complementary principle, while coherence is a quantum feature closely related to quantum superposition. During the past few years, there has been a flurry of research interest in the study of quantum coherence from the quantum resource-theoretic point of view. In this paper, we establish two information conservation relations and employ them to characterize complementarity and quantum coherence. As an illustration of the main results, we discuss these two themes in the Mach-Zehnder interferometer. Our study reveals that these two quantum themes are closely related to each other. Our main results are listed as follows. Firstly, we establish two information conservation relations, one is based on " Bures distance versus fidelity” and the other based on " symmetry versus asymmetry”. Then we employ these information conservation relations to investigate coherence and complementarity. Specifically, we provide an explanation of the " Bures distance versus fidelity” trade-off relation from the information conservation perspective, establish the link between the information conservation relation and wave-particle duality, and derive the famous Englert inequality concerning " fringe visibility versus path distinguishability” from the information conservation relation. Furthermore, in the general framework of state-channel interaction, we derive " symmetry versus asymmetry” trade-off relation and explain it as an information conservation relation, reveal its intrinsic relations with coherence and complementarity. Lastly, we demonstrate that the two information conservation relations are closely interrelated, and we also discuss the coherence, decoherence and complementarity in the Mach-Zehnder interferometer, explicitly, we reveal that the Bures distance can be regarded as a lower bound of the asymmetry of state-channel interaction while fidelity is an upper bound of the symmetry of state-channel interaction. We expect that our information conservation relation can provide a unified framework for the study of coherence and complementarity.
2019, 68(3): 030303.
doi: 10.7498/aps.68.20182207
Abstract:
The faithful storage and coherent manipulation of single photon state in a matter-system are crucial for linear-optical quantum computation, long-distance quantum communication, and quantum networking.To reach useful data rate in a large-scale quantum network, highly multimode quantum memories are required to build a multiplexed quantum repeater.Rare-earth-ion doped crystal (REIC) is very promising material as a candidate for multimode quantum storage due to the wide inhomogeneous broadening and long optical coherence time.In this article, we review the recent advances in multimode quantum memories based on REICs.First, we briefly introduce the properties of REIC and the atomic frequency comb protocol based on REIC.Next, we review the achievements of multimode quantum memories based on REIC in recent years, including frequency, temporal and spatial multimode storage.Afterwards, we review our experimental work on multiplexed storage based on a multiple degree-of-freedom quantum memory.Finally, we introduce the quantum mode converter and real-time arbitrary manipulations based on the multiple degree-of-freedom quantum memory. The combination of storage and real-time manipulation in a device should enable the construction of a versatility quantum repeater.This review highlights that multimode quantum memories based on REIC can be found to possess some practical applications in developing the optical quantum information processing in the near future.
The faithful storage and coherent manipulation of single photon state in a matter-system are crucial for linear-optical quantum computation, long-distance quantum communication, and quantum networking.To reach useful data rate in a large-scale quantum network, highly multimode quantum memories are required to build a multiplexed quantum repeater.Rare-earth-ion doped crystal (REIC) is very promising material as a candidate for multimode quantum storage due to the wide inhomogeneous broadening and long optical coherence time.In this article, we review the recent advances in multimode quantum memories based on REICs.First, we briefly introduce the properties of REIC and the atomic frequency comb protocol based on REIC.Next, we review the achievements of multimode quantum memories based on REIC in recent years, including frequency, temporal and spatial multimode storage.Afterwards, we review our experimental work on multiplexed storage based on a multiple degree-of-freedom quantum memory.Finally, we introduce the quantum mode converter and real-time arbitrary manipulations based on the multiple degree-of-freedom quantum memory. The combination of storage and real-time manipulation in a device should enable the construction of a versatility quantum repeater.This review highlights that multimode quantum memories based on REIC can be found to possess some practical applications in developing the optical quantum information processing in the near future.
2019, 68(3): 030304.
doi: 10.7498/aps.68.20181779
Abstract:
Quantum coherence is not only a fundamental concept of quantum mechanics, but also an important physical resource for quantum information processing. Along with the formulation of the resource theoretic framework of quantum coherence, the quantification of coherence is still one of the recent research focuses. Quantum coherence is also very fragile, and the environmental noise usually induces a system to decohere. Hence it is also an important subject to make clear the dynamical behavior and to seek a flexible way of preserving quantum coherence of an open quantum system. Besides, there are many potential applications of quantum coherence in quantum many-body system, quantum thermodynamics, quantum biology and other related fields. We review in this paper the resource theoretic framework for quantifying coherence and the relevant quantum coherence measures defined within this framework which includes the relative entropy of coherence, the l1 norm of coherence, the entanglement-based measure of coherence, the convex roof measure of coherence, and the robustness of coherence. We also review the dynamical behaviors of quantum coherence for certain open quantum systems, the coherence generating and breaking power of typical quantum channels, and the freezing phenomenon of quantum coherence. Moreover, we exemplify applications of quantum coherence in Deutsch-Jozsa algorithm, Grover search algorithms, and the study of quantum phase transitions in multipartite systems. We hope that these results may provide not only an overview of the relevant field, but also an outlook of the future research direction of this exciting field.
Quantum coherence is not only a fundamental concept of quantum mechanics, but also an important physical resource for quantum information processing. Along with the formulation of the resource theoretic framework of quantum coherence, the quantification of coherence is still one of the recent research focuses. Quantum coherence is also very fragile, and the environmental noise usually induces a system to decohere. Hence it is also an important subject to make clear the dynamical behavior and to seek a flexible way of preserving quantum coherence of an open quantum system. Besides, there are many potential applications of quantum coherence in quantum many-body system, quantum thermodynamics, quantum biology and other related fields. We review in this paper the resource theoretic framework for quantifying coherence and the relevant quantum coherence measures defined within this framework which includes the relative entropy of coherence, the l1 norm of coherence, the entanglement-based measure of coherence, the convex roof measure of coherence, and the robustness of coherence. We also review the dynamical behaviors of quantum coherence for certain open quantum systems, the coherence generating and breaking power of typical quantum channels, and the freezing phenomenon of quantum coherence. Moreover, we exemplify applications of quantum coherence in Deutsch-Jozsa algorithm, Grover search algorithms, and the study of quantum phase transitions in multipartite systems. We hope that these results may provide not only an overview of the relevant field, but also an outlook of the future research direction of this exciting field.
2019, 68(3): 030305.
doi: 10.7498/aps.68.20182133
Abstract:
As an important candidate for quantum simulation and quantum computation, a microscopic array of single atoms confined in optical dipole traps is advantageous in controlled interaction, long coherence time, and scalability of providing thousands of qubits in a small footprint of less than 1 mm2. Recently, several breakthroughs have greatly advanced the applications of neutral atom system in quantum simulation and quantum computation, such as atom-by-atom assembling of defect-free arbitrary atomic arrays, single qubit addressing and manipulating in two-dimensional and three-dimensional arrays, extending coherence time of atomic qubits, controlled-NOT (C-NOT) gate based on Rydberg interactions, high fidelity readout, etc.In this paper, the experimental progress of quantum computation based on trapped single neutral atoms is reviewed, along with two contributions done by single atom group in Wuhan Institute of Physics and Mathematics of Chinese Academy of Sciences. First, a magic-intensity trapping technique is developed and used to mitigate the detrimental decoherence effects which are induced by light shift and substantially enhance the coherence time to 225 ms which is 100 times as large as our previous coherence time thus amplifying the ratio between coherence time and single qubit operation time to 105. Second, the difference in resonant frequency between the two atoms of different isotopes is used to avoid crosstalking between individually addressing and manipulating nearby atoms. Based on this heteronuclear single atom system, the heteronuclear C-NOT quantum gate and entanglement of an Rb-85 atom and an Rb-87 atom are demonstrated via Rydberg blockade for the first time. These results will trigger the quests for new protocols and schemes to use the double species for quantum computation with neutral atoms. In the end, the challenge and outlook for further developing the neutral atom system in quantum simulation and quantum computation are also reviewed.
As an important candidate for quantum simulation and quantum computation, a microscopic array of single atoms confined in optical dipole traps is advantageous in controlled interaction, long coherence time, and scalability of providing thousands of qubits in a small footprint of less than 1 mm2. Recently, several breakthroughs have greatly advanced the applications of neutral atom system in quantum simulation and quantum computation, such as atom-by-atom assembling of defect-free arbitrary atomic arrays, single qubit addressing and manipulating in two-dimensional and three-dimensional arrays, extending coherence time of atomic qubits, controlled-NOT (C-NOT) gate based on Rydberg interactions, high fidelity readout, etc.In this paper, the experimental progress of quantum computation based on trapped single neutral atoms is reviewed, along with two contributions done by single atom group in Wuhan Institute of Physics and Mathematics of Chinese Academy of Sciences. First, a magic-intensity trapping technique is developed and used to mitigate the detrimental decoherence effects which are induced by light shift and substantially enhance the coherence time to 225 ms which is 100 times as large as our previous coherence time thus amplifying the ratio between coherence time and single qubit operation time to 105. Second, the difference in resonant frequency between the two atoms of different isotopes is used to avoid crosstalking between individually addressing and manipulating nearby atoms. Based on this heteronuclear single atom system, the heteronuclear C-NOT quantum gate and entanglement of an Rb-85 atom and an Rb-87 atom are demonstrated via Rydberg blockade for the first time. These results will trigger the quests for new protocols and schemes to use the double species for quantum computation with neutral atoms. In the end, the challenge and outlook for further developing the neutral atom system in quantum simulation and quantum computation are also reviewed.
2019, 68(3): 030306.
doi: 10.7498/aps.68.20181729
Abstract:
Quantum memory device capable of storing quantum information for a long period of time is one of the fundamental ingredients to realize large-scale quantum computation and quantum communication. Comparing with other quantum computation platforms, one of the advantages of the trapped-ion system is the long intrinsic coherence time. Before our work, the longest single-qubit coherence time in trapped-ion systems has been achieved to be less than 1 minute. It is discovered that the main limitation for the coherence time is the motional mode heating and the environment noise that includes the contributions from the magnetic field fluctuation and the phase noise of the microwaves. In a hybrid trapping system simultaneously trapping 171Yb+ and 138Ba+ ions, single-qubit quantum memories with coherence time longer than 10 minutes can be realized by applying sympathetic cooling and dynamical decoupling. This technique may have some value as the building blocks for quantum cryptography protocols and hybrid quantum computation platforms.
Quantum memory device capable of storing quantum information for a long period of time is one of the fundamental ingredients to realize large-scale quantum computation and quantum communication. Comparing with other quantum computation platforms, one of the advantages of the trapped-ion system is the long intrinsic coherence time. Before our work, the longest single-qubit coherence time in trapped-ion systems has been achieved to be less than 1 minute. It is discovered that the main limitation for the coherence time is the motional mode heating and the environment noise that includes the contributions from the magnetic field fluctuation and the phase noise of the microwaves. In a hybrid trapping system simultaneously trapping 171Yb+ and 138Ba+ ions, single-qubit quantum memories with coherence time longer than 10 minutes can be realized by applying sympathetic cooling and dynamical decoupling. This technique may have some value as the building blocks for quantum cryptography protocols and hybrid quantum computation platforms.
2019, 68(3): 030307.
doi: 10.7498/aps.68.20190039
Abstract:
Quantum technologies, for example, quantum communication and quantum computation, promise spectacular quantum enhanced advantages beyond what can be done classically. However, quantum states, as the element of quantum technologies, are very fragile and easily get lost to the environment, and meanwhile, their generation and quantum operations are mostly probabilistic. These problems make it exponentially hard to build long-distance quantum channels for quantum communication and large quantum systems for quantum computing. Quantum memory allows quantum states to be stored and retrieved in a programmable fashion, therefore providing an elegant solution to the probabilistic nature and associated limitation by coordinating asynchronous events. In the past decades, enormous advances in quantum memory have been made by developing various storage protocols and their physical implementations, and the quantum memory has gradually evolved from the initial conceptual demonstration to a nearly practical one. Aiming at being practicable for efficient synchronisation and physical scalability, an ideal quantum memory should meet several key features known as high efficiency, low noise level, large time bandwidth product (lifetime divided by pulse duration) and operating at room temperature. Here, we present the research status and development trends of this field by introducing some typical storage protocols. Among these protocols, a room-temperature broadband quantum memory is the most attractive due to its simplicity and practicability. However, at room temperature, noise becomes dominant and is a bottleneck problem that has impeded the realization of a real room-temperature broadband quantum memory in the last decades. Recently, the noise problem has been solved in two memory protocols, i.e. FORD (far off-resonance Duan-Lukin-Cirac-Zoller) protocol and ORCA (off-resonant cascaded absorption) protocol. In this paper, the working principles, the merits and demerits of various quantum memory protocols are illustrated. Furthermore, the approaches to eliminating noise and the applications of quantum memory are summarized.
Quantum technologies, for example, quantum communication and quantum computation, promise spectacular quantum enhanced advantages beyond what can be done classically. However, quantum states, as the element of quantum technologies, are very fragile and easily get lost to the environment, and meanwhile, their generation and quantum operations are mostly probabilistic. These problems make it exponentially hard to build long-distance quantum channels for quantum communication and large quantum systems for quantum computing. Quantum memory allows quantum states to be stored and retrieved in a programmable fashion, therefore providing an elegant solution to the probabilistic nature and associated limitation by coordinating asynchronous events. In the past decades, enormous advances in quantum memory have been made by developing various storage protocols and their physical implementations, and the quantum memory has gradually evolved from the initial conceptual demonstration to a nearly practical one. Aiming at being practicable for efficient synchronisation and physical scalability, an ideal quantum memory should meet several key features known as high efficiency, low noise level, large time bandwidth product (lifetime divided by pulse duration) and operating at room temperature. Here, we present the research status and development trends of this field by introducing some typical storage protocols. Among these protocols, a room-temperature broadband quantum memory is the most attractive due to its simplicity and practicability. However, at room temperature, noise becomes dominant and is a bottleneck problem that has impeded the realization of a real room-temperature broadband quantum memory in the last decades. Recently, the noise problem has been solved in two memory protocols, i.e. FORD (far off-resonance Duan-Lukin-Cirac-Zoller) protocol and ORCA (off-resonant cascaded absorption) protocol. In this paper, the working principles, the merits and demerits of various quantum memory protocols are illustrated. Furthermore, the approaches to eliminating noise and the applications of quantum memory are summarized.
2019, 68(3): 034202.
doi: 10.7498/aps.68.20181614
Abstract:
Quantum entanglement is a significant quantum resource, which plays a central role in quantum communication. For realizing quantum information network, it is important to establish deterministic quantum entanglement among multiple spatial-separated quantum memories, and then the stored entanglement is transferred into the quantum channels for distributing and transmitting the quantum information at the user-control time. Firstly, we introduce the scheme of deterministic generation polarization squeezed state at 795 nm. A pair of quadrature amplitude squeezed optical fields are prepared by two degenerate optical parameter amplifiers pumped by a laser at 398 nm, and then the polarization squeezed state of light appears by combining the generated two quadrature amplitude squeezed optical beams on a polarizing beam splitter. Secondly, we present the experimental demonstration of tripartite polarization entanglement described by Stokes operators of optical field. The quadrature tripartite entangled states of light corresponding to the resonance with D1 line of rubidium atoms are transformed into the continuous-variable polarization entanglement via polarization beam splitter with three bright local optical beams. Finally, we propose the generation, storage and transfer of deterministic quantum entanglement among three spatially separated atomic ensembles. By the method of electromagnetically induced transparency light-matter interaction, the optical multiple entangled state is mapped into three distant atomic ensembles to build the entanglement among three atomic spin waves. Then, the quantum noise of entanglement stored in the atomic ensembles is transferred to the three space-seperated quadrature entangled light fields through three quantum channels. The existence of entanglement among the three released beams verifies that the system has the ability to maintain the multipartite entanglement. This protocol realizes the entanglement among three distant quantum nodes, and it can be extended to quantum network with more quantum nodes. All of these lay the foundation for realizing the large-scale quantum network communication in the future.
Quantum entanglement is a significant quantum resource, which plays a central role in quantum communication. For realizing quantum information network, it is important to establish deterministic quantum entanglement among multiple spatial-separated quantum memories, and then the stored entanglement is transferred into the quantum channels for distributing and transmitting the quantum information at the user-control time. Firstly, we introduce the scheme of deterministic generation polarization squeezed state at 795 nm. A pair of quadrature amplitude squeezed optical fields are prepared by two degenerate optical parameter amplifiers pumped by a laser at 398 nm, and then the polarization squeezed state of light appears by combining the generated two quadrature amplitude squeezed optical beams on a polarizing beam splitter. Secondly, we present the experimental demonstration of tripartite polarization entanglement described by Stokes operators of optical field. The quadrature tripartite entangled states of light corresponding to the resonance with D1 line of rubidium atoms are transformed into the continuous-variable polarization entanglement via polarization beam splitter with three bright local optical beams. Finally, we propose the generation, storage and transfer of deterministic quantum entanglement among three spatially separated atomic ensembles. By the method of electromagnetically induced transparency light-matter interaction, the optical multiple entangled state is mapped into three distant atomic ensembles to build the entanglement among three atomic spin waves. Then, the quantum noise of entanglement stored in the atomic ensembles is transferred to the three space-seperated quadrature entangled light fields through three quantum channels. The existence of entanglement among the three released beams verifies that the system has the ability to maintain the multipartite entanglement. This protocol realizes the entanglement among three distant quantum nodes, and it can be extended to quantum network with more quantum nodes. All of these lay the foundation for realizing the large-scale quantum network communication in the future.
2019, 68(3): 034203.
doi: 10.7498/aps.68.20182215
Abstract:
Quantum memories are indispensable for quantum communication and quantum computation, which are able to realize the storage and retrieval of a quantum state such as a single photon, entanglement, or a squeezed state on demand. Among those memories realized by different protocols, the Raman quantum memory has advantages in its broadband and high-speed properties, resulting in huge potential applications in quantum network and quantum computation. However, the realization of Raman quantum memory for a true single photon and photonic entanglement is a challenging job. In this review, after briefly introducing the main benchmarks for quantum memories, showing the state of the art, we focus on the review of the experimental progress recently achieved in storing the quantum state by Raman scheme in our group. We believe that all achievements reviewed are very hopeful in building up a high-speed quantum network.
Quantum memories are indispensable for quantum communication and quantum computation, which are able to realize the storage and retrieval of a quantum state such as a single photon, entanglement, or a squeezed state on demand. Among those memories realized by different protocols, the Raman quantum memory has advantages in its broadband and high-speed properties, resulting in huge potential applications in quantum network and quantum computation. However, the realization of Raman quantum memory for a true single photon and photonic entanglement is a challenging job. In this review, after briefly introducing the main benchmarks for quantum memories, showing the state of the art, we focus on the review of the experimental progress recently achieved in storing the quantum state by Raman scheme in our group. We believe that all achievements reviewed are very hopeful in building up a high-speed quantum network.
2019, 68(3): 030302.
doi: 10.7498/aps.68.20181922
Abstract:
With the development of quantum information processing (QIP), entangled states have been used in many important fields. One of the well-known entangled states is Greenberger-Horne-Zeilinger (GHZ) state, which provides a possibility for testing quantum mechanics against local hidden theory without using Bell’s inequality. Many schemes of generating the GHZ state have been put forward in various physical systems over the past ten years. Among these physical systems, the superconducting qubits (SQs) have the potential suitability for the integrated devices in QIP and can be controlled easily through modulating electromagnetic signals and designing level configurations. On the other hand, adiabatic passage is a typical method which is used widely to generate entanglements. However, adiabatic passage needs long evolution time to satisfy the adiabatic condition. Therefore, to speed up a slow quantum adiabatic process, a new kind of technique called " shortcuts to adiabatic passage (STAP)” has attracted much attention. The Lewis-Riesenfeld invariants and transitionless quantum driving are famous methods of STAP. But they are difficult to use in the experiment. For the Lewis-Riesenfeld invariants, the driving pulses are not smoothly turned on or off and thus lead to severe impediments in experiment. For transitionless quantum driving, a direct coupling between the initial state and the target state is needed, but is too hard to obtain experimentally. In this paper, we propose a theoretical scheme for fast generating GHZ state of three superconducting qubits via superadiabatic-based shortcuts. Firstly, with the help of quantum Zeno dynamics, we obtain the effective Hamiltonian of the system, then we choose a suitable counterdiabatic Hamiltonian in the same form as the effective Hamiltonian and add it to the effective Hamiltonian in order to construct shortcuts to adiabatic passage, which can make the system evolve along one of the superadiabatic states and thus accelerate the evolution process of the system. More importantly, the superadiabatic scheme does not need an additional coupling between the initial and finial state, which ensures its high experimental feasibility. In addition, numerical simulation results show that the proposed scheme is robust against spontaneous emission, the cavity photon leakage and the dephasing of SQs.
With the development of quantum information processing (QIP), entangled states have been used in many important fields. One of the well-known entangled states is Greenberger-Horne-Zeilinger (GHZ) state, which provides a possibility for testing quantum mechanics against local hidden theory without using Bell’s inequality. Many schemes of generating the GHZ state have been put forward in various physical systems over the past ten years. Among these physical systems, the superconducting qubits (SQs) have the potential suitability for the integrated devices in QIP and can be controlled easily through modulating electromagnetic signals and designing level configurations. On the other hand, adiabatic passage is a typical method which is used widely to generate entanglements. However, adiabatic passage needs long evolution time to satisfy the adiabatic condition. Therefore, to speed up a slow quantum adiabatic process, a new kind of technique called " shortcuts to adiabatic passage (STAP)” has attracted much attention. The Lewis-Riesenfeld invariants and transitionless quantum driving are famous methods of STAP. But they are difficult to use in the experiment. For the Lewis-Riesenfeld invariants, the driving pulses are not smoothly turned on or off and thus lead to severe impediments in experiment. For transitionless quantum driving, a direct coupling between the initial state and the target state is needed, but is too hard to obtain experimentally. In this paper, we propose a theoretical scheme for fast generating GHZ state of three superconducting qubits via superadiabatic-based shortcuts. Firstly, with the help of quantum Zeno dynamics, we obtain the effective Hamiltonian of the system, then we choose a suitable counterdiabatic Hamiltonian in the same form as the effective Hamiltonian and add it to the effective Hamiltonian in order to construct shortcuts to adiabatic passage, which can make the system evolve along one of the superadiabatic states and thus accelerate the evolution process of the system. More importantly, the superadiabatic scheme does not need an additional coupling between the initial and finial state, which ensures its high experimental feasibility. In addition, numerical simulation results show that the proposed scheme is robust against spontaneous emission, the cavity photon leakage and the dephasing of SQs.
2019, 68(3): 030501.
doi: 10.7498/aps.68.20181665
Abstract:
Superhydrophobic surfaces resulting from nanoarrays have good performance in anti-condensation. However, the study of droplet nucleation during water vapor condensation is a challenge because of the limitation of observation on a nanoscale, and therefore the fundamental understanding of the influence of geometrical parameters of nanoarrays on the condensation behavior is still less clear. In this work a three-dimensional (3D) multiphase lattice Boltzmann (LB) model is employed to simulate the phenomenon of droplet condensation on the superhydrophobic nanostructured surface. The model validation is carried out through the comparison of the simulations with the results from the Laplace's law and the intrinsic contact angle theory. The LB simulations accord well with the results from Laplace's law. The relative deviation between the simulated intrinsic contact angle and the theoretical value is less than 0.14%, demonstrating the validity of the LB model. Then, the 3D LB model is used to simulate the different preferential nucleation positions and final wetting states of condensate droplets by changing the geometrical parameters, including interpost space, post height and post width, and local wettability of the nanoarrays on superhydrophobic surfaces. It is found that for the nanostructured surfaces patterned with tall posts, the droplets nucleate in the upside interpost space and at the bottom of nanostructures simultaneously. By designing wider and thinner interpost spaces at the downside and upside of the tall nanostructures, respectively, the phenomenon of droplet nucleation at the bottom can be avoided. The simulation results show that the condensate droplets nucleated in the upside interpost space of tall nanostructures migrate upwards during growth, producing a Wenzel-to-Cassie wetting state transition. On the other hand, the condensate droplets nucleated at the bottom of nanostructured surface patterned with short posts produce the Wenzel state. However, by setting non-uniform hydrophilic and hydrophobic regions on the top of the short nanostructures, the condensate droplets are found to nucleate on the hydrophilic top and generate a Cassie state. The simulated final wetting states of condensate droplets on the nanostructures, having various geometrical parameters, compare reasonably well with the experimental observations reported in the literature. It is demonstrated that the migration of condensate droplets is correlated with the evolution of the statistical average force. If the direction of the statistical average force acting on the droplet is upward, the condensate droplets nucleated in the upside interpost space move upward during growth. The 3D LB simulations provide an insight into the physical mechanism of droplet nucleation, growth and wetting state transitions on superhydrophobic nanostructured surfaces.
Superhydrophobic surfaces resulting from nanoarrays have good performance in anti-condensation. However, the study of droplet nucleation during water vapor condensation is a challenge because of the limitation of observation on a nanoscale, and therefore the fundamental understanding of the influence of geometrical parameters of nanoarrays on the condensation behavior is still less clear. In this work a three-dimensional (3D) multiphase lattice Boltzmann (LB) model is employed to simulate the phenomenon of droplet condensation on the superhydrophobic nanostructured surface. The model validation is carried out through the comparison of the simulations with the results from the Laplace's law and the intrinsic contact angle theory. The LB simulations accord well with the results from Laplace's law. The relative deviation between the simulated intrinsic contact angle and the theoretical value is less than 0.14%, demonstrating the validity of the LB model. Then, the 3D LB model is used to simulate the different preferential nucleation positions and final wetting states of condensate droplets by changing the geometrical parameters, including interpost space, post height and post width, and local wettability of the nanoarrays on superhydrophobic surfaces. It is found that for the nanostructured surfaces patterned with tall posts, the droplets nucleate in the upside interpost space and at the bottom of nanostructures simultaneously. By designing wider and thinner interpost spaces at the downside and upside of the tall nanostructures, respectively, the phenomenon of droplet nucleation at the bottom can be avoided. The simulation results show that the condensate droplets nucleated in the upside interpost space of tall nanostructures migrate upwards during growth, producing a Wenzel-to-Cassie wetting state transition. On the other hand, the condensate droplets nucleated at the bottom of nanostructured surface patterned with short posts produce the Wenzel state. However, by setting non-uniform hydrophilic and hydrophobic regions on the top of the short nanostructures, the condensate droplets are found to nucleate on the hydrophilic top and generate a Cassie state. The simulated final wetting states of condensate droplets on the nanostructures, having various geometrical parameters, compare reasonably well with the experimental observations reported in the literature. It is demonstrated that the migration of condensate droplets is correlated with the evolution of the statistical average force. If the direction of the statistical average force acting on the droplet is upward, the condensate droplets nucleated in the upside interpost space move upward during growth. The 3D LB simulations provide an insight into the physical mechanism of droplet nucleation, growth and wetting state transitions on superhydrophobic nanostructured surfaces.
2019, 68(3): 033101.
doi: 10.7498/aps.68.20181770
Abstract:
Sr35Cl is a candidate system for laser cooling. The spectrum and transition characteristics are very important for constructing laser cooling schemes. In this paper, the spectral properties are analyzed by using the Davidson's modified internal contraction multi-reference interaction (ic-MRCI + Q) method, in combination with the relativistic effective core pseudopotential group (aug-cc-pV5Z-PP) as the base group for the calculation of the Sr atom and the related consistent quintile aug-cc-pV5Z as the Cl atom. The potential energy curves and dipole moments of 14 low excited electron states of Sr35Cl molecule are optimized. In order to obtain more accurate spectral parameters, nuclear valence electron correlation and relativistic effect correction are introduced into the calculation. Using the LEVEL 8.0 program to fit the modified potential energy curves of 5 bound states, the spectral properties such as spectral constants, vibration energy levels, and molecular constants of the corresponding electron states are obtained. The results show that there is a double potential well in\begin{document}${\rm B}^2 \Sigma^+$\end{document} ![]()
![]()
state and the cross phenomena are avoided in \begin{document}${\rm A}^2 \Pi$\end{document} ![]()
![]()
and \begin{document}${\rm C}^2 \Pi$\end{document} ![]()
![]()
, \begin{document}${\rm B}^2 \Sigma^+$\end{document} ![]()
![]()
and \begin{document}$3^2 \Sigma^+$\end{document} ![]()
![]()
respectively. The spectrum and molecular constants are in good agreement with the recently obtained theoretical calculations and experimental values except the adiabatic excitation energy. It may be due to the fact that the effect of the interaction of electronic states is taken into account. The transition properties such as Frank-Condon factor and radiation lifetime are also given. It can be seen that the 0-0 band of \begin{document}${\rm B}^2 \Sigma^+$\end{document} ![]()
![]()
−\begin{document}${\rm X}^2 \Sigma^+$\end{document} ![]()
![]()
transition has the largest Franck-Condon factor of 0.861288, and the diagonalization is obvious, which is the condition for laser cooling. The lifetime of \begin{document}${\rm B}^2 \Sigma^+$\end{document} ![]()
![]()
−\begin{document}${\rm X}^2 \Sigma^+$\end{document} ![]()
![]()
transition is 38.89 ns, which is in accordance with the experimental value 39.6 ns ± l.6 ns. These precise spectral transition characteristics may provide theoretical support for further constructing the laser cooling scheme of Sr35Cl molecule.
Sr35Cl is a candidate system for laser cooling. The spectrum and transition characteristics are very important for constructing laser cooling schemes. In this paper, the spectral properties are analyzed by using the Davidson's modified internal contraction multi-reference interaction (ic-MRCI + Q) method, in combination with the relativistic effective core pseudopotential group (aug-cc-pV5Z-PP) as the base group for the calculation of the Sr atom and the related consistent quintile aug-cc-pV5Z as the Cl atom. The potential energy curves and dipole moments of 14 low excited electron states of Sr35Cl molecule are optimized. In order to obtain more accurate spectral parameters, nuclear valence electron correlation and relativistic effect correction are introduced into the calculation. Using the LEVEL 8.0 program to fit the modified potential energy curves of 5 bound states, the spectral properties such as spectral constants, vibration energy levels, and molecular constants of the corresponding electron states are obtained. The results show that there is a double potential well in
2019, 68(3): 033201.
doi: 10.7498/aps.68.20181811
Abstract:
Using the three-dimensional classical ensemble model, we systematically investigate the strong-field nonsequential double ionization (NSDI) of He atom by intense linearly polarized laser pulses at different intensities for 750 nm and 1500 nm in wavelength. In the intensity range of 0.4−0.8 PW/cm2 considered in this work, for 750 nm wavelength the correlated electron pairs are always distributed mainly near the diagonal but for 1500 nm wavelength, with increasing laser intensity the population of electron pairs moves from the diagonal to the two axes, forming a near-axis V-shaped structure at 0.8 PW/cm2. The analysis indicates that for 750 nm with increasing laser intensity the contribution from the single-return events to NSDI decreases sharply and the contribution from the multiple-return events increases. For 1500 nm wavelength when the laser intensity increases, the contributions from one-, two- and three-return trajectories decrease and the contributions of other trajectories increase. It is because most of ionized electrons have a non-zero initial transverse momentum. After the excursion of the ionized electron, when it returns to the parent ion at the first time there is a distance in the transverse direction between the free electron and the parent ion, which hinders the recollision and NSDI from occurring. The transverse deviation can be significantly reduced by the Coulomb attraction from the parent ion to the free electron when it returns back to the parent ion in the longitudinal direction. Higher intensity results in larger returning velocity for the free electron. The free electron faster passes by the parent ion and the Coulomb attraction has less time to pull the free electron to the parent ion. For each return the compensation of the Coulomb attraction for the transverse deviation for high intensity is weaker than for low intensity. Thus for higher intensities more returns are required to compensate for the transverse deviation. Moreover, numerical results show the recollision distance in NSDI is smaller for the longer wavelength and higher intensity. It is attributed to the larger returning velocity of the free electron at the longer wavelength and higher intensity, which can more easily overcome the strong Coulomb repulsion between the two electrons and achieve a smaller recollision distance. Finally, electron correlation behaviors for those trajectories where recollision occurs with different return times are studied.
Using the three-dimensional classical ensemble model, we systematically investigate the strong-field nonsequential double ionization (NSDI) of He atom by intense linearly polarized laser pulses at different intensities for 750 nm and 1500 nm in wavelength. In the intensity range of 0.4−0.8 PW/cm2 considered in this work, for 750 nm wavelength the correlated electron pairs are always distributed mainly near the diagonal but for 1500 nm wavelength, with increasing laser intensity the population of electron pairs moves from the diagonal to the two axes, forming a near-axis V-shaped structure at 0.8 PW/cm2. The analysis indicates that for 750 nm with increasing laser intensity the contribution from the single-return events to NSDI decreases sharply and the contribution from the multiple-return events increases. For 1500 nm wavelength when the laser intensity increases, the contributions from one-, two- and three-return trajectories decrease and the contributions of other trajectories increase. It is because most of ionized electrons have a non-zero initial transverse momentum. After the excursion of the ionized electron, when it returns to the parent ion at the first time there is a distance in the transverse direction between the free electron and the parent ion, which hinders the recollision and NSDI from occurring. The transverse deviation can be significantly reduced by the Coulomb attraction from the parent ion to the free electron when it returns back to the parent ion in the longitudinal direction. Higher intensity results in larger returning velocity for the free electron. The free electron faster passes by the parent ion and the Coulomb attraction has less time to pull the free electron to the parent ion. For each return the compensation of the Coulomb attraction for the transverse deviation for high intensity is weaker than for low intensity. Thus for higher intensities more returns are required to compensate for the transverse deviation. Moreover, numerical results show the recollision distance in NSDI is smaller for the longer wavelength and higher intensity. It is attributed to the larger returning velocity of the free electron at the longer wavelength and higher intensity, which can more easily overcome the strong Coulomb repulsion between the two electrons and achieve a smaller recollision distance. Finally, electron correlation behaviors for those trajectories where recollision occurs with different return times are studied.
2019, 68(3): 033701.
doi: 10.7498/aps.68.20182016
Abstract:
In 2011, Kumar et al. (2011 Phys. Rev. A 84 043402) studied the light force acting on a beam of neutral two-level atoms superimposed on a few-cycle-pulse Gaussian laser field under both resonant and off-resonant conditions by solving the optical Bloch equation beyond the rotating-wave approximation, and they found that under resonant condition the transverse component of the light force shows oscillatory behavior but vanishes when a time average is taken, and the time averaged longitudinal force is nonzero only when the Rabi frequency is smaller than the resonant frequency and vanishes when the Rabi frequency is equal to or larger than the resonant frequency. In this paper, we investigate further the strong nonlinear optical interaction between a two-level atomic system and a femtosecond Gaussian laser pulse by solving numerically the full-wave optical Bloch equations through using the predictor-corrector method. It is found that the light forces and the light potentials are sensitive to the value of the Rabi frequency and the detuning of the laser field. Under the resonant condition, the instant light forces induced by the femtosecond laser pulse change their signs as a function of time. The instant longitudinal light force changes its sign at twice the Rabi frequency, while the instant transverse light force changes its sign at twice the light carrier-wave frequency. However, none of the time-averaged light forces is zero, showing periodical oscillation characters as a function of Rabi frequency. Both of the time-averaged longitudinal and transverse light forces oscillate at the Rabi frequency corresponding to the pulse area of 2\begin{document}${\text{π}}$\end{document} ![]()
![]()
. The time-averaged transverse light force shows also a trend of enhancement with Rabi frequency increasing, and the time-averaged longitudinal light force shows also a saturation trend with the increase of the Rabi frequency. The optical potential depends strongly on the detuning. It changes gradually from repulsive potential to attractive potential when the detuning defined here changes from negative to positive detuning. When the field is nearly resonant, the optical potential then oscillates between repulsive and attractive potentials. Therefore, neutral atoms can be focused, defocused, trapped, splitted or steered by the femtosecond laser field with appropriate detuning and Rabi frequency.
2019, 68(3): 034201.
doi: 10.7498/aps.68.20181723
Abstract:
Scattering in medium is a serious problem that limits the imaging depth or imaging distance. According to the absorption and scattering of light in biological tissues, it is difficult for both excited light and signal light to penetrate biological tissues, and the scattering effect in biological tissues will destroy the phase information of signal light, so it is difficult to directly carry out high resolution imaging in deep biological tissues. In the recent studies it is surprisingly found that two-dimensional image information of an object can be directly recovered from the disordered speckle pattern with pseudothermal light sources based on the optical memory effect (ME) and autocorrelation (AC) method. In this paper, we study a speckle imaging method based on pseudothermal illumination, where the Gerchberg-Saxton algorithm is used to perform the phase recovery of the object. Here, the advantages and disadvantages of HIO&ER algorithm and ping-pang (PP) algorithm based on the ME and AC method for imaging through random scattering medium are compared by using numerical simulation. By comparing the recovery effects and the numbers of iterations between HIO&ER algorithm and PP algorithm, it is found that PP algorithm has a fast running speed when a higher recovery quality is maintained. In addition, a continuous He-Ne laser and rotating ground glass are used to produce a pseudothermal light source. And a single frame imaging of different shape objects, which are a few millimeters away from random scattering medium, is carried out by objective lens. Then PP algorithm is adopted to recover the actual image of micron object. Furthermore, we experimentally find that the magnification, resolution and image intensity, which are qualitatively studied, are seriously affected by the distance between the focal plane of the object lens and scattering medium. We find that with the increase of the distance, the obtained autocorrelation graph and retrieval graph have corresponding amplification and the object sampling point information collected on sCOMS increases, which improves its resolution. However, the scattered light intensity collected by objective lens decreases after passing through the scattering medium, making the intensity of recovered image weaken. The results of this study will further promote the application of ME and AC method in the study of deep tissue medical imaging.
Scattering in medium is a serious problem that limits the imaging depth or imaging distance. According to the absorption and scattering of light in biological tissues, it is difficult for both excited light and signal light to penetrate biological tissues, and the scattering effect in biological tissues will destroy the phase information of signal light, so it is difficult to directly carry out high resolution imaging in deep biological tissues. In the recent studies it is surprisingly found that two-dimensional image information of an object can be directly recovered from the disordered speckle pattern with pseudothermal light sources based on the optical memory effect (ME) and autocorrelation (AC) method. In this paper, we study a speckle imaging method based on pseudothermal illumination, where the Gerchberg-Saxton algorithm is used to perform the phase recovery of the object. Here, the advantages and disadvantages of HIO&ER algorithm and ping-pang (PP) algorithm based on the ME and AC method for imaging through random scattering medium are compared by using numerical simulation. By comparing the recovery effects and the numbers of iterations between HIO&ER algorithm and PP algorithm, it is found that PP algorithm has a fast running speed when a higher recovery quality is maintained. In addition, a continuous He-Ne laser and rotating ground glass are used to produce a pseudothermal light source. And a single frame imaging of different shape objects, which are a few millimeters away from random scattering medium, is carried out by objective lens. Then PP algorithm is adopted to recover the actual image of micron object. Furthermore, we experimentally find that the magnification, resolution and image intensity, which are qualitatively studied, are seriously affected by the distance between the focal plane of the object lens and scattering medium. We find that with the increase of the distance, the obtained autocorrelation graph and retrieval graph have corresponding amplification and the object sampling point information collected on sCOMS increases, which improves its resolution. However, the scattered light intensity collected by objective lens decreases after passing through the scattering medium, making the intensity of recovered image weaken. The results of this study will further promote the application of ME and AC method in the study of deep tissue medical imaging.
2019, 68(3): 034204.
doi: 10.7498/aps.68.20181625
Abstract:
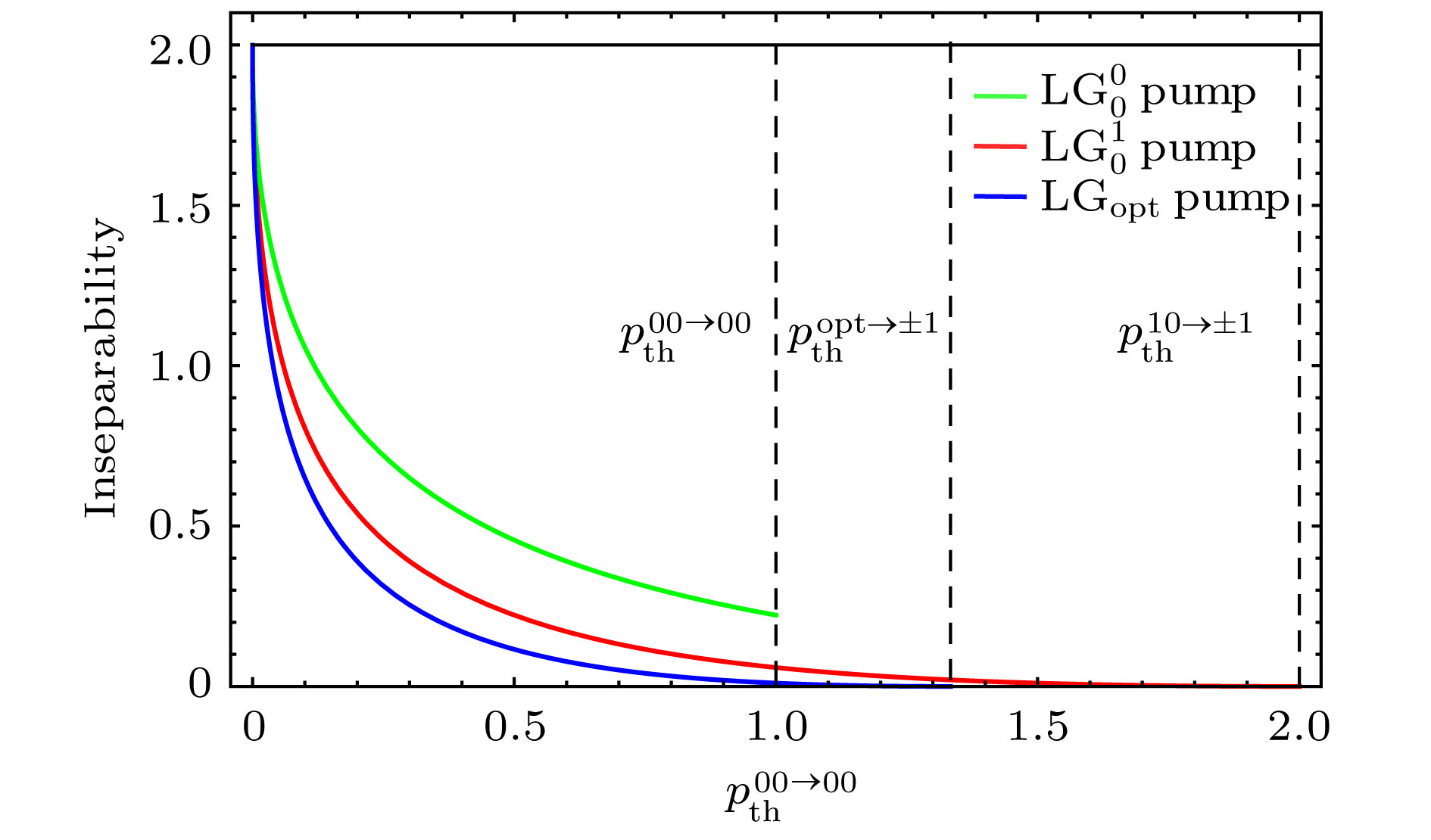
In recent years, more and more researchers have paid attention to the hyperentanglement, because it plays a very important role in the quantum information and quantum communication. Continuous-variable hyperentangled state with orbital angular momentum and spin angular momentum has a promising application in the parallel processing of continuous-variable multi-channel quantum information and multiparameters quantum metrology. Recently Liu et al. (2014 Phys. Rev. Lett. 113 170501) have produced a quantum correlation of about 1.00 dB for the continuous-variable hyperentangled state by a type-II non-degenerate optical parametric amplifier. The generation of continuous-variable hyperentangled state is affected by the mode matching between the pump field and the down-conversion field, since the hyperentanglement contains spatial high-order transverse mode entanglement. In the present paper, we first theoretically analyze the relationship between the pump and the two down-conversion modes and demonstrate the dependence of the inseparability on normalized pump power for the different pump modes. Hence, we find that the optimal pump mode is the superposition of\begin{document}${\rm{LG}}_0^0$\end{document} ![]()
![]()
mode and \begin{document}${\rm{LG}}_1^0$\end{document} ![]()
![]()
mode. However, the optimal pump mode is rather complicated and difficult to experimentally generate, in the alternative scheme the \begin{document}${\rm{LG}}_1^0$\end{document} ![]()
![]()
mode is used as the pump field to obtain the optimal entanglement. In the experiment, the \begin{document}${\rm{LG}}_1^0$\end{document} ![]()
![]()
mode is produced by converting the HG11 mode with a π/2 converter, and here the HG11 mode is achieved by tailoring the fundamental mode with a four-quadrant phase mask and a filtering cavity. Then the \begin{document}${\rm{LG}}_0^0$\end{document} ![]()
![]()
mode or \begin{document}${\rm{LG}}_1^0$\end{document} ![]()
![]()
mode is used as the pump field to drive the non-degenerate optical parametric amplifier operating in spatial multimode. When the non-degenerate optical parametric amplifier is operated in the de-amplification, the hyperentanglement with orbital angular momentum and spin angular momentum is produced. The output entangled beams pass through polarization beam splitter and are analyzed by using the balanced homodyne detection systems with the local oscillator operating in the HG01 and HG10. The noise of the phase quadrature or the amplitude quadrature is obtained, when the relative phase between the local oscillator and the signal beam is locked to π/2 or 0. Then the quantum correlations of orbital angular momentum and spin angular momentum can be deduced. The experimental results show that the continuous-variable hyperentanglement of light with a quantum correlation of (4.00 ± 0.02) dB is produced. Compared with the results of Liu et al. obtained by using the \begin{document}${\rm{LG}}_0^0$\end{document} ![]()
![]()
mode, the inseparability of orbital angular momentum and spin angular momentum entanglement are enhanced by approximately 96.2% and 96.3%, respectively, through using the \begin{document}${\rm{LG}}_1^0$\end{document} ![]()
![]()
mode. Such a continuous-variable hyperentanglement may have promising applications in high-dimensional quantum information and multi-dimensional quantum measurement, and this approach is potentially extended to a discrete variable domain.
In recent years, more and more researchers have paid attention to the hyperentanglement, because it plays a very important role in the quantum information and quantum communication. Continuous-variable hyperentangled state with orbital angular momentum and spin angular momentum has a promising application in the parallel processing of continuous-variable multi-channel quantum information and multiparameters quantum metrology. Recently Liu et al. (2014 Phys. Rev. Lett. 113 170501) have produced a quantum correlation of about 1.00 dB for the continuous-variable hyperentangled state by a type-II non-degenerate optical parametric amplifier. The generation of continuous-variable hyperentangled state is affected by the mode matching between the pump field and the down-conversion field, since the hyperentanglement contains spatial high-order transverse mode entanglement. In the present paper, we first theoretically analyze the relationship between the pump and the two down-conversion modes and demonstrate the dependence of the inseparability on normalized pump power for the different pump modes. Hence, we find that the optimal pump mode is the superposition of
2019, 68(3): 034301.
doi: 10.7498/aps.68.20181908
Abstract:
Low frequency noise is always an important factor affecting people’s quality of life. At present, the most widely used sound absorbing materials include polyurethane foam, trimeric amine, mineral cotton, textiles, cotton and special sound insulation materials. However, the sizes of these materials are generally large, and the sound absorption efficiencies are often low, especially in a low frequency range (below 2000 Hz). Acoustic metamaterial is a kind of artificial composite material, which is constructed by microunits whose dimensions are much smaller than the working wavelength. The results show that if the strong coupling condition between the resonant scatter and the waveguide is satisfied, the sound energy flowing through the metamaterial will be completely offset by the internal loss of the resonant scatter. Therefore, it is believed that this kind of acoustic metamaterial can solve the absorption problem of low-frequency sound waves. In order to solve this problem, researchers have conducted a lot of exploratory researches. However, most of the structural units that are constructed with acoustic metamaterials are passive, that is, once the material is processed and shaped, its properties are fixed and cannot be changed. This defect greatly limits the development of acoustical metamaterials, so it is urgent to study acoustical metamaterials whose material properties and the working frequency bands are flexibly adjustable. Although tunable acoustic metamaterials have been studied, few people have extended this research to the field of low-frequency tunable sound absorption. In our previous work, we systematically studied the acoustic properties of two kinds of acoustic artificial " meta-atoms”, namely, open hollow sphere model with negative equivalent elastic modulus and hollow tube model with negative equivalent mass density. The research shows that these two kinds of " meta-atoms” both have obvious sound absorption effect. According to our previous studies, in this paper we couple these two kinds of " meta-atoms” into a whole, and design a new nested model of open loop. The model has the advantages of simple structure and easy preparation. Through theoretical analysis, numerical simulation and experimental testing, it is found that the strong coupling resonance effects between these " meta-atoms” can be excited by the low frequency incident acoustic wave in the nested structure, thus achieving nearly perfect sound energy absorption. In addition, the relative impedance of the metamaterial can be changed by simply rotating the inner splitting ring around the axis, therefore the position of the absorption peak can be freely controlled in a wide frequency band. Because of its deep sub-wavelength size, the metamaterial is very useful for miniaturizing and integrating the low-frequency acoustic absorption devices. What is more, this model also lays a foundation for designing the broadband absorbers.
Low frequency noise is always an important factor affecting people’s quality of life. At present, the most widely used sound absorbing materials include polyurethane foam, trimeric amine, mineral cotton, textiles, cotton and special sound insulation materials. However, the sizes of these materials are generally large, and the sound absorption efficiencies are often low, especially in a low frequency range (below 2000 Hz). Acoustic metamaterial is a kind of artificial composite material, which is constructed by microunits whose dimensions are much smaller than the working wavelength. The results show that if the strong coupling condition between the resonant scatter and the waveguide is satisfied, the sound energy flowing through the metamaterial will be completely offset by the internal loss of the resonant scatter. Therefore, it is believed that this kind of acoustic metamaterial can solve the absorption problem of low-frequency sound waves. In order to solve this problem, researchers have conducted a lot of exploratory researches. However, most of the structural units that are constructed with acoustic metamaterials are passive, that is, once the material is processed and shaped, its properties are fixed and cannot be changed. This defect greatly limits the development of acoustical metamaterials, so it is urgent to study acoustical metamaterials whose material properties and the working frequency bands are flexibly adjustable. Although tunable acoustic metamaterials have been studied, few people have extended this research to the field of low-frequency tunable sound absorption. In our previous work, we systematically studied the acoustic properties of two kinds of acoustic artificial " meta-atoms”, namely, open hollow sphere model with negative equivalent elastic modulus and hollow tube model with negative equivalent mass density. The research shows that these two kinds of " meta-atoms” both have obvious sound absorption effect. According to our previous studies, in this paper we couple these two kinds of " meta-atoms” into a whole, and design a new nested model of open loop. The model has the advantages of simple structure and easy preparation. Through theoretical analysis, numerical simulation and experimental testing, it is found that the strong coupling resonance effects between these " meta-atoms” can be excited by the low frequency incident acoustic wave in the nested structure, thus achieving nearly perfect sound energy absorption. In addition, the relative impedance of the metamaterial can be changed by simply rotating the inner splitting ring around the axis, therefore the position of the absorption peak can be freely controlled in a wide frequency band. Because of its deep sub-wavelength size, the metamaterial is very useful for miniaturizing and integrating the low-frequency acoustic absorption devices. What is more, this model also lays a foundation for designing the broadband absorbers.
2019, 68(3): 035201.
doi: 10.7498/aps.68.20181747
Abstract:
Kelvin-Helmholtz instability in anisotropic viscous fluid with uniform density in the presence of magnetic field is simulated through solving the non-ideal magnetohydrodynamic equations. The magnetic field is uniform and parallel to the stream. The magnetohydrodynamic equations are solved by corner transport upwind algorithm and constrained transport algorithm. In this paper, the influence of viscous anisotropy on Kelvin-Helmholtz instability is studied. The viscous anisotropy is embodied in the direction of the magnetic field, that is, viscosity parallel to the direction of the magnetic field line is much larger than that in the other directions. The results in the isotropic and the anisotropic viscous cases are compared from the aspects of flow structure, vortex evolution, and magnetic field distribution. It shows that the viscous anisotropy is more advantageous to the stability in a magnetized shear layer than the viscous isotropy. The flow structure evolves similarly in large scales but vortices evolve differently in small scales. Due to the decrease of the shear rate in the direction of the magnetic field lines, the rolling-up degree of interface and the number of laps decrease; the multiplication and merging of small vortices in the rolled-up structure destroy the regular growth of the vortex, which contributes to the stability of the flow. The increase of the magnetic energy at the sheared interface slows down effectively by the viscous anisotropy, which weakens the growth of the transverse magnetic pressure and anti-bending magnetic tension. However, viscous anisotropy shows much greater influence on the transverse magnetic pressure than on the anti-bending magnetic tension. The total enstrophy decreases slowly in viscous isotropy and anisotropy case. It increases quickly in late time in the former case, but is heavily suppressed in the latter case.
Kelvin-Helmholtz instability in anisotropic viscous fluid with uniform density in the presence of magnetic field is simulated through solving the non-ideal magnetohydrodynamic equations. The magnetic field is uniform and parallel to the stream. The magnetohydrodynamic equations are solved by corner transport upwind algorithm and constrained transport algorithm. In this paper, the influence of viscous anisotropy on Kelvin-Helmholtz instability is studied. The viscous anisotropy is embodied in the direction of the magnetic field, that is, viscosity parallel to the direction of the magnetic field line is much larger than that in the other directions. The results in the isotropic and the anisotropic viscous cases are compared from the aspects of flow structure, vortex evolution, and magnetic field distribution. It shows that the viscous anisotropy is more advantageous to the stability in a magnetized shear layer than the viscous isotropy. The flow structure evolves similarly in large scales but vortices evolve differently in small scales. Due to the decrease of the shear rate in the direction of the magnetic field lines, the rolling-up degree of interface and the number of laps decrease; the multiplication and merging of small vortices in the rolled-up structure destroy the regular growth of the vortex, which contributes to the stability of the flow. The increase of the magnetic energy at the sheared interface slows down effectively by the viscous anisotropy, which weakens the growth of the transverse magnetic pressure and anti-bending magnetic tension. However, viscous anisotropy shows much greater influence on the transverse magnetic pressure than on the anti-bending magnetic tension. The total enstrophy decreases slowly in viscous isotropy and anisotropy case. It increases quickly in late time in the former case, but is heavily suppressed in the latter case.
2019, 68(3): 035202.
doi: 10.7498/aps.68.20181236
Abstract:
Direct X-ray imaging by a Fresnel zone plate (FZP) has achieved a spatial resolution of 10 nm on a synchrotron beamline. It may be used to obtain submicron-resolution X-ray images of laser-plasma sources or fusion targets. However, none of previous imaging experiments with laser-plasma kilo-elelctron-volt X-ray sources shows such a high resolution. In comparison with the FZP imaging on a synchrotron, we consider a case of imaging an extended object with a laser-plasma X-ray source that the illumination monochromaticity is lower and the field of view larger. Our simulations show that the spatial resolution is affected by both the object size and the spectral bandwidth of the source, which can explain the previous experiments. We conclude that by using a 100-zone FZP to image an object with up to 700 μm in size, a spatial resolution better than 1 μm can be realized by using X-rays of several kilo-electron volts and a spectral bandwidth just less than 3%. In this paper, we report a proof-of-principle study in simulation and experiment in an optical range centered at 632.8 nm. The simulation is performed with the same method as that previously used for X-ray imaging but with a 100-zone FZP working in the optical range. Simulations show that with the increase of the object size, the field-of-view contrast is degraded, but the spatial resolution is nearly unchanged. With the increase of the spectral bandwidth for the illumination, both the contrast and the resolution are degraded. In the experiments, different spectral bandwidths are realized by band-pass filters and different object sizes by an adjustable aperture. The experimental results are confirmed to be in agreement with the simulations. These results reveal that given a satisfied spectral bandwidth of laser-plasma X rays, the FZP imaging will be a promising approach to 1 μm or higher resolution X-ray imaging of a 1-mm-size object.
Direct X-ray imaging by a Fresnel zone plate (FZP) has achieved a spatial resolution of 10 nm on a synchrotron beamline. It may be used to obtain submicron-resolution X-ray images of laser-plasma sources or fusion targets. However, none of previous imaging experiments with laser-plasma kilo-elelctron-volt X-ray sources shows such a high resolution. In comparison with the FZP imaging on a synchrotron, we consider a case of imaging an extended object with a laser-plasma X-ray source that the illumination monochromaticity is lower and the field of view larger. Our simulations show that the spatial resolution is affected by both the object size and the spectral bandwidth of the source, which can explain the previous experiments. We conclude that by using a 100-zone FZP to image an object with up to 700 μm in size, a spatial resolution better than 1 μm can be realized by using X-rays of several kilo-electron volts and a spectral bandwidth just less than 3%. In this paper, we report a proof-of-principle study in simulation and experiment in an optical range centered at 632.8 nm. The simulation is performed with the same method as that previously used for X-ray imaging but with a 100-zone FZP working in the optical range. Simulations show that with the increase of the object size, the field-of-view contrast is degraded, but the spatial resolution is nearly unchanged. With the increase of the spectral bandwidth for the illumination, both the contrast and the resolution are degraded. In the experiments, different spectral bandwidths are realized by band-pass filters and different object sizes by an adjustable aperture. The experimental results are confirmed to be in agreement with the simulations. These results reveal that given a satisfied spectral bandwidth of laser-plasma X rays, the FZP imaging will be a promising approach to 1 μm or higher resolution X-ray imaging of a 1-mm-size object.
2019, 68(3): 035203.
doi: 10.7498/aps.68.20181832
Abstract:
The coaxial gun discharge, used as plasma jet with high density and velocity, has a wide variety of applications such as plasma space propulsion, simulation experiment of thermal transient events in the International Thermonuclear Experimental Reactor, plasma refueling for fusion reactors and a laboratory scale platform for studying astrophysical phenomena. The plasma produced in the coaxial gun can be accelerated by self-induced Lorentz force, and the ionization in the transport process can be based on " snow-plow model” in which a coaxial current sheet moves forward and sweeps a large amount of the gas between two electrodes to cause the plasma dump. Based on the measurements of discharge current, voltage, photocurrent and magnetic signal, the experimental investigation on the characteristics of plasma motion and current sheet channel distribution in the gun operated under different discharge conditions and various pressures is carried out. In this paper, it is emphasized to explore the electrical and dynamic properties about plasma in the first half-cycle of current. The results show that the plasma velocity increases with the increase of the current amplitude, and that the transport distance is proportional to the axial kinetic energy of ions when the pressure is fixed at 10 Pa and discharge current is adjusted from 35.7 kA to 69.8 kA. Moreover, in the case of high current, the plasma jet from the nozzle tends to form a new current path at the bottom of the gun. However, when the discharge current is fixed at 49.8 kA and the gas pressures range from 5 Pa to 40 Pa, the plasma motion velocity and transport distance are continuously reduced. Meanwhile, it is not found that new current paths are generated at the bottom of the coaxial gun under high pressure. The generation of the new current path is relevant to the channel impedance formed by more charged particles left at the bottom of the gun and neutral particles leaking from current sheet during discharge. Besides, a multiple discharge phenomenon is presented in experiment and the secondary discharge breakdown position occurs at the head of the electrode when the current is reversed to a positive value. Therefore, this study provides a reasonable choice of electrical parameters to obtain optimal plasma characteristics during the discharge of the coaxial gun.
The coaxial gun discharge, used as plasma jet with high density and velocity, has a wide variety of applications such as plasma space propulsion, simulation experiment of thermal transient events in the International Thermonuclear Experimental Reactor, plasma refueling for fusion reactors and a laboratory scale platform for studying astrophysical phenomena. The plasma produced in the coaxial gun can be accelerated by self-induced Lorentz force, and the ionization in the transport process can be based on " snow-plow model” in which a coaxial current sheet moves forward and sweeps a large amount of the gas between two electrodes to cause the plasma dump. Based on the measurements of discharge current, voltage, photocurrent and magnetic signal, the experimental investigation on the characteristics of plasma motion and current sheet channel distribution in the gun operated under different discharge conditions and various pressures is carried out. In this paper, it is emphasized to explore the electrical and dynamic properties about plasma in the first half-cycle of current. The results show that the plasma velocity increases with the increase of the current amplitude, and that the transport distance is proportional to the axial kinetic energy of ions when the pressure is fixed at 10 Pa and discharge current is adjusted from 35.7 kA to 69.8 kA. Moreover, in the case of high current, the plasma jet from the nozzle tends to form a new current path at the bottom of the gun. However, when the discharge current is fixed at 49.8 kA and the gas pressures range from 5 Pa to 40 Pa, the plasma motion velocity and transport distance are continuously reduced. Meanwhile, it is not found that new current paths are generated at the bottom of the coaxial gun under high pressure. The generation of the new current path is relevant to the channel impedance formed by more charged particles left at the bottom of the gun and neutral particles leaking from current sheet during discharge. Besides, a multiple discharge phenomenon is presented in experiment and the secondary discharge breakdown position occurs at the head of the electrode when the current is reversed to a positive value. Therefore, this study provides a reasonable choice of electrical parameters to obtain optimal plasma characteristics during the discharge of the coaxial gun.
2019, 68(3): 036101.
doi: 10.7498/aps.68.20181893
Abstract:
The effects of Al content on structure and elastic properties of AlxCrFeNiTi (x = 0, 0.5, 1, 2, 3, 4), and elastic properties varying with solid solution characteristic parameters of alloys are investigated in this work to explore the relationships between compositions and elastic properties of AlxCrFeNiTi high entropy alloys. The results show that the valence electron concentrations of AlxCrFeNiTi alloys decrease gradually with the increase of Al content, and the enthalpy formed by alloy with body center cubic structure is lower than that with face center cubic structure when Al content of the alloy is the same. It implies that AlxCrFeNiTi alloy will form a single solid solution with body centered cubic structure by referring to valence electron concentration theory and formation enthalpy calculation. The lattice constants and formation capacities of AlxCrFeNiTi alloys increase with Al content rising, while the structure stability of alloys presents a gradual downward trend. The atomic size difference shows the largest value when all elements in the alloy have equal molar ratio, indicating that the lattice distortion of the alloy exhibits the highest level at this time. The total state of density of AlxCrFeNiTi alloy moves to a higher energy level as the content of Al increases, which is an obvious characteristic of the declining structural stability of alloys. It is consistent with the result of cohesive energy. Al and Ti both lose electrons after bonding, while Ni and Fe both gain electrons. The bonding behavior between atoms shows not only metal bonding but also somewhat covalent and ionic bonding characteristics by analyzing the electron density difference and atomic Mulliken populations of AlxCrFeNiTi alloys. The elastic modulus and toughness of alloy will be improved with the increase of the ratio of thermodynamic entropy to enthalpy (\begin{document}$\varOmega $\end{document} ![]()
![]()
), and the anisotropy in compression direction of alloy decreases obviously with the rise of mixing enthalpy (ΔHmix). The solid solution characteristics including \begin{document}$\varOmega $\end{document} ![]()
![]()
and ΔHmix will be used as important parameters for the compositions’ design for AlxCrFeNiTi alloy.
The effects of Al content on structure and elastic properties of AlxCrFeNiTi (x = 0, 0.5, 1, 2, 3, 4), and elastic properties varying with solid solution characteristic parameters of alloys are investigated in this work to explore the relationships between compositions and elastic properties of AlxCrFeNiTi high entropy alloys. The results show that the valence electron concentrations of AlxCrFeNiTi alloys decrease gradually with the increase of Al content, and the enthalpy formed by alloy with body center cubic structure is lower than that with face center cubic structure when Al content of the alloy is the same. It implies that AlxCrFeNiTi alloy will form a single solid solution with body centered cubic structure by referring to valence electron concentration theory and formation enthalpy calculation. The lattice constants and formation capacities of AlxCrFeNiTi alloys increase with Al content rising, while the structure stability of alloys presents a gradual downward trend. The atomic size difference shows the largest value when all elements in the alloy have equal molar ratio, indicating that the lattice distortion of the alloy exhibits the highest level at this time. The total state of density of AlxCrFeNiTi alloy moves to a higher energy level as the content of Al increases, which is an obvious characteristic of the declining structural stability of alloys. It is consistent with the result of cohesive energy. Al and Ti both lose electrons after bonding, while Ni and Fe both gain electrons. The bonding behavior between atoms shows not only metal bonding but also somewhat covalent and ionic bonding characteristics by analyzing the electron density difference and atomic Mulliken populations of AlxCrFeNiTi alloys. The elastic modulus and toughness of alloy will be improved with the increase of the ratio of thermodynamic entropy to enthalpy (
2019, 68(3): 037101.
doi: 10.7498/aps.68.20181946
Abstract:
The crystal structures, defect formation energy, electronic structures and optical properties of oxygen vacancy and/or Ce-(co)doped anatase TiO2 are investigated by using density functional theory plus U calculations. The calculated results indicate that lattice distortion induces the enhanced octahedral dipole moment in Ce doped TiO2 crystal when introducing oxygen vacancy into the lattice of the TiO2 crystal, which is effective for separating the photo-excited electron-hole pairs; meanwhile, compared with the valence band of pure TiO2 and TiO2 mono-doped separately with Ce and oxygen vacancy, the valence band of TiO2 co-doped with Ce and oxygen vacancy broadens drastically, which is mainly contributed from the electronic states of Ce 5d, Ti 4s and O 2p in the valence band shifting toward the lower energy direction. As a result, Ce doped TiO2 with oxygen vacancy is beneficial to the mobility of photo-generated carriers in TiO2. Similarly, the anti-bonding states also move toward the lower band energy direction, which are formed by the mixture of Ce 4f, Ce 5d, Ti 3d, and O 2p orbits in the conduction band. Due to these shifts, the energy gap of Ce and oxygen vacancy codoped TiO2 is narrowed to 2.67 eV with the emerge of the occupied impurity energy levels near Fermi level. Because of the above-mentioned excellence features, the absorption spectra for doped systems exhibit remarkable red-shift, especially, the intensity of optical absorption of TiO2 co-doped with Ce and oxygen vacancy in the visible region and the infra-red region are obviously stronger than those of the Ce mono-doped TiO2. When introducing oxygen vacancy into the Ce-doped system, the calculated conduction band energy edge position changes from −0.27 eV to −0.32 eV, which implies that the reducing power of the conduction band edge of TiO2 is remarkably enhanced. More fascinatingly, the calculated band energy edges for the Ce and oxygen vacancy codoped TiO2 can satisfy the basic requirement for water splitting under visible light irradiation. In conclusion, Ce and oxygen vacancy co-doped system can effectively strengthen the photo-catalytic activity of TiO2 and improve the utilization of the solar light; and our calculated results provide a powerful theoretical basis for the applications of the Ce and oxygen vacancy co-doped anatase TiO2 in visible-light-driven water splitting in the future research.
2019, 68(3): 037501.
doi: 10.7498/aps.68.20181879
Abstract:
A ferroelectric/ferromagnetic bilayer film model is established. The electric moment of ferroelectric layer is described by continuous scalars, and the spins of ferromagnetic layer are described by classical vectors. The thermodynamic properties, polarization and magnetization behavior are simulated by using Monte Carlo method. The temperature dependence of internal energy, specific heat, polarization and magnetization of the system under zero field are given, and the polarization and magnetization behavior of the system under an external magnetic field and under an external electric field are studied respectively. Simulation results show that the values of internal energy, specific heat, polarization and magnetization of the bilayer films under no action of external field are obviously different from each other due to the fact that their interlayer coupling coefficients are different. When the interfacial coupling is weak (Jem = 0.01), the bilayer films exhibit their own thermodynamic properties. The interaction between ferroelectric layer and ferromagnetic layer increases with the increase of interlayer coupling coefficient. When the interfacial coupling increases to a certain extent (Jem = 0.5), the bilayer film is coupled into a whole and exhibits a uniform thermodynamic behavior. The phase transition temperature of the system increases significantly. In an external magnetic field, the ferromagnetic layer shows hysteresis behavior, and the ferroelectric layer also shows hysteresis behavior. At relatively low temperature (T = 0.08), the hysteresis loop of ferromagnetic layer and ferroelectric layer exhibit bias behavior, the area of hysteresis loop of ferroelectric layer is small when the interfacial coupling is weak. With the increase of interfacial coupling, the phenomenon of bias is more obvious, and the area of hysteresis loop of ferroelectric layer also increases significantly. When the interfacial coupling reaches Jem = 0.75, the polarization behavior of the ferroelectric layer fully responds to the magnetization behavior of the ferromagnetic layer, and neither the bias phenomenon of the ferromagnetic layer nor the bias phenomenon of the ferroelectric layer is still existent. As temperature increases (T = 0.4), the phenomenon of bias disappears even if the interlayer coupling is weak. In an external electric field, the hysteresis behavior of ferromagnetic layer and the hysteresis behavior of ferroelectric layer are similar to those in an external magnetic field. The difference is that the bias phenomenon of the bilayer film still exists for weak interfacial coupling at relatively high temperature (T = 0.4). The theoretical results are in good agreement with the experimental results reported in the literature.
2019, 68(3): 037701.
doi: 10.7498/aps.68.20181287
Abstract:
Single phase polycrystalline Nd-modified BNFNT-x series samples are obtained from the precursors of the same chemical formula, and prepared by using the citric acid-nitrate method. The X-ray photoelectron spectroscopy measurement indicates that a slight Nd modification does not exert significant influence on the stability of the octahedral FeO6, nor NiO6 nor TiO6. When the molar concentration of Nd exceeds 0.25, the stability of BiO layer is cemented and conducive to the insulating role of BiO layer. It is seen that a small quantity of Nd substitution for bismuth can improve the ferroelectric polarization (2Pr) of ~ 19.7\begin{document}$ \mu {\rm C/cm }^2$\end{document} ![]()
![]()
. The room-temperature magnetization (2Ms) can reach a maximal value of ~ 4.132 emu/g (1 emu/g = 10−3 A·m2/g)in the BNFNT-0.20 sample. Two anomalies are observed in the temperature-dependent dielectric loss spectrum: one is situated in the temperature range from 200 K to 400 K and the other is located in the vicinity of 900 K. It is considered that the loss anomaly found near 900 K might be associated with the viscous motion of ferroelectric domain walls. In addition, the loss peak shown in a temperature range from 200 K to 400 K shifts toward the higher temperature with measuring frequency increasing, indicating the characteristics of dielectric relaxor behavior. The activation energy is evaluated to be 0.287−0.366 eV, which suggests that the relaxor is associated with the electrons transfer and hop between Fe3+ and Fe2+. The room-temperature magnetization (2Ms) has reached a maximal value of ~ 4.132 emu/g in the BNFNT-0.20 sample. The lattice distortion due to the introduction of Nd changes the angle of such antiferromagnetic coupling bonds as Fe3+—O—Fe3+, Fe3+—O—Ni3+ and Ni3+—O—Ni3+, which leads the AFM spin states to break, and thus increases the magnetic properties. While with further modification of Nd, the drastic lattice distortion reduces the occupation of the B-sites of the magnetic ions, which might be responsible for further deteriorating the magnetic properties.
Single phase polycrystalline Nd-modified BNFNT-x series samples are obtained from the precursors of the same chemical formula, and prepared by using the citric acid-nitrate method. The X-ray photoelectron spectroscopy measurement indicates that a slight Nd modification does not exert significant influence on the stability of the octahedral FeO6, nor NiO6 nor TiO6. When the molar concentration of Nd exceeds 0.25, the stability of BiO layer is cemented and conducive to the insulating role of BiO layer. It is seen that a small quantity of Nd substitution for bismuth can improve the ferroelectric polarization (2Pr) of ~ 19.7
2019, 68(3): 038501.
doi: 10.7498/aps.68.20181661
Abstract:
The total ionizing dose (TID) effects on 55 nm SONOS flash cell, caused by 60Co-γ ray and 10 keV X-ray radiation source, are systematically investigated in this paper. The degradation of electrical characteristics is discussed while the underlying physical mechanism is analyzed. The drift of I-V characteristic curve, the degradation of memory window, and the increase of stand-by current are observed after TID irradiation separately by the two radiation sources. The data retention capability is also affected by the TID irradiation. The I-Vg curve of the programmed single flash cell significantly drifts towards the negative direction after TID irradiation, while the negative drift of erased state is much slower. Referring to the erased state, the drift directions of Id-Vg curves for γ- and X-ray radiation source are obviously different. The physical mechanism of irradiation damage in a 55 nm SONOS single flash cell is discussed in detail by the energy band theory and TCAD simulations. The storage charge loss in silicon nitride layer, the charge accumulation, and the generation of interface states all together lead to the degradation of threshold voltage and stand-by current after TID irradiation. Another cause for the increase of stand-by current is the positive trapped charges in the isolated oxide induced by irradiation, which leads to the generation of leakage paths. Significant dose enhancement effect of X-ray irradiation is observed in this paper. Device model of memory transistor c is established while the dose enhancement effect of X-rays is investigated by Geant 4 tool. The high-Z materials above the poly-silicon gate lead to the dose enhancement effect of X-rays’ irradiation, which results in the higher degradation. The density of electron-hole pairs produced by irradiation in W layer is much higher than in Cu layer. In particular, W layer is a critical factor regardless of the thickness, which can be obviously observed in the simulation.
The total ionizing dose (TID) effects on 55 nm SONOS flash cell, caused by 60Co-γ ray and 10 keV X-ray radiation source, are systematically investigated in this paper. The degradation of electrical characteristics is discussed while the underlying physical mechanism is analyzed. The drift of I-V characteristic curve, the degradation of memory window, and the increase of stand-by current are observed after TID irradiation separately by the two radiation sources. The data retention capability is also affected by the TID irradiation. The I-Vg curve of the programmed single flash cell significantly drifts towards the negative direction after TID irradiation, while the negative drift of erased state is much slower. Referring to the erased state, the drift directions of Id-Vg curves for γ- and X-ray radiation source are obviously different. The physical mechanism of irradiation damage in a 55 nm SONOS single flash cell is discussed in detail by the energy band theory and TCAD simulations. The storage charge loss in silicon nitride layer, the charge accumulation, and the generation of interface states all together lead to the degradation of threshold voltage and stand-by current after TID irradiation. Another cause for the increase of stand-by current is the positive trapped charges in the isolated oxide induced by irradiation, which leads to the generation of leakage paths. Significant dose enhancement effect of X-ray irradiation is observed in this paper. Device model of memory transistor c is established while the dose enhancement effect of X-rays is investigated by Geant 4 tool. The high-Z materials above the poly-silicon gate lead to the dose enhancement effect of X-rays’ irradiation, which results in the higher degradation. The density of electron-hole pairs produced by irradiation in W layer is much higher than in Cu layer. In particular, W layer is a critical factor regardless of the thickness, which can be obviously observed in the simulation.
2019, 68(3): 038502.
doi: 10.7498/aps.68.20181684
Abstract:
The microstructure distribution on the bottom surface of the partial integrated light guide plate (PILGP) is the key to affecting the uniformity of the output light from the backlight module (BLM), which is one of the important factors in the BLM design. Based on the development trend of the BLM in light-weight and integration, many research institutes have realized the requirement for high luminance and luminance uniformity in the BLM by setting micro-prism structure on the surface of the light guide plate (LGP). In most of these studies, the length of the micro-prism structure is the same as the width of the LGP, and the optimization of the micro-prism distribution is performed only in the length direction of the LGP, which is a one-dimensional distribution. So, the long strip micro-prism structure cannot modulate the light in the axial direction, resulting in large area identity in the width direction of the LGP, thereby the luminance uniformity of the BLM is affected. In this paper, a design idea of two-dimensional distribution of the micro-prism on the bottom surface of the PILGP, which improves the luminance uniformity of the BLM, is proposed to solve the problem that the luminance uniformity is affected by large area identity caused by one-dimensional distribution design of the micro-prism. The small length micro-prism structure is used to break the limit of the axial distribution of the long strip micro-prism structure, and it can modulate the light in the axial direction. The Lighttools software is used to optimize the two-dimensional distribution of the micro-prism on the bottom surface of a 5.0-inch PILGP. Comparing with the PILGP with one-dimensional distribution of the micro-prism on the bottom surface, the simulation results show that the utilization of light energy, illuminance uniformity and luminance uniformity in the BLM with optimized two-dimensional distribution of the micro-prism on the bottom surface of the PILGP respectively reach 92.03%, 87.07% and 91.94%, which meet industry standards. And the illuminance uniformity increases by 10%. Meanwhile, the luminance diagram shows that the overall luminance uniformity of the BLM is improved effectively. Moreover, the distribution principle of the micro-prism on the bottom surface of the PILGP is analyzed and the physical mechanism is reasonably explained . The simulation results above show that the design concept of the two-dimensional distribution of micro-prism is feasible. The study results have a certain referential value for the development of the BLM in light-weight and integration.
The microstructure distribution on the bottom surface of the partial integrated light guide plate (PILGP) is the key to affecting the uniformity of the output light from the backlight module (BLM), which is one of the important factors in the BLM design. Based on the development trend of the BLM in light-weight and integration, many research institutes have realized the requirement for high luminance and luminance uniformity in the BLM by setting micro-prism structure on the surface of the light guide plate (LGP). In most of these studies, the length of the micro-prism structure is the same as the width of the LGP, and the optimization of the micro-prism distribution is performed only in the length direction of the LGP, which is a one-dimensional distribution. So, the long strip micro-prism structure cannot modulate the light in the axial direction, resulting in large area identity in the width direction of the LGP, thereby the luminance uniformity of the BLM is affected. In this paper, a design idea of two-dimensional distribution of the micro-prism on the bottom surface of the PILGP, which improves the luminance uniformity of the BLM, is proposed to solve the problem that the luminance uniformity is affected by large area identity caused by one-dimensional distribution design of the micro-prism. The small length micro-prism structure is used to break the limit of the axial distribution of the long strip micro-prism structure, and it can modulate the light in the axial direction. The Lighttools software is used to optimize the two-dimensional distribution of the micro-prism on the bottom surface of a 5.0-inch PILGP. Comparing with the PILGP with one-dimensional distribution of the micro-prism on the bottom surface, the simulation results show that the utilization of light energy, illuminance uniformity and luminance uniformity in the BLM with optimized two-dimensional distribution of the micro-prism on the bottom surface of the PILGP respectively reach 92.03%, 87.07% and 91.94%, which meet industry standards. And the illuminance uniformity increases by 10%. Meanwhile, the luminance diagram shows that the overall luminance uniformity of the BLM is improved effectively. Moreover, the distribution principle of the micro-prism on the bottom surface of the PILGP is analyzed and the physical mechanism is reasonably explained . The simulation results above show that the design concept of the two-dimensional distribution of micro-prism is feasible. The study results have a certain referential value for the development of the BLM in light-weight and integration.
2019, 68(3): 034101.
doi: 10.7498/aps.68.20181708
Abstract:
In this paper, the idea of electromagnetic surface (EMS) is introduced into the design of microstrip antenna array. The antenna element proposed in this paper is treated as an EMS element, whose reflection characteristics are taken into consideration in the process of antenna array design. Firstly, a rectangular patch antenna element is designed. Then, by cutting arc-shaped structure into a rectangular patch, another element is created to generate 180° ± 30° effective phase difference compared with original antenna element. As a consequence, 180° ± 30° effective phase difference is obtained from 5.5 GHz to 6.9 GHz for the y-polarized incidence. Meanwhile, for the x-polarized incidence, each of the two elements possesses high absorptivity over the operating frequency as a result of matching load. Besides, the two elements work in the same resonant mode and the same resonant frequency band when treated as radiators. In order to further explain the consistency in radiation and difference in reflection between the two structures, current distribution at 5.8 GHz is investigated in terms of radiation and reflection. Then, the two elements are arranged into a chessboard array to achieve the low scattering performance based on phase cancellation principle under the y-polarized incidence. Based on the absorption principle, the matching load is added to improve the scattering performance of the composite antenna array with the x-polarized incidence. Simultaneously, the proposed antenna array maintains good radiation characteristics due to the consistency between the radiation performances of the two elements. The corresponding antenna array is fabricated and tested. Simulated and measured results prove that the proposed antenna array also achieves good radiation performance. And a 6 dB radar cross section reduction is obtained from 5.6 to 6.2 GHz under the x polarization and from 5.5 to 7.0 GHz under the y polarization for the normal incident wave, implying 10.1% and 24% in relative bandwidth, respectively. In-band reflection suppression in the specular direction is demonstrated for an incident angle of 30° under both polarizations. The measured results are in good agreement with the simulated ones. Additionally, the approach proposed in this paper offers an effective way to deal with the confliction between radiation and scattering performance, and can also be applied to other kinds of antenna arrays.
In this paper, the idea of electromagnetic surface (EMS) is introduced into the design of microstrip antenna array. The antenna element proposed in this paper is treated as an EMS element, whose reflection characteristics are taken into consideration in the process of antenna array design. Firstly, a rectangular patch antenna element is designed. Then, by cutting arc-shaped structure into a rectangular patch, another element is created to generate 180° ± 30° effective phase difference compared with original antenna element. As a consequence, 180° ± 30° effective phase difference is obtained from 5.5 GHz to 6.9 GHz for the y-polarized incidence. Meanwhile, for the x-polarized incidence, each of the two elements possesses high absorptivity over the operating frequency as a result of matching load. Besides, the two elements work in the same resonant mode and the same resonant frequency band when treated as radiators. In order to further explain the consistency in radiation and difference in reflection between the two structures, current distribution at 5.8 GHz is investigated in terms of radiation and reflection. Then, the two elements are arranged into a chessboard array to achieve the low scattering performance based on phase cancellation principle under the y-polarized incidence. Based on the absorption principle, the matching load is added to improve the scattering performance of the composite antenna array with the x-polarized incidence. Simultaneously, the proposed antenna array maintains good radiation characteristics due to the consistency between the radiation performances of the two elements. The corresponding antenna array is fabricated and tested. Simulated and measured results prove that the proposed antenna array also achieves good radiation performance. And a 6 dB radar cross section reduction is obtained from 5.6 to 6.2 GHz under the x polarization and from 5.5 to 7.0 GHz under the y polarization for the normal incident wave, implying 10.1% and 24% in relative bandwidth, respectively. In-band reflection suppression in the specular direction is demonstrated for an incident angle of 30° under both polarizations. The measured results are in good agreement with the simulated ones. Additionally, the approach proposed in this paper offers an effective way to deal with the confliction between radiation and scattering performance, and can also be applied to other kinds of antenna arrays.
2019, 68(3): 037301.
doi: 10.7498/aps.68.20190054
Abstract:
The composite structure of metal nanoparticle and metal film can be used as a surface-enhanced Raman scattering (SERS) substrate to significantly enhance the Raman signal of adsorbed molecules due to the strong coupling between local surface plasmons and propagating surface plasmons. An SERS substrate of the composite structure with gold nano-cubes and gold film separated by polymethylmethacrylate (PMMA) film is proposed. The optimum thickness of PMMA is 15 nm obtained by numerical simulation through using finite element method. The composite structure of PMMA spacer with a thickness of 14 nm is prepared experimentally. Using R6G as the Raman probe molecules and He-Ne laser with a wavelength of 633 nm as an excitation source, the SERS effect of the composite structure and single gold nano-cubes are studied. It is found that the composite structure can make the probe molecules produce a stronger Raman signal than the single structure. Furthermore, the SERS spectra of R6G molecules on the composite structure under the condition of aqueous solution of gold nano-cubes with different concentrations are studied. The results show that when the concentration of gold nano-cubes’ aqueous solution is 5.625\begin{document}${\text{μ}}{\rm g/mL}$\end{document} ![]()
![]()
, the SERS signal of the R6G molecules on the composite structure is strongest. The lowest concentration of R6G molecules which can be detected is about 10–11 mol/L.
The composite structure of metal nanoparticle and metal film can be used as a surface-enhanced Raman scattering (SERS) substrate to significantly enhance the Raman signal of adsorbed molecules due to the strong coupling between local surface plasmons and propagating surface plasmons. An SERS substrate of the composite structure with gold nano-cubes and gold film separated by polymethylmethacrylate (PMMA) film is proposed. The optimum thickness of PMMA is 15 nm obtained by numerical simulation through using finite element method. The composite structure of PMMA spacer with a thickness of 14 nm is prepared experimentally. Using R6G as the Raman probe molecules and He-Ne laser with a wavelength of 633 nm as an excitation source, the SERS effect of the composite structure and single gold nano-cubes are studied. It is found that the composite structure can make the probe molecules produce a stronger Raman signal than the single structure. Furthermore, the SERS spectra of R6G molecules on the composite structure under the condition of aqueous solution of gold nano-cubes with different concentrations are studied. The results show that when the concentration of gold nano-cubes’ aqueous solution is 5.625
2019, 68(3): 037102.
doi: 10.7498/aps.68.20181597
Abstract:
Chemical functionalization of two-dimensional transition metal dichalcogenides (TMDs) with hydrogen is an effective and economical method to synthesize monolayer TMDs and tune their electronic properties. We theoretically study the stabilities and electronic properties of chemisorbed H atoms on monolayer TMDs by using density-functional theory calculations. The result shows that there exists a more stable adsorption site in the layers of the monolayer MX2 (M = Mo, W; X = S, Se, Te) than its surface for hydrogen. In the case of the same cation, with the increase of the anion (X2−) atomic number, the stronger the bonding between the H atom and the MX2 layer, the more stable the structure of the hydrogenated monolayer MX2 is. However, in the case of the same anion, the binding between the H atom and the MX2 layer becomes weaker as the atomic number of the cations increases. H atoms passes through one surface of the MS2 to the other surface with a relatively small diffusion barrier of about 0.9 eV. So the H atoms can more easily go through the barrier. And for the H atom to go through the other monolayer MX2 (M = Mo, W; X = Se, Te), the diffusion barrier is about 1.2 eV. H atoms are difficult to pass through the barrier at this time. The singular diffusion behavior of H atoms in monolayer MX2 is conducible to understanding the stability of hydrogenated two-dimensional transition metal sulfide system. In addition, the surface hydrogenation and interlaminar hydrogenation have different effects on the electronic properties of monolayer MX2, and mainly manifest themselves in the fact that the surface hydrogenation induces spontaneous magnetism and sharply reduces the band gap, but still retains the semiconductor properties of the original monolayer MX2. However, interlaminar hydrogenation enables monolayer MX2 to directly realize the transition from semiconductor to metal. Interlaminar hydrogenation monolayer MX2 (M = Mo, W; X = S, Se) make the system generating magnetism, while when the anion is Te2−, the magnetism almost disappears. These results can provide theoretical guidance in understanding hydrogen functionalization of MX2 layer, and also present a certain theoretical basis for realizing the application of MX2 in nano-electronic devices.
Chemical functionalization of two-dimensional transition metal dichalcogenides (TMDs) with hydrogen is an effective and economical method to synthesize monolayer TMDs and tune their electronic properties. We theoretically study the stabilities and electronic properties of chemisorbed H atoms on monolayer TMDs by using density-functional theory calculations. The result shows that there exists a more stable adsorption site in the layers of the monolayer MX2 (M = Mo, W; X = S, Se, Te) than its surface for hydrogen. In the case of the same cation, with the increase of the anion (X2−) atomic number, the stronger the bonding between the H atom and the MX2 layer, the more stable the structure of the hydrogenated monolayer MX2 is. However, in the case of the same anion, the binding between the H atom and the MX2 layer becomes weaker as the atomic number of the cations increases. H atoms passes through one surface of the MS2 to the other surface with a relatively small diffusion barrier of about 0.9 eV. So the H atoms can more easily go through the barrier. And for the H atom to go through the other monolayer MX2 (M = Mo, W; X = Se, Te), the diffusion barrier is about 1.2 eV. H atoms are difficult to pass through the barrier at this time. The singular diffusion behavior of H atoms in monolayer MX2 is conducible to understanding the stability of hydrogenated two-dimensional transition metal sulfide system. In addition, the surface hydrogenation and interlaminar hydrogenation have different effects on the electronic properties of monolayer MX2, and mainly manifest themselves in the fact that the surface hydrogenation induces spontaneous magnetism and sharply reduces the band gap, but still retains the semiconductor properties of the original monolayer MX2. However, interlaminar hydrogenation enables monolayer MX2 to directly realize the transition from semiconductor to metal. Interlaminar hydrogenation monolayer MX2 (M = Mo, W; X = S, Se) make the system generating magnetism, while when the anion is Te2−, the magnetism almost disappears. These results can provide theoretical guidance in understanding hydrogen functionalization of MX2 layer, and also present a certain theoretical basis for realizing the application of MX2 in nano-electronic devices.
2019, 68(3): 037901.
doi: 10.7498/aps.68.20181725
Abstract:
As a kind of influence factor, the surface topography determines the uniformity and current of peritoneal impregnated diffusion cathode (M-type dispenser cathode) emitted electrons. It can be seen from the emission characteristics of the cathode in the micro-range that the lathe tool grains at the cathode surface can affect the current uniformity, and the electron emission will be enhanced. But the distribution of the lathe tool grains is uncontrollable. Therefore to fully utilize the promoting effect of surface stripes on electron emission, the effect of surface topography onthe emission property of M-type dispenser cathode is investigated. And the simplest way to change the surface morphology of cathode surface is to fabricate a periodic stripe structure which can be divided into unidirectional stripe structure and orthogonal bidirectional stripe structure. And the orthogonal bidirectional stripe structure at the cathode surface can form micro-tip structure like the spindle cathode. To research the effect of surface topography on the emission properties of M-type dispenser cathode, the periodic stripe structures on the cathode surface with different sizes and shapes are processed by the femtosecond leaser in the fabrication of micro/nano-size microstructure. The cathodes are prepared with the same degassing and activated method. The test results of the cathodes show the periodic stripe structure on the cathode surface can effectively enhance the cathode electron emission capability. The emission current density of cathode with orthogonal bidirectional stripe is higher than that of cathode with unidirectional stripe. And with the stripe size declining, the emission capability is gradually enhanced. Also, this phenomenon occurs in the scandium-impregnated diffusion cathode. With the help of simulation of cathode surface topography, it is shown that the top of tip has a great electron emission capability for its strong electric field. When the ratio of bottom radius to height of the tip (r/h) is small, the side area is the main region of cathode electron emission. But as the r/h keeps decreasing, the main electron emission region is transferred from the side of tip to the top of tip, and the field assisted effect is the major component of the cathode electron emission.
As a kind of influence factor, the surface topography determines the uniformity and current of peritoneal impregnated diffusion cathode (M-type dispenser cathode) emitted electrons. It can be seen from the emission characteristics of the cathode in the micro-range that the lathe tool grains at the cathode surface can affect the current uniformity, and the electron emission will be enhanced. But the distribution of the lathe tool grains is uncontrollable. Therefore to fully utilize the promoting effect of surface stripes on electron emission, the effect of surface topography onthe emission property of M-type dispenser cathode is investigated. And the simplest way to change the surface morphology of cathode surface is to fabricate a periodic stripe structure which can be divided into unidirectional stripe structure and orthogonal bidirectional stripe structure. And the orthogonal bidirectional stripe structure at the cathode surface can form micro-tip structure like the spindle cathode. To research the effect of surface topography on the emission properties of M-type dispenser cathode, the periodic stripe structures on the cathode surface with different sizes and shapes are processed by the femtosecond leaser in the fabrication of micro/nano-size microstructure. The cathodes are prepared with the same degassing and activated method. The test results of the cathodes show the periodic stripe structure on the cathode surface can effectively enhance the cathode electron emission capability. The emission current density of cathode with orthogonal bidirectional stripe is higher than that of cathode with unidirectional stripe. And with the stripe size declining, the emission capability is gradually enhanced. Also, this phenomenon occurs in the scandium-impregnated diffusion cathode. With the help of simulation of cathode surface topography, it is shown that the top of tip has a great electron emission capability for its strong electric field. When the ratio of bottom radius to height of the tip (r/h) is small, the side area is the main region of cathode electron emission. But as the r/h keeps decreasing, the main electron emission region is transferred from the side of tip to the top of tip, and the field assisted effect is the major component of the cathode electron emission.









